Biochemical Alterations in Triticale Seedlings Pretreated with Selective Herbicide and Subjected to Drought or Waterlogging Stress
Abstract
1. Introduction
2. Results
2.1. Stress Marker Contents: Hydrogen Peroxide, Malondialdehyde and Proline
2.2. Non-Enzymatic Antioxidants: Total Phenolics and Thiol Groups Containing Compounds
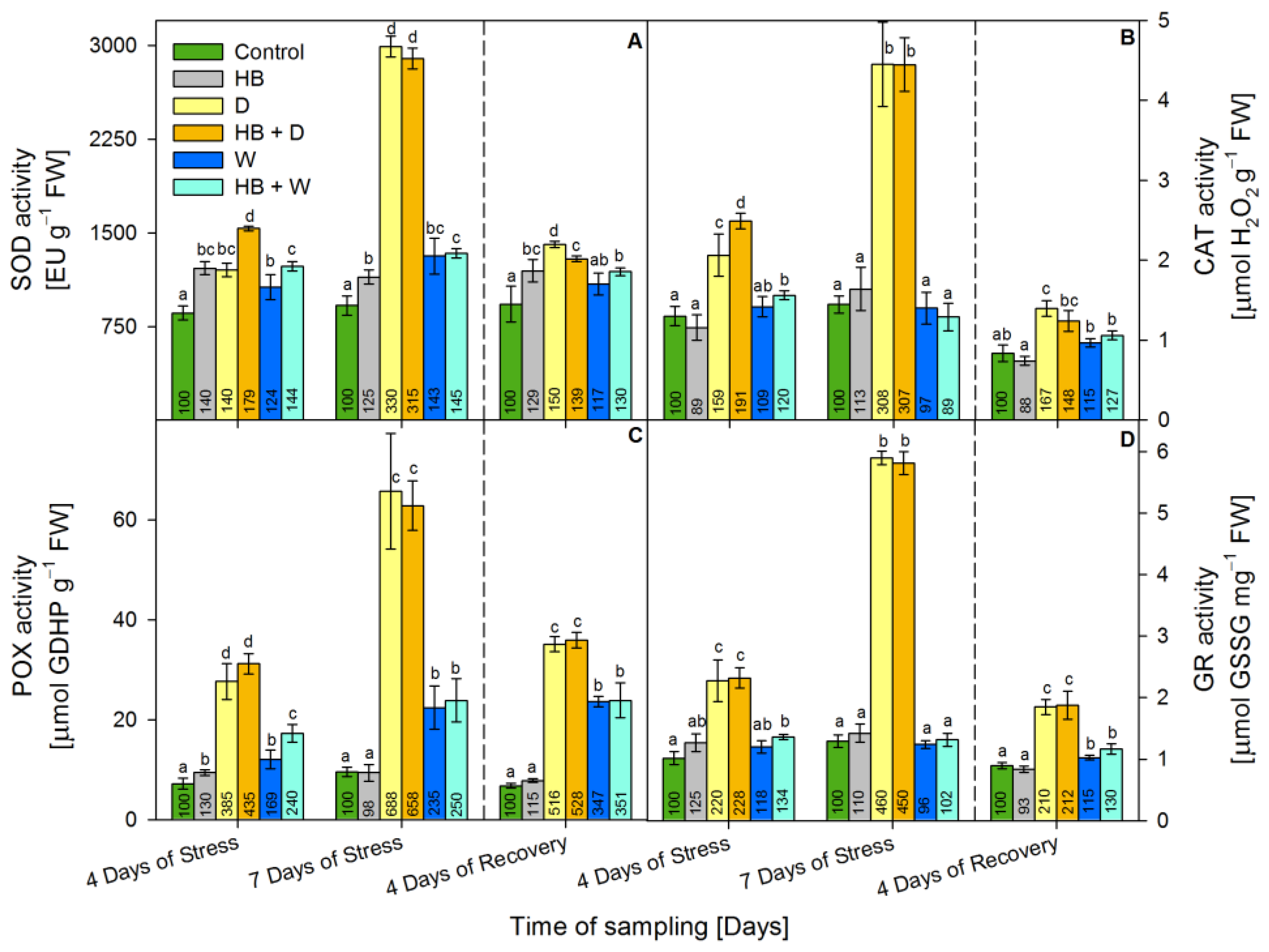
2.3. Activity of Enzymatic Antioxidants
2.4. Activity of Xenobiotic-Detoxifying Enzymes
3. Discussion
4. Materials and Methods
4.1. Model System
4.2. Biochemical Extraction and Analyses
4.3. Statistical Analysis
Author Contributions
Funding
Data Availability Statement
Conflicts of Interest
References
- Mergoum, M.; Singh, P.K.; Peña, R.J.; Lozano-del Río, A.J.; Cooper, K.V.; Salmon, D.F.; Gómez Macpherson, H. Triticale: A “New” Crop with Old Challenges. In Cereals; Carena, M.J., Ed.; Springer: New York, NY, USA, 2009; pp. 267–287. [Google Scholar] [CrossRef]
- Blum, A. The Abiotic Stress Response and Adaptation of Triticale—A Review. Cereal Res. Commun. 2014, 42, 359–375. [Google Scholar] [CrossRef]
- Arsenuik, E. Triticale Abiotic Stresses—An Overview. In Triticale; Eudes, F., Ed.; Springer International Publishing: Cham, Switzerland, 2015; pp. 69–81. [Google Scholar] [CrossRef]
- Din, A.M.U.; Mao, H.T.; Khan, A.; Raza, M.A.; Ahmed, M.; Yuan, M.; Zhang, Z.W.; Yuan, S.; Zhang, H.Y.; Liu, Z.H.; et al. Photosystems and antioxidative system of rye, wheat and triticale under Pb stress. Ecotoxicol. Environ. Safety 2023, 249, 114356. [Google Scholar]
- Kaur, G.; Singh, G.; Motavalli, P.P.; Nelson, K.A.; Orlowski, J.M.; Golden, B.R. Impacts and management strategies for crop production in Waterlogged/Flooded soils: A review. Agron. J. 2020, 112, 1475–1501. [Google Scholar] [CrossRef]
- Hasanuzzaman, M.; Bhuyan, M.B.; Parvin, K.; Bhuiyan, T.F.; Anee, T.I.; Nahar, K.; Hossen, M.S.; Zulfiqar, F.; Alam, M.M.; Fujita, M. Regulation of ROS metabolism in plants under environmental stress: A review of recent experimental evidence. Int. J. Mol. Sci. 2020, 21, 8695. [Google Scholar] [CrossRef]
- Zhou, W.; Chen, F.; Meng, Y.; Chandrasekaran, U.; Luo, X.; Yang, W.; Shu, K. Plant waterlogging/flooding stress responses: From seed germination to maturation. Plant Physiol. Biochem. 2020, 148, 228–236. [Google Scholar] [CrossRef] [PubMed]
- Pan, J.; Sharif, R.; Xu, X.; Chen, X. Mechanisms of Waterlogging Tolerance in Plants: Research Progress and Prospects. Front. Plant Sci. 2021, 11, 627331. [Google Scholar] [CrossRef]
- Suzuki, N.; Rivero, R.M.; Shulaev, V.; Blumwald, E.; Mittler, R. Abiotic and biotic stress combinations. New Phytol. 2014, 203, 32–43. [Google Scholar] [CrossRef] [PubMed]
- Zandalinas, S.I.; Fritschi, F.B.; Mittler, R. Signal transduction networks during stress combination. J. Exp. Bot. 2020, 71, 1734–1741. [Google Scholar] [CrossRef] [PubMed]
- Cohen, I.; Rapaport, T.; Chalifa-Caspi, V.; Rachmilevitch, S. Synergistic effects of abiotic stresses in plants: A case study of nitrogen limitation and saturating light intensity in Arabidopsis thaliana. Physiol. Plant. 2019, 165, 755–767. [Google Scholar] [CrossRef]
- Radchenko, M.; Ponomareva, I.; Pozynych, I.; Morderer, Y. Stress and use of herbicides in field crops. Agric. Sci. Pract. 2021, 8, 50–70. [Google Scholar] [CrossRef]
- Todorova, D.; Sergiev, I.; Katerova, Z.; Shopova, E.; Dimitrova, L.; Brankova, L. Assessment of the Biochemical Responses of Wheat Seedlings to Soil Drought after Application of Selective Herbicide. Plants 2021, 10, 733. [Google Scholar] [CrossRef]
- Katerova, Z.; Sergiev, I.; Todorova, D.; Shopova, E.; Dimitrova, L.; Brankova, L. Physiological responses of wheat seedlings to soil waterlogging applied after treatment with selective herbicide. Plants 2021, 10, 1195. [Google Scholar] [CrossRef]
- Brankova, L.; Dimitrova, L.; Shopova, E.; Katerova, Z.; Sergiev, I.; Todorova, D. Microsomal P450-related electron transfer components, glutathione and glutathione S-transferase contribution in stress response of herbicide-treated wheat to drought and waterlogging. C. R. Acad. Bulg. Sci. 2022, 75, 1089–1096. [Google Scholar] [CrossRef]
- Stefanovic, L.; Zaric, L. Effect of herbicides and low temperatures on certain maize genotypes. Plant Prot. 1991, 42, 345–356. [Google Scholar]
- Lastochkina, O.; Yakupova, A.; Avtushenko, I.; Lastochkin, A.; Yuldashev, R. Effect of Seed Priming with Endophytic Bacillus subtilis on Some Physio-Biochemical Parameters of Two Wheat Varieties Exposed to Drought after Selective Herbicide Application. Plants 2023, 12, 1724. [Google Scholar] [CrossRef] [PubMed]
- Rivero, R.M.; Mittler, R.; Blumwald, E.; Zandalinas, S.I. Developing climate-resilient crops: Improving plant tolerance to stress combination. Plant J. 2022, 109, 373–389. [Google Scholar] [CrossRef]
- Grzesiak, M.T.; Hura, K.; Jurczyk, B.; Hura, T.; Rut, G.; Szczyrek, P.; Grzesiak, S. Physiological markers of stress susceptibility in maize and triticale under different soil compactions and/or soil water contents. J. Plant Interact. 2017, 12, 355–372. [Google Scholar] [CrossRef]
- Kerchev, P.I.; Van Breusegem, F. Improving oxidative stress resilience in plants. Plant J. 2022, 109, 359–372. [Google Scholar] [CrossRef]
- Sharma, P.; Jha, A.B.; Dubey, R.S.; Pessarakli, M. Reactive oxygen species, oxidative damage, and antioxidative defense mechanism in plants under stressful conditions. J. Bot. 2012, 2012, 217037. [Google Scholar] [CrossRef]
- Riasat, M.; Kiani, S.; Saed-Mouchehsi, A.; Pessarakli, M. Oxidant related biochemical traits are significant indices in triticale grain yield under drought stress condition. J. Plant Nutr. 2019, 42, 111–126. [Google Scholar] [CrossRef]
- Brankova, L.; Ivanov, S.; Alexieva, V. The induction of microsomal NADPH:cytochrome P450 and NADH: Cytochrome b5 reductases by long-term salt treatment of cotton (Gossypium hirsutum L.) and bean (Phaseolus vulgaris L.) plants. Plant Physiol. Biochem. 2007, 45, 691–695. [Google Scholar] [CrossRef] [PubMed]
- Gao, X.; Zhang, F.; Hu, J.; Cai, W.; Shan, G.; Dai, D.; Huang, K.; Wang, G. MicroRNAs modulate adaption to multiple abiotic stresses in Chlamydomonas reinhardtii. Sci. Rep. 2016, 6, 38228. [Google Scholar] [CrossRef] [PubMed]
- Pandian, B.A.; Sathishraj, R.; Djanaguiraman, M.; Prasad, P.V.V.; Jugulam, M. Role of cytochrome P450 enzymes in plant stress response. Antioxidants 2020, 9, 454. [Google Scholar] [CrossRef] [PubMed]
- Siminszky, B. Plant cytochrome P450-mediated herbicide metabolism. Phytochem. Rev. 2006, 5, 445–458. [Google Scholar] [CrossRef]
- Kumar, R.; Tran, L.-S.P.; Neelandan, A.K.; Nguen, H.T. Higher plant cytochrome b5 polypeptydes modulate fatty acids desaturation. PLoS ONE 2012, 7, e31370. [Google Scholar]
- Oh, Y.J.; Kim, H.; Seo, S.H.; Hwang, B.G.; Chang, Y.S.; Lee, J.; Lee, D.W.; Sohn, E.J.; Lee, S.J.; Lee, Y.; et al. Cytochrome b5 reductase 1 triggers serial reactions that lead to iron uptake in plants. Mol. Plant. 2016, 9, 501–513. [Google Scholar] [CrossRef] [PubMed]
- Chhokar, R.S.; Sharma, R.K.; Sharma, I. Weed management strategies in wheat—A review. J. Wheat Res. 2012, 4, 1–21. [Google Scholar]
- Mashhady, A.S.; Sayed, H.I.; Heakal, M.S. Effect of soil salinity and water stresses on growth and content of nittrogent, chloride and phosphate of wheat and triticale. Plant Soil 1982, 68, 207–216. [Google Scholar] [CrossRef]
- Bijanzadeh, E.; Emam, Y.; Pessarakli, M. Biochemical responses of water-stressed triticale (×Triticosecale wittmack) to humic acid and jasmonic acid. J. Plant Nutr. 2020, 44, 252–269. [Google Scholar] [CrossRef]
- Alagoz, S.M.; Hadi, H.; Toorchi, M.; Pawłowski, T.A.; Shishavan, M.T. Effects of Water Deficiency at Different Phenological Stages on Oxidative Defense, Ionic Content, and Yield of Triticale (×Triticosecale wittmack) Irrigated with Saline Water. J. Soil Sci. Plant Nutr. 2022, 22, 99–111. [Google Scholar] [CrossRef]
- Abu-Altemen, M. Effect of Excess Nitrogen Fertilization on Triticale Production under Rainfed and Supplemental Irrigation Conditions. Ph.D. Thesis, American Uiversity of Beirut, Beirut, Lebanon, April 2022. [Google Scholar]
- Todorova, D.; Aleksandrov, V.; Anev, S.; Sergiev, I. Photosynthesis Alterations in Wheat Plants Induced by Herbicide, Soil Drought or Flooding. Agronomy 2022, 12, 390. [Google Scholar] [CrossRef]
- Toulotte, J.M.; Pantazopoulou, C.K.; Sanclemente, M.A.; Voesenek, L.A.C.J.; Sasidharan, R. Water stress resilient cereal crops: Lessons from wild relatives. J. Integr. Plant Biol. 2022, 64, 412–430. [Google Scholar] [CrossRef] [PubMed]
- Verslues, P.E.; Bailey-Serres, J.; Brodersen, C.; Buckley, T.N.; Conti, L.; Christmann, A.; Dinneny, J.R.; Grill, E.; Hayes, S.; Heckman, R.W.; et al. Burning questions for a warming and changing world: 15 unknowns in plant abiotic stress. Plant Cell 2023, 35, 67–108. [Google Scholar] [CrossRef]
- Gill, S.S.; Tuteja, N. Reactive oxygen species and antioxidant machinery in abiotic stress tolerance in crop plants. Plant Physiol. Biochem. 2010, 48, 909–930. [Google Scholar] [CrossRef] [PubMed]
- Lukatkin, A.S.; Gar’kova, A.N.; Bochkarjova, A.S.; Nushtaeva, O.V.; da Silva, J.A.T. Treatment with the herbicide TOPIK induces oxidative stress in cereal leaves. Pesticide Biochem. Physiol. 2013, 105, 44–49. [Google Scholar] [CrossRef]
- Rizhsky, L.; Liang, H.; Shuman, J.; Shulaev, V.; Davletova, S.; Mittler, R. When defense pathways collide. The response of Arabidopsis to a combination of drought and heat stress. Plant Physiol. 2004, 134, 1683–1696. [Google Scholar] [CrossRef]
- Kavi Kishor, P.B.; Sreenivasulu, N. Is proline accumulation per se correlated with stress tolerance or is proline homeostasis a more critical issue? Plant Cell Environ. 2014, 37, 300–311. [Google Scholar] [CrossRef]
- Marchiosi, R.; dos Santos, W.D.; Constantin, R.P.; de Lima, R.B.; Soares, A.R.; Finger-Teixeira, A.; Mota, T.R.; de Oliveira, D.M.; Foletto-Felipe, M.D.P.; Abrahão, J.; et al. Biosynthesis and metabolic actions of simple phenolic acids in plants. Phytochem. Rev. 2020, 19, 865–906. [Google Scholar] [CrossRef]
- Kumar, M.; Tak, Y.; Potkule, J.; Choyal, P.; Tomar, M.; Meena, N.L.; Kaur, C. Phenolics as Plant Protective Companion Against Abiotic Stress. In Plant Phenolics in Sustainable Agriculture; Lone, R., Shuab, R., Kamili, A., Eds.; Springer: Singapore, 2020; pp. 277–308. [Google Scholar] [CrossRef]
- Puente-Garza, C.A.; Meza-Miranda, C.; Ochoa-Martínez, D.; García-Lara, S. Effect of in vitro drought stress on phenolic acids, flavonols, saponins, and antioxidant activity in Agave salmiana. Plant Physiol. Biochem. 2017, 115, 400–407. [Google Scholar] [CrossRef] [PubMed]
- Król, A.; Amarowicz, R.; Weidner, S. Changes in the composition of phenolic compounds and antioxidant properties of grapevine roots and leaves (Vitis vinifera L.) under continuous of long-term drought stress. Acta Physiol. Plant. 2014, 36, 1491–1499. [Google Scholar] [CrossRef]
- Sarker, U.; Oba, S. Response of nutrients, minerals, antioxidant leaf pigments, vitamins, polyphenol, flavonoid and antioxidant activity in selected vegetable amaranth under four soil water content. Food Chem. 2018, 252, 72–83. [Google Scholar] [CrossRef]
- Hura, T.; Grzesiak, S.; Hura, K.; Thiemt, E.; Tokarz, K.; Wędzony, M. Physiological and biochemical tools useful in drought-tolerance detection in genotypes of winter triticale: Accumulation of ferulic acid correlates with drought tolerance. Ann. Bot. 2007, 100, 767–775. [Google Scholar] [CrossRef]
- Zagorchev, L.; Seal, C.E.; Kranner, I.; Odjakova, M.A. Central role for thiols in plant tolerance to abiotic stress. Int. J. Mol. Sci. 2013, 14, 7405–7432. [Google Scholar] [CrossRef] [PubMed]
- Szalai, G.; Kell, T.; Kocsy, G. Glutathione as an antioxidant and regulatory molecule in plants under abiotic stress conditiond. Plant Growth Regul. 2009, 28, 66–80. [Google Scholar] [CrossRef]
- Khunpon, B.; Cha-Um, S.; Faiyue, B.; Uthaibutra, J.; Saengnil, K. Regulation on antioxidant defense system in rice seedlings (Oryza sativa L. ssp. indica cv. ‘Pathumthani 1’) under salt stress by paclobutrazol foliar application. Not. Bot. Hortic. Agrobot. Clju Napoca 2019, 47, 368–377. [Google Scholar] [CrossRef]
- Yin, L.; Mano, J.I.; Tanaka, K.; Wang, S.; Zhang, M.; Deng, X.; Zhang, S. High level of reduced glutathione contributes to detoxification of lipid peroxide-derived reactive carbonyl species in transgenic Arabidopsis overexpressing glutathione reductase under aluminum stress. Physiol. Plant. 2017, 161, 211–223. [Google Scholar] [CrossRef]
- Zhao, X.; Zhao, Y.; Gou, M.; Liu, C.J. Tissue-preferential recruitment of electron transfer chains for cytochrome P450-catalyzed phenolic biosynthesis. Sci. Adv. 2023, 9, eade4389. [Google Scholar] [CrossRef]
- Ro, D.K.; Ehlting, J.; Douglas, C.J. Cloning, functional expression, and subcellular localization of multiple NADPH-cytochrome P450 reductase from hybrid poplar. Plant Physiol. 2002, 130, 1837–1851. [Google Scholar] [CrossRef]
- Batard, Y.; Hehn, A.; Nedelkina, S.; Schalk, M.; Pallett, K.; Schaller, H.; Werck-Reichhart, D. Increasing Expression of P450 and P450-Reductase Proteins from Monocots in Heterologous Systems. Arch. Biochem. Biophys. 2000, 379, 161–169. [Google Scholar] [CrossRef]
- Fukuchi-Mizutani, M.; Mizutani, M.; Tanaka, Y.; Kusumi, T.; Ohta, D. Microsomal electron transfer in higher plants: Cloning and heterologous expression of NADH-cytochrome b5 reductase from Arabidopsis. Plant Physiol. 1999, 119, 353–362. [Google Scholar] [CrossRef]
- Pollak, N.; Dölle, C.; Ziegler, M. The power to reduce: Pyridine nucleotides—Small molecules with a multitude of functions. Biochem. J. 2007, 402, 205–218. [Google Scholar] [CrossRef]
- Parage, C.; Foureau, E.; Kellner, F.; Burlat, V.; Mahroug, S.; Lanoue, A.; de Bernonville, T.D.; Londono, M.A.; Carqueijeiro, I.; Oudin, A.; et al. Class II cytochrome P450 reductase governs the biosynthesis of alkaloids. Plant Physiol. 2016, 172, 1563–1577. [Google Scholar] [CrossRef] [PubMed]
- Repellin, A.; Thi, A.P.; Tashakorie, A.; Sahsah, Y.; Daniel, C.; Zuily-Fodil, Y. Leaf membrane lipids and drought tolerance in young coconut palms (Cocos nucifera L.). Europ. J. Agron. 1997, 6, 25–33. [Google Scholar] [CrossRef]
- Gigon, A.; Matos, A.R.; Laffray, D.; Zuily-Fodil, Y.; Pham-Thi, A.T. Effect of drought stress on lipid metabolism in the leaves of Arabidopsis thaliana (ecotype Columbia). Ann Bot. 2004, 94, 345–351. [Google Scholar] [CrossRef] [PubMed]
- Wang, Y.; Zhang, X.; Huang, G.; Feng, F.; Liu, X.; Guo, R.; Gu, F.; Zhong, X.; Mei, X. Dynamic changes in membrane lipid composition of leaves of winter wheat seedlings in response to PEG-induced water stress. BMC Plant Biol. 2020, 20, 84. [Google Scholar] [CrossRef] [PubMed]
- Porter, T.D. The roles of cytochrome b5 in cytochrome P450 reactions. J. Biochem. Mol. Toxicol. 2002, 16, 311–316. [Google Scholar] [CrossRef]
- Liu, C.J. Cytochrome b5: A versatile electron carrier and regulator for plant metabolism. Front. Plant Sci. 2022, 13, 984174. [Google Scholar] [CrossRef]
- Wayne, L.L.; Wallis, J.G.; Kumar, R.; Markham, J.E.; Browse, J. Cytochrome b5 reductase encoded by CBR1 is essential for a functional male gametophyte in Arabidopsis. Plant Cell 2013, 25, 3052–3066. [Google Scholar] [CrossRef]
- Alexieva, V.; Sergiev, I.; Mapelli, S.; Karanov, E. The effect of drought and ultraviolet radiation on growth and stress markers in pea and wheat. Plant Cell Environ. 2001, 24, 1337–1344. [Google Scholar] [CrossRef]
- Kramer, G.; Norman, H.; Krizek, D.; Mirecki, R. Influence of UV-B radiation on polyamines, lipid peroxidation and membrane lipids in cucumber. Phytochemistry 1991, 30, 2101–2108. [Google Scholar] [CrossRef]
- Bates, L.; Waldren, R.; Teare, I. Rapid determination of free proline for water-stress studies. Plant Soil 1973, 39, 205–207. [Google Scholar] [CrossRef]
- Swain, T.; Goldstein, L. Methods in Polyphenol Chemistry; Pridham, J.B., Ed.; Pergamon Press: Oxford, UK, 1964; pp. 131–146. [Google Scholar]
- Ellman, G.L. Tissue sulfhydryl groups. Arch. Biochem. Biophys. 1959, 82, 70–75. [Google Scholar] [CrossRef]
- Aebi, M. Catalase in vitro. Methods Enzymol. 1984, 105, 121–126. [Google Scholar] [PubMed]
- Dias, I.; Costa, M. Effect of low salt concentration on nitrate reductase and peroxidase of sugar beet leaves. J. Exp. Bot. 1983, 34, 537–543. [Google Scholar] [CrossRef]
- Beauchamp, C.; Fridovich, I. Superoxide dismutase. Improved assay and an assay applicable to acrylamide gels. Anal. Biochem. 1971, 44, 276–287. [Google Scholar] [CrossRef] [PubMed]
- Smith, I.K.; Vierheller, T.L.; Thorne, C.A. Assay of glutathione reductase in crude tissue homogenates using 5,50-dithiobis(2-nitrobenzoic acid). Anal. Biochem. 1988, 175, 408–413. [Google Scholar] [CrossRef]
- Gronwald, J.; Fuerst, P.; Eberlein, C.; Egli, M. Effect of herbicide antidotes on glutathione content, and glutathione S-transferase activity of sorgum shoots. Pestic. Biochem. Phys. 1987, 29, 66–76. [Google Scholar] [CrossRef]
- Tanigaki, F.; Ishihara, A.; Yoshida, K.; Hara, T.; Shinozaki, M.; Iwamura, H. Interaction of microsomal cytochrome P-450s and N-phenylcarbamates that induce flowering in Asparagus seedlings. Z. Naturforsch 1993, 48, 879–885. [Google Scholar] [CrossRef]
- Bradford, M. A rapid and sensitive method for the quantification of microgram quantities of protein utilizing the principle of protein-dye binding. Analyt. Biochem. 1976, 72, 248–254. [Google Scholar] [CrossRef]





Disclaimer/Publisher’s Note: The statements, opinions and data contained in all publications are solely those of the individual author(s) and contributor(s) and not of MDPI and/or the editor(s). MDPI and/or the editor(s) disclaim responsibility for any injury to people or property resulting from any ideas, methods, instructions or products referred to in the content. |
© 2023 by the authors. Licensee MDPI, Basel, Switzerland. This article is an open access article distributed under the terms and conditions of the Creative Commons Attribution (CC BY) license (https://creativecommons.org/licenses/by/4.0/).
Share and Cite
Katerova, Z.; Todorova, D.; Shopova, E.; Brankova, L.; Dimitrova, L.; Petrakova, M.; Sergiev, I. Biochemical Alterations in Triticale Seedlings Pretreated with Selective Herbicide and Subjected to Drought or Waterlogging Stress. Plants 2023, 12, 2803. https://doi.org/10.3390/plants12152803
Katerova Z, Todorova D, Shopova E, Brankova L, Dimitrova L, Petrakova M, Sergiev I. Biochemical Alterations in Triticale Seedlings Pretreated with Selective Herbicide and Subjected to Drought or Waterlogging Stress. Plants. 2023; 12(15):2803. https://doi.org/10.3390/plants12152803
Chicago/Turabian StyleKaterova, Zornitsa, Dessislava Todorova, Elena Shopova, Liliana Brankova, Ljudmila Dimitrova, Margarita Petrakova, and Iskren Sergiev. 2023. "Biochemical Alterations in Triticale Seedlings Pretreated with Selective Herbicide and Subjected to Drought or Waterlogging Stress" Plants 12, no. 15: 2803. https://doi.org/10.3390/plants12152803
APA StyleKaterova, Z., Todorova, D., Shopova, E., Brankova, L., Dimitrova, L., Petrakova, M., & Sergiev, I. (2023). Biochemical Alterations in Triticale Seedlings Pretreated with Selective Herbicide and Subjected to Drought or Waterlogging Stress. Plants, 12(15), 2803. https://doi.org/10.3390/plants12152803

