Antioxidative Defense, Suppressed Nitric Oxide Accumulation, and Synthesis of Protective Proteins in Roots and Leaves Contribute to the Desiccation Tolerance of the Resurrection Plant Haberlea rhodopensis
Abstract
1. Introduction
2. Results
2.1. Changes in the Water Content of Leaves and Roots during Desiccation
2.2. Structural Changes in Root Tissues during Desiccation
2.3. Nitric Oxide Production in the Root Tips
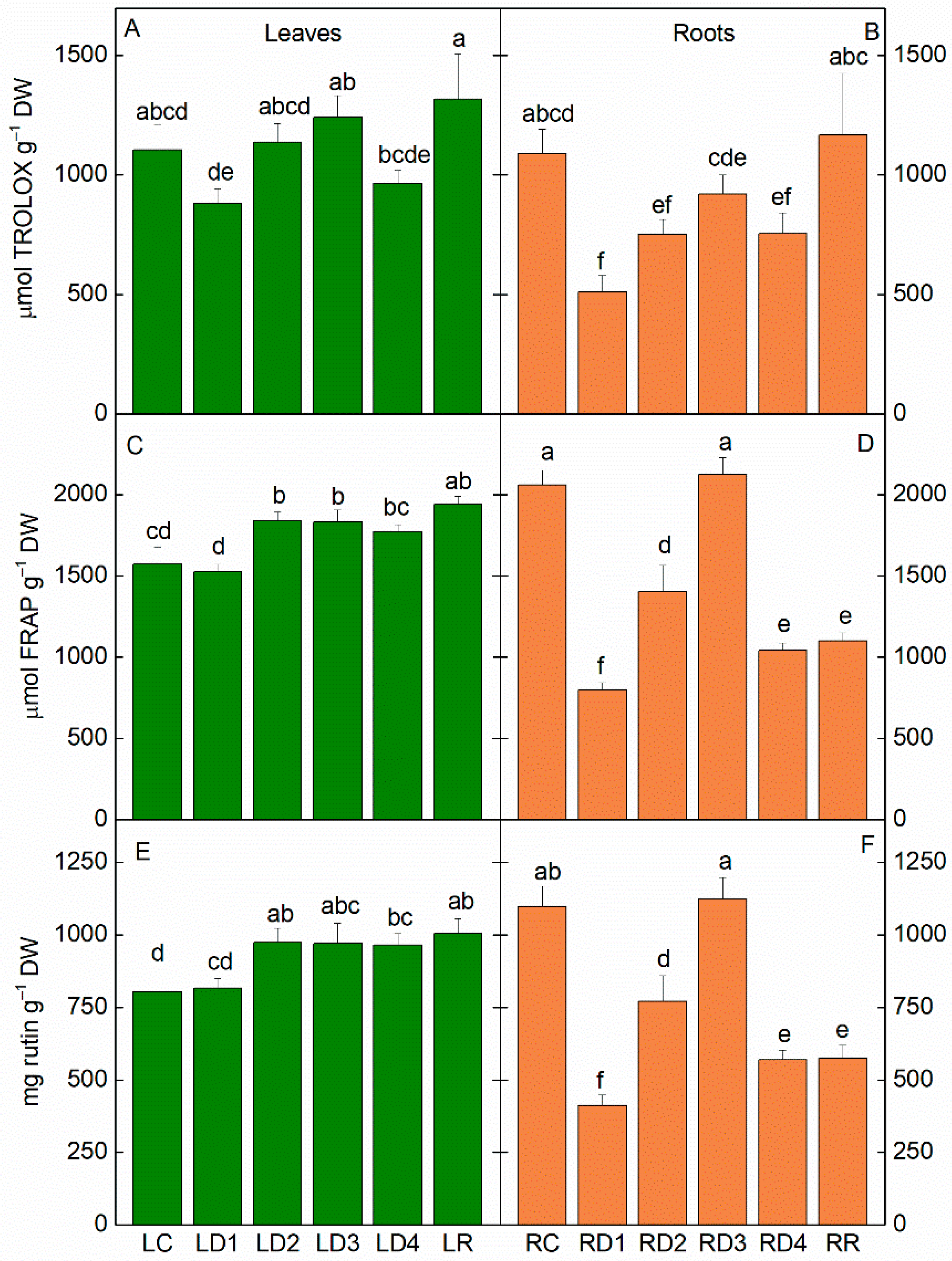
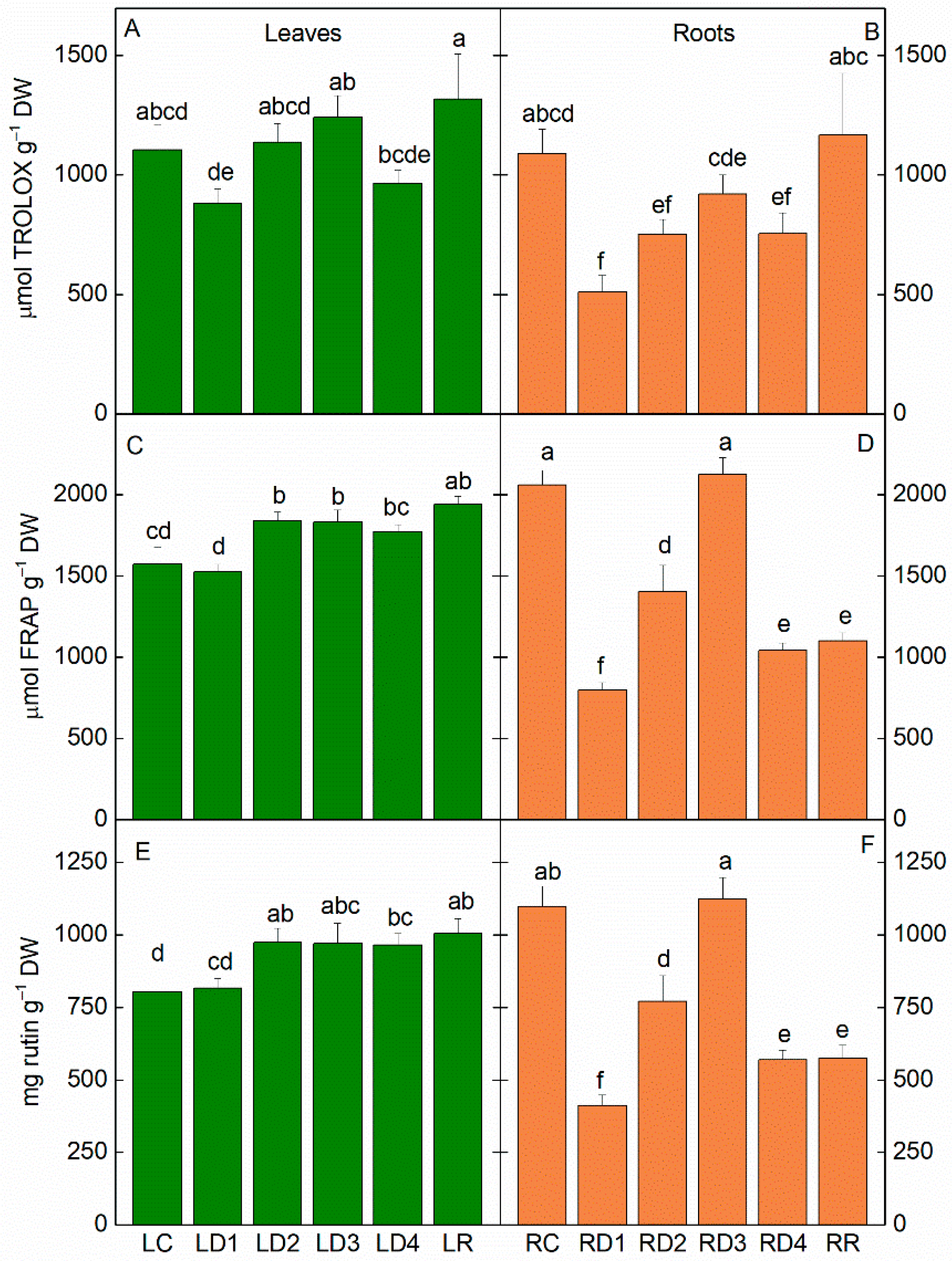
2.4. Antioxidant Activity in Leaves and Roots during Desiccation
2.4.1. Antioxidant Capacity
2.4.2. Changes in Non-Enzymatic Antioxidants during Desiccation
2.4.3. Isoenzyme Patterns and Relative Total Activity of Antioxidant Enzymes
2.5. The Alterations in Stress-Induced Proteins (Dehydrins, ELIPs, sHSPs) in Leaves and Roots during Desiccation
3. Discussion
4. Materials and Methods
4.1. Plant Material and Experimental Design
4.2. Determination of Water Content (WC)
4.3. Nitric Oxide (NO) Determination
4.4. Microscopy
4.5. Free Radical Scavenging Activity Assay
4.6. Ferric-Reducing Antioxidant Power Assay
4.7. Determination of Total Flavonoid Content
4.8. Determination of Ascorbate Content
4.9. Anthocyanins and UV-Absorbing Compounds
4.10. Protein Extraction, nPAGE, and Antioxidant Enzyme Activity Staining
4.11. Total Leaf Protein Isolation, SDS-PAGE, and Western Blot
4.12. Statistical Analysis
5. Conclusions
Supplementary Materials
Author Contributions
Funding
Data Availability Statement
Acknowledgments
Conflicts of Interest
References
- Sherwood, S.; Fu, Q. A drier future? Science 2014, 343, 737–739. [Google Scholar] [CrossRef] [PubMed]
- Mitra, J.; Xu, G.; Wang, B.; Li, M.; Deng, X. Understanding desiccation tolerance using the resurrection plant Boea hygrometrica as a model system. Front. Plant Sci. 2013, 4, 446. [Google Scholar] [CrossRef]
- Farrant, J.M.; Cooper, K.; Nell, H. Desiccation Tolerance; CABI Books; CABI International: Wallingford, UK, 2012. [Google Scholar] [CrossRef]
- Farrant, J.M.; Cooper, K.; Hilgart, A.; Abdalla, K.O.; Bentley, J.; Thomson, J.A.; Dace, H.J.; Peton, N.; Mundree, S.G.; Rafudeen, M.S. A molecular physiological review of vegetative desiccation tolerance in the resurrection plant Xerophyta viscosa (Baker). Planta 2015, 242, 407–426. [Google Scholar] [CrossRef]
- Farrant, J.M.; Brandt, W.; Lindsey, G. An overview of mechanisms of desiccation tolerance in selected angiosperm resurrection plants. Plant Stress 2007, 1, 72–84. [Google Scholar] [CrossRef]
- Morse, M.; Rafudeen, M.; Farrant, J.M. An overview of the current understanding of desiccation tolerance in the vegetative tissues of higher plants. Adv. Bot. Res. 2011, 57, 319–347. [Google Scholar] [CrossRef]
- Georgieva, K.; Dagnon, S.; Gesheva, E.; Bojilov, D.; Mihailova, G.; Doncheva, S. Antioxidant defense during desiccation of the resurrection plant Haberlea rhodopensis. Plant Physiol. Biochem. 2017, 114, 51–59. [Google Scholar] [CrossRef]
- Giarola, V.; Hou, Q.; Bartels, D. Angiosperm plant desiccation tolerance: Hints from transcriptomics and genome sequencing. Trends Plant Sci. 2017, 22, 705–717. [Google Scholar] [CrossRef] [PubMed]
- Liu, J.; Moyankova, D.; Lin, C.T.; Mladenov, P.; Sun, R.Z.; Djilianov, D.; Deng, X. Transcriptome reprogramming during severe dehydration contributes to physiological and metabolic changes in the resurrection plant Haberlea rhodopensis. BMC Plant Biol. 2018, 18, 351. [Google Scholar] [CrossRef]
- Deng, X.; Hu, Z.A.; Wang, H.X.; Wen, X.G.; Kuang, T.Y. A comparison of photosynthetic apparatus of the detached leaves of the resurrection plant Boea hygrometrica with its non-tolerant relative Chirita heterotrichia in response to dehydration and rehydration. Plant Sci. 2003, 165, 851–861. [Google Scholar] [CrossRef]
- Hilhorst, H.W.; Farrant, J.M. Plant desiccation tolerance: A survival strategy with exceptional prospects for climate-smart agriculture. Annu. Plant Rev. Online 2018, 1, 327–354. [Google Scholar] [CrossRef]
- Kranner, I.; Birtić, S. A modulating role for antioxidants in desiccation tolerance. Integr. Comp. Biol. 2005, 45, 734–740. [Google Scholar] [CrossRef]
- Farrant, J.M. A comparison of mechanisms of desiccation-tolerance among three angiosperm resurrection plant species. Plant Ecol. 2000, 151, 29–39. [Google Scholar] [CrossRef]
- Kranner, I.; Beckett, R.P.; Wornik, S.; Zorn, M.; Pfeifhofer, H.W. Revival of a resurrection plant correlates with its antioxidant status. Plant J. 2002, 31, 13–24. [Google Scholar] [CrossRef]
- Tebele, S.M.; Marks, R.A.; Farrant, J.M. Two decades of desiccation biology: A systematic review of the best studied angiosperm resurrection plants. Plants 2021, 10, 2784. [Google Scholar] [CrossRef] [PubMed]
- VanBuren, R.; Wai, C.M.; Giarola, V.; Župunski, M.; Pardo, J.; Kalinowski, M.; Grossmann, G.; Bartels, D. Core cellular and tissue specific mechanisms enable desiccation tolerance in Craterostigma. Plant J. 2023, 114, 231–245. [Google Scholar] [CrossRef] [PubMed]
- Norwood, M.; Truesdale, M.R.; Richter, A.; Scott, P. Metabolic changes in leaves and roots during dehydration of the resurrection plant Craterostigma plantagineum (Hochst). S. Afr. J. Bot. 1999, 65, 421–427. [Google Scholar] [CrossRef]
- Vieira, E.A.; da Cruz Centeno, D.; Freschi, L.; da Silva, E.A.; Braga, M.R. The dual strategy of the bromeliad Pitcairnia burchellii Mez to cope with desiccation. Environ. Exp. Bot. 2017, 143, 135–148. [Google Scholar] [CrossRef]
- Asami, P.; Rupasinghe, T.; Moghaddam, L.; Njaci, I.; Roessner, U.; Mundree, S.; Williams, B. Roots of the resurrection plant Tripogon loliiformis survive desiccation without the activation of autophagy pathways by maintaining energy reserves. Front. Plant Sci. 2019, 10, 459. [Google Scholar] [CrossRef]
- Tshabuse, F.; Farrant, J.M.; Humbert, L.; Moura, D.; Rainteau, D.; Espinasse, C.; Idrissi, A.; Merlier, F.; Acket, S.; Rafudeen, M.S.; et al. Glycerolipid analysis during desiccation and recovery of the resurrection plant Xerophyta humilis (Bak) Dur and Schinz. Plant Cell Environ. 2018, 41, 533–547. [Google Scholar] [CrossRef]
- Péli, E.R.; Mihailova, G.; Petkova, S.; Georgieva, K. Root respiration in whole Haberlea rhodopensis Friv. plants during desiccation and rehydration. Acta Biol. Szeged. 2008, 52, 115–117. [Google Scholar]
- Péli, E.R.; Mihailova, G.; Petkova, S.; Tuba, Z.; Georgieva, K. Differences in physiological adaptation of Haberlea rhodopensis Friv. leaves and roots during dehydration–rehydration cycle. Acta Physiol. Plant. 2012, 34, 947–955. [Google Scholar] [CrossRef]
- Djilianov, D.L.; Dobrev, P.I.; Moyankova, D.P.; Vankova, R.; Georgieva, D.T.; Gajdošová, S.; Motyka, V. Dynamics of endogenous phytohormones during desiccation and recovery of the resurrection plant species Haberlea rhodopensis. J. Plant Growth Regul. 2013, 32, 564–574. [Google Scholar] [CrossRef]
- Zhao, Z.; Chen, G.; Zhang, C. Interaction between reactive oxygen species and nitric oxide in drought-induced abscisic acid synthesis in root tips of wheat seedlings. Funct. Plant Biol. 2001, 28, 1055–1061. [Google Scholar] [CrossRef]
- Lau, S.E.; Hamdan, M.F.; Pua, T.L.; Saidi, N.B.; Tan, B.C. Plant nitric oxide signaling under drought stress. Plants 2021, 10, 360. [Google Scholar] [CrossRef] [PubMed]
- Iqbal, N.; Umar, S.; Khan, N.A.; Corpas, F.J. Crosstalk between abscisic acid and nitric oxide under heat stress: Exploring new vantage points. Plant Cell Rep. 2021, 40, 1429–1450. [Google Scholar] [CrossRef]
- Kamies, R.; Rafudeen, M.S.; Farrant, J. The use of aeroponics to investigate antioxidant activity in the roots of Xerophyta viscosa. Plant Growth Regul. 2010, 62, 203–211. [Google Scholar] [CrossRef]
- Mundree, S.G.; Baker, B.; Mowla, S.; Peters, S.; Marais, S.; Vander Willigen, C.; Govender, K.; Maredza, A.; Muyanga, S.; Farrant, J.M.; et al. Physiological and molecular insights into drought tolerance. Afr. J. Biotechnol. 2002, 1, 28–38. [Google Scholar] [CrossRef]
- Illing, N.; Denby, K.J.; Collett, H.; Shen, A.; Farrant, J.M. The signature of seeds in resurrection plants: A molecular and physiological comparison of desiccation tolerance in seeds and vegetative tissues. Integr. Comp. Biol. 2005, 45, 771–787. [Google Scholar] [CrossRef]
- Beggs, C.J.; Wellmann, E. Photocontrol of flavonoid biosynthesis. In Photomorphogenesis in Plants; Kendrick, R.E., Kronenberg, G.H.M., Eds.; Kluwer Academic Publishers: Dordrecht, The Netherlands, 1994; pp. 733–751. [Google Scholar]
- Briggs, W.R. Phototropism: Some history, some puzzles, and a look ahead. Plant Physiol. 2014, 164, 13–23. [Google Scholar] [CrossRef]
- Yokawa, K.; Baluška, F. Pectins, ROS homeostasis and UV-B responses in plant roots. Phytochemistry 2015, 12, 80–83. [Google Scholar] [CrossRef]
- Solymosi, K.; Lethin, J.; Aronsson, H. Diversity and plasticity of plastids in land plants. In Plastids. Methods in Molecular Biology; Maréchal, E., Ed.; Humana Press: New York, NY, USA, 2018; Volume 1829. [Google Scholar] [CrossRef]
- Asada, K. The water-water cycle in chloroplasts: Scavenging of active oxygens and dissipation of excess photons. Annu. Rev. Plant Biol. 1999, 50, 601–639. [Google Scholar] [CrossRef] [PubMed]
- Zhang, W.; Gruszewski, H.A.; Chevone, B.I.; Nessler, C.L. An arabidopsis purple acid phosphatase with phytase activity increases foliar ascorbate. Plant Physiol. 2008, 146, 431–440. [Google Scholar] [CrossRef] [PubMed]
- Chaves, M.M.; Maroco, J.P.; Pereira, J.S. Understanding plant responses to drought—From genes to the whole plant. Funct. Plant Biol. 2003, 30, 239–264. [Google Scholar] [CrossRef] [PubMed]
- Talbi, S.; Romero-Puertas, M.C.; Hernández, A.; Terrón, L.; Ferchichi, A.; Sandalio, L.M. Drought tolerance in a Saharian plant Oudneya africana. Role of antioxidant defences. Environ. Exp. Bot. 2015, 111, 114–126. [Google Scholar] [CrossRef]
- Aidar, S.D.T.; Chaves, A.R.D.M.; Júnior, P.I.F.; Oliveira, M.D.S.; da Costa Neto, B.P.; Junior, T.C.; Morgante, C.V. Vegetative desiccation tolerance of Tripogon spicatus (Poaceae) from the tropical semiarid region of northeastern Brazil. Funct. Plant Biol. 2017, 44, 1124–1133. [Google Scholar] [CrossRef]
- Deeba, F.; Pandey, A.K.; Pandey, V. Organ specific proteomic dissection of Selaginella bryopteris undergoing dehydration and rehydration. Front. Plant Sci. 2016, 7, 425. [Google Scholar] [CrossRef]
- Jovanović, Ž.; Rakić, T.; Stevanović, B.; Radović, S. Characterization of oxidative and antioxidative events during dehydration and rehydration of resurrection plant Ramonda nathaliae. Plant Growth Regul. 2011, 64, 231–240. [Google Scholar] [CrossRef]
- Wang, Y.; Branicky, R.; Noë, A.; Hekimi, S. Superoxide dismutases: Dual roles in controlling ROS damage and regulating ROS signaling. J. Cell Biol. 2018, 217, 1915–1928. [Google Scholar] [CrossRef]
- Foyer, C.H.; Noctor, G. Oxidant and antioxidant signaling in plants, a re-evaluation of the concept of oxidative stress in a physiological context. Plant Cell Environ. 2005, 28, 1056–1071. [Google Scholar] [CrossRef]
- Georgieva, K.; Mihailova, G.; Gigova, L.; Dagnon, S.; Simova-Stoilova, L.; Velitchkova, M. The role of antioxidant defense in freezing tolerance of resurrection plant Haberlea rhodopensis. Physiol. Mol. Biol. Plants 2021, 27, 1119–1133. [Google Scholar] [CrossRef]
- Farrant, J.M. Mechanisms of desiccation tolerance in angiosperm resurrection plants. In Plant Desiccation Tolerance; Jenks, M.A., Wood, A.J., Eds.; Blackwell Publishing: Ames, IA, USA, 2007; pp. 51–90. [Google Scholar]
- Fancy, N.N.; Bahlmann, A.K.; Loake, G.J. Nitric oxide function in plant abiotic stress. Plant Cell Environ. 2017, 40, 462–472. [Google Scholar] [CrossRef] [PubMed]
- Feng, J.; Chen, L.; Zuo, J. Protein S-nitrosylation in plants: Current progresses and challenges. J. Integr. Plant Biol. 2019, 61, 1206–1223. [Google Scholar] [CrossRef] [PubMed]
- Kolbert, Z.; Feigl, G.; Bordé, Á.; Molnár, Á.; Erdei, L. Protein tyrosine nitration in plants: Present knowledge, computational prediction and future perspectives. Plant Physiol. Biochem. 2017, 113, 56–63. [Google Scholar] [CrossRef] [PubMed]
- Corpas, F.J.; González-Gordo, S.; Palma, J.M. Protein nitration: A connecting bridge between nitric oxide (NO) and plant stress. Plant Stress 2021, 2, 100026. [Google Scholar] [CrossRef]
- Khajuria, A.; Bali, S.; Sharma, P.; Kaur, R.; Jasrotia, S.; Saini, P.; Ohri, P.; Bhardwaj, R. S-Nitrosoglutathione (GSNO) and Plant Stress Responses. In Reactive Oxygen, Nitrogen and Sulfur Species in Plants: Production, Metabolism, Signaling and Defense Mechanisms; Hasanuzzaman, M., Fotopoulos, V., Nahar, K., Fujita, M., Eds.; Wiley Blackwell: Hoboken, NJ, USA, 2019; pp. 627–644. [Google Scholar] [CrossRef]
- Lindermayr, C. Crosstalk between reactive oxygen species and nitric oxide in plants: Key role of S-nitrosoglutathione reductase. Free Radic. Biol. Med. 2018, 122, 110–115. [Google Scholar] [CrossRef]
- Nabi, R.B.S.; Tayade, R.; Hussain, A.; Kulkarni, K.P.; Imran, Q.M.; Mun, B.G.; Yun, B.W. Nitric oxide regulates plant responses to drought, salinity, and heavy metal stress. Environ. Exp. Bot. 2019, 161, 120–133. [Google Scholar] [CrossRef]
- Shan, C.; Zhou, Y.; Liu, M. Nitric oxide participates in the regulation of the ascorbate-glutathione cycle by exogenous jasmonic acid in the leaves of wheat seedlings under drought stress. Protoplasma 2015, 252, 1397–1405. [Google Scholar] [CrossRef]
- Hasanuzzaman, M.; Nahar, K.; Rahman, A.; Inafuku, M.; Oku, H.; Fujita, M. Exogenous nitric oxide donor and arginine provide protection against short-term drought stress in wheat seedlings. Physiol. Mol. Biol. Plants 2018, 24, 993–1004. [Google Scholar] [CrossRef]
- Perlikowski, D.; Lechowicz, K.; Pawłowicz, I.; Arasimowicz-Jelonek, M.; Kosmala, A. Scavenging of nitric oxide up-regulates photosynthesis under drought in Festuca arundinacea and F. glaucescens but reduces their drought tolerance. Sci. Rep. 2022, 12, 6500. [Google Scholar] [CrossRef]
- García-Mata, C.; Lamattina, L. Nitric oxide induces stomatal closure and enhances the adaptive plant responses against drought stress. Plant Physiol. 2001, 126, 1196–1204. [Google Scholar] [CrossRef]
- Li, S.; Li, X.; Wei, Z.; Liu, F. ABA-mediated modulation of elevated CO2 on stomatal response to drought. Curr. Opin. Plant Biol. 2020, 56, 174–180. [Google Scholar] [CrossRef] [PubMed]
- Hoekstra, F.A.; Golovina, E.A.; Buitink, J. Mechanisms of plant desiccation tolerance. Trends Plant Sci. 2001, 6, 431–438. [Google Scholar] [CrossRef] [PubMed]
- Mihailova, G.; Solti, Á.; Sárvári, É.; Hunyadi-Gulyás, É.; Georgieva, K. Protein changes in shade and sun Haberlea rhodopensis leaves during dehydration at optimal and low temperatures. Plants 2023, 12, 401. [Google Scholar] [CrossRef] [PubMed]
- Georgieva, K.; Rapparini, F.; Bertazza, G.; Mihailova, G.; Sárvári, É.; Solti, Á.; Keresztes, Á. Alterations in the sugar metabolism and in the vacuolar system of mesophyll cells contribute to the desiccation tolerance of Haberlea rhodopensis ecotypes. Protoplasma 2017, 254, 193–201. [Google Scholar] [CrossRef]
- Líška, D.; Martinka, M.; Kohanová, J.; Lux, A. Asymmetrical development of root endodermis and exodermis in reaction to abiotic stresses. Ann. Bot. 2016, 118, 667–674. [Google Scholar] [CrossRef]
- Mladenov, P.; Zasheva, D.; Planchon, S.; Leclercq, C.C.; Falconet, D.; Moyet, L.; Brugière, S.; Moyankova, D.; Tchorbadjieva, M.; Ferro, M.; et al. Proteomics evidence of a systemic response to desiccation in the resurrection plant Haberlea rhodopensis. Int. J. Mol. Sci. 2022, 23, 8520. [Google Scholar] [CrossRef]
- Mihailova, G.; Gashi, B.; Krastev, N.; Georgieva, K. Acquisition of freezing tolerance of resurrection species from Gesneriaceae, a comparative study. Plants 2023, 12, 1893. [Google Scholar] [CrossRef]
- Close, T.J. Dehydrins: A commonalty in the response of plants to dehydration and low temperature. Physiol. Plant. 1997, 100, 291–296. [Google Scholar] [CrossRef]
- Graether, S.P.; Boddington, K.F. Disorder and function: A review of the dehydrin protein family. Front. Plant Sci. 2014, 5, 576. [Google Scholar] [CrossRef]
- Röehrig, H.; Schmidt, J.; Colby, T.; Braeutigam, A.; Hufnagel, P.; Bartels, D. Desiccation of the resurrection plant Craterostigma plantagineum induces dynamic changes in protein phosphorylation. Plant Cell Environ. 2006, 29, 1606–1617. [Google Scholar] [CrossRef] [PubMed]
- Georgieva, K.; Mihailova, G.; Fernández-Marín, B.; Bertazza, G.; Govoni, A.; Arzac, M.I.; Laza, J.M.; Vilas, J.L.; García-Plazaola, J.I.; Rapparini, F. Protective strategies of Haberlea rhodopensis for acquisition of freezing tolerance: Interaction between dehydration and low temperature. Int. J. Mol. Sci. 2022, 23, 15050. [Google Scholar] [CrossRef]
- Mihailova, G.; Christov, N.K.; Sárvári, É.; Solti, Á.; Hembrom, R.; Solymosi, K.; Keresztes, Á.; Velitchkova, M.; Popova, A.V.; Simova-Stoilova, L.; et al. Reactivation of the photosynthetic apparatus of resurrection plant Haberlea rhodopensis during the early phase of recovery from drought- and freezing-induced desiccation. Plants 2022, 11, 2185. [Google Scholar] [CrossRef]
- Waters, E.R.; Vierling, E. Plant small heat shock proteins–evolutionary and functional diversity. New Phytol. 2020, 227, 24–37. [Google Scholar] [CrossRef]
- Sun, W.; Van Montagu, M.; Verbruggen, N. Small heat shock proteins and stress tolerance in plants. Biochim. Biophys. Acta Gene Struct. Expr. 2002, 1577, 1–9. [Google Scholar] [CrossRef]
- Mihailova, G.; Tchorbadjieva, M.; Rakleova, G.; Georgieva, K. Differential accumulation of sHSPs isoforms during desiccation of the resurrection plant Haberlea rhodopensis Friv. under optimal and high temperature. Life 2023, 13, 238. [Google Scholar] [CrossRef]
- Gechev, T.S.; Benina, M.; Obata, T.; Tohge, T.; Sujeeth, N.; Minkov, I.; Hille, J.; Temanni, M.-R.; Marriott, A.S.; Bergström, E.; et al. Molecular mechanisms of desiccation tolerance in the resurrection glacial relic Haberlea rhodopensis. Cell. Mol. Life Sci. 2013, 70, 689–709. [Google Scholar] [CrossRef]
- Zhang, Z.; Wang, B.; Sun, D.; Deng, X. Molecular cloning and differential expression of sHSP gene family members from the resurrection plant Boea hygrometrica in response to abiotic stresses. Biologia 2013, 68, 651–661. [Google Scholar] [CrossRef]
- Alamillo, J.; Almoguera, C.; Bartels, D.; Jordano, J. Constitutive expression of small heat shock proteins in vegetative tissues of the resurrection plant Craterostigma plantagineum. Plant Mol. Biol. 1995, 29, 1093–1099. [Google Scholar] [CrossRef]
- Adolfsson, L.; Solymosi, K.; Andersson, M.X.; Keresztes, A.; Uddling, J.; Schoefs, B.; Spetea, C. Mycorrhiza symbiosis increases the surface for sunlight capture in Medicago truncatula for better photosynthetic production. PLoS ONE 2015, 10, e0115314. [Google Scholar] [CrossRef]
- Ounoki, R.; Ágh, F.; Hembrom, R.; Ünnep, R.; Szögi-Tatár, B.; Böszörményi, A.; Solymosi, K. Salt stress affects plastid ultrastructure and photosynthetic activity but not the essential oil composition in spearmint (Mentha spicata L. var. crispa “Moroccan”). Front. Plant Sci. 2021, 12, 2253. [Google Scholar] [CrossRef]
- Brand-Williams, W.; Cuvelier, M.E.; Berset, C.L.W.T. Use of a free radical method to evaluate antioxidant activity. LWT-Food Sci. Technol. 1995, 28, 25–30. [Google Scholar] [CrossRef]
- Benzie, I.F.; Szeto, Y.T. Total antioxidant capacity of teas by the ferric reducing/antioxidant power assay. J. Agric. Food Chem. 1999, 47, 633–636. [Google Scholar] [CrossRef]
- Zhishen, J.; Mengcheng, T.; Jianming, W. The determination of flavonoid contents in mulberry and their scavenging effects on superoxide radicals. Food Chem. 1999, 64, 555–559. [Google Scholar] [CrossRef]
- Kampfenkel, K.; Van Montagu, M.; Inze, D. Extraction and determination of ascorbate and dehydroascorbate in plant tissues. Anal. Biochem. 1995, 225, 155–167. [Google Scholar] [CrossRef]
- Murray, J.R.; Hackett, W.P. Dihydroflavonol reductase activity in relation to differential anthocyanin accumulation in juvenile and mature phase Hedera helix L. Plant Physiol. 1991, 97, 343–351. [Google Scholar] [CrossRef]
- Hodges, D.M.; Nozzolillo, C. Anthocyanin and anthocyanoplast content of cruciferous seedlings subjected to mineral nutrient deficiencies. J. Plant Physiol. 1996, 147, 749–754. [Google Scholar] [CrossRef]
- Bradford, M.M. A rapid and sensitive method for the quantitation of microgram quantities of protein utilizing the principle of protein-dye binding. Anal. Biochem. 1976, 72, 248–254. [Google Scholar] [CrossRef]
- Laemmli, U.K. Cleavage of structural proteins during the assembly of the head of bacteriophage T4. Nature 1970, 227, 680–685. [Google Scholar] [CrossRef]
- Azevedo, R.A.D.; Alas, R.M.; Smith, R.J.; Lea, P.J. Response of antioxidant enzymes to transfer from elevated carbon dioxide to air and ozone fumigation, in the leaves and roots of wild-type and a catalase-deficient mutant of barley. Physiol. Plant. 1998, 104, 280–292. [Google Scholar] [CrossRef]
- Chandlee, J.M.; Scandalios, J.G. Gene expression during early kernel developmental in Zea mays. Dev. Genet. 1983, 4, 99–115. [Google Scholar] [CrossRef]
- Anderson, M.D.; Prasad, T.K.; Stewart, C.R. Changes in isozyme profiles of catalase, peroxidase, and glutathione reductase during acclimation to chilling in mesocotyls of maize seedlings. Plant Physiol. 1995, 109, 1247–1257. [Google Scholar] [CrossRef]
- Ricci, G.; Bello, M.L.; Caccuri, A.M.; Galiazzo, F.; Federici, G. Detection of glutathione transferase activity on polyacrylamide gels. Anal. Biochem. 1984, 143, 226–230. [Google Scholar] [CrossRef]








| Variant Leaves | WC of Leaves (g H2O g DW−1) | Variant Roots | WC of Roots (g H2O g DW−1) |
|---|---|---|---|
| LC | 4.96 ± 0.08 a | RC | 3.82 ± 0.07 b |
| LD1 | 2.16 ± 0.20 d | RD1 | 1.14 ± 0.09 ef |
| LD2 | 1.30 ± 0.14 ef | RD2 | 1.30 ± 0.06 ef |
| LD3 | 0.88 ± 0.16 f | RD3 | 1.43 ± 0.01 e |
| LD4 | 0.22 ± 0.03 g | RD4 | 0.35 ± 0.01 g |
| LR | 4.10 ± 0.14 b | RR | 3.23 ± 0.30 c |
Disclaimer/Publisher’s Note: The statements, opinions and data contained in all publications are solely those of the individual author(s) and contributor(s) and not of MDPI and/or the editor(s). MDPI and/or the editor(s) disclaim responsibility for any injury to people or property resulting from any ideas, methods, instructions or products referred to in the content. |
© 2023 by the authors. Licensee MDPI, Basel, Switzerland. This article is an open access article distributed under the terms and conditions of the Creative Commons Attribution (CC BY) license (https://creativecommons.org/licenses/by/4.0/).
Share and Cite
Georgieva, K.; Mihailova, G.; Gigova, L.; Popova, A.V.; Velitchkova, M.; Simova-Stoilova, L.; Sági-Kazár, M.; Zelenyánszki, H.; Solymosi, K.; Solti, Á. Antioxidative Defense, Suppressed Nitric Oxide Accumulation, and Synthesis of Protective Proteins in Roots and Leaves Contribute to the Desiccation Tolerance of the Resurrection Plant Haberlea rhodopensis. Plants 2023, 12, 2834. https://doi.org/10.3390/plants12152834
Georgieva K, Mihailova G, Gigova L, Popova AV, Velitchkova M, Simova-Stoilova L, Sági-Kazár M, Zelenyánszki H, Solymosi K, Solti Á. Antioxidative Defense, Suppressed Nitric Oxide Accumulation, and Synthesis of Protective Proteins in Roots and Leaves Contribute to the Desiccation Tolerance of the Resurrection Plant Haberlea rhodopensis. Plants. 2023; 12(15):2834. https://doi.org/10.3390/plants12152834
Chicago/Turabian StyleGeorgieva, Katya, Gergana Mihailova, Liliana Gigova, Antoaneta V. Popova, Maya Velitchkova, Lyudmila Simova-Stoilova, Máté Sági-Kazár, Helga Zelenyánszki, Katalin Solymosi, and Ádám Solti. 2023. "Antioxidative Defense, Suppressed Nitric Oxide Accumulation, and Synthesis of Protective Proteins in Roots and Leaves Contribute to the Desiccation Tolerance of the Resurrection Plant Haberlea rhodopensis" Plants 12, no. 15: 2834. https://doi.org/10.3390/plants12152834
APA StyleGeorgieva, K., Mihailova, G., Gigova, L., Popova, A. V., Velitchkova, M., Simova-Stoilova, L., Sági-Kazár, M., Zelenyánszki, H., Solymosi, K., & Solti, Á. (2023). Antioxidative Defense, Suppressed Nitric Oxide Accumulation, and Synthesis of Protective Proteins in Roots and Leaves Contribute to the Desiccation Tolerance of the Resurrection Plant Haberlea rhodopensis. Plants, 12(15), 2834. https://doi.org/10.3390/plants12152834

