Population-Related Variability in Qualitative and Quantitative Secondary Metabolite Profile of Gentianella austriaca (A. & J. Kern.) Holub
Abstract
1. Introduction
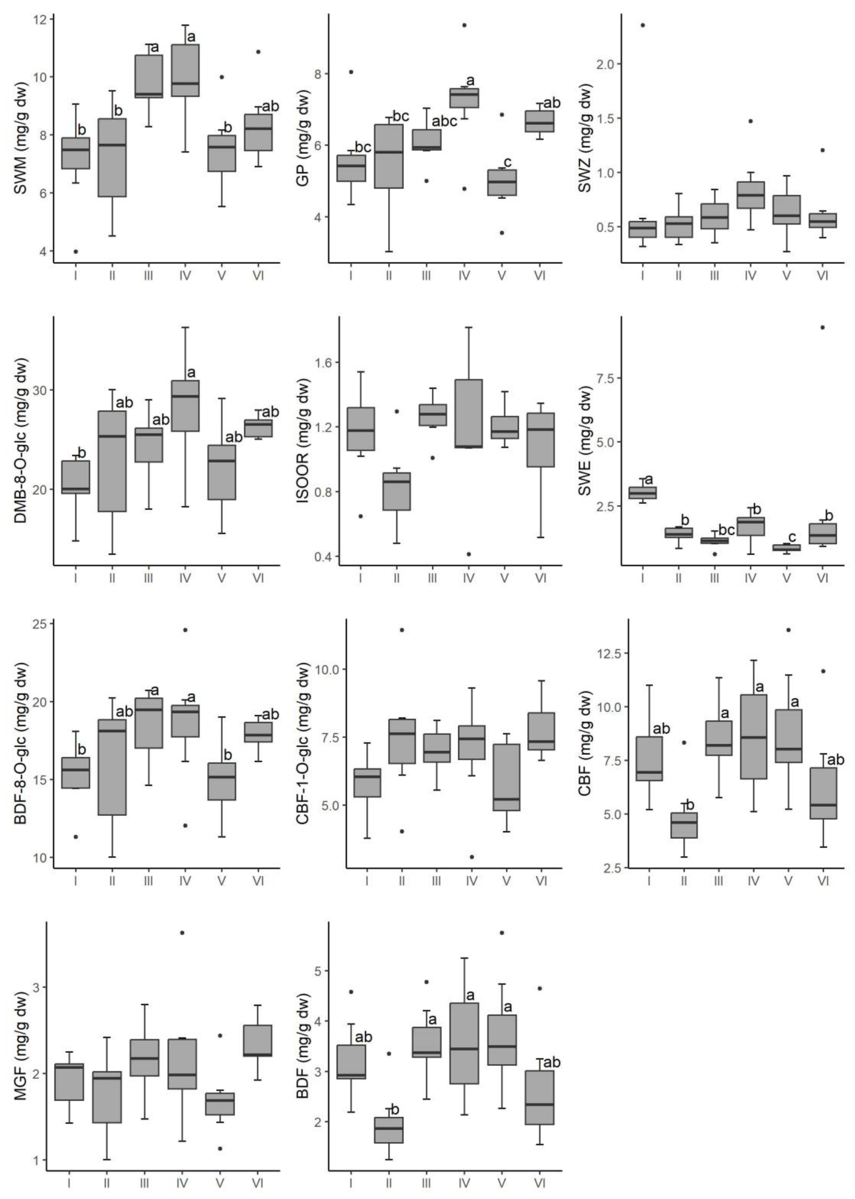
2. Results
3. Discussion
4. Materials and Methods
4.1. Study Site
4.2. Plant Material and Sample Preparation
4.3. Analytical Procedure
4.4. Statistical Analysis
5. Conclusions
Author Contributions
Funding
Data Availability Statement
Acknowledgments
Conflicts of Interest
References
- Greimler, J.; Dobeš, C. High Genetic Diversity and Differentiation in Relict Lowland Populations of Gentianella austriaca (A. and J. Kern.) Holub (Gentianaceae). Plant Biol. 2000, 2, 628–637. [Google Scholar] [CrossRef]
- Reich, D.; Wrbka, T.; Plutzar, C.; Greimler, J. The Effect of Land-Use Change on the Distribution of Gentianella austriaca and G. Praecox in Austria. Preslia 2020, 92, 213–234. [Google Scholar] [CrossRef]
- Jovanović-Dunjić, R. Rod Gentianella Moench. In Flora SR Srbije; Josifović, M., Ed.; SANU: Beograd, Serbia, 1973; Volume 5, pp. 426–433. [Google Scholar]
- Nadinic, E.; Gorzalczany, S.; Rojo, A.; Van Baren, C.; Debenedetti, S.; Acevedo, C. Topical Anti-Inflammatory Activity of Gentianella achalensis. Fitoterapia 1999, 70, 166–171. [Google Scholar] [CrossRef]
- Lacaille-Dubois, M.A.; Galle, K.; Wagner, H. Secoiridoids and Xanthones from Gentianella nitida. Planta Med. 1996, 62, 365–367. [Google Scholar] [CrossRef]
- Leskovac, A.; Joksic, G.; Jankovic, T.; Savikin, K.; Menkovic, N. Radioprotective Properties of the Phytochemically Characterized Extracts of Crataegus monogyna, Cornus mas and Gentianella austriaca on Human Lymphocytes In Vitro. Planta Med. 2007, 73, 1169–1175. [Google Scholar] [CrossRef]
- Hostettmann-Kaldas, M.; Jacot-Guillarmod, A. Xanthones et C-Glucosides Flavoniques Du Genre Gentiana (Sous-Genre Gentianella). Phytochemistry 1978, 17, 2083–2086. [Google Scholar] [CrossRef]
- Lacaille-Dubois, M.A.; Wagner, H. A Review of the Biological and Pharmacological Activities of Saponins. Phytomedicine 1996, 2, 363–386. [Google Scholar] [CrossRef]
- Nadinic, E.L.; Saavedra, C.L.; Di Leo Lira, P.; Bandoni, A.L.; Debenedetti, S.L. Tetraoxygenated Xanthones from Gentianella florida. Pharm. Biol. 1997, 35, 379–381. [Google Scholar] [CrossRef]
- Kawahara, N.; Masuda, K.; Sekita, S.; Satake, M. A New Secoiridoid Glucoside, Amaronitidin, from the Peruvian Folk Medicine “Hercampuri” (Gentianella nitida). Chem. Pharm. Bull. 2001, 49, 771–772. [Google Scholar] [CrossRef]
- Kawahara, N.; Nozawa, M.; Flores, D.; Bonilla, P.; Sekita, S.; Satake, M.; Kawai, K. Nitidasin, a Novel Sesterterpenoid, from the Peruvian Folk Medicine “Hercampuri” (Gentianella nitida). Chem. Pharm. Bull. 1997, 45, 1717–1719. [Google Scholar] [CrossRef]
- Kawahara, N.; Nozawa, M.; Atsuyo, K.; Hakamatsuka, T.; Sekita, S.; Satake, M. A Novel Sesterterpenoid, Nitiol, as a Potent Enhancer of IL-2 Gene Expression in a Human T Cell Line, from the Peruvian Folk Medicine “Hercumpuri” (Gentianella nitida). Chem. Pharm. Bull. 1999, 47, 1344–1345. [Google Scholar] [CrossRef]
- Kawahara, N.; Nozawa, M.; Flores, D.; Bonilla, P.; Sekita, S.; Satake, M. Sesterterpenoid from Gentianella alborosea. Phytochemistry 2000, 53, 881–884. [Google Scholar] [CrossRef] [PubMed]
- Yang, J.L.; Liu, L.L.; Shi, Y.P. Phytochemicals and Biological Activities of Gentiana Species. Nat. Prod. Commun. 2010, 5, 649–664. [Google Scholar] [CrossRef] [PubMed]
- Jensen, S.R.; Schripsema, J. Chemotaxonomy and Pharmacology of Gentianaceae. In Gentianaceae—Systematics and Natural History; Cambridge University Press: Cambridge, UK, 2002; pp. 573–632. [Google Scholar]
- Tovilovic-Kovacevic, G.; Zogovic, N.; Krstic-Milosevic, D. Secondary Metabolites from Endangered Gentiana, Gentianella, Centaurium, and Swertia Species (Gentianaceae): Promising Natural Biotherapeutics. In Biodiversity and Biomedicine: Our Future; Academic Press: London, UK, 2020; pp. 335–384. ISBN 9780128195413. [Google Scholar]
- Janković, T.; Krstić, D.; Aljančić, I.; Šavikin-Fodulović, K.; Menković, N.; Vajs, V.; Milosavljević, S. Xanthones and C-Glucosides from the Aerial Parts of Four Species of Gentianella from Serbia and Montenegro. Biochem. Syst. Ecol. 2005, 33, 729–735. [Google Scholar] [CrossRef]
- Carbonier, J.; Massias, M.; Molho, D. Taxonomic importance of the substitution scheme of xanthones in Gentiana L. Bull. Mus. Natl. Hist. Sci. Phys.-Chim. 1997, 13, 23–40. [Google Scholar]
- Kaldas, M.; Miura, I.; Hostettmann, K. Campestroside, a New Tetrahydroxanthone from Gentiana campestris. Phytochemistry 1978, 17, 295–297. [Google Scholar] [CrossRef]
- Menković, N.; Tadić, V. Comprehensive Combined Chemical and Pharmacognostic Approach in the Investigation of Montenegrin Flora, with Emphasis on Endemic Species: Past Performance and Future Potential. Nat. Med. Mater. 2021, 41, 106–125. [Google Scholar] [CrossRef]
- Vinterhalter, B.; Janković, T.; Šavikin, K.; Nikolić, R.; Vinterhalter, D. Propagation and Xanthone Content of Gentianella austriaca Shoot Cultures. Plant Cell. Tissue Organ Cult. 2008, 94, 329–335. [Google Scholar] [CrossRef]
- Tovilović, G.; Tomić, M.; Janković, T.; Krstić, D. Neurochemical In Vitro Activity of Xanthones from Gentianella austriaca. Iugosl. Physiol. Pharmacol. Acta 2005, 41, 83–86. [Google Scholar]
- Peres, V.; Nagem, T.J.; de Oliveira, F.F. Tetraoxygenated Naturally Occurring Xanthones. Phytochemistry 2000, 55, 683–710. [Google Scholar] [CrossRef]
- Isakovic, A.; Jankovic, T.; Harhaji, L.; Kostic-Rajacic, S.; Nikolic, Z.; Vajs, V.; Trajkovic, V. Antiglioma Action of Xanthones from Gentiana kochiana: Mechanistic and Structure-Activity Requirements. Bioorg. Med. Chem. 2008, 16, 5683–5694. [Google Scholar] [CrossRef]
- Müller, C.; Bräutigam, A.; Eilers, E.; Junker, R.; Schnitzler, J.-P.; Steppuhn, A.; Unsicker, S.; van Dam, N.; Weisser, W.; Wittmann, M. Ecology and Evolution of Intraspecific Chemodiversity of Plants. Res. Ideas Outcomes 2020, 6, e49810. [Google Scholar] [CrossRef]
- Kessler, A.; Kalske, A. Plant Secondary Metabolite Diversity and Species Interactions. Annu. Rev. Ecol. Evol. Syst. 2018, 49, 115–138. [Google Scholar] [CrossRef]
- Isah, T. Stress and Defense Responses in Plant Secondary Metabolites Production. Biol. Res. 2019, 52, 39–64. [Google Scholar] [CrossRef]
- Tugizimana, F.; Piater, L.; Dubery, I. Plant Metabolomics: A New Frontier in Phytochemical Analysis. S. Afr. J. Sci. 2013, 109, 18–20. [Google Scholar] [CrossRef]
- Fiehn, O. Metabolomics—The Link between Genotypes and Phenotypes. Plant Mol. Biol. 2002, 48, 155–171. [Google Scholar] [CrossRef] [PubMed]
- Moore, B.D.; Andrew, R.L.; Külheim, C.; Foley, W.J. Explaining Intraspecfic Diversity in Plant Secondary Metabolites in an Ecological Context. New Phytol. 2014, 201, 733–750. [Google Scholar] [CrossRef] [PubMed]
- Rai, A.; Saito, K.; Yamazaki, M. Integrated Omics Analysis of Specialized Metabolism in Medicinal Plants. Plant J. 2017, 90, 764–787. [Google Scholar] [CrossRef]
- Ibrahim, M.A.; Na, M.; Oh, J.; Schinazi, R.F.; McBrayer, T.R.; Whitaker, T.; Doerksen, R.J.; Newman, D.J.; Zachos, L.G.; Hamann, M.T. Significance of Endangered and Threatened Plant Natural Products in the Control of Human Disease. Proc. Natl. Acad. Sci. USA 2013, 110, 16832–16837. [Google Scholar] [CrossRef]
- Yang, H.; Ding, C.; Duan, Y.; Liu, J. Variation of Active Constituents of an Important Tibet Folk Medicine Swertia mussotii Franch. (Gentianaceae) between Artificially Cultivated and Naturally Distributed. J. Ethnopharmacol. 2005, 98, 31–35. [Google Scholar] [CrossRef]
- Berkov, S.; Sidjimova, B.; Evstatieva, L.; Popov, S. Intraspecific Variability in the Alkaloid Metabolism of Galanthus elwesii. Phytochemistry 2004, 65, 579–586. [Google Scholar] [CrossRef]
- Vidaković, V.; Stefanović, M.; Novaković, M.; Jadranin, M.; Popović, Z.; Matić, R.; Tešević, V.; Bojović, S. Inter- and Intraspecific Variability of Selected Diarylheptanoid Compounds and Leaf Morphometric Traits in Alnus glutinosa and Alnus incana. Holzforschung 2018, 72, 1031–1041. [Google Scholar] [CrossRef]
- Labarrere, B.; Prinzing, A.; Dorey, T.; Chesneau, E.; Hennion, F. Variations of Secondary Metabolites among Natural Populations of Sub-Antarctic Ranunculus Species Suggest Functional Redundancy and Versatility. Plants 2019, 8, 234. [Google Scholar] [CrossRef]
- Karimi, A.; Krähmer, A.; Herwig, N.; Schulz, H.; Hadian, J.; Meiners, T. Variation of Secondary Metabolite Profile of Zataria multiflora Boiss. Populations Linked to Geographic, Climatic, and Edaphic Factors. Front. Plant Sci. 2020, 11, 969–984. [Google Scholar] [CrossRef] [PubMed]
- Meijõn, M.; Feito, I.; Oravec, M.; Delatorre, C.; Weckwerth, W.; Majada, J.; Valledor, L. Exploring Natural Variation of Pinus pinaster Aiton Using Metabolomics: Is It Possible to Identify the Region of Origin of a Pine from Its Metabolites? Mol. Ecol. 2016, 25, 959–976. [Google Scholar] [CrossRef]
- Chograni, H.; Riahi, L.; Messaoud, C. Variability of Qualitative and Quantitative Secondary Metabolites Traits among Wild Genetic Resources of Lavandula stoechas L. Biochem. Syst. Ecol. 2021, 98, 104327. [Google Scholar] [CrossRef]
- Valares Masa, C.; Alías Gallego, J.C.; Chaves Lobón, N.; Sosa Díaz, T. Intra-Population Variation of Secondary Metabolites in Cistus ladanifer L. Molecules 2016, 21, 945. [Google Scholar] [CrossRef]
- Vourc’h, G.; Vila, B.; Gillon, D.; Escarré, J.; Guibal, F.; Fritz, H.; Clausen, T.P.; Martin, J.L. Disentangling the Causes of Damage Variation by Deer Browsing on Young Thuja plicata. Oikos 2002, 98, 271–283. [Google Scholar] [CrossRef]
- van Geem, M.; Gols, R.; Raaijmakers, C.E.; Harvey, J.A. Effects of Population-Related Variation in Plant Primary and Secondary Metabolites on Aboveground and Belowground Multitrophic Interactions. Chemoecology 2016, 26, 219–233. [Google Scholar] [CrossRef]
- Jandová, K.; Dostál, P.; Cajthaml, T.; Kameník, Z. Intraspecific Variability in Allelopathy of Heracleum mantegazzianum Is Linked to the Metabolic Profile of Root Exudates. Ann. Bot. 2015, 115, 821–831. [Google Scholar] [CrossRef]
- Wink, M. Evolution of Secondary Metabolites from an Ecological and Molecular Phylogenetic Perspective. Phytochemistry 2003, 64, 3–19. [Google Scholar] [CrossRef]
- Raijmann, L.E.L.; Van Leeuwen, N.C.; Kersten, R.; Oostermeijer, J.G.B.; Den Nijs, H.C.M.; Menken, S.B.J. Genetic Variation and Outcrossing Rate in Relation to Population Size in Gentiana pneumonanthe L. Conserv. Biol. 1994, 8, 1014–1026. [Google Scholar] [CrossRef]
- Didham, R.K. The Ecological Consequences of Habitat Fragmentation. In Encyclopedia of Life Sciences; John Wiley & Sons, Ltd.: Chichester, UK, 2010. [Google Scholar]
- Pierce, S.; Spada, A.; Caporali, E.; Puglisi, F.; Panzeri, A.; Luzzaro, A.; Cislaghi, S.; Mantegazza, L.; Cardarelli, E.; Labra, M.; et al. Identifying Population Thresholds for Flowering Plant Reproductive Success: The Marsh Gentian (Gentiana pneumonanthe) as a Flagship Species of Humid Meadows and Heathland. Biodivers. Conserv. 2018, 27, 891–905. [Google Scholar] [CrossRef]
- Oostermeijer, J.G.B.; Luijten, S.H.; Křenová, Z.V.; Den Nijs, H.C.M. Relationships between Population and Habitat Characteristics and Reproduction of the Rare Gentiana pneumonanthe L. Conserv. Biol. 1998, 12, 1042–1053. [Google Scholar] [CrossRef]
- Kwak, M.M.; Velterop, O.; van Andel, J. Pollen and Gene Flow in Fragmented Habitats. Appl. Veg. Sci. 1998, 1, 37–54. [Google Scholar] [CrossRef]
- Fischer, M.; Matthies, D. Effects of Population Size on Performance in the Rare Plant Gentianella germanica. J. Ecol. 1998, 86, 195–204. [Google Scholar] [CrossRef]
- Popović, Z.; Krstić-Milošević, D.; Stefanović, M.; Matić, R.; Vidaković, V.; Bojović, S. Chemical and Morphological Inter- and Intrapopulation Variability in Natural Populations of Gentiana pneumonanthe L. Chem. Biodivers. 2019, 16, e1800509. [Google Scholar] [CrossRef]
- Popović, Z.; Krstić-Milošević, D.; Marković, M.; Vidaković, V.; Bojović, S. Gentiana asclepiadea L. from Two High Mountainous Habitats: Inter-and Intrapopulation Variability Based on Species’ Phytochemistry. Plants 2021, 10, 140. [Google Scholar] [CrossRef]
- Li, Y.; Kong, D.; Fu, Y.; Sussman, M.R.; Wu, H. The Effect of Developmental and Environmental Factors on Secondary Metabolites in Medicinal Plants. Plant Physiol. Biochem. 2020, 148, 80–89. [Google Scholar] [CrossRef]
- Liu, J.; Liu, Y.; Wu, K.; Pan, L.; Tang, Z.H. Comparative Analysis of Metabolite Profiles from Panax Herbs in Specific Tissues and Cultivation Conditions Reveals the Strategy of Accumulation. J. Pharm. Biomed. Anal. 2020, 188, 113368. [Google Scholar] [CrossRef]
- Xu, J.; Yu, Y.; Shi, R.; Xie, G.; Zhu, Y.; Wu, G.; Qin, M. Organ-Specific Metabolic Shifts of Flavonoids in Scutellaria baicalensis at Different Growth and Development Stages. Molecules 2018, 23, 428. [Google Scholar] [CrossRef] [PubMed]
- Vázquez-León, L.A.; Páramo-Calderón, D.E.; Robles-Olvera, V.J.; Valdés-Rodríguez, O.A.; Pérez-Vázquez, A.; García-Alvarado, M.A.; Rodríguez-Jimenes, G.C. Variation in Bioactive Compounds and Antiradical Activity of Moringa oleifera Leaves: Influence of Climatic Factors, Tree Age, and Soil Parameters. Eur. Food Res. Technol. 2017, 243, 1593–1608. [Google Scholar] [CrossRef]
- Li, Y.; Kong, D.; Lin, X.; Xie, Z.; Bai, M.; Huang, S.; Nian, H.; Wu, H. Quality Evaluation for Essential Oil of Cinnamomum verum Leaves at Different Growth Stages Based on GC–MS, FTIR and Microscopy. Food Anal. Methods 2016, 9, 202–212. [Google Scholar] [CrossRef]
- Figueiredo, A.C.; Barroso, J.G.; Pedro, L.G.; Scheffer, J.J.C. Factors Affecting Secondary Metabolite Production in Plants: Volatile Components and Essential Oils. Flavour Fragr. J. 2008, 23, 213–226. [Google Scholar] [CrossRef]
- Lepelley, M.; Cheminade, G.; Tremillon, N.; Simkin, A.; Caillet, V.; McCarthy, J. Chlorogenic Acid Synthesis in Coffee: An Analysis of CGA Content and Real-Time RT-PCR Expression of HCT, HQT, C3H1, and CCoAOMT1 Genes during Grain Development in C. Canephora. Plant Sci. 2007, 172, 978–996. [Google Scholar] [CrossRef]
- Nelson, A.S.; Whitehead, S.R. Fruit Secondary Metabolites Shape Seed Dispersal Effectiveness. Trends Ecol. Evol. 2021, 36, 1113–1123. [Google Scholar] [CrossRef]
- Wink, M. Introduction: Biochemistry, Physiology and Ecological Functions of Secondary Metabolites. In Biochemistry of Plant Secondary Metabolism, 2nd ed.; Wiley Publishing: New York, NY, USA, 2010; Volume 40, pp. 1–19. [Google Scholar] [CrossRef]
- Popović, Z.; Matić, R.; Stefanović, M.; Vidaković, V.; Bojović, S. Chemodiversity in Natural Plant Populations as a Base for Biodiversity Conservation. In Biodiversity and Biomedicine: Our Future; Academic Press: London, UK, 2020; pp. 11–41. ISBN 9780128195413. [Google Scholar]
- Tian, L.Y.; Bai, X.; Chen, X.H.; Fang, J.B.; Liu, S.H.; Chen, J.C. Anti-Diabetic Effect of Methylswertianin and Bellidifolin from Swertia punicea Hemsl. and Its Potential Mechanism. Phytomedicine 2010, 17, 533–539. [Google Scholar] [CrossRef] [PubMed]
- Zhao, Z.; Gao, Y.; Gao, L.; Zhang, M.; Wang, H.; Zhang, C. hong Protective Effects of Bellidifolin in Hypoxia-Induced in Pheochromocytoma Cells (PC12) and Underlying Mechanisms. J. Toxicol. Environ. Health Part A Curr. Issues 2017, 80, 1187–1192. [Google Scholar] [CrossRef]
- Sharma, B.; Mittal, A.; Dabur, R. Mechanistic Approach of Anti-Diabetic Compounds Identified from Natural Sources. Chem. Biol. Lett. 2018, 5, 63–99. [Google Scholar]
- Urbain, A.; Marston, A.; Queiroz, E.F.; Ndjoko, K.; Hostettmann, K. Xanthones from Gentiana campestris as New Acetylcholinesterase Inhibitors. Planta Med. 2004, 70, 1011–1014. [Google Scholar] [CrossRef]
- Krstić-Milošević, D.; Banjac, N.; Janković, T.; Vinterhalter, D.; Vinterhalter, B. Gentianella lutescens subsp. carpatica J. Holub.: Shoot Propagation In Vitro and Effect of Sucrose and Elicitors on Xanthones Production. Plants 2021, 10, 1651. [Google Scholar] [CrossRef] [PubMed]
- Tutin, T.G.; Heywood, V.H.; Burges, N.A.; Valentine, D.H.; Walters, S.M.; Webb, D.A. 1964–1980: Flora Europaea 1–5; Cambridge University Press: Cambridge, UK, 1972. [Google Scholar]
- R Core Team. R: A Language and Environment for Statistical Computing. R Foundation for Statistical Computing, Vienna, Austria. 2022. Available online: https://www.R-project.org/ (accessed on 31 October 2022).







| Compound | CA1 | CA2 | CA3 |
|---|---|---|---|
| SWM | −0.222 | −1.364 | −0.982 |
| GP | −0.977 | −2.918 | −0.352 |
| SWZ | −0.247 | −0.506 | −0.321 |
| DMB-8-O-glc | 0.169 | −2.037 | 3.955 |
| ISOOR | 0.084 | −1.038 | −0.334 |
| SWE | −1.376 | 0.390 | 0.475 |
| BDF-8-O-glc | 1.105 | 2.216 | −3.160 |
| CBF-1-O-glc | 1.650 | 1.710 | 0.025 |
| CBF | −15.649 | 3.467 | 0.141 |
| MGF | −2.029 | 1.894 | −0.441 |
| BDF | 16.863 | −1.903 | 0.854 |
| Eigenvalue | 6.171 | 3.593 | 1.429 |
| Explained variation (%) | 50.286 | 29.274 | 11.643 |
| Population | CA1 | CA2 | CA3 |
|---|---|---|---|
| I | −2.723 | 1.814 | 0.584 |
| II | −0.529 | 1.124 | 0.062 |
| III | 1.742 | 0.427 | −2.246 |
| IV | −0.731 | −3.677 | 0.215 |
| V | 4.117 | 0.448 | 1.383 |
| VI | −1.877 | −0.137 | 0.002 |
| Population | Longitude | Latitude | Altitude (m) |
|---|---|---|---|
| I | 44°4′12″ | 20°0′22″ | 1075 |
| II | 44°6′3″ | 19°59′4″ | 990 |
| III | 44°3′33″ | 19°35′19″ | 998 |
| IV | 44°4′16″ | 20°0′5″ | 1045 |
| V | 44°4′19″ | 20°0′28″ | 1042 |
| VI | 44°4′45″ | 20°0′31″ | 995 |
Disclaimer/Publisher’s Note: The statements, opinions and data contained in all publications are solely those of the individual author(s) and contributor(s) and not of MDPI and/or the editor(s). MDPI and/or the editor(s) disclaim responsibility for any injury to people or property resulting from any ideas, methods, instructions or products referred to in the content. |
© 2023 by the authors. Licensee MDPI, Basel, Switzerland. This article is an open access article distributed under the terms and conditions of the Creative Commons Attribution (CC BY) license (https://creativecommons.org/licenses/by/4.0/).
Share and Cite
Popović, Z.; Vidaković, V.; Mijalković, T.; Krstić-Milošević, D. Population-Related Variability in Qualitative and Quantitative Secondary Metabolite Profile of Gentianella austriaca (A. & J. Kern.) Holub. Plants 2023, 12, 2434. https://doi.org/10.3390/plants12132434
Popović Z, Vidaković V, Mijalković T, Krstić-Milošević D. Population-Related Variability in Qualitative and Quantitative Secondary Metabolite Profile of Gentianella austriaca (A. & J. Kern.) Holub. Plants. 2023; 12(13):2434. https://doi.org/10.3390/plants12132434
Chicago/Turabian StylePopović, Zorica, Vera Vidaković, Tatjana Mijalković, and Dijana Krstić-Milošević. 2023. "Population-Related Variability in Qualitative and Quantitative Secondary Metabolite Profile of Gentianella austriaca (A. & J. Kern.) Holub" Plants 12, no. 13: 2434. https://doi.org/10.3390/plants12132434
APA StylePopović, Z., Vidaković, V., Mijalković, T., & Krstić-Milošević, D. (2023). Population-Related Variability in Qualitative and Quantitative Secondary Metabolite Profile of Gentianella austriaca (A. & J. Kern.) Holub. Plants, 12(13), 2434. https://doi.org/10.3390/plants12132434

