Integrated Management Practices for Canopy–Topsoil Improves the Grain Yield of Maize with High Planting Density
Abstract
1. Introduction
2. Results
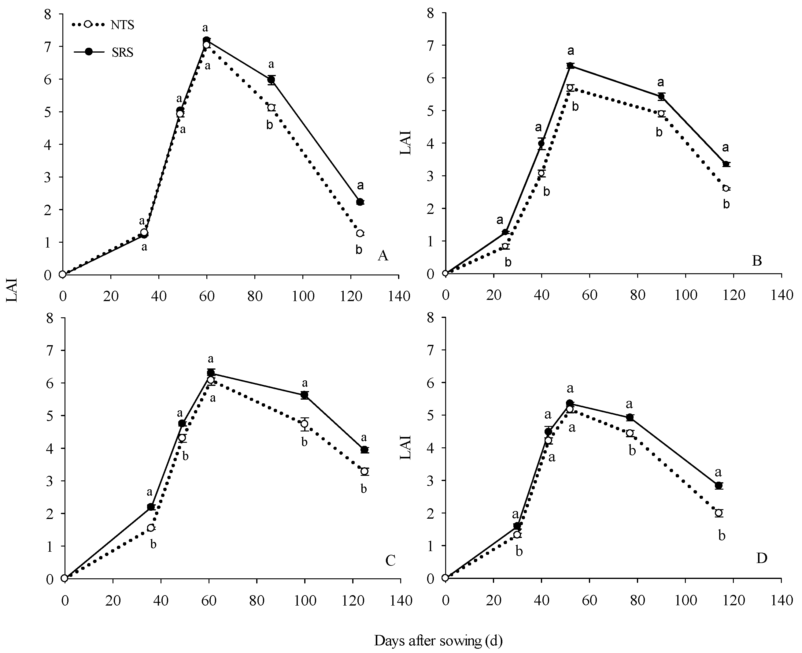
2.1. Canopy Structure and Light Distribution
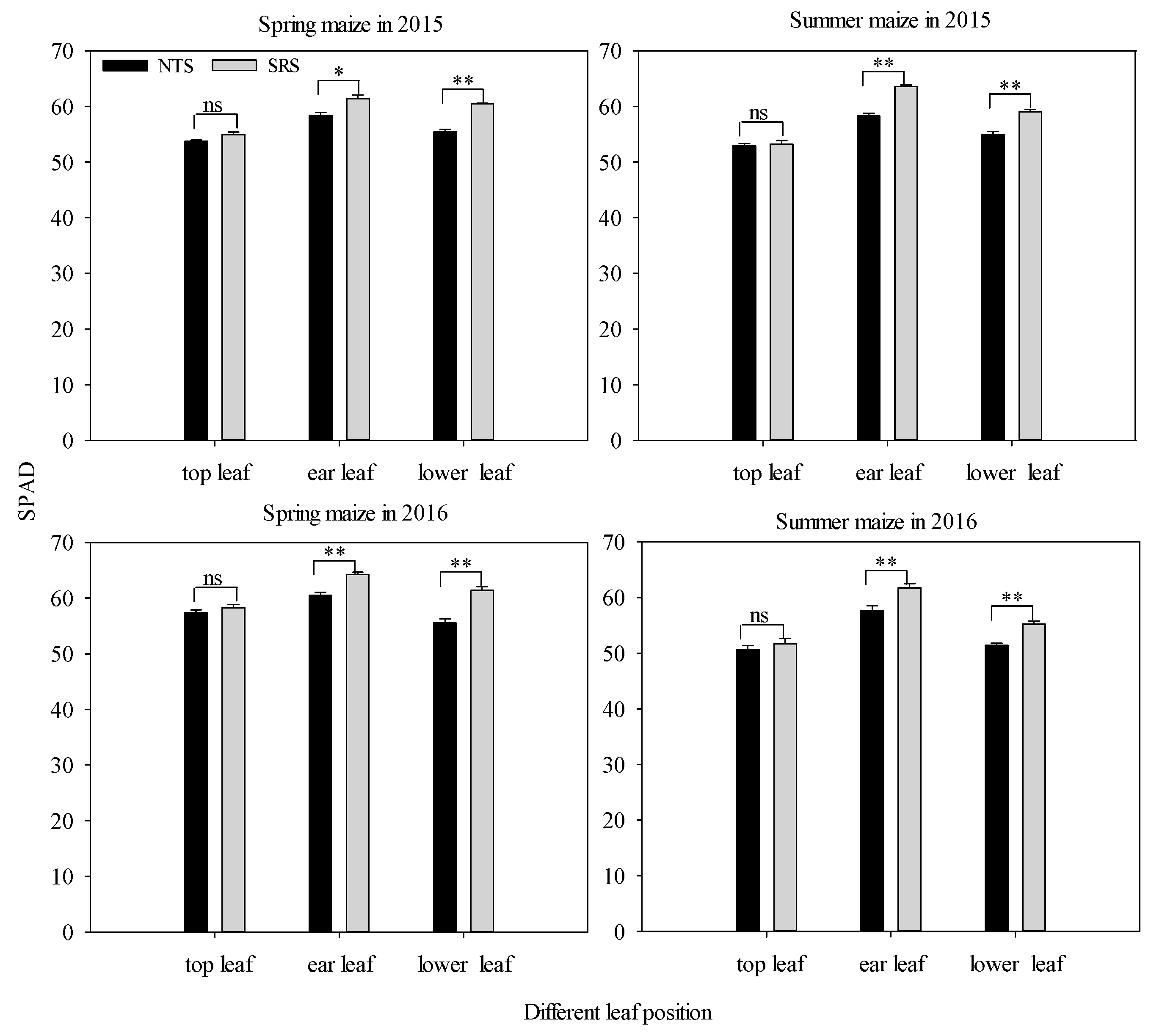
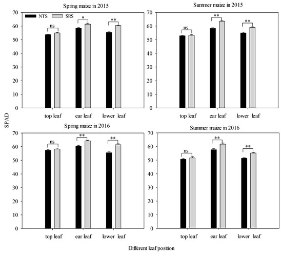
2.2. SPAD of Canopy Leaves
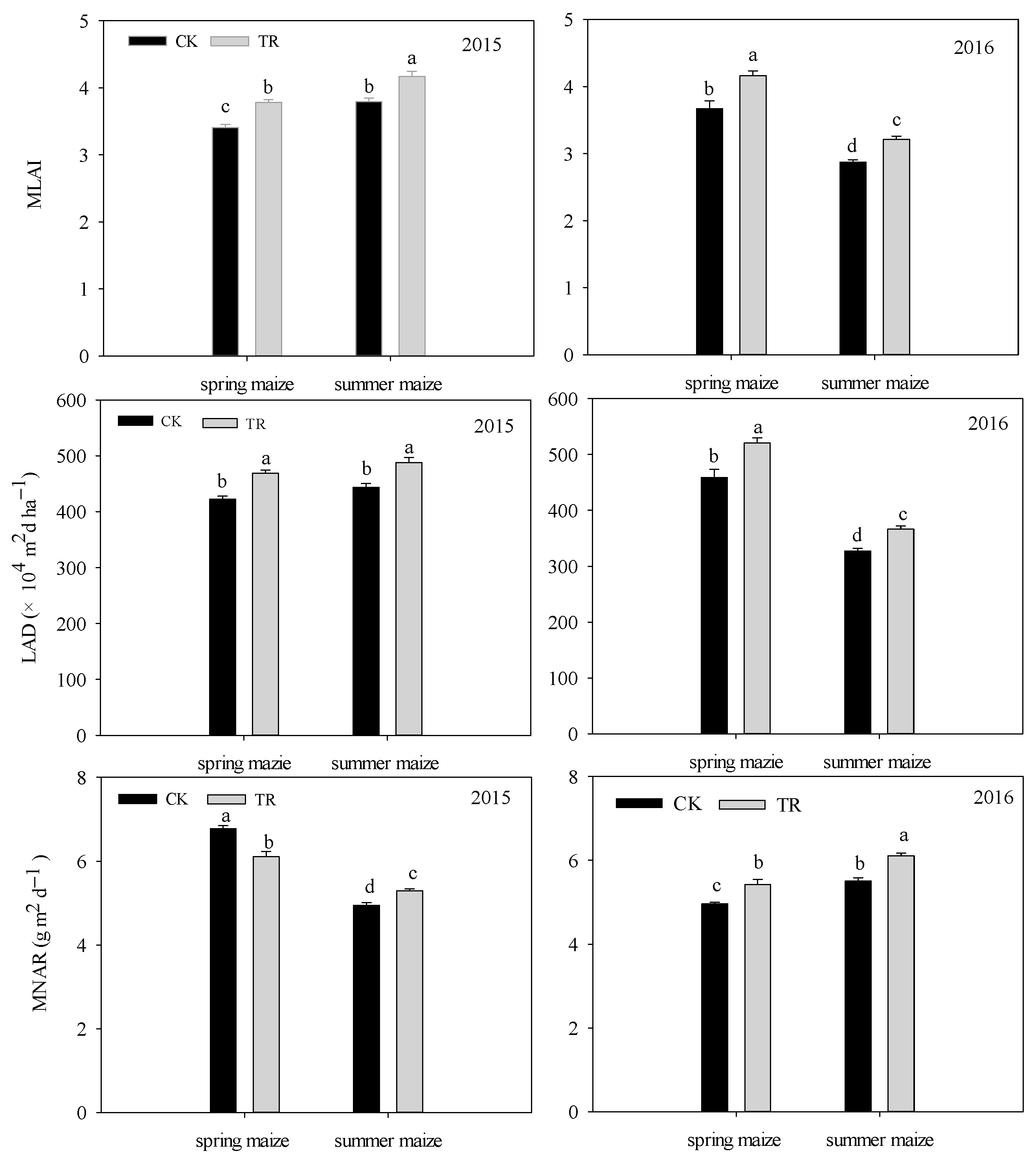
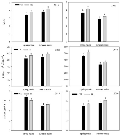
2.3. MLAI, LAD, and MNAR
2.4. Soil Bulk Density and Root Bleeding Sap Content
2.5. Root Dry Weight Density
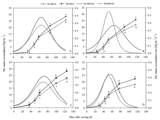
2.6. Dry Matter Accumulation and Change Rate
2.7. Yield and Yield Components
2.8. Correlation Analysis
3. Discussion
4. Materials and Methods
4.1. Experimental Site
4.2. Experimental Design and Field Management
4.3. Sampling and Measurement Method
4.3.1. Light Transmittance at Different Canopy Layers
4.3.2. Leaf Area Index (LAI)
4.3.3. Mean LAI (MLAI), Mean Net Assimilation Rate (MNAR), and Leaf Area Duration (LAD)
4.3.4. Dry Matter Accumulation (DMA)
4.3.5. SPAD Values
4.3.6. Root Dry Weight and Soil Bulk Density
4.3.7. Root Bleeding Sap
4.4. Statistical Analysis
5. Conclusions
Author Contributions
Funding
Institutional Review Board Statement
Informed Consent Statement
Data Availability Statement
Conflicts of Interest
References
- Tester, M.; Langridge, P. Breeding technologies to increase crop production in a changing world. Science 2010, 327, 818–822. [Google Scholar] [CrossRef] [PubMed]
- Tilman, D.; Clark, M. Food, agriculture & the environment: Can we feed the world and save the earth? Daedalus 2015, 144, 8–23. [Google Scholar]
- Xu, H.; Twine, T.E.; Girvetz, E. Climate change and maize yield in Iowa. PLoS ONE 2016, 11, e0156083. [Google Scholar] [CrossRef] [PubMed]
- Sangoi, L. Understanding plant density effects on maize growth and development: An important issue to maximize grain yield. Ciência Rural 2001, 31, 159–168. [Google Scholar] [CrossRef]
- Deng, J.M.; Wang, G.X.; Morris, E.C.; Wei, X.P.; Li, D.X.; Chen, B.M.; Zhao, C.M.; Liu, J.; Wang, Y. Plant mass-density relationship along a moisture gradient in north-West China. J. Ecol. 2006, 94, 953–958. [Google Scholar] [CrossRef]
- Yan, Y.; Liao, C.S.; Zhang, F.S.; Li, C.J. The causal relationship of the decreased shoot and root growth of maize plants under higher plant density. Plant Nutr. Fertil. Sci. 2010, 16, 257–265. [Google Scholar]
- Xue, J.; Gou, L.; Zhao, Y.S.; Yao, M.N.; Yao, H.S.; Tian, J.S.; Zhang, W.F. Effects of light intensity within the canopy on maize lodging. Field Crops Res. 2016, 188, 133–141. [Google Scholar] [CrossRef]
- Wang, Z.K.; Zhao, X.N.; Wu, P.T.; He, J.Q.; Chen, X.L.; Gao, Y.; Cao, X.C. Radiation Interception and Utilization by Wheat/Maize Strip Intercropping Systems. Agric. For. Meteorol. 2015, 204, 58–66. [Google Scholar] [CrossRef]
- Li, R.F.; Zhang, G.Q.; Liu, G.Z.; Wang, K.R.; Xie, R.A.; Hou, P.; Ming, B.; Wang, Z.G.; Li, S.K. Improving the yield potential in maize by constructing the ideal plant type and optimizing the maize canopy structure. Food Energy Secur. 2021, 10, e312. [Google Scholar] [CrossRef]
- Marchiori, P.E.R.; Machado, E.C.; Ribeiro, R.V. Photosynthetic limitations imposed by self-shading in field-grown sugarcane varieties. Field Crops Res. 2014, 155, 30–37. [Google Scholar] [CrossRef]
- Wei, S.S.; Wang, X.Y.; Zhu, Q.C.; Jiang, D.; Dong, S.T. Optimising yield and resource utilisation of summer maize under the conditions of increasing density and reducing nitrogen fertilization. Sci. Nat. 2017, 104, 86. [Google Scholar] [CrossRef] [PubMed]
- Li, R.F.; Liu, P.; Yang, Q.L.; Ren, H.; Dong, S.T.; Zhang, J.W.; Zhao, B. Effects of Lower Leaf Senescence on Carbon and Nitrogen Distribution and Yield Formation in Maize (Zea mays L.) with High Planting Density. Acta Agron. Sin. 2018, 44, 1032–1042. [Google Scholar] [CrossRef]
- Yu, S.; Wang, Y.H.; Zhou, Z.G.; Lü, F.J.; Liu, J.R.; Ma, Y.N.; Chen, J.; Abudukeyoumu, A. Effect of shade on nitrogen metabolism and its mechanism in cotton plant at flowering and boll-forming stage. Acta Agron. Sin. 2011, 37, 1879–1887. [Google Scholar] [CrossRef]
- Hébert, Y.; Guingo, E.; Loudet, O. The response of root/shoot partitioning and root morphology to light reduction in maize genotypes. Crop Sci. 2001, 41, 363–371. [Google Scholar] [CrossRef]
- Sun, X.F.; Ding, Z.S.; Wang, X.B.; Hou, H.P.; Zhou, B.Y.; Yue, Y.; Ma, W.; Ge, J.Z.; Wang, Z.M.; Zhao, M. Subsoiling Practices change root distribution and increase post-anthesis dry matter accumulation and yield in summer maize. PLoS ONE 2017, 12, e0174952. [Google Scholar] [CrossRef] [PubMed]
- Jabro, J.D.; Stevens, W.B.; Evans, R.G.; Iversen, W.M. Tillage Effects on Physical Properties in Two Soils of the Northern Great Plains. Appl. Eng. Agric. 2009, 25, 377–382. [Google Scholar] [CrossRef]
- Zhao, M.; Li, C.F.; Dong, Z.Q. The Coordination Optimization between Canopy and Topsoil and Its Technique of High Yield and Efficiency in Maize. Crops 2015, 3, 70–75. [Google Scholar]
- Piao, L.; Qi, H.; Li, C.F.; Zhao, M. Optimized tillage practices and row spacing to improve grain yield and matter transport efficiency in intensive spring maize. Field Crops Res. 2016, 198, 258–268. [Google Scholar] [CrossRef]
- Wu, W.M.; Wang, S.J.; Zhang, L.; Li, J.C.; Song, Y.H.; Peng, C.; Chen, X.; Jing, L.L.; Chen, H.J. Subsoiling Improves the Photosynthetic Characteristics of Leaves and Water Use Efficiency of Rainfed Summer Maize in the Southern Huang-Huai-Hai Plain of China. Agronomy 2020, 10, 465. [Google Scholar] [CrossRef]
- Feng, X.M.; Hao, Y.; Latifmanesh, H.; Lal, R.; Cao, T.H.; Guo, J.R.; Deng, A.X.; Song, Z.W.; Zhang, W.J. Effects of Subsoiling Tillage on Soil Properties, Maize Root Distribution, and Grain Yield on Mollisols of Northeastern China. Agron. J. 2018, 110, 1607–1615. [Google Scholar] [CrossRef]
- Wu, F.; Zhai, L.C.; Xu, P.; Zhang, Z.B.; Elamin, H.B.; Lemessa, N.T.; Roy, N.K.; Jia, X.L.; Guo, H.Q. Effects of deep vertical rotary tillage on the grain yield and resource use efficiency of winter wheat in the Huang-Huai-Hai Plain of China. J. Integr. Agric. 2021, 20, 593–605. [Google Scholar] [CrossRef]
- Wang, X.B.; Hou, H.P.; Zhou, B.Y.; Sun, X.F.; Ma, W.; Zhao, M. Effect of Strip Subsoiling on Population Root Spatial Distribution of Maize under Different Planting Densities. Acta Agron. Sin. 2014, 40, 213–2148. [Google Scholar] [CrossRef]
- Peng, S.B.; Tang, Q.Y.; Zou, Y.B. Current status and challenges of rice production in China. Plant Prod. Sci. 2009, 12, 3–8. [Google Scholar] [CrossRef]
- Chen, X.P.; Cui, Z.L.; Vitousek, P.M.; Cassman, K.G.; Matson, P.A.; Bai, J.S.; Meng, Q.F.; Hou, P.; Yue, S.C.; Volker, R.; et al. Integrated soil-crop system management for food security. Proc. Natl. Acad. Sci. USA 2011, 108, 6399–6404. [Google Scholar] [CrossRef] [PubMed]
- Jin, L.B.; Cui, H.Y.; Li, B.; Zhang, J.W.; Dong, S.T.; Liu, P. Effects of integrated agronomic management practices on yield and nitrogen efficiency of summer maize in North China. Field Crop Res. 2012, 134, 30–35. [Google Scholar] [CrossRef]
- Qin, J.Q.; Impa, S.M.; Tang, Q.Y.; Yang, S.H.; Yang, J.; Tao, Y.S.; Jagadish, K.S.V. Integrated nutrient, water and other agronomic options to enhance rice grain yield and N use efficiency in double-season rice crop. Field Crop Res. 2013, 148, 15–23. [Google Scholar] [CrossRef]
- McKee, G.W. A coefficient for computing leaf area in hybrid corn. Agron. J. 1964, 56, 240–241. [Google Scholar] [CrossRef]
- Sajad, J.; Shahrokh, Z.P.; Ali, A.K.H.; Ali, R.S.; Dev, N. Evapotranspiration, crop coefficients, and physiological responses of citrus trees in semi-arid climatic conditions. Agric. Water Manag. 2020, 227, 105838. [Google Scholar]
- Assefa, Y.; Carter, P.; Hinds, M.; Bhalla, G.; Schon, R.; Jeschke, M.; Paszkiewicz, S.; Smith, S.; Ciampitti, I.A. Analysis of long term study indicates both agronomic optimal plant density and increase maize yield per plant contributed to yield gain. Sci. Rep. 2018, 8, 4937. [Google Scholar] [CrossRef]
- Piazza, P.; Jasinski, S.; Tsiantis, M. Evolution of leaf developmental mechanisms. New Phytol. 2005, 167, 693–710. [Google Scholar] [CrossRef]
- Szabó, A.; Mousavi, S.M.N.; Bojtor, C.; Ragán, P.; Nagy, J.; Vad, A.; Illés, Á. Analysis of Nutrient-Specific Response of Maize Hybrids in Relation to Leaf Area Index (LAI) and Remote Sensing. Plants 2022, 11, 1197. [Google Scholar] [CrossRef] [PubMed]
- Li, Y.Y.; Ming, B.; Fan, P.P.; Liu, Y.; Wang, K.R.; Hou, P.; Xue, J.; Li, S.K.; Xie, R.Z. Quantifying contributions of leaf area and longevity to leaf area duration under increased planting density and nitrogen input regimens during maize yield improvement. Field Crops Res. 2022, 283, 108551. [Google Scholar] [CrossRef]
- Liu, G.Z.; Yang, Y.S.; Guo, X.X.; Liu, W.M.; Xie, R.Z.; Ming, B.; Xue, J.; Wang, K.R.; Li, S.K.; Hou, P. A global analysis of dry matter accumulation and allocation for maize yield breakthrough from 1.0 to 25.0 Mg ha−1. Resour. Conserv. Recycl. 2023, 188, 106656. [Google Scholar] [CrossRef]
- Bai, Y.W.; Zhang, H.J.; Zhu, Y.L.; Zheng, X.H.; Yang, M.; Li, C.F.; Zhang, R.H. Responses of canopy radiation and nitrogen distribution, leaf senescence and radiation use efficiency on increased planting density of different variety types of maize. Sci. Agric. Sin. 2020, 53, 3059–3070. [Google Scholar]
- Gregersen, P.L.; Culetic, A.; Boschian, L.; Krupinska, K. Plant senescence and crop productivity. Plant Mol. Biol. 2013, 82, 603–622. [Google Scholar] [CrossRef]
- Zhang, Y.Q.; Yang, H.S.; Gao, J.L.; Zhang, R.F.; Wang, Z.G.; Xu, S.J.; Fan, X.Y.; Yang, S.H. Study on canopy structure and physiological characteristics of super-high yield spring maize. Sci. Agric. Sin. 2011, 44, 4367–4376. [Google Scholar]
- Li, X.; Zhou, Y.; Duan, J.Z.; He, L.; Wei, Y.K.; Wang, Y.H.; Feng, W. Quantitative relationship between light transmittance of different light quality and leaf area index in wheat canopy. J. Triticeae Crops 2022, 42, 1139–1148. [Google Scholar]
- Liu, T.N.; Gu, L.M.; Dong, S.T.; Zhang, J.W.; Liu, P.; Zhao, B. Optimum leaf removal increases canopy apparent photosynthesis, 13C-photosynthate distribution and grain yield of maize crops grown at high density. Field Crops Res. 2015, 170, 32–39. [Google Scholar] [CrossRef]
- Yu, N.N.; Ren, B.Z.; Zhao, B.; Liu, P.; Zhang, J.W. Optimized agronomic management practices narrow the yield gap of summer maize through regulating canopy light interception and nitrogen distribution. Eur. J. Agron. 2022, 137, 126520. [Google Scholar] [CrossRef]
- Netto, A.T.; Campostrini, E.; Oliveira, J.G.D.; Bressan-Smith, R.E. Photosynthetic pigments, nitrogen, chlorophyll a fluorescence and SPAD-502 readings in coffee leaves. Sci. Hortic. 2005, 104, 199–209. [Google Scholar] [CrossRef]
- Wu, X.; Chen, Y.Q.; Sui, P.; Gao, W.S.; Yan, P.; Tao, Z.Q. Effect of planting geometries on canopy structure of spring maize under high-density condition in North China Plain. Chin. J. Ecol. 2015, 34, 18–24. [Google Scholar]
- Sánchez, E.P.; Bonilla, D.P.; Fuentes, J.Á.; Martínez, C.C. Is it feasible to reduce tillage and N use while improving maize yield in irrigated Mediterranean agroecosystems? Eur. J. Agron. 2019, 109, 125919. [Google Scholar] [CrossRef]
- Hammac, W.A.; Stott, D.E.; Karlen, D.L.; Cambardella, C.A. Crop, tillage, and landscape effects on near-surface soil quality indices in Indiana. Soil Sci. Soc. Am. J. 2016, 80, 1638–1652. [Google Scholar] [CrossRef]
- Yang, Y.H.; Wu, J.C.; Zhao, S.W.; Mao, Y.P.; Zhang, J.M.; Pan, X.Y.; He, F.; Martine, V.D.P. Impact of long-term sub-soiling tillage on soil porosity and soil physical properties in the soil profile. Land Degrad. Dev. 2021, 32, 2892–2905. [Google Scholar] [CrossRef]
- Zhao, S.H.; Xu, X.P.; Qiu, S.J.; He, P. Response of wheat and maize yields to different tillage practices across China: A meta-analysis. Eur. J. Agron. 2023, 144, 126753. [Google Scholar] [CrossRef]
- Zhai, L.C.; Xu, P.; Zhang, Z.B.; Li, S.K.; Xie, R.Z.; Zhai, L.F.; Wei, B.H. Effects of deep vertical rotary tillage on dry matter accumulation and grain yield of summer maize in the Huang-Huai-Hai Plain of China. Soil Tillage Res. 2017, 170, 167–174. [Google Scholar] [CrossRef]
- Han, Y.L.; Guo, D.; Ma, W.; Ge, J.Z.; Li, X.L.; Mehmood, A.N.; Ming, Z.; Zhou, B. Strip deep rotary tillage combined with controlled-release urea improves the grain yield and nitrogen use efficiency of maize in the North China Plain. J. Integr. Agric. 2022, 21, 2559–2576. [Google Scholar] [CrossRef]
- Jia, Q.M.; Xu, Y.Y.; Ali, S.; Sun, L.F.; Ding, R.X.; Ren, X.L.; Zhang, P.; Jia, Z.K. Strategies of supplemental irrigation and modified planting densities to improve the root growth and lodging resistance of maize (Zea mays L.) under the ridge-furrow rainfall harvesting system. Field Crops Res. 2018, 224, 48–49. [Google Scholar] [CrossRef]
- Piao, L.; Li, M.; Xiao, J.L.; Gu, W.R.; Zhan, M.; Cao, C.G.; Zhao, M.; Li, C.F. Effects of soil tillage and canopy optimization on grain yield, root growth, and water use efficiency of rainfed maize in northeast China. Agronomy 2019, 9, 336. [Google Scholar] [CrossRef]
- Zhang, H.; Jing, W.J.; Xu, J.J.; Ma, B.J.; Wang, W.L.; Zhang, W.Y.; Gu, J.F.; Liu, L.J.; Wang, Z.Q.; Yang, J.C. Changes in starch quality of mid-season indica rice varieties in the lower reaches of the Yangtze River in last 80 years. J. Integr. Agric. 2020, 19, 2983–2996. [Google Scholar] [CrossRef]
- Villordon, A.Q.; Ginzberg, I.; Firon, N. Root architecture and root and tuber crop productivity. Trends Plant Sci. 2014, 19, 419–425. [Google Scholar] [CrossRef] [PubMed]
- Yu, Y.; Qian, C.R.; Gu, W.R.; Li, C.F. Responses of root characteristic parameters and plant dry matter accumulation, distribution and transportation to nitrogen levels for spring maize in Northeast China. Agriculture 2021, 11, 308. [Google Scholar] [CrossRef]
- Ye, Y.L.; Wang, G.L.; Huang, Y.F.; Zhu, Y.J.; Meng, Q.F.; Chen, X.P.; Zhang, F.S.; Cui, Z.L. Understanding physiological processes associated with yield–trait relationships in modern wheat varieties. Field Crops Res. 2011, 124, 316–322. [Google Scholar] [CrossRef]
- Postma, J.A.; Hecht, V.L.; Hikosaka, K.; Nord, E.A.; Pons, T.L.; Poorter, H. Dividing the pie: A quantitative review on plant density responses. Plant Cell Environ. 2020, 44, 1072–1094. [Google Scholar] [CrossRef] [PubMed]
- Liu, G.Z.; Yang, H.S.; Xie, R.Z.; Yang, Y.S.; Liu, W.M.; Guo, X.X.; Xue, J.; Ming, B.; Wang, K.R.; Hou, P.; et al. Genetic gains in maize yield and related traits for high-yielding cultivars released during 1980s to 2010s in China. Field Crops Res. 2021, 270, 108223. [Google Scholar] [CrossRef]
- Liu, W.M.; Hou, P.; Liu, G.Z.; Yang, Y.S.; Guo, X.X.; Ming, B.; Xie, R.Z.; Wang, K.R.; Liu, Y.E.; Li, S.K. Contribution of total dry matter and harvest index to maize grain yield—A multisource data analysis. Food Energy Secur. 2020, 9, e256. [Google Scholar] [CrossRef]
- Moll, R.H.; Jackson, W.A.; Mikkelsen, R.L. Recurrent selection for maize grain yield: Dry matter and nitrogen accumulation and partitioning changes. Crop Sci. 1994, 34, 874–881. [Google Scholar] [CrossRef]
- Ning, P.; Li, S.; Yu, P.; Zhang, Y.; Li, C.J. Post-silking accumulation and partitioning of dry matter, nitrogen, phosphorus and potassium in maize varieties differing in leaf longevity. Field Crops Res. 2013, 144, 19–27. [Google Scholar] [CrossRef]
- Wang, H.D.; Wang, N.J.; Quan, H.; Zhang, F.C.; Fan, J.L.; Feng, H.; Cheng, M.H.; Liao, Z.Q.; Wang, X.K.; Xiang, Y.Z. Yield and water productivity of crops, vegetables and fruits under subsurface drip irrigation: A global meta-analysis. Agric. Water Manag. 2022, 269, 107645. [Google Scholar] [CrossRef]
- Zhang, B.; Zhao, M.; Dong, Z.Q.; Chen, C.Y.; Sun, R. Three combination structure quantitative expression and high yield analysis in crops. Acta Agron. Sin. 2007, 33, 1674–1681. [Google Scholar]
- Hou, Y.H. Simulation Research on Maize Yield Property Based on Field Climatic Real Time Monitor. Ph.D. Dissertation, Shenyang Agricultural University, Shenyang, China, 2009. [Google Scholar]
- Hou, Y.H.; Chen, C.Y.; Guo, Z.Q.; Hou, L.B.; Dong, Z.Q.; Zhao, M. Establishment of dry matter accumulation dynamic simulation model and analysis of growth characteristic for high-yielding population of spring maize. J. Maize Sci. 2008, 16, 90–95. [Google Scholar]
- Wang, X.B.; Zhou, B.Y.; Sun, X.F.; Yue, Y.; Ma, W.; Zhao, M. Soil tillage management affects maize grain yield by regulating spatial distribution coordination of roots, soil moisture and nitrogen status. PLoS ONE 2015, 10, e0129231. [Google Scholar] [CrossRef] [PubMed]










| Year | Cropping System | Treatment | Equation | R2 | Tmax | Wmax | Gmax | Gmean | D |
|---|---|---|---|---|---|---|---|---|---|
| 2015 | spring maize | NTS | y = 25.123/(1 + 51.375e(−0.060x)) | 0.9739 ** | 66.11 a | 12.56 b | 0.37 b | 0.25 b | 100.70 a |
| SRS | y = 28.420/(1 + 81.514e(−0.067x)) | 0.9839 ** | 65.73 a | 14.21 a | 0.48 a | 0.32 a | 89.61 b | ||
| summer maize | NTS | y = 20.097/(1 + 353.611e(−0.110x)) | 0.9817 ** | 53.17 b | 10.05 b | 0.56 a | 0.37 a | 54.36 b | |
| SRS | y = 26.366/(1 + 38.892e(−0.057x)) | 0.9876 ** | 64.49 a | 13.18a | 0.37 b | 0.25 b | 105.69 a | ||
| 2016 | spring maize | NTS | y = 22.918/(1 + 56.721e(−0.059x)) | 0.9918 ** | 68.97a | 11.46 b | 0.34 b | 0.23 b | 101.18 a |
| SRS | y = 28.687/(1 + 63.129e(−0.058x)) | 0.9930 ** | 71.30 a | 14.34 a | 0.42 a | 0.28 a | 103.20 a | ||
| summer maize | NTS | y = 17.196/(1 + 164.611e(−0.100x)) | 0.9880 ** | 51.08 b | 8.60 b | 0.43 a | 0.29 a | 60.05 b | |
| SRS | y = 22.163/(1 + 82.288e(−0.081x)) | 0.9946 ** | 54.38 a | 11.08 a | 0.45 a | 0.30 a | 73.99 a |
| Year | Cropping System | Treatment | Harvest Ears Number (×104 ha−1) | Grain Number Per Ear | 1000-Grain Weight | Yield (kg ha−1) |
|---|---|---|---|---|---|---|
| 2015 | Spring maize | NTS | 7.73 b | 460.11 c | 315.09 d | 11087.54 b |
| SRS | 7.79 b | 468.31 bc | 327.82 c | 11909.53 a | ||
| Summer maize | NTS | 8.44 a | 472.96 b | 270.88 f | 10810.16 b | |
| SRS | 8.29 a | 489.18 a | 282.76 e | 11536.05 a | ||
| 2016 | Spring maize | NTS | 5.71 d | 362.26 g | 372.14 a | 7634.94 d |
| SRS | 7.05 c | 389.08 f | 349.91 b | 9577.65 c | ||
| Summer maize | NTS | 7.64 b | 414.28 e | 251.58 g | 7961.85 d | |
| SRS | 7.68 b | 444.96 d | 267.85 f | 9149.02 c | ||
| Source of variation | ||||||
| Year (Y) | *** | *** | *** | ** | ||
| Cropping system (C) | *** | *** | ** | ns | ||
| Management practices (M) | * | *** | * | *** | ||
| Y × M | ** | ** | ** | ** | ||
| C × M | ** | ns | ** | ns | ||
| Y × C | ** | *** | *** | ns | ||
| Y × C × M | * | ns | ** | ns | ||
| Year | Maize | Sowing Date (M-D) | Emergence Date (M-D) | V6 Date (M-D) | V11 Date (M-D) | Anthesis Date (M-D) | Harvesting Date (M-D) |
|---|---|---|---|---|---|---|---|
| 2015 | Spring maize | 17 May | 24 May | 2 June | 5 July | 16 July | 18 September |
| Summer maize | 28 June | 3 July | 23 July | 7 August | 19 August | 23 October | |
| 2016 | Spring maize | 19 May | 25 May | 23 June | 7 July | 19 July | 22 September |
| Summer maize | 29 June | 5 July | 29 July | 10 August | 19 August | 20 October |
Disclaimer/Publisher’s Note: The statements, opinions and data contained in all publications are solely those of the individual author(s) and contributor(s) and not of MDPI and/or the editor(s). MDPI and/or the editor(s) disclaim responsibility for any injury to people or property resulting from any ideas, methods, instructions or products referred to in the content. |
© 2023 by the authors. Licensee MDPI, Basel, Switzerland. This article is an open access article distributed under the terms and conditions of the Creative Commons Attribution (CC BY) license (https://creativecommons.org/licenses/by/4.0/).
Share and Cite
Sun, X.; Li, X.; Jiang, W.; Zhao, M.; Gao, Z.; Ge, J.; Sun, Q.; Ding, Z.; Zhou, B. Integrated Management Practices for Canopy–Topsoil Improves the Grain Yield of Maize with High Planting Density. Plants 2023, 12, 2000. https://doi.org/10.3390/plants12102000
Sun X, Li X, Jiang W, Zhao M, Gao Z, Ge J, Sun Q, Ding Z, Zhou B. Integrated Management Practices for Canopy–Topsoil Improves the Grain Yield of Maize with High Planting Density. Plants. 2023; 12(10):2000. https://doi.org/10.3390/plants12102000
Chicago/Turabian StyleSun, Xuefang, Xuejie Li, Wen Jiang, Ming Zhao, Zhuohan Gao, Junzhu Ge, Qing Sun, Zaisong Ding, and Baoyuan Zhou. 2023. "Integrated Management Practices for Canopy–Topsoil Improves the Grain Yield of Maize with High Planting Density" Plants 12, no. 10: 2000. https://doi.org/10.3390/plants12102000
APA StyleSun, X., Li, X., Jiang, W., Zhao, M., Gao, Z., Ge, J., Sun, Q., Ding, Z., & Zhou, B. (2023). Integrated Management Practices for Canopy–Topsoil Improves the Grain Yield of Maize with High Planting Density. Plants, 12(10), 2000. https://doi.org/10.3390/plants12102000

