In Site Soil Seed-Banks: Size, Composition and Persistence across Tropical Successional Stages
Abstract
1. Introduction
2. Results
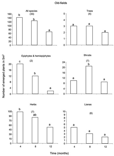
2.1. Patterns of Plant Emergence
2.2. Species Composition of the Seed-Bank
2.3. Seed-Bank Persistence and Successional Stage
2.4. The Relative Contribution of the Seed-Bank to Regeneration
3. Discussion
3.1. Size of the Seed-Bank and Successional Stage
3.2. Persistence of the Seed-Bank across Successional Stages
3.3. Standing Vegetation and Soil Seed-Banks
4. Materials and Methods
4.1. Study Site
4.2. Sampling Design
4.3. Statistical Analysis
Supplementary Materials
Funding
Data Availability Statement
Acknowledgments
Conflicts of Interest
References
- Bazzaz, F.A. Dynamics of wet tropical forests and their species strategies. In Physiological Ecology of Plants in the Wet Tropics; Medina, E., Mooney, H.A., Vázquez-Yanes, C., Eds.; Dr. W. Junk Publishers: The Hague, The Netherlands, 1984; pp. 233–243. [Google Scholar]
- Bazzaz, F.A. Regeneration of tropical forest: Physiological responses of pioneer and secondary species. In Rain Forest Regeneration and Management; Gómez-Pompa, A., Whitmore, T.C., Hadley, M., Eds.; Parthenon Publishing Group: Paris, France, 1991; pp. 91–118. [Google Scholar]
- Benítez-Malvido, J.; Martínez-Ramos, M.; Ceccon, E. Seed rain vs. seed bank, and the effect of vegetation cover on the recruitment of tree seedlings in tropical successional vegetation. Diss. Bot. 2001, 346, 185–203. [Google Scholar]
- Benítez-Malvido, J. Effect of low-vegetation on the recruitment of plants in tropical successional successional stages. Biotropica 2006, 38, 171–182. [Google Scholar] [CrossRef]
- Zermeño-Hernández, I.; Méndez-Toribio, M.; Siebe, C.; Benítez-Malvido, J.; Martínez-Ramos, M. Ecological disturbance regimes caused by agricultural land uses and their effects on tropical forest regeneration. App. Veg. Sci. 2015, 18, 443–455. [Google Scholar] [CrossRef]
- Chalermsri, A.; Ampornpan, L.; Purahon, W. Seed rain, soil seed bank, and seedling emergence indicate limited potential for self-recovery in a highly disturbed tropical mixed deciduous forest. Plants 2020, 9, 1391. [Google Scholar] [CrossRef]
- Gomes Bordon, N.; Nogueira, A.; Leal Filho, N.; Higuchi, N. Blowdown disturbance effect on the density, richness and species composition of the seed bank in Central Amazonia. For. Ecol. Manag. 2019, 453, 117633. [Google Scholar] [CrossRef]
- Adjalla, C.; Tosso, F.; Salako, K.V.; Assogbadjo, A.E. Soil seed bank characteristics along a gradient of past human disturbances in a tropical semi-deciduous forest: Insights for forest management. For. Ecol. Manag. 2022, 503, 119744. [Google Scholar] [CrossRef]
- Yang, X.; Baskin, C.C.; Baskin, J.M.; Pakeman, R.J.; Huang, Z.; Gao, R.; Cornelissen, J.H.C. Global patterns of potential future plant diversity hidden in soil seed banks. Nat. Commun. 2021, 12, 7023. [Google Scholar] [CrossRef]
- Weerasinghe, M.; Ashton, M.S.; Hooper, E.R.; Si, B.M.P. Floristics of soil seed banks on agricultural and disturbed land cleared of tropical forests. Restor. Ecol. 2018, 27, 138–147. [Google Scholar] [CrossRef]
- Gomes da Silva, J.P.; Marangon, L.C.; Patriota, F.A.L.; Caraciolo Ferreira, R.L. Banco de sementes no solo e ecologia morfofuncional de plântulas em remanescente de Floresta Tropical conectado com matriz agrícola Soil seed bank and morphofunctional ecology of seedlings in remnants of Tropical Forest connected with agricultural matrix. Rodriguésia 2020, 71, e02002018. [Google Scholar] [CrossRef]
- Visscher, A.M.; Vandelook, F.; Fernández-Pascual, E.; Pérez-Martínez, L.V. Low availability of functional seed trait data from the tropics could negatively affect global macroecological studies, predictive models and plant conservation. Ann. Bot. 2022, 130, 773–784. [Google Scholar] [CrossRef]
- Meave, J.A.; Flores-Rodríguez, C.; Pérez-García, E.A.; Romero-Romero, M.A. Edaphic and seasonal heterogeneity of seed banks in agricultural fields of a tropical dry forest region in southern Mexico. Bot. Sci. 2012, 90, 313–329. [Google Scholar] [CrossRef][Green Version]
- Garwood, N.C. Tropical soil seed banks: A review. In Ecology of Soil Seed Banks; Leck, M.A., Parker, V.T., Simpson, R.L., Eds.; Academic Press: London, UK, 1989; pp. 149–209. [Google Scholar]
- Thompson, K. The functional ecology of seed banks. In Seed Development and Germination; Fenner, M., Ed.; CAB International: Wallingford, UK, 1992; pp. 231–258. [Google Scholar]
- Vandvik, V.; Klanderud, K.; Meineri, E.; Måren, I.E.; Töpper, J. Seed banks are biodiversity reservoirs: Species–area relationships above versus below ground. Oikos 2016, 125, 218–228. [Google Scholar] [CrossRef]
- Vázquez-Yanes, C.; Orozco-Segovia, A.; Rincón, E.; Sánchez-Coronado, M.E.; Huante, P.; Toledo, J.R.; Barradas, V.L. Light beneath the litter in a tropical forest: Effect on seed germination. Ecology 1990, 71, 1952–1958. [Google Scholar] [CrossRef]
- Dalling, J.W.; Swaine, M.D.; Garwood, N.C. Soil seed bank community dynamics in seasonally moist lowland tropical forest, Panama. J. Trop. Ecol. 1997, 13, 659–680. [Google Scholar] [CrossRef]
- Dupuy, J.M.; Chazdon, R.L. Long-term effects of forest regrowth and selective logging on the seed bank of tropical forests in NE Costa Rica. Biotropica 1998, 30, 223–237. [Google Scholar] [CrossRef]
- Gentry, A.H.; Dodson, C.H. Contribution of nontrees to species richness of a tropical rainforest. Biotropica 1987, 19, 149–156. [Google Scholar] [CrossRef]
- Buttler, B.J.; Chazdon, R.L. Species, richness, spatial variation, and abundance of soil seed bank of a secondary tropical rain forest. Biotropica 1988, 30, 214–222. [Google Scholar] [CrossRef]
- Dalling, J.W.; Denslow, J.S. Soil seed bank composition along a forest chronosequence in seasonally moist tropical forest, Panama. J. Veg. Sci. 1998, 9, 669–678. [Google Scholar] [CrossRef]
- Medellín, R. Mammal diversity and conservation in the Selva Lacandona, Chiapas, Mexico. Conserv. Biol. 1994, 8, 780–799. [Google Scholar] [CrossRef]
- Martínez, E.; Ramos, C.H.; Chiang, F. Lista florística de la Lacandona, Chiapas. Bol. Soc. Bot. Mex. 1994, 54, 99–177. [Google Scholar] [CrossRef]
- Meave del Castillo, J. Estructura y Composición de la Selva Alta Perennifolia de Los Alrededores de Bonampak; Instituto Nacional de Antropología e Historia (Serie Arqueología): Ciudad de México, México, 1990. [Google Scholar]
- Brown, S.; Lugo, A. Tropical secondary forests. J. Trop. Ecol. 1990, 61, 1–32. [Google Scholar] [CrossRef]
- Alvarez-Buylla, E.R.; Martinez-Ramos, M. Demography and allometry of Cecropia obtusifolia, a neotropical pioneer tree: An evaluation of the climax-pioneer paradigm for tropical rain forests. J. Ecol. 1992, 80, 275–290. [Google Scholar] [CrossRef]
- Masaki, T.; Nakashizuka, T. Seedling demography of Swida controversa: Effect of light and distance to conspecifics. Ecology 2002, 83, 3497–3507. [Google Scholar] [CrossRef]
- Singhakumara, B.M.P.; Uduporuwa, R.S.J.P.; Ashton, P.; Mark, S. Soil seed banks in relation to light and topographic position of a hill dipterocarp forest in Sri Lanka. Biotropica 2000, 32, 190–196. [Google Scholar] [CrossRef]
- Magurran, A.E. Measuring Biological Diversity; Blackwell Science: Oxford, UK, 2004. [Google Scholar]
- Magurran, A.E. Species Abundance Distributions: Pattern or Process? Func. Ecol. 2005, 19, 177–181. [Google Scholar] [CrossRef]
- Magurran, A.E. Species abundance distributions over time. Ecol. Let. 2007, 10, 347–354. [Google Scholar] [CrossRef]
- Crawley, M. GLIM for Ecologists; Blackwell Scientific Publications: Cambridge, UK, 1993. [Google Scholar]
- Crawley, M.J. Statistical Computing. An Introduction to Data Analysis Using S-Plus; John Wiley & Sons Ltd.: London, UK, 2002. [Google Scholar]
- Cubina, A.; Aide, T.M. The effect of distance from forest edge on seed rain and soil seed bank in tropical pasture. Biotropica 2001, 33, 260–267. [Google Scholar] [CrossRef]
- Martínez-Garza, C.; González-Montagut, R. Seed rain from forest fragments into tropical abandoned pastures in Los Tuxtlas, Mexico. Plant Ecol. 1999, 145, 255–265. [Google Scholar] [CrossRef]
- Benítez-Malvido, J.; Álvarez-Añorve, M.Y.; Ávila-Cabadilla, L.D.; González-Di Pierro, A.M.; Zermeño-Hernández, I.; Méndez-Toribio, M.; González-Rodríguez, A.; Lombera, R. Phylogenetic and functional structure of tree communities at different life stages in tropical rain forest fragments. Glob. Ecol. Cons. 2022, 36, e02113. [Google Scholar] [CrossRef]
- Benítez-Malvido, J.; Martínez-Ramos, M. Impact of forest fragmentation on understory plant species richness in Amazonia. Cons. Biol. 2003, 17, 389–400. [Google Scholar] [CrossRef]
- Webb, C.O.; Peart, D.R. Seedling density dependence promotes coexistence of Bornean rain forest trees. Ecology 1999, 80, 2006–2017. [Google Scholar] [CrossRef]
- Piessens, K.; Honnay, O.; Nackaerts, K.; Hermy, M. Plant species richness and composition of heathland relics in north-western Belgium: Evidence for a rescue-effect? J. Biol. 2004, 31, 1683–1692. [Google Scholar] [CrossRef]




| Growth-Form and Successional Stage | Recruitment Mode | |||
|---|---|---|---|---|
| Control Plots 1 | Seed-Bank | SB:C | ||
| All species | ||||
| Primary forests | 83 | 97 | 1.17 | |
| Secondary forests | 118 | 128 | 1.08 | |
| Old-fields | 162 | 340 | 2.10 ** | |
| Trees | ||||
| Primary forests | 33 | 16 | 0.48 * | |
| Secondary forests | 31 | 30 | 0.97 | |
| Old-fields | 7 | 8 | 1.14 | |
| Shrubs | ||||
| Primary forests | 2 | 6 | 3.00 | |
| Secondary forests | 14 | 23 | 1.64 | |
| Old-fields | 32 | 40 | 1.25 | |
| Lianas | ||||
| Primary forests | 13 | 7 | 0.54 | |
| Secondary forests | 13 | 35 | 2.69 ** | |
| Old-fields | 5 | 10 | 2.00 | |
| Herbs | ||||
| Primary forests | 6 | 36 | 6.00 ** | |
| Secondary forests | 30 | 24 | 0.80 | |
| Old-fields | 104 | 248 | 2.38 * | |
| Epiphytes and Hemi-epiphytes | ||||
| Primary forests | 20 | 31 | 1.55 | |
| Secondary forests | 29 | 16 | 0.55 ** | |
| Old-fields | 14 | 32 | 2.43 ** | |
Disclaimer/Publisher’s Note: The statements, opinions and data contained in all publications are solely those of the individual author(s) and contributor(s) and not of MDPI and/or the editor(s). MDPI and/or the editor(s) disclaim responsibility for any injury to people or property resulting from any ideas, methods, instructions or products referred to in the content. |
© 2023 by the author. Licensee MDPI, Basel, Switzerland. This article is an open access article distributed under the terms and conditions of the Creative Commons Attribution (CC BY) license (https://creativecommons.org/licenses/by/4.0/).
Share and Cite
Benitez-Malvido, J. In Site Soil Seed-Banks: Size, Composition and Persistence across Tropical Successional Stages. Plants 2023, 12, 2760. https://doi.org/10.3390/plants12152760
Benitez-Malvido J. In Site Soil Seed-Banks: Size, Composition and Persistence across Tropical Successional Stages. Plants. 2023; 12(15):2760. https://doi.org/10.3390/plants12152760
Chicago/Turabian StyleBenitez-Malvido, Julieta. 2023. "In Site Soil Seed-Banks: Size, Composition and Persistence across Tropical Successional Stages" Plants 12, no. 15: 2760. https://doi.org/10.3390/plants12152760
APA StyleBenitez-Malvido, J. (2023). In Site Soil Seed-Banks: Size, Composition and Persistence across Tropical Successional Stages. Plants, 12(15), 2760. https://doi.org/10.3390/plants12152760

