Next Article in Journal
A New Function of MbIAA19 Identified to Modulate Malus Plants Dwarfing Growth
Next Article in Special Issue
MeGLYI-13, a Glyoxalase I Gene in Cassava, Enhances the Tolerance of Yeast and Arabidopsis to Zinc and Copper Stresses
Previous Article in Journal
The Impact of 2-Ketones Released from Solid Lipid Nanoparticles on Growth Modulation and Antioxidant System of Lactuca sativa
Previous Article in Special Issue
Genome-Wide Analysis and Expression Profiling of Trehalose-6-Phosphate Phosphatase (TPP) in Punica granatum in Response to Abscisic-Acid-Mediated Drought Stress
 
 
Font Type:
Arial Georgia Verdana
Font Size:
Aa Aa Aa
Line Spacing:
Column Width:
Background:
Article

Quantification of Glucose Metabolism and Nitrogen Utilization in Two Brassicaceae Species under Bicarbonate and Variable Ammonium Soil Conditions

1
Enshi Tujia & Miao Autonomous Prefecture Academy of Agricultural Sciences, Enshi 445000, China
2
State Key Laboratory of Environmental Geochemistry, Institute of Geochemistry, Chinese Academy of Sciences, Guiyang 550081, China
*
Authors to whom correspondence should be addressed.
Plants 2023, 12(17), 3095; https://doi.org/10.3390/plants12173095
Submission received: 22 July 2023 / Revised: 15 August 2023 / Accepted: 25 August 2023 / Published: 29 August 2023
(This article belongs to the Special Issue Plant Stress Physiology and Molecular Biology)

Abstract

:
In karst habitats under drought conditions, high bicarbonate (high pH), and an abundant nitrate soil environment, bicarbonate regulates the glycolysis (EMP) and pentose phosphate pathways (PPP), which distribute ATP and NADPH, affecting nitrate (NO3) and ammonium (NH4+) utilization in plants. However, the relationship between EMP PPP and NO3, and NH4+ utilization and their responses to bicarbonate and variable ammonium still remains elusive. In this study, we used Brassica napus (Bn, a non-karst-adaptable plant) and Orychophragmus violaceus (Ov, a karst-adaptable plant) as plant materials, employed a bidirectional nitrogen-isotope-tracing method, and performed the quantification of the contribution of EMP and PPP. We found that bicarbonate and ammonium inhibited glucose metabolism and nitrogen utilization in Bn under simulated karst habitats. On the other hand, it resulted in a shift from EMP to PPP to promote ammonium utilization in Ov under high ammonium stress in karst habitats. Compared with Bn, bicarbonate promoted glucose metabolism and nitrogen utilization in Ov at low ammonium levels, leading to an increase in photosynthesis, the PPP, carbon and nitrogen metabolizing enzyme activities, nitrate/ammonium utilization, and total inorganic nitrogen assimilation capacity. Moreover, bicarbonate significantly reduced the growth inhibition of Ov by high ammonium, resulting in an improved PPP, RCRUBP, and ammonium utilization to maintain growth. Quantifying the relationships between EMP, PPP, NO3, and NH4+ utilization can aid the accurate analysis of carbon and nitrogen use efficiency changes in plant species. Therefore, it provides a new prospect to optimize the nitrate/ammonium utilization in plants and further reveals the differential responses of inorganic carbon and nitrogen (C-N) metabolism to bicarbonate and variable ammonium in karst habitats.

1. Introduction

In high bicarbonate (high pH) karst ecosystems, under drought, bicarbonate (HCO3) is the main product of carbonate after karstification [1]. Previous studies have shown that high bicarbonate stress causes plant growth inhibition due to a decline in photosynthesis [2], nitrogen use efficiency [3], and carbon and nitrogen metabolism enzyme activities [4,5]. Recently, many scholars have found that HCO3 could promote plants’ growth under drought, high bicarbonate, and high pH stress in karst environments by enhancing the bicarbonate use capacity (BUC) and total inorganic carbon assimilation capacity of Camptotheca acuminata Decne [6] and Broussonetia papyrifera [7]. Moreover, bicarbonate photolysis and water photolysis could both be sources of photosynthetic oxygen [8,9]. This has resulted in a revised formula of photosynthetic oxygen evolution as follows: 2H2O + CO2 → H2O + H+ + HCO3 → O2 + 4e + 4H+ + CO2 [10], which should be sourced from both bicarbonate and water in a 1:1 (mol/mol) stoichiometric relationship [11]. Hence, it confirmed that bicarbonate significantly contributes to plant growth in karst habitats.
Additionally, bicarbonate could positively regulate glucose metabolism in plants, primarily through the glycolysis pathway (EMP) and pentose phosphate pathway (PPP), to facilitate adaptation to karst habitats [5,12]. Wu and Xing [13] determined the contribution of PFK and G6PDH (key enzymes in EMP and PPP, respectively) and total glucose metabolism to determine the adaptation of plant species to karst environments. Therefore, the photosynthetic growth power (GC) and RUBP regeneration capacity (RCRUBP) could also be calculated to estimate the capacity of glucose (organic carbon) disproportionation from photosynthesis to the EMP and PPP. High bicarbonate stimulates the shift from the EMP to the PPP, and in the case of Broussonetia papyrifera (Bp.), both the EMP and PPP are increased at 3 mM HCO3 [12]. Notably, 10 mM HCO3 promoted the pentose phosphate pathway of Orychophragmus violaceus (Ov) while maintaining its growth [5].
Bicarbonate also enhanced nitrate use in plant species grown in karst environments [14,15]. Nitrogen assimilation uses both ATP and NADPH from the EMP and PPP, which impacts nitrate reduction and ammonium assimilation efficiency. Nitrate and ammonium are commonly used in inorganic nitrogen sources of plant tissue culture and utilized in complex processes of nitrogen metabolism, including nitrate reduction, ammonium assimilation, and protein formation [16]. Therefore, the unidirectional isotope method can be implemented to precisely calculate nitrate and ammonium utilization, albeit with some difficulties. Generally, it is difficult to directly obtain plants’ nitrate/ammonium utilization by traditional methods. Fortunately, the bidirectional stable nitrogen isotope tracers can accurately quantify the nitrate and ammonium utilization by plants [13,17]. Under the same culture conditions, we used two nitrogen isotope markers with a difference in δ15N value over 10‰, labeled with high (H) and low (L), to obtain nitrate utilization/ammonium by different plant species accurately. In addition, according to the NR and GOGAT activities, nitrate/ammonium assimilation efficiency in plant species can be determined [18,19].
Due to drought, high pH, and high bicarbonate in the karst soil, the NH4+ is easily volatilized to NH3 and enters the atmosphere. Consequently, the content of ammonium is often lower, while nitrate in karst soil is often higher than that in non-karst areas [13]. Soils high in nitrate and bare in ammonium are typical characteristics under karst areas, with the lack of ammonium being a key factor limiting plant growth [20]. The assimilation of one NO3 consumes 20 mol of ATP, while the assimilation of one NH4+ only consumes 5 mol of ATP. Consequently, the energy cost for the assimilation of 1 mol of nitrogen (NO3 + NH4+ = 1 mol total nitrogen) will be in the range of 5 mol to 20 mol of ATP for plant species’ grown in mixed nitrogen source conditions [21], which is much higher compared to exclusively ammonium assimilation (only 5 ATP/mol NH4+). However, high ammonium can lead to the acidification of the root, inhibiting the nitrogen accumulation efficiency (NAC) and plant growth [22]. It is not clear whether there is a linear relationship between ammonium supply (total nitrogen concentration) and ammonium utilization among different plant species. Furthermore, it has been reported that the EMP and PPP pathways are two important metabolic processes in glucose metabolism, involved in the production of ATP and NAD(P)H, respectively. The contributions of ATP and NAD(P)H were determined when plant species assimilated 1 mol of glucose [12,13]. Therefore, based on the EMP and PPP contributions, we can predict the production efficiency of ATP and NAD(P)H in plant species. However, the relationship between EMP, PPP, NO3, and NH4+ utilization in plant species and their differential responses to bicarbonate and variable ammonium have not been directly investigated.
In this study, we experimentally evaluate the growth of Brassica napus (Bn, a non-karst-adaptable plant) and Orychophragmus violaceus (Ov, a karst-adaptable plant), which are both Brassicaceae species. Bn is an important cash crop widely grown for oil production, and Ov is cultivated due to its fatty acid content and fuel properties [23]. Bicarbonate concentrations in karst soils are usually in the range of 1–10 mM; thus, 10 mM NaHCO3 was used to simulate a high bicarbonate (high pH) environment with a relatively stable pH, set at 8.3 ± 0.02 [24]. It should be emphasized that Na+ presence merely inhibited plant growth because 10 mM Na+ is much lower than the toxic concentration of Na+ in plants (more than 50 mM Na+) [25]. Hence, we aim to answer the following questions: (1) based on the bidirectional N stable isotope tracing method, we aim to reveal the different utilizations of NO3 and NH4+ in bicarbonate and various ammonium conditions; and (2) to precisely quantify the relationship between EMP, PPP, and NO3/NH4+ utilization capacity in a non-karst-adaptable plant and a karst-adaptable plant.

2. Materials and Methods

2.1. Bicarbonate and Ammonium Treatment

Two Brassicaceae plants, Bn (a non-karst-adaptable plant) and Ov (a karst-adaptable plant), were selected as the experimental materials. The Bn and Ov seeds were obtained from the Guizhou Vocational College of Agriculture, Guizhou, and Shanxi Agricultural Reclamation Scientific Research Center, Shanxi, China. The experiments were conducted in a greenhouse with a length, width, and height of 10 × 5 × 4 m (respectively) at the Institute of Geochemistry, Chinese Academy of Sciences (Guiyang, China). Metal halide lamps (HPI-T400 W/645, Philips, The Netherlands) were used as a light source, and the temperature was controlled by air conditioning. The greenhouse environment was maintained as follows: light 500 ± 23 μmol m−2·s−1; temperature (day/night) of 25/19 °C; constant light time of 12 h per day; and relative humidity range of 55–60%. The Bn and Ov seeds were stirred uniformly with 70% ethanol, sterilized for 1 min, repeatedly rinsed with sterile water 3–5 times, and soaked for 6–8 h. The Ov and Bn seedlings were grown in germination trays (twelve-hole size, 19 × 15 × 9.5 cm), filled with perlite: vermiculite in a 1:3 ratio, and irrigated with a modified Hoagland solution that provided the nutrients. In addition, it has been reported that karst drought is characterized by high pH and high bicarbonate. Therefore, we applied PEG6000 with at a 10 g/L concentration to simulate a drought habitat, and the pH was maintained at 8.30 ± 0.02. The nutrient solution was changed every 3 days, and the seedlings were transplanted after 28 days for the subsequent experiment. The Bn and Ov seedlings with uniform growth were categorized as 3 plants/pot, 3 pots/group, and 3 groups/treatment for the differential bicarbonate treatments, which were conducted for 10 days. A total of 10 mM NaHCO3 was added to simulate a high pH (8.30 ± 0.05), referring to the NO3 concentration from the Hoagland nutrient solution. A concentration of 15 mM NO3 was used in this experiment. Meanwhile, based on the bidirectional stable nitrogen isotope-tracing method, we selected two groups of 15NO3 with isotopic values differing by more than 10‰, which were labeled as High (H) and Low (L) to culture Bn and Ov at different NH4+ levels (Table 1). After 8 days, the following indicators were measured.

2.2. Sample Collection for Biomass Estimation

The Bn and Ov plants, under various treatments, were collected in three parts: roots, stem, and leaves. They were heated at 108 °C for 30 min and dried at 70 °C to obtain the organic biomass and total biomass.

2.3. Photosynthesis Measurement

The 2nd to 3rd fully expanded leaves of Ov and Bn plants were used to measure photosynthesis from 9:00 to 11:00 a.m. The Li-6400 photosynthesis system (LI-COR, Lincoln, Raleigh, USA) was used to measure photosynthesis, including the net photosynthetic rate (Pn, μmol m−2·s−1), stomatal conductance (Gs, mmol H2O m−2·s−1), transpiration rate (Tr, mmol H2O m−2·s−1), and intercellular CO2 concentration (Ci, μmol CO2 mol−1·air−1) in Bn and Ov plants. The water use efficiency (WUE) was analyzed according to Formula (1).
WUE = Pn/Tr
The other parameters were set as follows: temperature of 25 °C, CO2 concentration of 400 μmol/mol in the buffered glass bottles, and photosynthetically active radiation intensity of 500 μmol/m2·s−1.

2.4. C/N Concentration of Leaves

Dried leaves from Bn and Ov plants were used to determine the carbon and nitrogen contents using an elemental analyzer (Vario MACRO cube, Frankfurt, Germany). The C and N concentrations of leaves were measured according to Formulas (2) and (3), respectively.
C (leaves, mg/g) = Dwleaves × C%
N (leaves, mg/g) = DWleaves × N%

2.5. Carbon and Nitrogen Metabolism Enzymes

Fresh leaves (0.1 g) from Bn and Ov plants (the 3rd or 4th leaves of the seedlings) were weighed and ground with liquid nitrogen. Then, the Rubisco (ribulose bisphosphate carboxylase oxygenase, ARubisco), SS (sucrose synthase, ASS), NR (nitrate reductase, ANR), GOGAT (Glutamate synthase, AGOGAT), PFK (Phosphofructokinase, APFK), and G6PDH (NADP-glucose-6-phosphate dehydrogenase, AG6PDH) activities were measured with bio enzyme kits (Sangon Biotech, Shanghai, China). Carbon- and nitrogen-metabolizing enzymes were measured as follows:
ARubisco: In 0.1 g of tissue, 1 mL of extract A was added and was homogenized in an ice bath by sonication (200 W, sonication 3 s, interval 7 s, 1 min). Then, the solution was centrifuged at 4 °C, 8500 rpm for 10 min. The supernatant was taken as the crude enzyme solution and placed on ice for subsequent measurements. The measurements were performed in a UV spectrophotometer, which was preheated for more than 30 min; the wavelength was set to 340 nm, and distilled water was used as a blank. According to the instruction of the Rubisco kit, the reagents numbered 1–5 were added in a 1 mL quartz cuvette at 25 °C, mixed gently, and the Rubisco activity was measured at 340 nmOD, reading the absorption values A1 and A2 after 10 s and 10 min (ΔA = Arubisco = A1–A2). The Rubisco activity was then calculated according to the kit (Order No. D799834-9100, Sangon Biotech).
ASS: In 2.0 g of plant sample, 2 mL of acetic acid buffer was added, and the mix was ground into a paste with a mortar in an ice bath. It was then centrifuged at 12,000 r/min for 10 min, and the supernatant was taken for enzyme activity determination. A total of 0.8 mL of the sample, 0.5 mmol/L acetic acid buffer, 0.2 mL sucrose solution, and 1 mL diluted enzyme solution were added into two stoppered, graduated test tubes and left at room temperature for 10 min. The absorbance was measured at 25 °C, pH = 4.5, and OD510 nm. A1 and A2 were obtained after 10 s and 1 min (ΔA = ASS = A1–A2), and then the Rubisco activity was calculated according to the SS kit (Order No. D799786, Sangon Biotech).
ANR: In 0.1 g of plant sample, 1 mL of extraction solution was added, and the mix was homogenized in an ice bath (or ground with quartz sand). It was then centrifuged at 12,000 rpm for 10 min at 4 °C. The supernatant was removed and placed on ice for measurement. The visible spectrophotometer was preheated for more than 30 min, the wavelength was adjusted to 340 nm, and distilled water was used as the blank. The sample (80 μL), reagent 1 (280 μL), and reagent 2 (120 μL) were added into the EP tube in turn, and the reaction was conducted at 30 °C for 15 min. All the clear liquid was transferred to a 1 mL glass cuvette. The absorbance value A was obtained immediately at 530 nm, with ΔA = ANR = Ameasurement-Acontrol, and the NR activity was then obtained according to the instructions of the NR kit (Order NO. D799304, Sangon Biotech).
AGOGAT: In 0.1 g of plant sample, 1 mL of extraction solution was added, and the mix was homogenized in an ice bath. It was then centrifuged at 8000× g for 10 min at 4 °C, and the supernatant was taken and placed on ice for measurement. The spectrophotometer was preheated for more than 30 min, the wavelength was adjusted to 340 nm, and distilled water was used as the blank. A total of 25 mL of reagent 1 was added to reagent 2, dissolved and mixed thoroughly, and placed in a water bath at 25 °C for 5 min. A total of 0.1 mL of sample and 0.9 mL of working solution was placed in a 1 mL cuvette and mixed well. The initial absorbance A1 was recorded at 20 s, and the absorbance A2 at 320 s at 340 nm wavelength. ΔA = AGOGAT = A1–A2 was calculated, and then the GOGAT value of the sample was obtained according to the instructions of the kit (Order NO. D799302, Sangon Biotech).
APFK: For the phosphofructokinase (PFK) activity assay, ATP-PFK and PPi-PFK were assayed as described previously with some modifications. A 200μL aliquot of the extract was added to 1.8 mL of the assay buffer containing 50 mM Hepes-Tris (pH 7.8), 2.5 mM MgCl2, 0.1 mM NADH, 5 mM F-6-P, 2 units/mL aldolase, 1 unit/mL triosephosphate isomerase, 2 units/mLα-glycerol-3-phosphate dehydrogenase, and either 1 mM ATP or 1 mM PPi. The oxidation of NADH to NAD+ was measured as the changing rate of the absorbance at 340 nm during the initial 5 min. The PFK activity was equal to ATP-PFK activity and PPi-PFK activity.
AG6PDH: The Glucose-6-phosphate dehydrogenase (G6PDH) activity was assayed as described previously with some modifications. A 200 μL aliquot of the extract was added to either 1.8 mL of the total dehydrogenase (G6PDH + 6PGDH) assay buffer containing 50 mM Hepes-Tris (pH 7.8), 3.3 mM MgCl2, 0.5 mM D-glucose-6-phosphate disodium salt, 0.5 mM 6-phosphogluconate, and 0.5 mM NADP-Na2 or 1.8 mL, and the 6-phosphogluconate activity was subtracted.

2.6. Evaluation of the Glycolysis Pathway and the Pentose Phosphate Pathway Activities

The total glucose metabolic activity (EA), the contribution of EMP (EEMP) and of PPP(EPPP), the growth capacity (GC), and the regeneration capacity of Ribulose-1,5-bisphosphate (RCRUBP) were calculated according to Formulas (4)–(8), respectively [12].
EA = APFK + AG6PDH
EEMP = APFK/EA
EPPP = AG6PDH/EA
GC = EEMP × Pn
RCRUBP = EPPP × Pn

2.7. Measurement of δ15 N Values

The δ15N value of plant leaves was measured by a gas isotope ratio mass spectrometer (MAT 253, Germany) according to Formula (9):
δ15 N sample = Rsample/Rstandard − 1 × 1000

2.8. Utilization of NO3/NH4+ in Plants

Mixed nitrogen sources, including nitrate and ammonium, have been used to determine the nitrogen isotope values in plants. In this study, two nitrate sources with different nitrogen isotope values (more than 10‰) were supplied for nitrate utilization. The δ15N value of ammonium was lower compared to both nitrate sources. Therefore, the δ15N value reflected the results of assimilated nitrate and ammonium. Consequently, using Formula (10), we calculated the foliar δ15N value (δT), obtained by measuring the nitrogen isotope composite ion. Subsequently, the bidirectional nitrogen isotope method was calibrated to quantify the contributions of nitrate and ammonium. δA and δB are the δ15N values derived from nitrate/ammonium assimilation, and fA and fB are the contributions of NO3/NH4+ assimilation in plants.
δT = fA δA + fB δB = fA δA + (1 − fA) δB
In this study, two labeled nitrogen isotope ratios, which differed by 10% (δ15N values, L: 12.7‰; H: 22.72‰), were used to quantify the nitrate (fA) and ammonium contribution (fB). The bidirectional nitrogen isotope tracing method was calculated as follows (11).
δTH = fAHδAH + fBδB = fAHδAH +(1 − fAH) δB
In contrast, the low isotope treatment measurement can be expressed as follows (12).
δTL = fALδAL+ fBδB = fALδAL + 1 − fALδB
After treatment, the total nitrogen (TN) in plant leaves corresponds to the sum of the pre-existing nitrogen (before treatment) and the newly acquired nitrogen (at treatment). Therefore, the plant leaf nitrogen isotope values (δT) are mixed δ15N values and are the sum of the δ15N values of the leaves before treatment and at treatment. In that case, we set the percentage of the leaf nitrogen before treatment as f0, the leaf δ15N values as δ0, the percentage of the leaf nitrogen post-treatment as fnew, and the leaf δ15N values as δnew. In conclusion, we obtained the different nitrogen isotope values of leaves, as shown in Formula (13).
δT= f0δ0 + fnew δnew
The sum of f0 and fnew is 1 (100%). Therefore, we can use Formula (14):
fnew = 1 − f0
Thus, Formula (13) can be expressed as Formula (15):
δT = f0 δ0 + (1 − f0) δnew
In addition, we could obtain f0 and δnew, which were set as in Formula (16):
f 0 = δ T δ n e w δ 0 δ n e w
In Formula (16), δ T is the mixed nitrogen isotope value of the leaves; δ 0 is the leaf nitrogen isotope value before treatment; and δ n e w is the leaf nitrogen isotope value post-treatment. Initially, the value we found was 0, δ T = δ 0 . Consequently, f0 was 1 (100%) at 0 days before treatment. In this experiment, δnew corresponds to the δTL values of the nitrogen isotope markers, and the δ15N values of the high/low nitrogen isotope markers were 22.72‰ ( δ n e w H ) and 12.7‰ ( δ n e w L ), respectively. Hence, we obtained the different nitrogen isotope values of the leaves (δTH and δTL) labeled with high/low nitrogen isotopes markers, as shown in Formulas (17) and (18):
δTH = f0δ0 + (1 − f0) δnew-H
δTL = f0δ0 + (1 − f0) δnew-L
In this experiment, the same culture conditions were maintained for both plant species. Therefore, the nitrate and ammonium contributions were the same, except for the nitrogen isotope value in the high (H) and low (L) treatments. However, the physiological processes, metabolism, and growth were considered similar for both plants under the same total nitrogen level. Consequently, we obtained Formulas (19) and (20).
fA = fAH = fA
1 − fAH =1 − fAL
Finally, the utilization of NO3 (fA) and NH4+ (fB) in the plant species was calculated from Formulas (21) and (22), respectively:
f A = δ T H δ T L δ H δ L
fB =1 (100%) − fA

2.9. Total Nitrogen Assimilation Capacity of Plants

According to the δ15N values, the nitrogen assimilation capacity was expressed as Δ15N in Formula (23) [15], and the nitrogen accumulation capacity was estimated according to Formula (24).
Δ15N = δ15 Nsubstrateδ15Nproduct, δ15Nproduct = 8.08‰
NAC (mg N/plant) = DWplant × N%

2.10. The Contribution of NO3/NH4+ to Nitrogen Accumulation Capacity

The contribution of NO3/NH4+ to total inorganic nitrogen accumulation (NACA/NACB) was calculated according to Formulas (25) and (26), respectively.
NACA = NAC × fA
NACB = NAC × fB

2.11. The ATP Consumption of NO3, NH4+, and Total Nitrogen Assimilation

It has been reported that plants reduce 1 mol NO3 consuming 20 mol ATP, while 1 mol NH4+ is assimilated by consuming 5 mol ATP [21]. Therefore, based on the NO3 and NH4+ utilization values of the leaves (Formulas (21) and (22)), we obtained the ATP consumption for the nitrate reduction (ATPA), the ammonium assimilation (ATPB), and total nitrogen assimilation (ATP (A + B)) of leaves, as shown in Formulas (27)–(29), respectively.
ATPA = ATP (NO3) × fA
ATPB = ATP (NH4+) × fB
ATP (A + B) = ATPA + ATPB

2.12. Statistical Analysis

The experimental data were evaluated for statistical differences using analysis of variance (ANOVA), and Tukey’s test (p ≤ 0.05) was performed for the pair-wise comparisons between the different experimental treatments. The results are presented as the mean ± standard deviation (SD), and the figures were designed using Origin Pro 2019b(64-bit).

3. Results

3.1. Plant Growth

Significant differences were observed between Bn and Ov at different bicarbonate and ammonium levels (Table 2). In B0 (0 mM HCO3), with increasing NH4+, the root, stem, leaf, and total biomass in Bn and Ov plants increased to the highest level at 10 mM NH4+ and 2 mM NH4+, respectively. On the other hand, in B10 (10 mM HCO3), the biomass of root, stem, leaf, and total biomass in Bn was significantly lower than those in B0. Compared to Bn, the biomass of root, stem, leaf, and total biomass in Ov increased significantly at 2 mM NH4+ in B10.

3.2. Effects of Bicarbonate and Ammonium on Photosynthesis

In this study, the photosynthesis of Bn and Ov plants was remarkably contrasting at different bicarbonate and ammonium levels (Figure 1). With increasing NH4+, in B0, the Pn (net photosynthetic rate), Cs (intercellular carbon dioxide concentration), and Ci (intercellular carbon dioxide concentration) of Bn and Ov plants increased, reaching their maximum levels at 10 mM NH4+ and 2 mM NH4+, respectively. The WUE (water use efficiency) decreased to the lowest level at 20 mM NH4+.
With the addition of 10 mM HCO3, the Pn, Gs, Ci, and WUE of Bn plants decreased significantly compared to the B0 treatment. However, the Pn of Ov plants did not change significantly, while the Gs and Tr (transpiration) significantly increased at 10 mM NH4+ and 20 mM NH4+.

3.3. Inorganic Carbon and Nitrogen Contents in Leaves

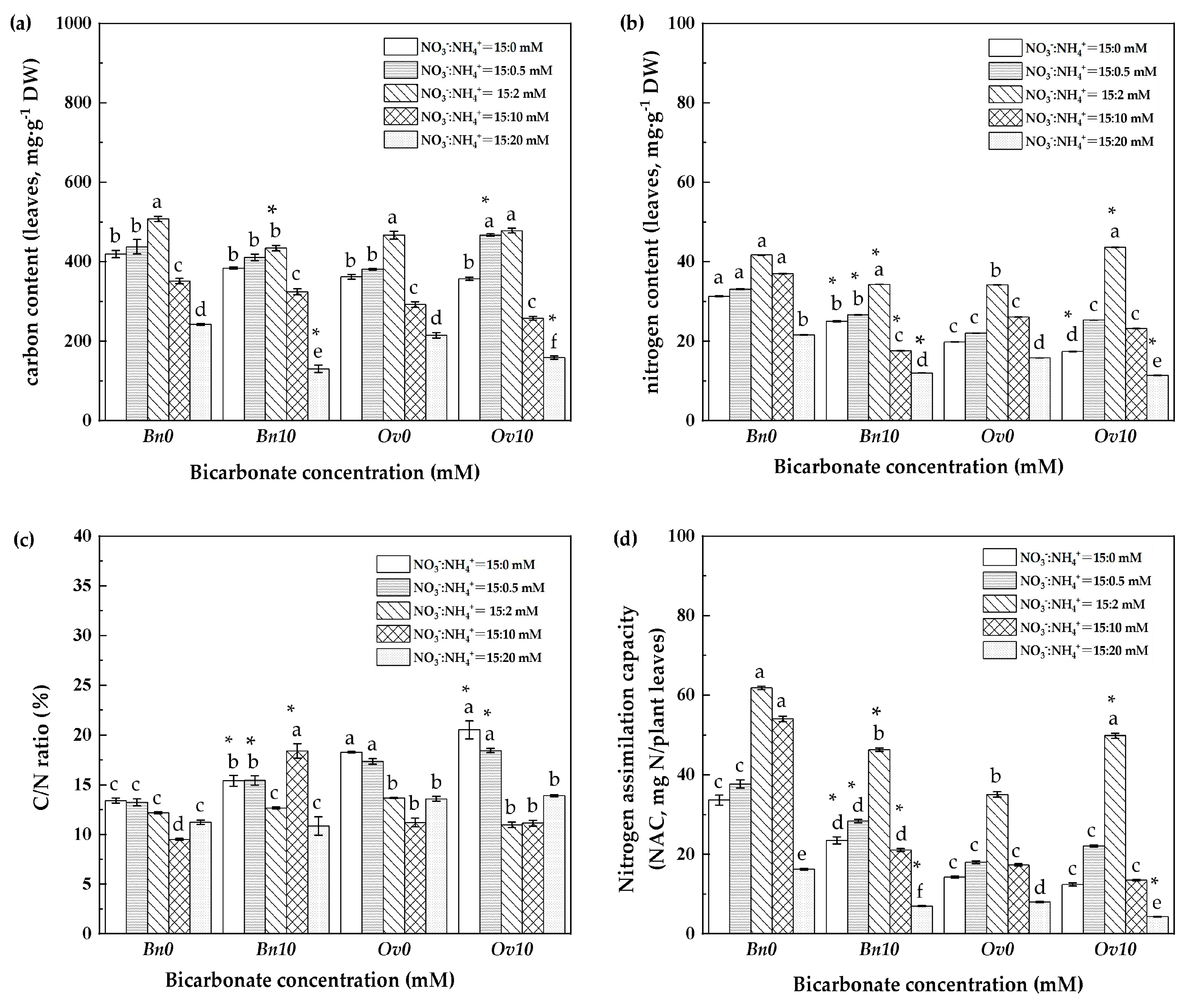
In Figure 2, under bicarbonate and ammonium treatments, the C, N, and NAC (nitrogen accumulation capacity) of Bn and Ov plants increased to the highest level at 2 mM NH4+ in B0, although it did not have a significant difference. On the other hand, significant differences were observed in B10. Compared to Bn, the C content of Ov plants increased significantly at 0.5 mM NH4+, and both the N content and NAC increased significantly at 2 mM NH4+. In contrast, they decreased consistently in Bn plants.

3.4. Carbon and Nitrogen Metabolism Enzymes

The Rubisco, SS, NR, and GOGAT activities were measured in Bn and Ov plants (Figure 3). In B0, the Rubisco and SS activities of Bn and Ov plants were significantly increased to the highest level at 10 mM NH4+ and 2 mM NH4+, respectively. The NR activities of Bn and Ov plants reached their highest and lowest levels at 2 mM NH4+ and 20 mM NH4+, respectively, and significant differences were observed. The GOGAT activities of Bn and Ov plants reached their highest levels at 10 mM NH4+ and decreased at the highest ammonium level (20 mM NH4+).
In the B10 treatment, the Rubisco and SS activities of Bn plants significantly decreased, reaching the lowest level at 20 mM NH4+. The NR activities significantly decreased above 0.5 mM NH4+, while the GOGAT activities significantly decreased above 10 mM NH4+. Compared to Bn, the Rubisco activity in the Ov plants exhibited an overall increase at 2 mM NH4+ and the SS activity increased from 0.5 mM to 10 mM NH4+. In contrast, the NR and GOGAT activities of Ov plants decreased, reaching their lowest level at 20 mM NH4+.

3.5. Effects of Bicarbonate and Ammonium on the Glycolysis and Pentose Phosphate Pathways

In Figure 4 of the B0 treatment, the PFK activity, EEMP, and total glucose metabolism increased, reaching their highest levels at 2 mM NH4+ in both Bn and Ov, while the G6PDH activities and the EPPP of Bn and Ov plants were significantly increased only at 10 mM and 20 mM NH4+, respectively.
In the B10 treatment, the PFK activities and EMP of Bn plants decreased, reaching their lowest value at the highest ammonium level (20 mM NH4+). At this level, the G6PDH activities and PPP of Bn plants showed a contrasting response, increasing to their highest values. Therefore, the total glucose metabolism in Bn plants did not change compared to the B0 treatment. On the other hand, the PFK activities and EMP decreased, while the G6PDH activities, PPP, and total glucose metabolism increased in Ov plants.

3.6. The Growth Capacity and the Regeneration Capacity of RUBP

As shown in Figure 5, in the B0 treatment, the growth capacity (GC) and the regeneration capacity of RUBP (RCRUBP) of Bn and Ov plants reached their highest value at a low ammonium level (2 mM NH4+). In the B10 treatment, the GC and RCRUBP of the Bn plants significantly decreased compared to B0, but the GC did not change, and the RCRUBP increased at 2 mM NH4+ in Ov plants.

3.7. The Post-Treatment Nitrogen Isotope Values in the Leaves

As shown in Table 3, in the B0 treatment, the δ15N value in the Bn and Ov leaves significantly increased, reaching its highest level at 20 mM NH4+ and decreasing to its lowest level at 10 mM NH4+. The Δ15N values showed the opposite trend compared to the δ15N value, significantly decreasing to their lowest level at 20 mM NH4+ and increasing to their highest level at 10 mM NH4+.
In the B0 treatment, the δ15N value of Bn and Ov plants significantly increased at 0 mM and 10 mM NH4+. However, the δ15N value of Bn plants significantly decreased at the highest ammonium concentration (20 mM NH4+) in the B10 treatment, while the Δ15N value increased. Compared to Bn, the δ15N value of the Ov plants of B10 was significantly higher at the highest ammonium level (20 mM NH4+).

3.8. The NO3/NH4+ Utilization of Leaves at Different Bicarbonate and Ammonium Treatments

In Table 4, at different bicarbonate and ammonium treatments, the utilization of NO3 (fA) and NH4+ (fB) and their contributions to total inorganic nitrogen accumulation in Bn and Ov leaves reached their lowest levels at 10 mM NH4+, while fB exhibited its highest level under this treatment. The NACA of Bn and Ov leaves increased to its highest level at 2 mM NH4+. The NACB of Bn and Ov leaves, respectively, reached their highest levels at 10 mM NH4 and 2 mM NH4+.
After adding 10 mM HCO3, the fA of Bn leaves was significantly increased only at 10 mM NH4, while the NACA significantly decreased across all ammonium treatment regimes. In contrast, the fB and NACB significantly increased across all ammonium treatments. The fA and NACA of Ov leaves significantly decreased, except for the treatment of 0 mM and 10 mM NH4+, while the fB and NACB significantly increased between 0.5 mM and 2 mM NH4+.

3.9. The ATP Consumption of Leaves at Different Bicarbonate and Ammonium Treatments

In Table 5, at different bicarbonate and ammonium treatments, we qualified the ATP consumption of NO3, NH4+, total inorganic nitrogen accumulation, and the difference in ATP consumption of total nitrogen assimilation after bicarbonate treatment in Bn and Ov leaves, labeled as ATPA, ATPB, ATP (A + B), and ΔATP (A + B), respectively. In B0 of Bn, the ATPA and ATP (A + B) decreased to the lowest level at 10 mM NH4+, where the ATPB increased to the highest level. As for Ov in B0, the ATPA increased to the highest level at the highest (20 mM) ammonium supply, where the ATPB decreased to the lowest level. However, the ATP (A + B) of Ov in B0 reached to the highest level at 2 mM NH4+.
After adding 10 mM HCO3, the ATPA of Bn leaves in B0 was significantly increased only at 10 mM NH4+, while the ATPB significantly decreased except 20 mM NH4+, and the ATP (A + B) significantly decreased across all ammonium treatments. As for Ov of B10, the ATPA significantly decreased at other treatments except for 10 mM NH4+, but where the ATPB significantly increased. The ATP (A + B) of Ov in B10 only decreased significantly at a high ammonium level from 10 mM to 20 mM NH4+. ΔATP (A + B) of Bn and Ov decreased to the lowest level at the highest ammonium level (20 mM NH4+).

4. Discussion

4.1. Glucose Metabolism (EMP and PPP) and Growth in Bn and Ov Plants at Different Bicarbonate and Ammonium Levels

As it is known, high bicarbonate is not conducive to plant growth, leading to a decrease in the level of inorganic carbon and nitrogen metabolism of plants, which is manifested as a decrease in plant biomass [13,26]. In the B10 treatment, the growth of Bn and Ov plants reached its lowest values at 20 mM NH4+ (Table 2), which resulted in severe damage to plant cell membranes and a critical decline in the photosynthetic capacity and carbon assimilation (Figure 1 and Figure 2a). These responses can be attributed to osmotic stress caused by high bicarbonate and ammonium levels [27,28]. In this study, we found that bicarbonate significantly reduced the inhibition of Ov growth due to high ammonium. At 10 mM HCO3, the biomass, photosynthesis, and leaf inorganic carbon content decreased in both Bn and Ov plants. However, the reduction in Ov was less severe compared to Bn (Table 5, and Figure 1a and Figure 2a), and the biomass of Bn continued to decline with the increase in ammonium supply. Still, the Ov biomass increased at 2 mM NH4+, indicating different responses of carbon assimilation capacity to bicarbonate and assimilation among various plant species. It has been shown that stomatal movement is positively correlated with plant photosynthesis [29,30], which supports our findings that high bicarbonate and ammonium inhibited Gs, thereby reducing photosynthesis in Bn and Ov plants. Moreover, the activities of carbon metabolism enzymes, such as Rubisco, SS, and PFK, decreased (Figure 2 and Figure 3) as a result of the reduced photosynthesis, which decreased carboxylation efficiency in plant cells [31,32]. However, compared to Bn, we observed that bicarbonate reduced the inhibitory effects of high ammonium on Ov plants’ growth. Bicarbonate significantly alleviated the Gs of Ov plants (Figure 1b). At the same time, the Ov plants exhibited an increased carbonic anhydrase (CA) activity, catalyzing the conversions of HCO3 to CO2 and H2O to relieve stress in karst habitats [23,24]. In addition, the Tr and WUE of Ov plants were decreased to a lower extent compared to Bn (Figure 1d,e), which resulted in a significantly lower reduction in the Pn of Ov plants. Moreover, it was also attributed to a greater PPP and RCRUBP of Ov plants (Figure 4d and Figure 5b). Under abiotic stress, it has been reported that the organic carbon of plant species results in a shift from EMP to PPP, in a percentage even higher than 50% [33,34]. PPP enhances NADPH production [35,36], promoting the cells’ metabolic activity, including the carbon- and nitrogen-metabolizing enzymes (Figure 1b). The shift to the PPP was also conducive to nitrate reduction and the formation of RuBP, which promoted the regenerative capacity of RuBP in the Calvin–Benson cycle. In Ov plants, the increase in PPP promoted excess light energy release in PSI and reduced the damage to the PSI reaction center proteins, which maintained the Pn and GC [12,37].

4.2. Differential Responses of Inorganic NO3 and NH4+ to Bicarbonate and Ammonium in Bn and Ov Plants

It has been shown that the nitrogen/ammonium ratio is an essential factor affecting plant growth, photosynthesis, and yield [38]. In karst soils and under drought, high bicarbonate, and high pH habitats, bicarbonate regulates the nitrate/ammonium utilization and plants’ growth [5]. In addition, characterized as a “high nitrate and low ammonium” soil, the ammonium supply is beneficial to promote a virtuous nitrogen environment in karst soils [13]. Consequently, we evaluated the differential growth responses to bicarbonate and various ammonium levels of two Brassicaceae species. It has been reported that a high NR activity determines a higher inorganic N accumulation capacity. In this experiment, with the increase in NH4+ supply, we found that the inorganic N content of Bn and Ov leaves reached a maximum level at 2 mM NH4+, attributed to high NR activity and NAC [39]. Moreover, bicarbonate was more beneficial to the inorganic nitrogen assimilation of Ov plants, increasing their nitrate-reducing capacity and the capacity for carbon skeleton formation [14]. Otherwise, there was a different response of Bn and Ov leaves’ inorganic N content to bicarbonate and various ammonium levels. In this experiment, bicarbonate promoted, to a more significant extent, the leaf inorganic N content in Ov at 0.5 mM and 2 mM NH4+ compared to Bn. This might be attributed to the photosynthetic efficiency and growth of Ov [40,41]. Bicarbonate and ammonium inhibited the growth of Bn, leading to a decrease in leaf inorganic N accumulation. In contrast, at a low ammonium supply level, bicarbonate increased Gs in Ov, which promoted its Pn and growth (Table 1 and Figure 1). However, at the highest ammonium levels, the inorganic N content of Bn and Ov leaves decreased to its lowest level, attributed to growth inhibition (Table 1) [42], leading to the decline in inorganic N accumulation in both Bn and Ov.
Stable nitrogen isotope analysis can reveal the relationship between external nitrogen supply and plant nitrogen demand [43]. In this experiment, we calculated the “post-application” δ15N value of Bn and Ov leaf at bicarbonate and various ammonium level. High nitrate utilization determined the leaf δ15N value [44]. At low NH4+ levels (0.5 mM–2 mM NH4+), the Bn and Ov leaves mainly utilized NO3, resulting in no significant change in the post-application δ15N value of the leaves. Above 0.5 mM NH4+, the ammonium utilization of Bn and Ov increased, decreasing the post-application δ15N value. Still, the δ15N value of Bn and Ov leaves showed an exceptional increase at the highest ammonium level (20 mM NH4+), which could be attributed to the inhibition of plant growth caused by excess ammonium. At the same time, the Δ15N value and δ15N value showed an opposite trend [45]. At 20 mM NH4+, the Δ15N value of Bn and Ov leaves reached its highest level, indicating that the excessive NH4+ might produce “NH4+ toxicity” due to plant growth inhibition. A high nitrogen assimilation capacity was reported to correspond to a high δ15N value [15]. In B10, the post-application δ15N value of Bn and Ov leaves increased significantly at 10 mM NH4+, indicating that bicarbonate and ammonium promoted inorganic N assimilation in Bn and Ov leaves. In contrast, the post-application δ15N value of Bn and Ov leaves decreased at 20 mM NH4+, probably attributed to the inhibition of nitrogen assimilation (Figure 3) and growth (Table 1) in Bn and Ov.
We further quantified the NO3 and NH4+ utilization (fA and fB) of Bn and Ov leaves based on the bidirectional nitrogen isotope tracing method, with the sum of fA and fB in the plant always at 100%. As there is no ammonium salt in the Hogland solution, we assumed that nitrate is the only nitrogen source for total inorganic nitrogen assimilation, so that the fA of Bn and Ov is 100%, while fB is 0 (0%). With an increase in NH4+, the fA and NACA of Bn and Ov increased, but then it decreased at higher NH4+ concentrations. Still, the fB and NACB showed the opposite trend, indicating that plants might preferentially utilize NO3 at a low NH4+ level and NH4+ at a high NH4+ level. In B10, the fB of Bn and Ov significantly increased, indicating that bicarbonate promoted NH4+ utilization in Bn and Ov plants. At the highest NH4+ (20 mM NH4+), the NACA and NACB significantly decreased in Bn, but the NACB increased in Ov. It has been shown that plant ammonium assimilation requires ATP and carbon sources [17]. Compared to Bn, bicarbonate promoted photosynthesis (Figure 1), the leaf carbon content (Figure 2), and the total glucose metabolism (Figure 4) of Ov plants, resulting in the promotion of NH4+ assimilation.

4.3. NH4+/NO3 Utilization Determines Plant Growth Rather Than the Absolute Ammonium Levels or the Variable Sources of Total Nitrogen

Generally, NO3 reduction and NH4+ assimilation, which dominate inorganic nitrogen assimilation in plant species, consume ATP [17]. It was reported that the assimilation of 1 mol NO3 consumes 20 mol ATP, while the assimilation of 1 mol NH4+ consumes 5 mol ATP [21]. In this study, we calculated the NO3 reduction, NH4+ assimilation, and the ATP consumption of total nitrogen assimilation, ATPA, ATPB, and ATP (A + B). As shown in Table 5, we found that ATPA was significantly higher than ATPB in both Bn and Ov, indicating that NO3 reduction consumes more ATP than NH4+ assimilation, which is consistent with their metabolic demands. It has been demonstrated that optimal growth conditions determine plants’ inorganic nitrogen assimilation capacity [17,46]. In this experiment, B0, Bn, and Ov had the highest ATP at 2 mM NH4+, indicating a greatest inorganic N assimilation capacity, attributed to the optimal biomass production (Table 1). On the contrary, the ATP (A + B) of Bn and Ov reached their lowest levels at 20 mM NH4+, attributed to their significantly reduced growth. Compared to Ov, the ATPA, ATPB, and ATP (A + B) were greater in Bn, indicating a higher ATP consumption for total inorganic N assimilation, which resulted in a higher photosynthetic efficiency (Figure 1) and biomass (Table 1) of Bn. However, compared to Bn, we found that bicarbonate more significantly increased NH4+ assimilation in Ov, as evidenced by the higher ATPB values (part (b) in Table 5). In contrast, bicarbonate significantly reduced ATP (A + B) in Bn, except for the highest NH4+ level. At the same time, the ATP (A + B) showed no significant changes in Ov, which was attributed to bicarbonate more significantly inhibiting the photosynthesis and growth of Bn, resulting in an inorganic N assimilation reduction. In addition, we found that bicarbonate more significantly reduced the ATP consumption for inorganic nitrogen assimilation in Ov than that in Bn. Apparently, in B10, the ΔATP (A + B) of Bn was higher compared to Ov, which indicated that bicarbonate resulted in increased ATP consumption in Bn for nitrogen assimilation compared to Ov, especially at low NH4+ levels (0.5 mM–2 mM NH4+). For example, at 0.5 mM NH4+, the ΔATP (A + B) of Ov was −4.50 mM, indicating that 10 mM bicarbonate reduced the ATP levels for total nitrogen assimilation by 2.85 mM, perhaps implying that bicarbonate reduced the ATP required for total inorganic nitrogen assimilation in Ov by 18.38%. Increasing ATP consumption resulted in the inhibition of plant growth [1]. In B10, the reduction in Ov’s growth was significantly lower compared to that of Bn (Table 1), indicating that bicarbonate more significantly promoted the growth of Ov. This result further validates that karst-adaptable plant species, such as Ov, exhibit a “predatory uptake of NH4+” to maintain growth under the conditions of drought, high bicarbonate (high pH), abundant NO3, and bare NH4+ soil habitats [13].

4.4. Correlation of Glucose Metabolism and Nitrogen Utilization in Bn and Ov Plants under Bicarbonate and Variable Ammonium

An excessive ammonium supply may lead to acidic stress, which results in the “ammonium toxicity” observed in plants [16]. In this study, after treatment with over 2 mM NH4+, the increased ammonium supply reduced the growth of Bn and Ov plants (Table 1 and Figure 1), decreasing the inorganic carbon and nitrogen accumulation capacity. This was attributed to the high ammonium content, which has been shown to lead to large amounts of H+ consumption and the production of OH, inhibiting photosynthesis and inorganic nitrogen assimilation in plants [47]. Therefore, an ineffective ammonium cycle is detrimental to plant growth. In this study, bicarbonate significantly alleviated the high ammonium inhibition of growth in Ov plants compared to Bn plants, which was attributed to the higher glucose metabolic capacity (Figure 4 and Figure 5). In addition, a higher correlation was observed in Ov among EMP, NACA and NACB, PPP, and fB compared to those in Bn (Figure 6). It is well known that inorganic nitrogen assimilation requires energy and carbon skeletons derived from photosynthesis and glucose metabolism [5,12]. Under bicarbonate and high ammonium conditions, Ov maintained a higher PPP (Figure 4d) and ammonium utilization than Bn (part (b) in Table 4). Consequently, this resulted in a reduction in the ineffective ammonium cycle and the promotion of inorganic nitrogen assimilation and photosynthesis. Furthermore, it reflected the synergistic positive interaction of inorganic carbon and nitrogen assimilation in Ov plants under bicarbonate and high ammonium stress. These results suggest that, in karst habitats, photosynthetic oxygen release not only indicates water photolysis but is also involved in both water photolysis and bicarbonate photolysis (Figure 6c,d), providing electrons/H+ for ADP/NADP+ to produce ATP/NADPH for glucose metabolism, including the EMP, PPP, and TCA cycles in plants. Plants meet their nitrogen requirements mainly through nitrate reduction, which consumes energy. Therefore, the presence of low-level ammonium salt can reduce energy loss due to plant nitrogen assimilation and promote plant growth. In addition, low levels of ammonium salt can alleviate the high pH environment produced by high bicarbonate and maintain the homeostasis of the physiological functions of the roots. However, high ammonium is not conducive to plant growth, increasing plant energy expenditure. Fortunately, in karst habitats, bicarbonate is an effective carbon source, and plants may supplement water and carbon sources through “bicarbonate photolysis” to reduce energy loss and maintain plant growth. “Bicarbonate photolysis” appears to be more pronounced in karst-adaptable plants due to their efficient bicarbonate use capacity (BUC) [10], which results in Ov (a karst-adaptable plant species) having higher efficiency in bicarbonate photolysis, promoting ATP and NAPDH production to maintain its carbon and nitrogen metabolism cycle, leading to the enhancement of EMP, PPP, NACA, and NACB under high ammonium stress (Figure 6d). On the other hand, Bn plants have a lower BUC, resulting in less ATP and NADPH produced by bicarbonate photolysis (Figure 6c) and a larger decrease in inorganic carbon and nitrogen utilization efficiency under bicarbonate and high ammonium stress conditions.

5. Conclusions

Based on the bidirectional nitrogen isotope tracing method results and the quantification of EMP and PPP contribution, bicarbonate and ammonium inhibited the inorganic carbon and nitrogen utilization in Bn plants grown in simulated karst habitats. Compared with Bn, bicarbonate promoted inorganic carbon and nitrogen utilization in Ov plants at low ammonium levels, leading to an increase in photosynthesis, carbon- and nitrogen-metabolizing enzyme activities, PPP, nitrate/ammonium utilization, and total inorganic nitrogen assimilation capacity. Moreover, bicarbonate significantly reduced the growth inhibition of Ov plants by high ammonium, resulting in improved PPP, RCRUBP, and ammonium utilization to maintain growth. Our results indicate that bicarbonate leads to a shift from the EMP to the PPP, improving the ammonium utilization in Ov under high ammonium stress in karst habitats.

Author Contributions

A.X., Y.W., J.X., H.Y., J.M. and Z.Q. cooperated to complete this article. A.X. determined the experimental outline and analyzed the original data to design this article. Furthermore, Y.W. and J.X. conceived and funded the research and carefully participated in guiding and revising this article. H.Y., J.M. and Z.Q. provided some valuable suggestions when the first author revised this paper. All authors have read and agreed to the published version of the manuscript. Furthermore, we thank Bullet Edits Limited for the linguistic editing and proofreading of this article.

Funding

This work was supported by Support Plan Projects of Science and Technology of Guizhou Province (number 2021YB453), and the Key Research and Development Project of Hubei Province (number 2022BBA0059). Both fundings equally contributed to the manuscript, irrelevant to the order of appearance in the article.

Data Availability Statement

The data presented in this study are available up +on request from the corresponding author.

Conflicts of Interest

The authors declare no conflict of interest.

References

  1. Márton, V. Karst types and their karstification. J. Earth Sci. 2020, 31, 621–634. [Google Scholar]
  2. Yin, Z.; Zhang, H.; Zhao, Q.; Yoo, M.; Zhu, N.; Yu, J.; Yu, J.; Guo, S.; Miao, Y.; Chen, S.; et al. Physiological and comparative proteomic analyses of saline-alkali NaHCO3 responses in leaves of halophyte Puccinellia tenuiflora. Plant Soil 2019, 437, 137–158. [Google Scholar] [CrossRef]
  3. Zhang, H.; Huo, Y.; Xu, Z.; Guo, K.; Wang, Y.; Zhang, X.; Xu, N.; Sun, G. Physiological and proteomics responses of nitrogen assimilation and glutamine/glutamine family of amino acids metabolism in mulberry (Morus alba L.) leaves to NaCl and NaHCO3 stress. Plant Signal. Behav. 2020, 15, e1798108. [Google Scholar] [CrossRef] [PubMed]
  4. Ashraf, M.; Shahzad, S.; Imtiaz, M.; Rizwan, M. Salinity effects on nitrogen metabolism in plantsFocusing on the activities of nitrogen metabolizing enzymes: A review. J. Plant Nutr. 2018, 41, 1065–1081. [Google Scholar] [CrossRef]
  5. Xia, A.; Wu, Y. Joint interactions of carbon and nitrogen metabolism dominated by bicarbonate and nitrogen in Orychophragmus violaceus and Brassica napus under simulated karst habitats. BMC Plant Biol. 2022, 22, 264. [Google Scholar] [CrossRef]
  6. Rao, S.; Wu, Y. Root-derived bicarbonate assimilation in response to variable water deficit in Camptotheca acuminate seedlings. Photosynth. Res. 2017, 134, 59–70. [Google Scholar] [CrossRef]
  7. Fang, L.; Wu, Y. Bicarbonate uptake experiment show potential karst carbon sinks transformation into carbon sequestration by terrestrial higher plants. J. Plant Interact. 2022, 17, 419–426. [Google Scholar] [CrossRef]
  8. Stemler, A.; Radmer, R. Source of photosynthetic oxygen in bicarbonate-stimulated hill reaction. Science 1975, 190, 457–458. [Google Scholar] [CrossRef]
  9. Dismukes, G.; Klimov, V.; Baranov, S.; Kozlov, Y.; DasGupta, J.; Tyryshkin, A. The origin of atmospheric oxygen on earth: The innovation of oxygenic photosynthesis. Proc. Natl. Acad. Sci. USA 2001, 98, 2170–2175. [Google Scholar] [CrossRef] [PubMed]
  10. Wu, Y. Combined effect of bicarbonate and water in photosynthetic oxygen evolution and carbon neutrality. Acta Geochim. 2022, 42, 77–88. [Google Scholar] [CrossRef]
  11. Wu, Y. Is bicarbonate directly used as substrate to participate in photosynthetic oxygen evolution. Acta Geochim. 2021, 40, 650–658. [Google Scholar] [CrossRef]
  12. Yao, K.; Wu, Y. Rhizospheric bicarbonate improves glucose metabolism and stress tolerance of Broussonetia papyrifera L. seedlings under simulated drought stress. Russ. J. Plant Physiol. 2021, 68, 126–135. [Google Scholar] [CrossRef]
  13. Wu, Y.; Xing, D.; Hang, H.; Zhao, K. Principles Technology of Determination on Plants’ Adaptation to Karst Environment; Science Press Beijing China: Beijing, China, 2018; ISBN 978-7-03-059386-3. (In Chinese) [Google Scholar]
  14. Lu, Y.; Wu, Y. Does bicarbonate affect the nitrate utilization and photosynthesis of Orychophragmus violaceus? Acta Geochim. 2018, 7, 875–885. [Google Scholar] [CrossRef]
  15. Xia, A.; Wu, Y. Differential Responses of nitrate/ammonium use to bicarbonate supply in two Brassicaceae species under simulated karst habitat. Agronomy 2022, 12, 2080. [Google Scholar] [CrossRef]
  16. Hachiya, T.; Inaba, J.; Wakazaki, M.; Sato, M.; Toyooka, K.; Miyagi, A.; Yamada, M.; Sugiura, D.; Nakagawa, T.; Kiba, T.; et al. Excessive ammonium assimilation by plastidic glutamine synthetase causes ammonium toxicity in Arabidopsis thaliana. Nat. Commun. 2021, 2, 4944. [Google Scholar] [CrossRef] [PubMed]
  17. Zhang, K.; Wu, Y.; Hang, H. Differential contributions of NO3/NH4+ to nitrogen use in response to a variable inorganic nitrogen supply in plantlets of two Brassicaceae species in vitro. Plant Methods 2019, 31, 86. [Google Scholar] [CrossRef]
  18. Tcherkez, G.; Farquhar, G. Viewpoint: Isotopic fractionation by plant nitrate reductase, twenty years later. Funct. Plant Biol. 2006, 33, 531–537. [Google Scholar] [CrossRef] [PubMed]
  19. Hu, Y.; Guy, R. Isotopic composition and concentration of total nitrogen and nitrate in xylem sap under near steady-state hydroponics. Plant Cell Environ. 2020, 43, 2112–2123. [Google Scholar] [CrossRef]
  20. Wang, J.; Chen, J.; Jin, Z.; Guo, J.; Yang, H.; Zeng, Y.; Liu, Y. Simultaneous removal of phosphate and ammonium nitrogen from agricultural runoff by amending soil in lakeside zone of karst area, Southern China. Agric. Ecosyst. Environ. 2020, 289, 106745. [Google Scholar] [CrossRef]
  21. Salsac, L.; Chaillou, S.; Morot, G.; Lesaint, C.; Jolivet, E. Nitrate and ammonium nutrition in plants. Plant Physiol. Biochem. 1987, 25, 805–812. [Google Scholar]
  22. Jing, J.; Rui, Y.; Zhang, F.; Rengel, Z.; Shen, J. Localized application of phosphorus and ammonium improves growth of maize seedlings by stimulating root proliferation and rhizosphere acidification. Field Crops Res. 2010, 119, 355–364. [Google Scholar] [CrossRef]
  23. Wang, R.; Wu, Y.; Liu, Y.; Xie, T.; Zhang, K.; Li, H. Orychophragmus violaceus L., a marginal land-based plant for biodiesel feedstock: Heterogeneous catalysis, fuel properties, and potential. Plant Physiol. Biochem. 2014, 84, 497–502. [Google Scholar] [CrossRef]
  24. Hang, H.; Wu, Y. Quantification of photosynthetic inorganic carbon utilisation via a bidirectional stable carbon isotope tracer. Acta Geochim. 2016, 35, 130–137. [Google Scholar] [CrossRef]
  25. Zhang, H.; Xu, N.; Wu, X.; Li, J.; Ma, S.; Li, X.; Sun, G. Effects of four types of sodium salt stress on plant growth and photosynthetic apparatus in sorghum leaves. J. Plant Interact. 2018, 13, 506–513. [Google Scholar] [CrossRef]
  26. Li, C.; Zhang, X.; Gao, X.; Li, C.; Jiang, C.; Lin, G.; Zhang, X.; Fang, J.; Ma, L.; Zhang, X. Spatial and temporal evolution of groundwater chemistry of baotu karst water system at northern China. Minerals 2022, 12, 348. [Google Scholar] [CrossRef]
  27. Gao, C.; Wang, M.; Ding, L.; Chen, Y.; Lu, Z.; Hu, J.; Guo, S. High water uptake ability was associated with root aerenchyma formation in rice: Evidence from local ammonium supply under osmoticstress conditions. Plant Physiol. Biochem. 2020, 150, 171–179. [Google Scholar] [CrossRef]
  28. Poucet, T.; Beauvoit, B.; González, M.; Cabasson, C.; Pétriacq, P.; Flandin, A.; Gibon, Y.; Marino, D.; Noubhani, M. Impaired cell growthin ammonium stress explained by modelling the energy cost of vacuole expansion in tomato leaves. Plant J. 2022, 112, 1014–1028. [Google Scholar] [CrossRef]
  29. Moseley, R.C.; Tuskan, G.A.; Yang, X. Comparative genomics analysis provides new insight into molecular basis of stomatal movement in Kalanchoë fedtschenkoi. Front. Plant Sci. 2019, 10, 292. [Google Scholar] [CrossRef]
  30. Kaiser, E.; Morales, A.; Harbinson, J. High stomatal conductance in the tomato flacca mutant allows for faster photosynthetic induction. Front. Plant Sci. 2020, 11, 1317. [Google Scholar] [CrossRef] [PubMed]
  31. Souza, A.P.; Wang, Y.; Orr, D.J.; Silva, E.; Long, S. Photosynthesis across African cassava germplasm is limited by Rubisco and mesophyll conductance at steady state, but by stomatal conductance in fluctuating light. New Phytol. 2020, 225, 2498–2512. [Google Scholar] [CrossRef]
  32. Gujjar, R.S.; Banyen, P.; Chuekong, W.; Worakan, P.; Roytrakul, S.; Supaibulwatana, K. A Synthetic cytokinin improves photosynthesis in rice under drought stress by modulating the abundance of proteins related to stomatal conductance, chlorophyll contents, and Rubisco activity. Plants 2020, 27, 1106. [Google Scholar] [CrossRef]
  33. Luo, C.; Ju, Y.; Dong, P.; Gonzalez, E.; Wang, A. Risk assessment for PPP waste-to-energy incineration plant projects in china based on hybrid weight methods and weighted multigranulation fuzzy rough sets. Sustain. Cities Soc. 2021, 74, 103120. [Google Scholar] [CrossRef]
  34. Cole, T.C.; Hartmut, H.H.; Bachwlier, J.B. Spanning the globe-the plant phylogenyposter(PPP) project. Ukr. Bot. J. 2021, 78, 235–241. [Google Scholar] [CrossRef]
  35. Jiang, Z.; Wang, M.; Nicolas, M.; Ogé, L.; Garcia, M.; Crespel, L.; Li, G.; Ding, Y.; Gourrierec, J.; Grappin, P.; et al. Glucose-6-Phosphate Dehydrogenases: The hidden players of plant physiology. Int. J. Mol. Sci. 2020, 23, 16128. [Google Scholar] [CrossRef]
  36. Lei, D.; Lin, Y.; Zhao, B.; Tang, H.; Zhou, X.; Yao, W.; Zhang, Y.; Wang, Y.; Li, M.; Chen, Q.; et al. Genome-wide investigation of G6PDH gene in strawberry: Evolution and expression analysis during development and stress. Int. J. Mol. Sci. 2022, 23, 4728. [Google Scholar] [CrossRef]
  37. Holá, D.; Frimlová, K.; Kocová, M.; Markova, H.; Rothova, O.; Tumova, L. Effect of exogenously applied 20-hydroxyecdysone on the efficiency of primary photosynthetic processes substantially differs across plant species. Photosynthetica 2020, 58, 961–973. [Google Scholar] [CrossRef]
  38. Coleto, I.; Vega, M.; Glauser, G.; Moro, M.; Marino, D.; Ariz, I. New Insights on arabidopsis thaliana root adaption to ammonium nutrition by the use of a quantitative proteomic approach. Int. J. Mol. Sci. 2021, 20, 814. [Google Scholar] [CrossRef] [PubMed]
  39. Qin, S.; Sun, X.; Hu, C.; Hao, J.; Liu, C.; Xin, J.; Fan, S. Effect of NO3:NH4+ ratios on growth, root morphology and leaf metabolism of oilseed rape (Brassica napus L.) seedlings. Acta Physiol. Plant. 2017, 39, 198. [Google Scholar] [CrossRef]
  40. Zhu, X.; Yang, R.; Han, Y.; Hao, J.; Liu, C.; Fan, S. Effects of different NO3:NH4+ ratios on the photosynthesis and ultrastructure of lettuce seedlings. Hortic. Environ. Biotechnol. 2020, 61, 459–472. [Google Scholar] [CrossRef]
  41. Song, W.; Loik, M.; Cui, H.; Fan, M.; Sun, W. Effect of nitrogen addition on leaf photosynthesis and water use efficiency of the dominant species Leymus chinensis (Trin.) Tzvelev in a semi-arid meadow steppe. Plant Growth Regul. 2022, 98, 91–102. [Google Scholar] [CrossRef]
  42. Britto, D.; Herbert, J. Review NH4+ toxicity in higher plants: A critical review. J. Plant Physiol. 2002, 159, 564–584. [Google Scholar] [CrossRef]
  43. Colpaert, H. Nitrogen availability and colonization by mycorrhizal fungi correlate withnitrogen isotope patterns in plants. New Phytol. 2003, 157, 115–126. [Google Scholar]
  44. Gauthier, P.; Lamothe, M.; Mahé, A.; Molero, G.; Nogués, S.; Hodges, M.; Tcherkez, G. Metabolic origin of δ15N values in nitrogenous compounds from Brassica napus L. leaves. Plant Cell Environ. 2013, 36, 128–137. [Google Scholar] [CrossRef] [PubMed]
  45. Cui, J.; Lamade, E.; Fourel, F.; Tcherkez, G. δ15N values in plants are determined by both nitrate assimilation and circulation. New Phytol. 2020, 226, 1696–1707. [Google Scholar] [CrossRef]
  46. Roosta, H.; Schjoerring, J. Root carbon enrichment alleviates ammonium toxicity in cucumber plants. J. Plant Nutr. 2008, 31, 941–958. [Google Scholar] [CrossRef]
  47. Ganz, P.; Ijato, T.; Porras, M.; Stührwohldt, N.; Ludewig, U.; Neuhäuser, B. A twin histidine motif is the core structure for high-affinity substrate selection in plant ammonium transporters. J. Biol. Chem. 2020, 295, 3362–3370. [Google Scholar] [CrossRef]
Figure 1. Different responses of photosynthesis to bicarbonate and ammonium in Bn and Ov. Bn: Brassica napus; Ov: Orychophragmus violaceus. B0: 0 mM HCO3; B10: 10 mM HCO3; NO3 concentration: 15 mM; NH4+: 0/0.5/2/10/20 mM. (a) Pn: net photosynthetic rate, μmol CO2·m2·s−1; (b) Gs: stomatal conductance, mmol H2O·m2·s−1; (c) Ci: intercellular carbon dioxide concentration, μmol CO2·mol·air −1; (d) Tr: transpiration, μmol H2O·m2·s−1; (e) WUE: water use efficiency, μmol·mmol−1. “*” represents a p-value less than 5% level of significance. Each value represents the mean ± SD (n = 3), and diverse letters in each value are significantly different by ANOVA (p ≤ 0.05).
Figure 1. Different responses of photosynthesis to bicarbonate and ammonium in Bn and Ov. Bn: Brassica napus; Ov: Orychophragmus violaceus. B0: 0 mM HCO3; B10: 10 mM HCO3; NO3 concentration: 15 mM; NH4+: 0/0.5/2/10/20 mM. (a) Pn: net photosynthetic rate, μmol CO2·m2·s−1; (b) Gs: stomatal conductance, mmol H2O·m2·s−1; (c) Ci: intercellular carbon dioxide concentration, μmol CO2·mol·air −1; (d) Tr: transpiration, μmol H2O·m2·s−1; (e) WUE: water use efficiency, μmol·mmol−1. “*” represents a p-value less than 5% level of significance. Each value represents the mean ± SD (n = 3), and diverse letters in each value are significantly different by ANOVA (p ≤ 0.05).
Plants 12 03095 g001
Figure 2. The carbon/nitrogen component in leaves between Bn and Ov at different bicarbonate and ammonium levels. Bn: Brassica napus; Ov: Orychophragmus violaceus. B0: 0 mM HCO3; B10: 10 mM HCO3; NO3 concentration: 15 mM; NH4+: 0/0.5/2/10/20 mM. (a) Carbon content of leaves, mg·g−1 DW; (b) Nitrogen content of leaves, s, mg·g−1 DW; (c) C/N ratio, %; (d) NAC: nitrogen assimilation capacity, %. “*” represents a p-value less than 5% level of significance. Each value represents the mean ± SD (n = 3), and diverse letters in each value are significantly different by ANOVA (p ≤ 0.05).
Figure 2. The carbon/nitrogen component in leaves between Bn and Ov at different bicarbonate and ammonium levels. Bn: Brassica napus; Ov: Orychophragmus violaceus. B0: 0 mM HCO3; B10: 10 mM HCO3; NO3 concentration: 15 mM; NH4+: 0/0.5/2/10/20 mM. (a) Carbon content of leaves, mg·g−1 DW; (b) Nitrogen content of leaves, s, mg·g−1 DW; (c) C/N ratio, %; (d) NAC: nitrogen assimilation capacity, %. “*” represents a p-value less than 5% level of significance. Each value represents the mean ± SD (n = 3), and diverse letters in each value are significantly different by ANOVA (p ≤ 0.05).
Plants 12 03095 g002
Figure 3. Rubisco, SS, NR, and GOGAT activities of Bn and Ov under different bicarbonate and ammonium supplies. Bn: Brassica napus; Ov: Orychophragmus violaceus. B0: 0 mM HCO3; B10: 10 mM HCO3; NO3 concentration: 15 mM; NH4+: 0/0.5/2/10/20 mM. (a) Rubisco: ribulose bisphosphate carboxylase oxygenase, U·mg−1·min−1; (b) SS: sucrose synthetase, U·mg−1·min−1; (c) NR: nitrate reductase, IU·mg−1·min−1; (d) GOGAT: glutamate synthase, IU·mg−1·min−1. “*” represents a p-value less than 5% level of significance. Each value represents the mean ± SD (n = 3), and diverse letters in each value are significantly different by ANOVA (p < 0.05).
Figure 3. Rubisco, SS, NR, and GOGAT activities of Bn and Ov under different bicarbonate and ammonium supplies. Bn: Brassica napus; Ov: Orychophragmus violaceus. B0: 0 mM HCO3; B10: 10 mM HCO3; NO3 concentration: 15 mM; NH4+: 0/0.5/2/10/20 mM. (a) Rubisco: ribulose bisphosphate carboxylase oxygenase, U·mg−1·min−1; (b) SS: sucrose synthetase, U·mg−1·min−1; (c) NR: nitrate reductase, IU·mg−1·min−1; (d) GOGAT: glutamate synthase, IU·mg−1·min−1. “*” represents a p-value less than 5% level of significance. Each value represents the mean ± SD (n = 3), and diverse letters in each value are significantly different by ANOVA (p < 0.05).
Plants 12 03095 g003
Figure 4. The glycolysis pathway and the pentose phosphate pathway of Bn and Ov at different bicarbonate and ammonium levels. Bn: Brassica napus; Ov: Orychophragmus violaceus. B0: 0 mM HCO3; B10: 10 mM HCO3; NO3 concentration: 15 mM; NH4+ concentration: 0/0.5/2/10/20 mM. (a) PFK: Phosphofructokinase, U·mg−1·min−1; (b) G6PDH: Glucose-6-phosphate dehydrogenase, U·mg−1·min−1; (c) EEMP: the contribution of the glycolytic pathway, %; (d) EPPP: the contribution of the pentose phosphate pathway, %; (e) E∑EMP+PPP: total glucose metabolism, U·mg−1·min−1. “*” represents a p-value less than 5% level of significance. Each value represents the mean ± SD (n = 3), and diverse letters in each value are significantly different by ANOVA (p < 0.05).
Figure 4. The glycolysis pathway and the pentose phosphate pathway of Bn and Ov at different bicarbonate and ammonium levels. Bn: Brassica napus; Ov: Orychophragmus violaceus. B0: 0 mM HCO3; B10: 10 mM HCO3; NO3 concentration: 15 mM; NH4+ concentration: 0/0.5/2/10/20 mM. (a) PFK: Phosphofructokinase, U·mg−1·min−1; (b) G6PDH: Glucose-6-phosphate dehydrogenase, U·mg−1·min−1; (c) EEMP: the contribution of the glycolytic pathway, %; (d) EPPP: the contribution of the pentose phosphate pathway, %; (e) E∑EMP+PPP: total glucose metabolism, U·mg−1·min−1. “*” represents a p-value less than 5% level of significance. Each value represents the mean ± SD (n = 3), and diverse letters in each value are significantly different by ANOVA (p < 0.05).
Plants 12 03095 g004
Figure 5. Growth capacity and regeneration capacity of RUBP in Bn and Ov at different bicarbonate and ammonium levels. Bn: Brassica napus; Ov: Orychophragmus violaceus. B0: 0 mM HCO3; B10: 10 mM HCO3; NO3 concentration: 15 mM; NH4+ concentration: 0/0.5/2/10/20 mM. (a) GC:Growth capacity, μmol CO2·m2·s−1; (b) RCRUBP: the regeneration capacity of Ribulose-1,5-bisphosphate, μmol CO2·m2·s−1. “*” represents a p-value less than 5% level of significance. Each value represents the mean ± SD (n = 3), and diverse letters in each value are significantly different by ANOVA (p ≤ 0.05).
Figure 5. Growth capacity and regeneration capacity of RUBP in Bn and Ov at different bicarbonate and ammonium levels. Bn: Brassica napus; Ov: Orychophragmus violaceus. B0: 0 mM HCO3; B10: 10 mM HCO3; NO3 concentration: 15 mM; NH4+ concentration: 0/0.5/2/10/20 mM. (a) GC:Growth capacity, μmol CO2·m2·s−1; (b) RCRUBP: the regeneration capacity of Ribulose-1,5-bisphosphate, μmol CO2·m2·s−1. “*” represents a p-value less than 5% level of significance. Each value represents the mean ± SD (n = 3), and diverse letters in each value are significantly different by ANOVA (p ≤ 0.05).
Plants 12 03095 g005
Figure 6. The correlation between glucose metabolism and inorganic nitrogen use of Bn and Ov at different bicarbonate and ammonium levels. Bn: Brassia naps; Ov: OTychoplhragmus violaceu. B0: 0 mM HCO3; B10:10 mM HCO3; NO3; concentration: 15 mM; NH4+ concentration: 0/0.5/2/10/20 mM. (a) The correlation between glucose metabolism and inorganic nitrogen use of Bn; (b) the correlation between glucose metabolism and inorganic nitrogen use of Ov; (c) the inorganic carbon and nitrogen mechanisms in Bn at different bicarbonate and ammonium levels; (d) the inorganic carbon and nitrogen mechanism in Ov at different bicarbonate and ammonium levels. “*” represents a p-value less than 5% level of significance.
Figure 6. The correlation between glucose metabolism and inorganic nitrogen use of Bn and Ov at different bicarbonate and ammonium levels. Bn: Brassia naps; Ov: OTychoplhragmus violaceu. B0: 0 mM HCO3; B10:10 mM HCO3; NO3; concentration: 15 mM; NH4+ concentration: 0/0.5/2/10/20 mM. (a) The correlation between glucose metabolism and inorganic nitrogen use of Bn; (b) the correlation between glucose metabolism and inorganic nitrogen use of Ov; (c) the inorganic carbon and nitrogen mechanisms in Bn at different bicarbonate and ammonium levels; (d) the inorganic carbon and nitrogen mechanism in Ov at different bicarbonate and ammonium levels. “*” represents a p-value less than 5% level of significance.
Plants 12 03095 g006
Table 1. Different bicarbonate and ammonium treatments.
Table 1. Different bicarbonate and ammonium treatments.
GroupReagentContent
B0bicarbonate0 mM
B10bicarbonate10 mM
NO3−:NH4+δ15NH:22.72‰; δ15NL:12.7‰15:0 mM
NO3−:NH4+δ15NH:22.72‰; δ15NL:12.7‰15:0.5 mM
NO3−:NH4+δ15NH:22.72‰; δ15NL:12.7‰15:2 mM
NO3−:NH4+δ15NH:22.72‰; δ15NL:12.7‰15:10 mM
NO3−:NH4+δ15NH:22.72‰; δ15NL:12.7‰15:20 mM
pHKOH8.30 ± 0.05
Simulated droughtPEG600010 g·L−1, −0.21 Mpa
Table 2. Growth of Bn and Ov under different ammonium and bicarbonate levels.
Table 2. Growth of Bn and Ov under different ammonium and bicarbonate levels.
(a)
GroupPlantBn (mg·Plant−1, DW)
NO3:NH4+15 mM:0 mM15 mM:0.5 mM15 mM:2 mM15 mM:10 mM15 mM:20 mM
Root
Dw:mg
B0212.01 ± 1.49 d223.13 ± 1.13 d296.63 ± 4.86 b322.53 ± 4.17 a 105.35 ± 1.75 d
B10180.34 ± 5.12 d196.89 ± 4.9 d205.97 ± 5.18 c266.83 ± 4.48 c73.23 ± 1.14 e
Stem
Dw:mg
B0335.36 ± 4.28 c352.56 ± 1.95 c418.54 ± 4.65 b465.58 ± 7.68 a154.59 ± 2.53 d
B10301.07 ± 1.13 d299.23 ± 1.45 d324.73 ± 4.77 c477.68 ± 3.1 a101.1 ± 1.88 f
Leaves
DW:mg
B0528.4 ± 2.43 e562.46 ± 2.3 d692.95 ± 4.73 b744.15 ± 4.54 a493.24 ± 2.1 f
B10460.48 ± 3.22 f534.45 ± 4.28 e605.94 ± 3.83 c700.63 ± 5.43 b406.82 ± 2.36 g
Biomass
Dw:mg
B01075.76 ± 6.72 c1139.15 ± 3.17 c1459.32 ± 11.47 a1481.05 ± 13.88 a753.19 ± 5.8 e
B10941.89 ± 6.3 d1030.57 ± 11.44 c1065.16 ± 12.16 c1350.45 ± 6.37 b581.15 ± 4.25 f
(b)
GroupPlantOv (mg·Plant−1, DW)
NO3:NH4+15 mM:0 mM15 mM:0.5 mM15 mM:2 mM15 mM:10 mM15 mM:20 mM
Root
Dw:mg
B091.67 ± 0.95 c112.35 ± 2.45 b159.14 ± 2.59 a74.85 ± 2.09 d51.42 ± 0.57 e
B10101.69 ± 1.36 c124.35 ± 2.25 b179.97 ± 3.62 a59.63 ± 0.58 e32.33 ± 0.8 f
Stem
Dw:mg
B0160.44 ± 9.81 d202.31 ± 2.6 c278.31 ± 4.48 b138.45 ± 3.02 e92.88 ± 1.53 g
B10162.28 ± 2.02 d208.94 ± 2.02 c317.99 ± 0.83 a113.13 ± 2.44 f62.87 ± 2.79 h
Leaves
DW:mg
B0468.69 ± 4.73 d502.92 ± 2.43 bc588.41 ± 6.84 b451.29 ± 9.8 d360.02 ± 3.28 f
B10447.47 ± 5.65 d538.68 ± 1.42 b643.08 ± 6.63 a409.65 ± 2.55 e280.66 ± 1.58 g
Biomass
Dw:mg
B0720.8 ± 8.09 d818.58 ± 7.85 c1025.85 ± 9.15 a664.59 ± 14.82 e504.32 ± 4.59 g
B10711.45 ± 7 d871.96 ± 1.23 b1141.05 ± 10.98 a582.4 ± 5.3 f375.86 ± 2.67 h
Bn: Brassica napus; Ov: Orychophragmus violaceus. B0: 0 mM HCO3; B10: 10 mM HCO3; NO3 concentration: 15 mM; NH4+: 0/0.5/2/10/20 mM. Each value represents the mean ± SD (n = 3), and diverse letters in each value are significantly different by ANOVA (p ≤ 0.05).
Table 3. The δ15N and Δ15N values of Bn and Ov leaves under different bicarbonate and ammonium levels. Growth of Bn and Ov under different ammonium and bicarbonate levels.
Table 3. The δ15N and Δ15N values of Bn and Ov leaves under different bicarbonate and ammonium levels. Growth of Bn and Ov under different ammonium and bicarbonate levels.
(a)
NO3:NH4+15 mM:0 mM15 mM:0.5 mM15 mM:2 mM15 mM:10 mM15 mM:20 mM
δ15NNEW
(H, ‰)
Bn020.37 ± 0.66 b21.05 ± 0.4 b19.12 ± 0.13 b13.92 ± 0.11 c28.64 ± 0.88 a
Bn1029.16 ± 1.76 a23.34 ± 0.4 b18.96 ± 0.15 b24.36 ± 1.32 b−48.8 ± 3.72 d
Ov022.91 ± 0.58 c20.51 ± 0.22 c16.34 ± 0.07 d16.03 ± 0.1 d49.08 ± 2.84 a
Ov1030.25 ± 1.31 b17.98 ± 0.2 c15.72 ± 0.55 d19.97 ± 0.42 c−31.8 ± 2.32 e
(b)
NO3:NH4+15 mM:0 mM15 mM:0.5 mM15 mM:2 mM15 mM:10 mM15 mM:20 mM
δ15NNEW
(L, ‰)
Bn010.41 ± 0.6 b9.22 ± 0.13 b7.11 ± 0.06 c5.71 ± 0.21 c18.05 ± 0.6 a
Bn1018.81 ± 1.44 a12.23 ± 0.41 b8.27 ± 0.16 c13.77 ± 0.54 b−38.66 ± 2.72 d
Ov012.68 ± 0.3 c10.75 ± 0.46 c7.41 ± 0.15 d7.28 ± 0.12 d29.16 ± 1.58 a
Ov1016.43 ± 0.65 b8.98 ± 0.23 d7.13 ± 0.08 d8.42 ± 0.33 d−25.44 ± 1.73 e
(c)
NO3:NH4+15 mM:0 mM15 mM:0.5 mM15 mM:2 mM15 mM:10 mM15 mM:20 mM
Δ15NNEW
(H, ‰)
Bn0−12.29 ± 0.66 c−12.97 ± 0.4 c−11.04 ± 0.13 c−5.84 ± 0.11 b−20.56 ± 0.88 e
Bn10−21.08 ± 1.76 e−15.26 ± 0.4 d−10.88 ± 0.15 c−16.28 ± 1.32 c56.88 ± 3.72 a
Ov0−14.83 ± 0.58 d−12.43 ± 0.22 c−8.26 ± 0.07 b−7.95 ± 0.1 b−41 ± 2.84 f
Ov10−22.17 ± 1.31 e −9.9 ± 0.2 c−7.64 ± 0.55 b−11.89 ± 0.42 d39.88 ± 2.32 a
(d)
NO3:NH4+15 mM:0 mM15 mM:0.5 mM15 mM:2 mM15 mM:10 mM15 mM:20 mM
Δ15NNEW
(L, ‰)
Bn0−2.33 ± 0.6 f−1.14 ± 0.13 e0.97 ± 0.06 c2.37 ± 0.21 b−9.97 ± 0.6 h
Bn10−10.73 ± 1.44 h−4.15 ± 0.41 g−0.19 ± 0.16 d−5.69 ± 0.54 g46.74 ± 2.72 a
Ov0−4.6 ± 0.3 e−2.67 ± 0.46 b0.67 ± 0.15 b0.8 ± 0.12 b−21.08 ± 1.58 g
Ov10−8.35 ± 0.65 f−0.9 ± 0.23 c0.95 ± 0.08 b−0.34 ± 0.33 c33.52 ± 1.73 a
Bn: Brassica napus; Ov: Orychophragmus violaceus. B0: 0 mM HCO3; B10: 10 mM HCO3; NO3 concentration: 15 mM; NH4+ concentration: 0/0.5/2/10/20 mM. (a) The δ15 N value with a high label of Bn and Ov leaves, ‰; (b) the δ15 N value with a light label of Bn and Ov leaves, ‰; (c) the Δ15N value with a high label of Bn and Ov leaves, ‰; (d) the Δ15N value with a light label of Bn and Ov leaves, ‰. Each value represents the mean ± SD (n = 3), and diverse letters in each value are significantly different by ANOVA (p ≤ 0.05).
Table 4. Growth of Bn and Ov under different ammonium and bicarbonate levels. The utilization of NO3/NH4+, NACA, and NACB in Bn and Ov at different bicarbonate and ammonium levels.
Table 4. Growth of Bn and Ov under different ammonium and bicarbonate levels. The utilization of NO3/NH4+, NACA, and NACB in Bn and Ov at different bicarbonate and ammonium levels.
(a)
NO3:NH4+15 mM:0 mM15 mM:0.5 mM15 mM:2 mM15 mM:10 mM15 mM:20 mM
fA
(NO3, %)
Bn0100 b119 ± 2 a121 ± 3 a82 ± 2 c106 ± 4 b
Bn10100 b108 ± 5 b103 ± 3 b102 ± 3 b−98 ± 11 d
Ov0100 b95 ± 5 b 87 ± 3 b86 ± 2 b195 ± 16 a
Ov10100 b65 ± 4 c62 ± 6 c84 ± 6 b−46 ± 4 d
(b)
NO3:NH4+15 mM:0 mM15 mM:0.5 mM15 mM:2 mM15 mM:10 mM15 mM:20 mM
fB
(NH4+, %)
Bn00 c−19 ± 2 e−21 ± 0.3 e18 ± 2 b−6 ± 4 d
Bn100 c−8 ± 5 d−3 ± 0.3 c−2 ± 0.3 c198 ± 11 a
Ov00 e5 ± 0.5 d13 ± 0.3 c14 ± 2 c−95 ± 16 f
Ov100 e35 ± 4 b38 ± 0.6 b16 ± 6 c146 ± 4 a
(c)
NO3:NH4+15 mM:0 mM15 mM:0.5 mM15 mM:2 mM15 mM:10 mM15 mM:20 mM
NACA
(NO3, %)
Bn033.64 ± 1.25 c44.79 ± 0.82 b74.48 ± 1.22 a44.52 ± 0.83 b17.3 ± 0.57 e
Bn1023.51 ± 0.91 d30.5 ± 1.93 c47.85 ± 0.99 b21.54 ± 0.44 e−6.86 ± 0.91 f
Ov014.27 ± 0.26 b17.18 ± 1.12 b30.66 ± 1.41 a14.84 ± 0.57 b15.54 ± 1.19 b
Ov1012.4 ± 0.4 b14.4 ± 0.79 b31.01 ± 2.79 a11.29 ± 0.72 b−1.97 ± 0.22 c
(d)
NO3:NH4+15 mM:0 mM15 mM:0.5 mM15 mM:2 mM15 mM:10 mM15 mM:20 mM
NACB
(NH4+, %)
Bn00 c−7.09 ± 0.53 h−12.71 ± 1.52 i9.47 ± 1.07 b−1.04 ± 0.67 e
Bn100 c−2.15 ± 1.52 g−1.54 ± 1.32 f−0.46 ± 0.7 d13.84 ± 1.03 a
Ov00 f0.81 ± 0.09 e4.41 ± 0.09 c2.51 ± 0.32 d−7.57 ± 1.24 g
Ov100 f7.69 ± 0.84 b18.79 ± 3.32 a2.19 ± 0.76 d6.26 ± 0.31 b
Bn: Brassica napus; Ov: Orychophragmus violaceus. B0: 0 mM HCO3; B10: 10 mM HCO3; NO3 concentration: 15 mM; NH4+ concentration: 0/0.5/2/10/20 mM. (a) fA: the contribution of nitrate, %; (b) fB: the contribution of ammonium, %; (c) NACA: the contribution of nitrate to total nitrogen accumulation capacity, %; (d) NACB: the contribution of ammonium to total nitrogen accumulation capacity, %. Each value represents the mean ± SD (n = 3), and diverse letters in each value are significantly different by ANOVA (p < 0.05).
Table 5. The ATP consumption of ammonium assimilation in Bn and Ov at bicarbonate and variable ammonium levels.
Table 5. The ATP consumption of ammonium assimilation in Bn and Ov at bicarbonate and variable ammonium levels.
(a)
NO3:NH4+15 mM:0 mM15 mM:0.5 mM15 mM:2 mM15 mM:10 mM15 mM:20 mM
ATPA
(NO3, mM)
Bn00 c−7.09 ± 0.53 h−12.71 ± 1.52 i9.47 ± 1.07 b−1.04 ± 0.67 e
Bn100 c−2.15 ± 1.52 g−1.54 ± 1.32 f−0.46 ± 0.7 d13.84 ± 1.03 a
Ov00 f0.81 ± 0.09 e4.41 ± 0.09 c2.51 ± 0.32 d−7.57 ± 1.24 g
Ov100 f7.69 ± 0.84 b18.79 ± 3.32 a2.19 ± 0.76 d6.26 ± 0.31 b
(b)
NO3:NH4+15 mM:0 mM15 mM:0.5 mM15 mM:2 mM15 mM:10 mM15 mM:20 mM
ATPB
(NH4+, mM)
Bn00 c−0.95 ± 0.03 d−1.05 ± 0.08 d0.9 ± 0.05 b−0.3 ± 0.03 c
Bn100 c−0.4 ± 0.08 c−0.15 ± 0.07 c−0.1 ± 0.04 c9.9 ± 0.05 a
Ov00 d0.25 ± 0 d0.65 ± 0 c0.7 ± 0.02 c−4.75 ± 0.06 e
Ov100 d1.75 ± 0.04 b1.9 ± 0.17 b0.8 ± 0.04 c7.3 ± 0.02 a
(c)
NO3:NH4+15 mM:0 mM15 mM:0.5 mM15 mM:2 mM15 mM:10 mM15 mM:20 mM
ATP
(A + B, mM)
Bn033.64 ± 1.25 c44.79 ± 0.82 b74.48 ± 1.22 a44.52 ± 0.83 b17.3 ± 0.57 e
Bn1023.51 ± 0.91 d30.5 ± 1.93 c47.85 ± 0.99 b21.54 ± 0.44 d−6.86 ± 0.91 f
Ov014.27 ± 0.26 b17.18 ± 1.12 b30.66 ± 1.41 a14.84 ± 0.57 b15.54 ± 1.19 b
Ov1012.4 ± 0.4 c14.4 ± 0.79 b31.01 ± 2.79 a11.29 ± 0.72 c−1.97 ± 0.22 d
(d)
NO3:NH4+15 mM:0 mM15 mM:0.5 mM15 mM:2 mM15 mM:10 mM15 mM:20 mM
ΔATP
(A + B, mM)
Bn0 b−1.65 c−2.70 d 3.00 a−30.60 f
Ov0 b −4.50 e −3.75 e−0.30 b−36.15 g
Bn: Brassica napus; Ov: Orychophragmus violaceus. B0: 0 mM HCO3; B10: 10 mM HCO3; NO3 concentration: 15 mM; NH4+ concentration: 0/0.5/2/10/20 mM. (a) ATPA: the ATP consumption of nitrate, mM; (b) ATPB: the ATP consumption of ammonium, mM; (c) ATP (A + B): the ATP consumption of total nitrogen assimilation, mM; (d) ΔATP (A + B) = ATP (A + B, B10) − ATP (A + B, B0), the difference in the ATP consumption of the total nitrogen assimilation, mM. Each value represents the mean ± SD (n = 3), and diverse letters in each value are significantly different by ANOVA (p ≤ 0.05).
Disclaimer/Publisher’s Note: The statements, opinions and data contained in all publications are solely those of the individual author(s) and contributor(s) and not of MDPI and/or the editor(s). MDPI and/or the editor(s) disclaim responsibility for any injury to people or property resulting from any ideas, methods, instructions or products referred to in the content.

Share and Cite

MDPI and ACS Style

Xia, A.; Wu, Y.; Xiang, J.; Yin, H.; Ming, J.; Qin, Z. Quantification of Glucose Metabolism and Nitrogen Utilization in Two Brassicaceae Species under Bicarbonate and Variable Ammonium Soil Conditions. Plants 2023, 12, 3095. https://doi.org/10.3390/plants12173095

AMA Style

Xia A, Wu Y, Xiang J, Yin H, Ming J, Qin Z. Quantification of Glucose Metabolism and Nitrogen Utilization in Two Brassicaceae Species under Bicarbonate and Variable Ammonium Soil Conditions. Plants. 2023; 12(17):3095. https://doi.org/10.3390/plants12173095

Chicago/Turabian Style

Xia, Antong, Yanyou Wu, Jiqian Xiang, Hongqing Yin, Jiajia Ming, and Zhanghui Qin. 2023. "Quantification of Glucose Metabolism and Nitrogen Utilization in Two Brassicaceae Species under Bicarbonate and Variable Ammonium Soil Conditions" Plants 12, no. 17: 3095. https://doi.org/10.3390/plants12173095

APA Style

Xia, A., Wu, Y., Xiang, J., Yin, H., Ming, J., & Qin, Z. (2023). Quantification of Glucose Metabolism and Nitrogen Utilization in Two Brassicaceae Species under Bicarbonate and Variable Ammonium Soil Conditions. Plants, 12(17), 3095. https://doi.org/10.3390/plants12173095

Note that from the first issue of 2016, this journal uses article numbers instead of page numbers. See further details here.

Article Metrics

Back to TopTop