Invasive Plant Alternanthera philoxeroides Benefits More Competition Advantage from Rhizosphere Bacteria Regardless of the Host Source
Abstract
1. Introduction
2. Results
2.1. Identification of Strains
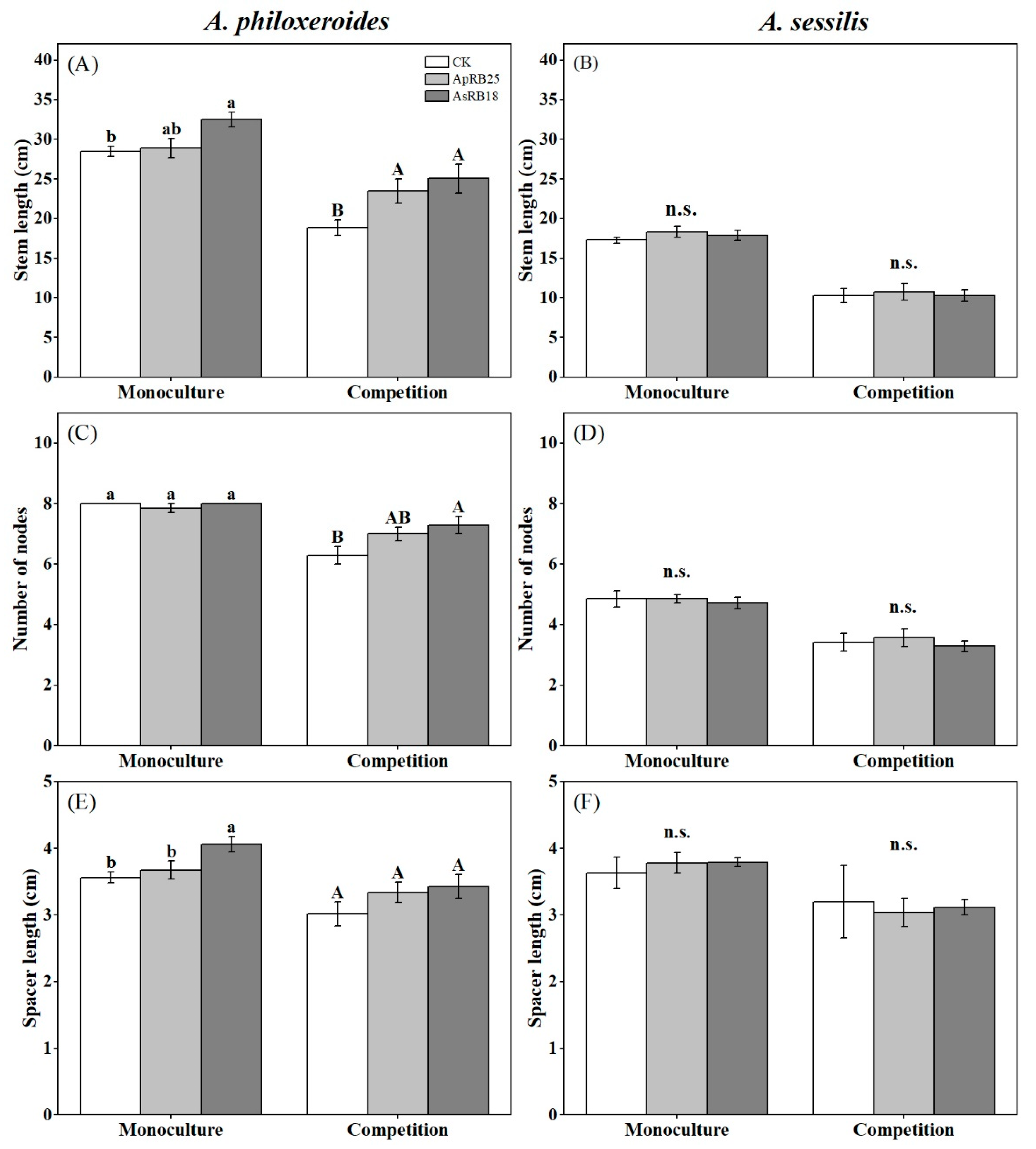
2.2. Effect of Rhizosphere Bacteria on the Growth of Invasive A. philoxeroides and Native A. sessilis
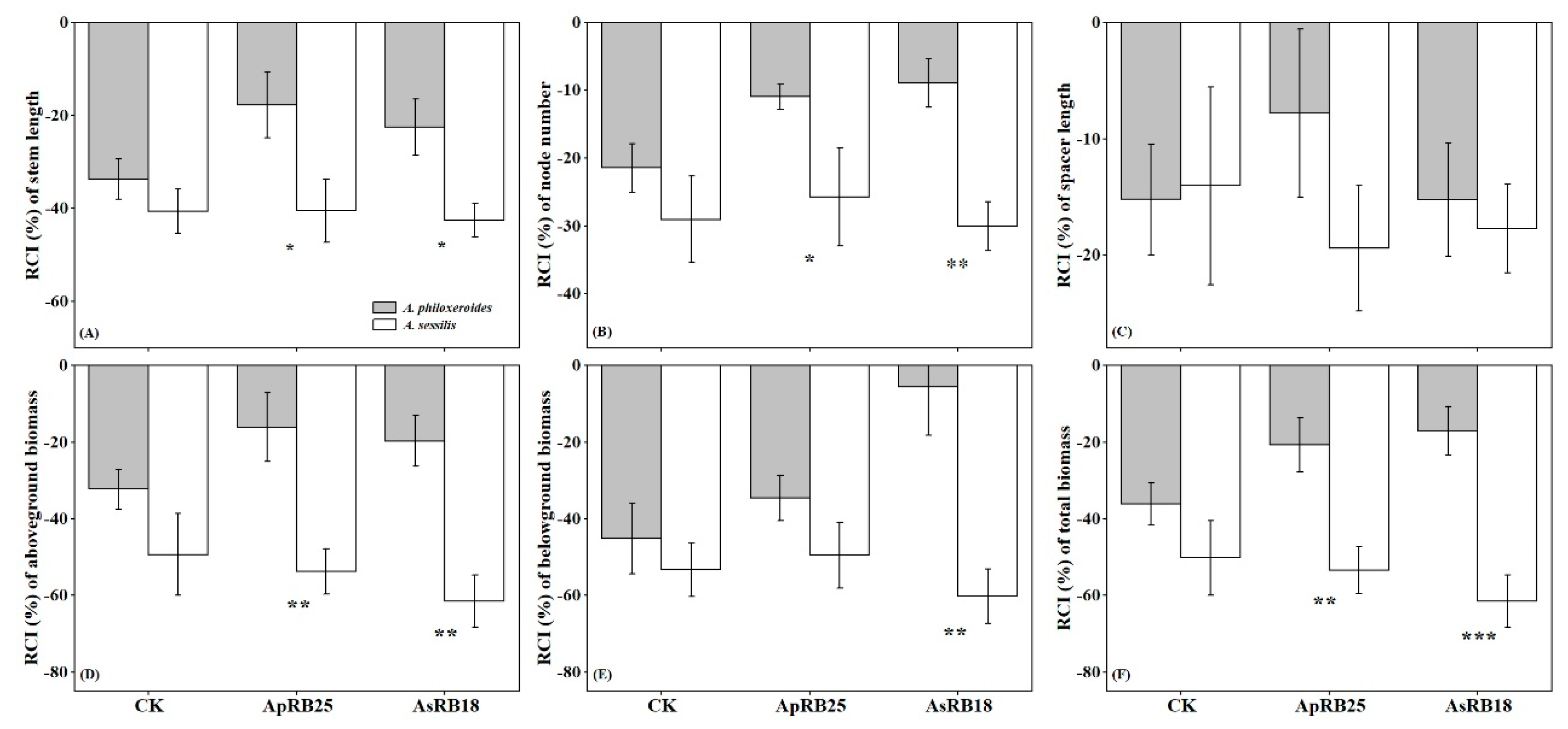
2.3. Effect of Rhizosphere Bacteria on the Relative Competitive Intensity Index (RCI) of A. philoxeroides and A. sessilis
3. Discussion
4. Materials and Methods
4.1. Sample Collection
4.2. Sterile Seedlings
4.3. Isolation and Phylogenetic Analysis of Bacterial Strains
4.4. 16S rRNA Identification and Construction of Phylogenetic Tree
4.5. Common Garden Experiment
4.6. Growth Trait Measurements
4.7. Data Analysis
5. Conclusions
Author Contributions
Funding
Data Availability Statement
Conflicts of Interest
References
- Philippot, L.; Raaijmakers, J.M.; Lemanceau, P.; van der Putten, W.H. Going back to the roots: The microbial ecology of the rhizosphere. Nat. Rev. Microbiol. 2013, 11, 789–799. [Google Scholar] [CrossRef]
- Reinhold-Hurek, B.; Bünger, W.; Burbano, C.S.; Sabale, M.; Hurek, T. Roots shaping their microbiome: Global hotspots for microbial activity. Annu. Rev. Phytopathol. 2015, 53, 403–424. [Google Scholar] [CrossRef]
- Elsheikh, E.A.E.; El-Keblawy, A.; Mosa, K.A.; Okoh, A.I.; Saadoun, I. Role of endophytes and rhizosphere microbes in promoting the invasion of exotic plants in arid and semi-arid areas: A review. Sustainability 2021, 13, 13081. [Google Scholar] [CrossRef]
- Bulgarelli, D.; Garrido-Oter, R.; Münch, P.C.; Weiman, A.; Dröge, J.; Pan, Y.; McHardy, A.C.; Schulze-Lefert, P. Structure and function of the bacterial root microbiota in wild and domesticated barley. Cell. Host Microbe 2015, 17, 392–403. [Google Scholar] [CrossRef]
- Edwards, J.; Johnson, C.; Santos-Medellín, C.; Lurie, E.; Podishetty, N.K.; Bhatnagar, S.; Eisen, J.A.; Sundaresan, V. Structure, variation, and assembly of the root-associated microbiomes of rice. Proc. Natl. Acad. Sci. USA 2015, 112, E911–E920. [Google Scholar] [CrossRef]
- Bøhn, T.; Amundsen, P.A.; Sparrow, A. Competitive exclusion after invasion? Biol. Invasions 2008, 10, 359–368. [Google Scholar] [CrossRef]
- Callaway, R.M.; Aschehoug, E.T. Invasive plants versus their new and old neighbors: A mechanism for exotic invasion. Science 2000, 290, 521–523. [Google Scholar] [CrossRef]
- Cheng, X.-Y.; Xie, P.-Z.; Cheng, F.-X.; Xu, R.-M.; Xie, B.-Y. Competitive displacement of the native species Bursaphelenchus mucronatus by an alien species Bursaphelenchus xylophilus (Nematoda: Aphelenchida: Aphelenchoididae): A case of successful invasion. Biol. Invasions 2009, 11, 205–213. [Google Scholar] [CrossRef]
- Mooney, H.A.; Cleland, E.E. The evolutionary impact of invasive species. Proc. Natl. Acad. Sci. USA 2001, 98, 5446–5451. [Google Scholar] [CrossRef]
- Zhang, H.Y.; Goncalves, P.; Copeland, E.; Qi, S.S.; Dai, Z.C.; Li, G.L.; Wang, C.Y.; Du, D.L.; Thomas, T. Invasion by the weed Conyza canadensis alters soil nutrient supply and shifts microbiota structure. Soil Biol. Biochem. 2020, 143, 107739. [Google Scholar] [CrossRef]
- Hu, Z.; Li, J.; Shi, K.; Ren, G.; Dai, Z.; Sun, J.; Zheng, X.; Zhou, Y.; Zhang, J.; Li, G.; et al. Effects of Canada goldenrod invasion on soil extracellular enzyme activities and ecoenzymatic stoichiometry. Sustainability 2021, 13, 3768. [Google Scholar] [CrossRef]
- Rundel, P.W.; Dickie, I.A.; Richardson, D.M. Tree Invasions. into treeless areas: Mechanisms and ecosystem processes. Biol. Invasions 2014, 16, 663–675. [Google Scholar] [CrossRef]
- Pyšek, P.; Hulme, P.E.; Simberloff, D.; Bacher, S.; Blackburn, T.M.; Carlton, J.T.; Dawson, W.; Essl, F.; Foxcroft, L.C.; Genovesi, P. Scientists’ warning on invasive alien species. Biol. Rev. 2020, 95, 1511–1534. [Google Scholar] [CrossRef]
- Hejda, M.; Pyšek, P.; Jarošík, V. Impact of invasive plants on the species richness, diversity and composition of invaded communities. J. Ecol. 2009, 97, 393–403. [Google Scholar] [CrossRef]
- Abdallah, M.A.B.; Mata-González, R.; Noller, J.S.; Ochoa, C.G. Effects of western juniper (Juniperus occidentalis) control on ecosystem nitrogen stocks in central Oregon, USA. J. Plant Ecol. 2021, 14, 1073–1089. [Google Scholar] [CrossRef]
- Gioria, M.; Osborne, B.A. Resource competition in plant invasions: Emerging patterns and research needs. Front. Plant Sci. 2014, 5, 501. [Google Scholar] [CrossRef]
- Dawson, W.; Schrama, M. Identifying the role of soil microbes in plant invasions. J. Ecol. 2016, 104, 1211–1218. [Google Scholar] [CrossRef]
- Reinhart, K.O.; Packer, A.; Van der Putten, W.H.; Clay, K. Plant–soil biota interactions and spatial distribution of black cherry in its native and invasive ranges. Ecol. Lett. 2003, 6, 1046–1050. [Google Scholar] [CrossRef]
- Li, S.; Xie, D.; Ge, X.; Dong, W.; Luan, J. Altered diversity and functioning of soil and root-associated microbiomes by an invasive native plant. Plant Soil 2022, 473, 235–249. [Google Scholar] [CrossRef]
- Lorenzo, P.; Rodríguez-Echeverría, S.; González, L.; Freitas, H. Effect of invasive Acacia dealbata link on soil microorganisms as determined by PCR-DGGE. Appl. Soil Ecol. 2010, 44, 245–251. [Google Scholar] [CrossRef]
- Guisande-Collazo, A.; González, L.; Souza-Alonso, P. Impact of an invasive nitrogen-fixing tree on arbuscular mycorrhizal fungi and the development of native species. AoB Plants 2016, 8, plw018. [Google Scholar] [CrossRef] [PubMed]
- Hawkes, C.V.; Belnap, J.; D’Antonio, C.; Firestone, M.K. Arbuscular mycorrhizal assemblages in native plant roots change in the presence of invasive exotic grasses. Plant Soil 2006, 281, 369–380. [Google Scholar] [CrossRef]
- Jothibasu, K.; Chinnadurai, C.; Sundaram, S.P.; Kumar, K. Molecular profiling of rhizosphere bacterial communities associated with Prosopis juliflora and Parthenium hysterophorus. J. Microbiol. Biotechnol. 2012, 22, 301–310. [Google Scholar] [CrossRef] [PubMed]
- de Souza, T.A.F.; Santos, D.; de Andrade, L.A.; Freitas, H. Plant-soil feedback of two legume species in semi-arid Brazil. Braz. J. Microbiol. 2019, 50, 1011–1020. [Google Scholar] [CrossRef] [PubMed]
- Chen, X.; Zhang, X.; Zhu, X.-E.; Zhang, H.; Liang, X.; Lei, Y.; He, C. Exotic plant Alnus trabeculosa alters the composition and diversity of native rhizosphere bacterial communities of Phragmites australis. Pedosphere 2016, 26, 108–119. [Google Scholar] [CrossRef]
- Maron, J.L.; Klironomos, J.; Waller, L.; Callaway, R.M. Invasive plants escape from suppressive soil biota at regional scales. J. Ecol. 2014, 102, 19–27. [Google Scholar] [CrossRef]
- Rout, M.E.; Callaway, R.M. Interactions between exotic invasive plants and soil microbes in the rhizosphere suggest that ‘everything is not everywhere’. Ann. Bot. 2012, 110, 213–222. [Google Scholar] [CrossRef]
- Yin, L.; Liu, B.; Wang, H.; Zhang, Y.; Wang, S.; Jiang, F.; Ren, Y.; Liu, H.; Liu, C.; Wan, F.; et al. The rhizosphere microbiome of Mikania micrantha provides insight into adaptation and invasion. Front. Microbiol. 2020, 11, 1462. [Google Scholar] [CrossRef]
- Chen, X.; Li, Q.; Wang, Y.; Chen, F.; Zhang, X.; Zhang, F. Bacillus promotes invasiveness of exotic Flaveria bidentis by increasing its nitrogen and phosphorus uptake. J. Plant Ecol. 2022, 15, 596–609. [Google Scholar] [CrossRef]
- Zhao, M.; Lu, X.; Zhao, H.; Yang, Y.; Hale, L.; Gao, Q.; Liu, W.; Guo, J.; Li, Q.; Zhou, J.; et al. Ageratina adenophora Invasions are associated with microbially mediated differences in biogeochemical cycles. Sci. Total Environ. 2019, 677, 47–56. [Google Scholar] [CrossRef]
- Wu, B.; Wang, S.; Wei, M.; Zhou, J.; Jiang, K.; Du, D.; Wang, C. The invasive tree Staghorn sumac affects soil N2-fixing bacterial communities in north China. Plant Biol. 2019, 21, 951–960. [Google Scholar] [CrossRef] [PubMed]
- Zhang, F.; Sun, J.; Li, C.; Wang, C.; Chen, F.; Xu, H.-Y.; Chen, X. Bacillus benefits the competitive growth of Ambrosia artemisiifolia by increasing available nutrient levels. Front. Plant Sci. 2022, 13, 5484. [Google Scholar] [CrossRef] [PubMed]
- Wang, Z.J.; Li, X.; Wang, J.H.; Qi, S.S.; Dai, Z.C.; Du, D.L. Effect of nitrogen-fixing bacteria on resource investment of the root system in an invasive clonal plant under low nutritional environment. Flora 2022, 297, 152166. [Google Scholar] [CrossRef]
- Qi, S.; Wang, J.; Wan, L.; Dai, Z.; da Silva Matos, D.M.; Du, D.; Egan, S.; Bonser, S.P.; Thomas, T.; Moles, A.T. Arbuscularmycorrhizal fungi contribute to phosphorous uptake and allocation strategies of Solidago canadensis in a phosphorous-deficient environment. Front. Plant Sci. 2022, 13, 831654. [Google Scholar] [CrossRef]
- Dastager, S.G.; Deepa, C.K.; Puneet, S.C.; Nautiyal, C.S.; Pandey, A. Isolation and characterization of plant growth-promoting strain Pantoea NII-186. From Western Ghat Forest soil, India. Lett. Appl. Microbiol. 2009, 49, 20–25. [Google Scholar] [CrossRef]
- Suman, A.; Shukla, L.; Marag, P.; Verma, P.; Gond, S.; Prasad, J.S. Potential use of plant colonizing Pantoea as generic plant growth promoting bacteria for cereal crops. J. Environ. Biol. 2020, 41, 987–994. [Google Scholar] [CrossRef]
- Akköprü, A.; Akat, Ş.; Özaktan, H.; Gül, A.; Akbaba, M. The long-term colonization dynamics of endophytic bacteria in cucumber plants, and their effects on yield, fruit quality and Angular Leaf Spot Disease. Sci. Hortic-Amsterd 2021, 282, 110005. [Google Scholar] [CrossRef]
- Bi, W.; Wang, R.; Yang, Y.; Wang, Y.; Ma, Z.; Wang, Q.; Zhang, D. Pantoea vagans strain BWL1 controls blue mold in mandarin fruit by inhibiting ergosterol biosynthesis in Penicillium expansum. Biol. Control 2021, 161, 104639. [Google Scholar] [CrossRef]
- Lu, X.; Siemann, E.; Wei, H.; Shao, X.; Ding, J. Effects of warming and nitrogen on above- and below-ground herbivory of an exotic invasive plant and its native congener. Biol. Invasions 2015, 17, 2881–2892. [Google Scholar] [CrossRef]
- Lu, X.; Siemann, E.; He, M.; Wei, H.; Shao, X.; Ding, J. Climate warming increases biological control agent impact on a non-target species. Ecol. Lett. 2015, 18, 48–56. [Google Scholar] [CrossRef]
- Lu, X.; Siemann, E.; Shao, X.; Wei, H.; Ding, J. Climate warming affects biological Invasions by shifting interactions of plants and herbivores. Glob. Change Biol. 2013, 19, 2339–2347. [Google Scholar] [CrossRef] [PubMed]
- Wang, Y.; Xiong, Y.; Wang, Y.; Li, Q. Long period exposure to serious cadmium pollution benefits an invasive plant (Alternanthera philoxeroides) competing with its native congener (Alternanthera sessilis). Sci. Total Environ. 2021, 786, 147456. [Google Scholar] [CrossRef] [PubMed]
- Kowalski, K.P.; Bacon, C.; Bickford, W.; Braun, H.; Wilcox, D.A. Advancing the science of microbial symbiosis to support invasive species management: A case study on Phragmites in the Great Lakes. Front. Microbiol. 2015, 6, 95. [Google Scholar] [CrossRef] [PubMed]
- Liang, X.; FeiHai, Y.; Elles, V.D.; Feike, S.; Dong, M.; Anten, N. Trampling, defoliation and physiological integration affect growth, morphological and mechanical properties of a root-suckering clonal tree. Ann. Bot. 2012, 109, 1001–1008. [Google Scholar] [CrossRef]
- Mei, Y.H.; Li, X.; Zhou, J.Y.; Kong, F.L.; Qi, S.S.; Zhu, B.; Naz, M.; Dai, Z.C.; Du, D.L. Both adaptability and endophytic bacteria are linked to the functional traits in the invasive clonal plant Wedelia trilobata. Plants 2022, 11, 3369. [Google Scholar] [CrossRef]
- Bittebiere, A.-K.; Benot, M.-L.; Mony, C. Clonality as a key but overlooked driver of biotic interactions in plants. Perspect. Plant Ecol. 2020, 43, 125510. [Google Scholar] [CrossRef]
- Stuefer, H. The role of stolon internodes for ramet survival after clone fragmentation in Potentilla anserina. Ecol. Lett. 2010, 2, 135–139. [Google Scholar] [CrossRef]
- Goulas, E.; Dily, F.L.; Teissedre, L.; Corbel, G.; Robin, C.; Ourry, A. Vegetative storage proteins in white clover (Trifolium repens L.): Quantitative and qualitative features. Ann. Bot. 2001, 88, 789–795. [Google Scholar] [CrossRef]
- He, L.; Xiao, X.; Zhang, X.; Jin, Y.; Pu, Z.; Lei, N.; He, X.; Chen, J. Clonal fragments of stoloniferous invasive plants benefit more from stolon storage than their congeneric native species. Flora 2021, 281, 151877. [Google Scholar] [CrossRef]
- Ott, J.P.; Klimešová, J.; Hartnett, D.C. The ecology and significance of below-ground bud banks in plants. Ann. Bot. 2019, 123, 1099–1118. [Google Scholar] [CrossRef]
- Lu, X.; He, M.; Ding, J.; Siemann, E. Latitudinal variation in soil biota: Testing the biotic interaction hypothesis with an invasive plant and a native congener. ISME J. 2018, 12, 2811–2822. [Google Scholar] [CrossRef] [PubMed]
- Nahar, L.; Nath, S.; Sarker, S.D. “Malancha” [Alternanthera philoxeroides (Mart.) Griseb.]: A potential therapeutic option against viral diseases. Biomolecules 2022, 12, 582. [Google Scholar] [CrossRef] [PubMed]
- Kourtev, P.S.; Ehrenfeld, J.G.; Hggblom, M. Exotic plant species alter the microbial community structure and function in the soil. Ecology 2002, 83, 3152–3166. [Google Scholar] [CrossRef]
- Emmett, B.D.; Buckley, D.H.; Drinkwater, L.E. Plant growth rate and nitrogen uptake shape rhizosphere bacterial community composition and activity in an agricultural field. New Phytol. 2020, 225, 960–973. [Google Scholar] [CrossRef]
- Li, H.; Wang, J.; Liu, Q.; Zhou, Z.; Chen, F.; Xiang, D. Effects of consecutive monoculture of sweet potato on soil bacterial community as determined by pyrosequencing. J. Basic Microb. 2019, 59, 181–191. [Google Scholar] [CrossRef]
- Piper, C.L.; Siciliano, S.D.; Winsley, T.; Lamb, E.G. Smooth brome invasion increases rare soil bacterial species prevalence, bacterial species richness and evenness. J. Ecol. 2015, 103, 386–396. [Google Scholar] [CrossRef]
- Chen, Q.; Wu, W.W.; Qi, S.S.; Cheng, H.; Li, Q.; Ran, Q.; Dai, Z.C.; Du, D.L.; Egan, S.; Thomas, T. Arbuscular mycorrhizal fungi improve the growth and disease resistance of the invasive plant Wedelia trilobata. J. Appl. Microbiol. 2021, 130, 582–591. [Google Scholar] [CrossRef]
- Dai, Z.C.; Wang, X.Y.; Qi, S.S.; Cai, H.H.; Sun, J.F.; Huang, P.; Du, D.L. Effects of leaf litter on inter-specific competitive abilityof the invasive plant Wedelia trilobata. Ecol. Res. 2016, 31, 367–374. [Google Scholar] [CrossRef]
- Reinhart, K.O.; Callaway, R.M. Soil biota and invasive plants. New Phytol. 2006, 170, 445–457. [Google Scholar] [CrossRef]
- Ferrari, A.E.; Wall, L.G. Nodulation and growth of black locust (Robinia pseudoacacia) on a desurfaced soil inoculated with a local Rhizobium isolate. Biol. Fertil. Soils 2007, 43, 471–477. [Google Scholar] [CrossRef]
- Dai, Z.C.; Fu, W.; Wan, L.Y.; Cai, H.H.; Wang, N.; Qi, S.S.; Du, D.L. Different growth promoting effects of endophytic bacteria on invasive and native clonal plants. Front. Plant Sci. 2016, 7, 00706. [Google Scholar] [CrossRef] [PubMed]
- Ofek-Lalzar, M.; Sela, N.; Goldman-Voronov, M.; Green, S.J.; Hadar, Y.; Minz, D. Niche and host-associated functional signatures of the root surface microbiome. Nat. Commun. 2014, 5, 4950. [Google Scholar] [CrossRef] [PubMed]
- Croes, S.; Weyens, N.; Colpaert, J.; Vangronsveld, J. Characterization of the cultivable bacterial populations associated with field grown Brassica napus L.: An evaluation of sampling and isolation protocols. Environ. Microbiol. 2015, 17, 2379–2392. [Google Scholar] [CrossRef] [PubMed]
- Saitou, N.; Nei, M. The Neighbor-Joining Method—A New Method for Reconstructing Phylogenetic Trees. Mol. Biol. Evol. 1987, 4, 406–425. [Google Scholar] [CrossRef]
- Kimura, M. A simple method for estimating evolutionary rates of base substitutions through comparative studies of nucleotide sequences. J. Mol. Evol. 1980, 16, 111–120. [Google Scholar] [CrossRef]
- Kumar, S.; Stecher, G.; Tamura, K. MEGA7: Molecular evolutionary genetics analysis version 7.0 for bigger datasets. Mol. Biol. Evol. 2016, 33, 1870–1874. [Google Scholar] [CrossRef]




| Source of Sample | Factor | df | A. philoxeroides | A. sessilis | ||
|---|---|---|---|---|---|---|
| F | p | F | p | |||
| Stem length | Strains | 2 | 8.391 | 0.001 | 0.508 | 0.606 |
| Plantations | 1 | 53.813 | <0.001 | 142.283 | <0.001 | |
| Strains × Plantations | 2 | 1.462 | 0.245 | 0.098 | 0.907 | |
| Number of nodes | Strains | 2 | 3.265 | 0.05 | 0.429 | 0.655 |
| Plantations | 1 | 46.676 | <0.001 | 51.49 | <0.001 | |
| Strains × Plantations | 2 | 3.794 | 0.032 | 0.061 | 0.941 | |
| Spacer length | Strains | 2 | 4.94 | 0.013 | 0.016 | 0.984 |
| Plantations | 1 | 18.137 | <0.001 | 7.884 | 0.008 | |
| Strains × Plantations | 2 | 0.552 | 0.581 | 0.189 | 0.828 | |
| Aboveground biomass | Strains | 2 | 7.002 | 0.003 | 2.348 | 0.11 |
| Plantations | 1 | 28.004 | <0.001 | 90.365 | <0.001 | |
| Strains × Plantations | 2 | 0.754 | 0.478 | 0.652 | 0.527 | |
| Belowground biomass | Strains | 2 | 0.818 | 0.449 | 1.317 | 0.281 |
| Plantations | 1 | 11.897 | 0.001 | 75.341 | <0.001 | |
| Strains × Plantations | 2 | 2.487 | 0.097 | 0.36 | 0.7 | |
| Total biomass | Strains | 2 | 6.723 | 0.003 | 2.483 | 0.098 |
| Plantations | 1 | 37.36 | <0.001 | 102.187 | <0.001 | |
| Strains × Plantations | 2 | 1.669 | 0.203 | 0.682 | 0.512 | |
Disclaimer/Publisher’s Note: The statements, opinions and data contained in all publications are solely those of the individual author(s) and contributor(s) and not of MDPI and/or the editor(s). MDPI and/or the editor(s) disclaim responsibility for any injury to people or property resulting from any ideas, methods, instructions or products referred to in the content. |
© 2023 by the authors. Licensee MDPI, Basel, Switzerland. This article is an open access article distributed under the terms and conditions of the Creative Commons Attribution (CC BY) license (https://creativecommons.org/licenses/by/4.0/).
Share and Cite
Li, X.; Zhang, Y.; Kong, F.-L.; Naz, M.; Zhou, J.-Y.; Qi, S.-S.; Dai, Z.-C.; Du, D.-L. Invasive Plant Alternanthera philoxeroides Benefits More Competition Advantage from Rhizosphere Bacteria Regardless of the Host Source. Plants 2023, 12, 2085. https://doi.org/10.3390/plants12112085
Li X, Zhang Y, Kong F-L, Naz M, Zhou J-Y, Qi S-S, Dai Z-C, Du D-L. Invasive Plant Alternanthera philoxeroides Benefits More Competition Advantage from Rhizosphere Bacteria Regardless of the Host Source. Plants. 2023; 12(11):2085. https://doi.org/10.3390/plants12112085
Chicago/Turabian StyleLi, Xu, Yi Zhang, Fang-Li Kong, Misbah Naz, Jian-Yu Zhou, Shan-Shan Qi, Zhi-Cong Dai, and Dao-Lin Du. 2023. "Invasive Plant Alternanthera philoxeroides Benefits More Competition Advantage from Rhizosphere Bacteria Regardless of the Host Source" Plants 12, no. 11: 2085. https://doi.org/10.3390/plants12112085
APA StyleLi, X., Zhang, Y., Kong, F.-L., Naz, M., Zhou, J.-Y., Qi, S.-S., Dai, Z.-C., & Du, D.-L. (2023). Invasive Plant Alternanthera philoxeroides Benefits More Competition Advantage from Rhizosphere Bacteria Regardless of the Host Source. Plants, 12(11), 2085. https://doi.org/10.3390/plants12112085

