Triterpene Derivatives from Garcinia oligantha and Their Anti-Cancer Activity
Abstract
1. Introduction
2. Results
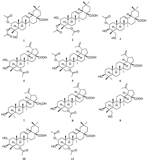
2.1. Isolation and Structure Elucidation of Triterpenoids
2.2. Evaluation of Biological Activity of Compounds 1–11
3. Discussion
4. Materials and Methods
4.1. General Experimental Procedure
4.2. Plant Material
4.3. Extraction and Isolation
4.3.1. 2α,3β-Diacetyl Arjunolic Acid (1)
4.3.2. 3β,23-Diacetyl Arjunolic Acid (2)
4.3.3. 2α-Acetyl Arjunolic Acid (3)
4.3.4. 23-Acetyl Hovenic Acid (4)
4.3.5. 2α,23-Diacetyl Hovenic Acid (5)
4.4. Hydrolysis of 2α,3β-Diacetyl Arjunolic Acid (1)
4.5. Cytotoxic Activity
4.5.1. Cell Lines and Tested Compounds
4.5.2. Cell Cultures
Supplementary Materials
Author Contributions
Funding
Data Availability Statement
Conflicts of Interest
References
- Cheng, L.-Y.; Tsai, Y.-C.; Fu, S.-L.; Cheng, M.-J.; Sung, P.-J.; Chung, M.-I.; Chen, J.-J. Acylphloroglucinol derivatives from Garcinia multiflora with anti-inflammatory effect in LPS-Induced RAW264.7 Macrophages. Molecules 2018, 23, 2587. [Google Scholar] [CrossRef] [PubMed]
- Chaturonrutsamee, S.; Kuhakarn, C.; Surawatanawong, P.; Prabpai, S.; Kongsaeree, P.; Jaipetch, T.; Piyachaturawat, P.; Jariyawat, S.; Akkarawongsapat, R.; Suksen, K.; et al. Polycyclic polyprenylated acylphloroglucinols and biphenyl derivatives from the roots of Garcinia nuntasaenii Ngerns. & Suddee. Phytochemistry 2017, 146, 63–74. [Google Scholar] [CrossRef] [PubMed]
- Tang, Z.; Lu, L.; Zhou, X.; Shen, J.; Song, W.; Tang, Y.; Xia, Z. A new cytotoxic polycyclic polyprenylated acylphloroglucinol from Garcinia nujiangensis screened by the LC-PDA and LC-MS. Nat. Prod. Res. 2019, 34, 2448–2455. [Google Scholar] [CrossRef] [PubMed]
- Liu, Q.; Zheng, H.; Wang, X.; Zhou, L.; Wang, S.; Shen, T.; Ren, D. Cytotoxic new caged-polyprenylated xanthonoids from Garcinia oligantha. Fitoterapia 2021, 156, 105092. [Google Scholar] [CrossRef]
- Gao, X.-M.; Cui, M.-Z.; Yu, T.; Hu, Q.-F.; Pu, J.-X.; Du, X.; Liu, T.-C.; Luo, K.Q. A novel xanthone from Garcinia oligantha. Helvetica Chim. Acta 2013, 96, 494–498. [Google Scholar] [CrossRef]
- Meng, Y.; Yang, Y.; Qin, Y.; Xia, C.; Ye, Y.; Hu, Q.; Li, Y. A new xanthone from the stems of Garcinia oligantha and their anti-tobacco mosaic virus activity. Asian J. Chem. 2014, 26, 6685–6686. [Google Scholar] [CrossRef]
- Gao, X.-M.; Yu, T.; Cui, M.-Z.; Pu, J.-X.; Du, X.; Han, Q.-B.; Hu, Q.-F.; Liu, T.-C.; Luo, K.Q.; Xu, H.-X. Identification and evaluation of apoptotic compounds from Garcinia oligantha. Bioorganic Med. Chem. Lett. 2012, 22, 2350–2353. [Google Scholar] [CrossRef]
- Wu, Y.-P.; Zhao, W.; Xia, Z.-Y.; Kong, G.-H.; Lu, X.-P.; Hu, Q.-F.; Gao, X.-M. Three new xanthones from the stems of Garcinia oligantha and their anti-TMV activity. Phytochem. Lett. 2013, 6, 629–632. [Google Scholar] [CrossRef]
- Tang, Y.-X.; Fu, W.-W.; Wu, R.; Tan, H.-S.; Shen, Z.-W.; Xu, H.-X. Bioassay-guided isolation of prenylated xanthone derivatives from the leaves of Garcinia oligantha. J. Nat. Prod. 2016, 79, 1752–1761. [Google Scholar] [CrossRef]
- Tang, Y.-X.; Fu, W.-W.; Xi, Z.-C.; Yang, J.-L.; Zheng, C.-W.; Lu, Y.; Shen, Z.-W.; Xu, H.-X. Xanthone derivatives from the leaves of Garcinia oligantha. Eur. J. Med. Chem. 2019, 181, 111536. [Google Scholar] [CrossRef]
- Sukandar, E.R.; Kaennakam, S.; Rassamee, K.; Ersam, T.; Siripong, P.; Tip-pyang, S. Tetrandraxanthones A-I, prenylated and geranylated xanthones from the stem bark of Garcinia tetrandra. J. Nat. Prod. 2019, 82, 1312–1318. [Google Scholar] [CrossRef] [PubMed]
- Raksat, A.; Phukhatmuen, P.; Yang, J.X.; Maneerat, W.; Charoensup, R.; Andersen, R.J.; Wang, Y.A.; Pyne, S.G.; Laphookhieo, S. Phloroglucinol benzophenones and xanthones from the leaves of Garcinia cowa and their nitric oxide production and alpha-glucosidase inhibitory activities. J. Nat. Prod. 2020, 83, 164–168. [Google Scholar] [CrossRef] [PubMed]
- Zheng, D.; Zhang, H.; Jiang, J.-M.; Chen, Y.-Y.; Wan, S.-J.; Lin, Z.-X.; Xu, H.-X. Prenylated xanthones and biphenyls from Garcinia esculenta with antistaphylococcal activity. Nat. Prod. Res. 2019, 35, 2137–2144. [Google Scholar] [CrossRef] [PubMed]
- Abderamane, B.; Tih, A.E.; Ghogomu, R.T.; Blond, A.; Bodo, B. New flavonoid C–O–C dimers and other chemical constituents from Garcinia brevipedicellata stem heartwood. Z. Naturforsch. C J. Biosci. 2016, 71, 233–241. [Google Scholar] [CrossRef]
- Akongwi, M.; Tih, A.E.; Nyongbela, K.D.; Samje, M.; Ghogomu, R.T. Brevipedicelones D and E, two C-O-C flavonoid dimers from the leaves of Garcinia brevipedicellata and anti-onchocercal activity. Nat. Prod. Bioprospect. 2019, 9, 61–68. [Google Scholar] [CrossRef]
- Nguyen, T.T.H.; Nguyen, V.T.; Van, C.P.; Nguyen, T.T.; Le, T.T.A.; Mai, H.D.T.; Truong, B.N.; Litaudon, M.; Ninh, T.S. A new flavonoid from the leaves of Garcinia mckeaniana Craib and alpha-glucosidase and acetylcholinesterase inhibitory activities. Nat. Prod. Res. 2022, 36, 5074–5080. [Google Scholar] [CrossRef]
- Fuentes, R.G.; Pearce, K.C.; Du, Y.; Rakotondrafara, A.; Valenciano, A.L.; Cassera, M.B.; Rasamison, V.E.; Crawford, T.D.; Kingston, D.G.I. Phloroglucinols from the roots of Garcinia dauphinensis and their antiproliferative and antiplasmodial activities. J. Nat. Prod. 2018, 82, 431–439. [Google Scholar] [CrossRef]
- Sales, L.; Pezuk, J.A.; Borges, K.S.; Brassesco, M.S.; Scrideli, C.A.; Tone, L.G.; dos Santos, M.H.; Ionta, M.; de Oliveira, J.C. Anticancer activity of 7-epiclusianone, a benzophenone from Garcinia brasiliensis, in glioblastoma. BMC Complement. Altern. Med. 2015, 15, 393. [Google Scholar] [CrossRef]
- Santa-Cecília, F.V.; Freitas, L.A.; Vilela, F.C.; Veloso, C.D.C.; da Rocha, C.Q.; Moreira, M.E.; Dias, D.F.; Giusti-Paiva, A.; dos Santos, M.H. Antinociceptive and anti-inflammatory properties of 7-epiclusianone, a prenylated benzophenone from Garcinia brasiliensis. Eur. J. Pharmacol. 2011, 670, 280–285. [Google Scholar] [CrossRef]
- Santa-Cecília, F.V.; Santos, G.B.; Fuzissaki, C.N.; Derogis, P.B.M.C.; Freitas, L.A.; Gontijo, V.S.; Stringheta, P.C.; Nagem, T.J.; Brigagão, M.R.; Dos Santos, M.H. 7-Epiclusianone, the natural prenylated benzophenone, inhibits superoxide anions in the neutrophil respiratory burst. J. Med. Food 2012, 15, 200–205. [Google Scholar] [CrossRef]
- Neves, J.S.; Coelho, L.P.; Cordeiro, R.S.B.; Veloso, M.P.; Silva, P.M.R.; Santos, M.H.; Martins, M.A. Antianaphylactic properties of 7-epiclusianone, a tetraprenylated benzophenone isolated from Garcinia brasiliensis. Planta Med. 2007, 73, 644–649. [Google Scholar] [CrossRef] [PubMed]
- Nguyen, P.T.; Vo, B.H.; Tran, N.T.; Van, Q.D. Anti-biofilm activity of α-mangostin isolated from Garcinia mangostana L. Z. Naturforsch. C J. Biosci. 2015, 70, 313–318. [Google Scholar] [CrossRef] [PubMed]
- Phuong, N.T.M.; Quang, N.V.; Mai, T.T.; Anh, N.V.; Kuhakarn, C.; Reutrakul, V.; Bolhuis, A. Antibiofilm activity of alpha-mangostin extracted from Garcinia mangostana L. against Staphylococcus aureus. Asian Pac. J. Trop. Med. 2017, 10, 1154–1160. [Google Scholar] [CrossRef] [PubMed]
- Nguyen, P.T.M.; Marquis, R.E. Antimicrobial actions of α-mangostin against oral streptococci. Can. J. Microbiol. 2011, 57, 217–225. [Google Scholar] [CrossRef] [PubMed]
- Nelli, G.B.; Kilari, A.S.; Kilari, E.K. Antidiabetic effect of α-mangostin and its protective role in sexual dysfunction of streptozotocin induced diabetic male rats. Syst. Biol. Reprod. Med. 2013, 59, 319–328. [Google Scholar] [CrossRef] [PubMed]
- Oluwatosin, A.; Tolulope, A.; Ayokulehin, K.; Patricia, O.; Aderemi, K.; Catherine, F.; Olusegun, A. Antimalarial potential of kolaviron, a biflavonoid from Garcinia kola seeds, against Plasmodium berghei infection in Swiss albino mice. Asian Pac. J. Trop. Med. 2014, 7, 97–104. [Google Scholar] [CrossRef]
- Li, D.-H.; Li, C.-X.; Jia, C.-C.; Sun, Y.-T.; Xue, C.-M.; Bai, J.; Hua, H.-M.; Liu, X.-Q.; Li, Z.-L. Xanthones from Garcinia paucinervis with in vitro anti-proliferative activity against HL-60 cells. Arch. Pharmacal Res. 2015, 39, 172–177. [Google Scholar] [CrossRef]
- Jia, C.; Xue, J.; Li, X.; Li, D.; Li, Z.; Hua, H. New depsidone and dichromone from the stems of Garcinia paucinervis with antiproliferative activity. J. Nat. Med. 2018, 73, 278–282. [Google Scholar] [CrossRef]
- Jia, C.; Han, T.; Xu, J.; Li, S.; Sun, Y.; Li, D.; Li, Z.; Hua, H. A new biflavonoid and a new triterpene from the leaves of Garcinia paucinervis and their biological activities. J. Nat. Med. 2017, 71, 642–649. [Google Scholar] [CrossRef]
- Jia, C.-C.; Xue, J.-J.; Gong, C.; Li, X.-Y.; Li, D.-H.; Li, Z.-L.; Hua, H.-M. Chiral resolution and anticancer effect of xanthones from Garcinia paucinervis. Fitoterapia 2018, 127, 220–225. [Google Scholar] [CrossRef] [PubMed]
- Niu, S.-L.; Li, Z.-L.; Ji, F.; Liu, G.-Y.; Zhao, N.; Liu, X.-Q.; Jing, Y.-K.; Hua, H.-M. Xanthones from the stem bark of Garcinia bracteata with growth inhibitory effects against HL-60 cells. Phytochemistry 2012, 77, 280–286. [Google Scholar] [CrossRef] [PubMed]
- Niu, S.-L.; Li, D.-H.; Li, X.-Y.; Wang, Y.-T.; Li, S.-G.; Bai, J.; Pei, Y.-H.; Jing, Y.-K.; Li, Z.-L.; Hua, H.-M. Bioassay- and chemistry-guided isolation of scalemic caged prenylxanthones from the leaves of Garcinia bracteata. J. Nat. Prod. 2018, 81, 749–757. [Google Scholar] [CrossRef] [PubMed]
- Niu, S.-L.; Li, D.-H.; Wang, Y.-T.; Wang, K.-B.; Lin, B.; Jing, Y.-K.; Hua, H.-M.; Bai, J.; Li, Z.-L. Neobraclactones A–C, three unprecedented chaise longue-shaped xanthones from Garcinia bracteata. Org. Biomol. Chem. 2017, 15, 4901–4906. [Google Scholar] [CrossRef] [PubMed]
- Sun, Y.; Li, D.; Jia, C.; Xue, C.; Bai, J.; Li, Z.; Hua, H. Three new xanthones from the leaves of Garcinia lancilimba. J. Nat. Med. 2015, 70, 173–178. [Google Scholar] [CrossRef] [PubMed]
- Liu, X.-J.; Hu, X.; Peng, X.-H.; Wang, Y.-T.; Huang, X.-F.; Zan, Y.-H.; Li, D.-H.; Li, Z.-L.; Hua, H.-M. Polyprenylated xanthones from the twigs and leaves of Garcinia nujiangensis and their cytotoxic evaluation. Bioorganic Chem. 2019, 94, 103370. [Google Scholar] [CrossRef] [PubMed]
- Jing, W.-Y.; Jiang, C.; Ji, F.; Hua, H.-M.; Li, Z.-L. Chemical constituents from the stem barks of Garcinia multiflora. J. Asian Nat. Prod. Res. 2013, 15, 1152–1157. [Google Scholar] [CrossRef] [PubMed]
- Ji, F.; Li, Z.; Liu, G.; Niu, S.; Zhao, N.; Liu, X.; Hua, H. Xanthones with antiproliferative effects on prostate cancer cells from the stem bark of Garcinia xanthochymus. Nat. Prod. Commun. 2012, 7, 53–56. [Google Scholar] [CrossRef] [PubMed]
- Wang, L.-L.; Li, Z.-L.; Song, D.-D.; Sun, L.; Pei, Y.-H.; Jing, Y.-K.; Hua, H.-M. Two novel triterpenoids with antiproliferative and apoptotic activities in human leukemia cells isolated from the resin of Garcinia hanburyi. Planta Medica 2008, 74, 1735–1740. [Google Scholar] [CrossRef]
- Wang, L.L.; Li, Z.L.; Xu, Y.P.; Liu, X.Q.; Pei, Y.H.; Jing, Y.K.; Hua, H.M. A new cytotoxic caged polyprenylated xanthone from the resin of Garcinia hanburyi. Chin. Chem. Lett. 2008, 19, 1221–1223. [Google Scholar] [CrossRef]
- Yang, J.; Fu, W.; Xiang, Q.; Tang, Y.; Wu, R.; Zheng, C.; Lu, Y.; Zhou, H.; Xu, H. Cytotoxic xanthone derivatives from the twigs of Garcinia oligantha. Phytochemistry 2020, 174, 112329. [Google Scholar] [CrossRef]
- Yang, J.; Fu, W.; Xiang, Q.; Wu, R.; Tang, Y.; Zheng, C.; Lu, Y.; Zhou, H.; Xu, H. Cytotoxic 7-methoxylated caged xanthones from the twigs of Garcinia oligantha. Chin. J. Chem. 2021, 39, 2898–2910. [Google Scholar] [CrossRef]
- Jiang, Y.; Xiao, L.; Fu, W.; Tang, Y.; Lertnimitphun, P.; Kim, N.; Zheng, C.; Tan, H.; Lu, Y.; Xu, H. Gaudichaudione H inhibits inflammatory responses in macrophages and dextran sodium sulfate-induced colitis in mice. Front. Pharmacol. 2020, 10, 1561. [Google Scholar] [CrossRef] [PubMed]
- Liu, Z.; Jiang, W.; Deng, Z.W.; Lin, W.H. Assignment of the absolute stereochemistry of an unusual diterpenoid from the mangrove plant Excoecaria agallocha L. J. Chinese Pharm. Sci. 2010, 19, 387–392. [Google Scholar] [CrossRef]
- Esposito, F.; Sanna, C.; Del Vecchio, C.; Cannas, V.; Venditti, A.; Corona, A.; Bianco, A.; Serrilli, A.M.; Guarcini, L.; Parolin, C.; et al. Hypericum hircinum L. components as new single-molecule inhibitors of both HIV-1 reverse transcriptase-associated DNA polymerase and ribonuclease H activities. Pathog. Dis. 2013, 68, 116–124. [Google Scholar] [CrossRef] [PubMed]
- Tung, N.H.; Kwon, H.-J.; Kim, J.-H.; Ra, J.C.; Kim, J.A.; Kim, Y.H. An anti-influenza component of the bark of Alnus japonica. Arch. Pharmacal Res. 2010, 33, 363–367. [Google Scholar] [CrossRef] [PubMed]
- Lu, L.; Zhang, H.; Liu, J.; Liu, Y.; Wang, Y.; Xu, S.; Zhu, Z.; Xu, J. Synthesis, biological evaluation and mechanism studies of C-23 modified 23-hydroxybetulinic acid derivatives as anticancer agents. Eur. J. Med. Chem. 2019, 182, 111659. [Google Scholar] [CrossRef] [PubMed]
- Feng, X.R.; Li, X.B.; Luu, T.T.T.; Wang, M.Y. Liposoluble constituents of Urticae Rhizoma. Chin. Pharm. J. 2017, 52, 1217–1222. [Google Scholar]
- Zhang, Y.-B.; Li, W.; Zhang, Z.-M.; Chen, N.-H.; Zhang, X.-Q.; Jiang, J.-W.; Wang, G.-C.; Li, Y.-L. Two new triterpenoids from the roots of Rhodomyrtus tomentosa. Chem. Lett. 2016, 45, 368–370. [Google Scholar] [CrossRef]
- Higuchi, R.; Toshio, T. Pericarp saponins of Akebia quinata Decne. II. Arjunolic and norarjunolic acids, and their glycosides. Chem. Pharm. Bull. 1976, 24, 1314–1323. [Google Scholar] [CrossRef]
- Chaudhuri, P.K.; Singh, D. A new triterpenoid from the rhizomes of Nelumbo nucifera. Nat. Prod. Res. 2013, 27, 532–536. [Google Scholar] [CrossRef]
- Bisoli, E.; Freire, T.V.; Yoshida, N.C.; Garcez, W.S.; Queiroz, L.M.M.; Matos, M.F.C.; Perdomo, R.T.; Garcez, F.R. Cytotoxic phenanthrene, dihydrophenanthrene, and dihydrostilbene derivatives and other aromatic compounds from Combretum laxum. Molecules 2020, 25, 3154. [Google Scholar] [CrossRef] [PubMed]
- King, F.E.; King, T.J.; Ross, J.M. The chemistry of extractives from hardwoods. Part XVIII. The constitution of arjunolic acid, a triterpene from Terminalia arjuna. J. Chem. Soc. 1954, 29, 3995–4003. [Google Scholar] [CrossRef]
- Yoshikawa, K.; Kondo, Y.; Kimura, E.; Arihara, S. A lupane-triterpene and a 3(2→1) abeolupane glucoside from Hovenia trichocarea. Phytochemistry 1998, 49, 2057–2060. [Google Scholar] [CrossRef]
- Ge, Y. Studies on Chemical Constituents and Pharmacological Activity of the Leaves of Forsythia suspensa (Thunb.). Master’s Thesis, Hebei Medical University, Hebei Province, China, 2014. [Google Scholar]
- Forestrania, R.C.; Anaya-Eugenio, G.D.; Acuña, U.M.; Ren, Y.; Elya, B.; de Blanco, E.C. Secondary metabolites from Garcinia daedalanthera Pierre leaves (Clusiaceae). Nat. Prod. Res. 2020, 36, 207–213. [Google Scholar] [CrossRef] [PubMed]
- Hu, X.; Gao, X.; Gao, G.; Wang, Y.B.; Cao, H.; Li, D.H.; Hua, H.M. Discovery of beta-carboline-(phenylsulfonyl)furoxan hybrids as potential anti-breast cancer agents. Bioorg. Med. Chem. Lett. 2021, 40, 127952–127964. [Google Scholar] [CrossRef] [PubMed]

) correlations of 1–5.
) correlations of 1–5.
| No. | 1 a | 2 a | 3 b | 4 b | 5 b |
|---|---|---|---|---|---|
| 1 | 2.04, dd (12.4, 4.7) | 2.07, m | 1.96, m | 2.02, dd (12.6, 4.8) | 2.04, m |
| 1.02, d (11.5) | 1.01, m | 0.91, m | 0.83, t (12.0) | ||
| 2 | 5.23, td (10.7, 4.9) | 3.86, m | 5.01, td (10.8, 4.2) | 3.68, td (9.7, 4.8) | 5.01, td (10.1, 4.2) |
| 3 | 4.91, d (10.7) | 4.80, d (10.1) | 3.61, d (10.8) | 3.25, d (9.7) | 3.50, d (10.1) |
| 5 | 1.49, m | 1.27, m | 1.33, m | 1.17, m | 1.20, d (12.0) |
| 6 | 1.53, m | 1.40, m | 1.48, m | 1.40, m | 1.42, m |
| 7 | 1.32, m | 1.39, m | 1.60, m | 1.38, m | 1.39, m |
| 1.26, m | 1.30, m | 1.29, m | |||
| 9 | 1.69, m | 1.66, m | 1.70, m | 1.42, m | 1.42, m |
| 11 | 1.85, m | 1.93, m | 1.94, m | 1.48, m | 1.40, m |
| 1.60, m | 1.31, dd (12.9, 4.7) | 1.30, dd (12.6, 4.5) | |||
| 12 | 5.26, t (3.8) | 5.28, t, (3.4) | 5.23, br s | 1.75, m | 1.73, d (13.0) |
| 1.09, dd (13.2, 4.7) | 1.07, m | ||||
| 13 | 2.33, td (12.7, 3.1) | 2.34, t (11.4) | |||
| 15 | 1.70, m | 1.70, m | 1.80, m | 1.54, td (13.1, 3.3) | 1.55, td (13.2, 4.1) |
| 1.07, m | 1.05, m | 1.07, m | 1.17, m | 1.16, m | |
| 16 | 1.96, m | 1.93, m | 1.96, m | 2.24, dt (12.6, 2.7) | 2.24, dt (12.8, 2.8) |
| 1.61, m | 1.61, m | 1.88, m | 1.42, m | 1.11, m | |
| 18 | 2.81, dd (13.8, 3.7) | 2.82, dd (13.4, 3.9) | 2.87, d (12.7) | 1.62, t (11.5) | 1.62, t (11.3) |
| 19 | 1.59, m | 1.61, m | 1.66, m | 3.03, td (10.8, 4.6) | 3.03, m |
| 1.14, m | 1.17, m | 1.11, m | |||
| 21 | 1.34, m | 1.34, m | 1.38, m | 1.92, m | 1.92, m |
| 1.21, m | 1.21, m | 1.20, m | 1.40, m | 1.40, m | |
| 22 | 1.76, m | 1.76, m | 1.74, m | 1.91, m | 1.90, m |
| 1.55, m | 1.56, m | 1.52, m | 1.45, m | 1.45, m | |
| 23 | 3.37, d (12.5) | 3.82, d (12.1) | 3.51, d (10.8) | 3.93, s | 3.95, s |
| 2.89, d (12.7) | 3.65, d (12.0) | 3.28, d (11.1) | |||
| 24 | 0.72, s | 0.84, s | 0.73, s | 0.75, s | 0.80, s |
| 25 | 1.08, s | 1.01, s | 1.08, s | 0.96, s | 1.01, s |
| 26 | 0.74, s | 0.74, s | 0.84, s | 0.97, s | 0.97, s |
| 27 | 1.13, s | 1.12, s | 1.17, s | 1.01, s | 1.01, s |
| 29 | 0.90, s | 0.90, s | 0.90, s | 4.72, d (2.2) | 4.71, s |
| 4.60, br s | 4.59, s | ||||
| 30 | 0.92, s | 0.92, s | 0.94, s | 1.70, s | 1.70, s |
| 32 | 2.08, s | 2.08, s | 2.05, s | 2.06, s | 2.07, s |
| 34 | 2.00, s | 2.11, s | 2.04, s |
| No. | 1 a | 2 a | 3 b | 4 b | 5 b | No. | 1 a | 2 a | 3 b | 4 b | 5 b |
|---|---|---|---|---|---|---|---|---|---|---|---|
| 1 | 43.9 | 47.5 | 44.7 | 48.2 | 45.0 | 18 | 41.0 | 41.0 | 42.9 | 50.4 | 50.4 |
| 2 | 69.6 | 67.6 | 74.2 | 69.5 | 73.9 | 19 | 46.0 | 45.9 | 47.5 | 48.5 | 48.5 |
| 3 | 76.3 | 79.0 | 74.6 | 77.7 | 74.5 | 20 | 30.8 | 30.8 | 31.7 | 152.0 | 152.0 |
| 4 | 43.7 | 42.1 | 44.6 | 43.5 | 43.9 | 21 | 33.9 | 33.9 | 35.0 | 31.7 | 31.8 |
| 5 | 46.4 | 47.8 | 47.9 | 49.3 | 49.6 | 22 | 32.2 | 32.5 | 34.0 | 38.2 | 38.2 |
| 6 | 17.8 | 18.1 | 19.0 | 19.2 | 19.2 | 23 | 64.6 | 65.5 | 65.6 | 67.0 | 66.7 |
| 7 | 32.5 | 32.3 | 33.3 | 35.2 | 35.1 | 24 | 13.8 | 14.0 | 13.8 | 13.6 | 13.5 |
| 8 | 39.5 | 39.4 | 40.6 | 42.0 | 42.0 | 25 | 17.2 | 17.1 | 17.3 | 18.3 | 18.1 |
| 9 | 47.6 | 47.9 | 49.6 | 52.1 | 52.0 | 26 | 17.2 | 17.2 | 17.8 | 16.6 | 16.6 |
| 10 | 38.2 | 38.1 | 39.2 | 39.2 | 39.6 | 27 | 26.1 | 26.0 | 26.5 | 15.0 | 15.0 |
| 11 | 23.6 | 23.6 | 24.2 | 22.2 | 22.3 | 28 | 183.6 | 183.9 | -c | 180.2 | 180.3 |
| 12 | 122.2 | 122.4 | 123.1 | 26.8 | 26.8 | 29 | 33.2 | 33.2 | 33.6 | 110.2 | 110.2 |
| 13 | 144.0 | 143.8 | 145.7 | 39.6 | 39.4 | 30 | 23.7 | 23.7 | 24.1 | 19.5 | 19.6 |
| 14 | 41.8 | 41.7 | 43.1 | 43.6 | 43.6 | 31 | 170.6 | 171.0 | 173.0 | 172.7 | 172.6 |
| 15 | 27.7 | 27.7 | 28.9 | 30.8 | 30.8 | 32 | 21.3 | 21.0 | 21.3 | 20.8 | 20.8 |
| 16 | 23.0 | 22.9 | 24.6 | 33.4 | 33.4 | 33 | 172.8 | 172.3 | 172.9 | ||
| 17 | 46.6 | 46.6 | 30.8 | 57.5 | 57.6 | 34 | 20.9 | 21.2 | 21.3 |
| Compound | Cell lines and IC50 (μM) | ||
|---|---|---|---|
| HeLa | HepG-2 | MCF-7 | |
| 1 | 17.35 ± 0.58 | 16.76 ± 0.95 | 15.12 ± 1.06 |
| 2 | 16.96 ± 1.24 | 13.77 ± 1.15 | 21.55 ± 0.59 |
| 3 | >50 | >50 | >50 |
| 4 | 26.06 ± 1.72 | 24.18 ± 1.01 | >50 |
| 5 | 19.62 ± 1.92 | >50 | 13.22 ± 1.24 |
| 6 | >50 | >50 | >50 |
| 7 | >50 | >50 | >50 |
| 8 | 5.04 ± 0.15 | 9.76 ± 0.96 | 8.94 ± 0.70 |
| 9 | 13.88 ± 0.21 | >50 | 13.46 ± 1.26 |
| 10 | 40.58 ± 0.36 | 35.24 ± 0.88 | >50 |
| 11 | 17.51 ± 0.73 | 12.80 ± 1.04 | 13.27 ± 0.42 |
| Doxorubicin | 2.19 ± 0.08 | 1.72 ± 0.19 | 1.55 ± 0.09 |
Disclaimer/Publisher’s Note: The statements, opinions and data contained in all publications are solely those of the individual author(s) and contributor(s) and not of MDPI and/or the editor(s). MDPI and/or the editor(s) disclaim responsibility for any injury to people or property resulting from any ideas, methods, instructions or products referred to in the content. |
© 2023 by the authors. Licensee MDPI, Basel, Switzerland. This article is an open access article distributed under the terms and conditions of the Creative Commons Attribution (CC BY) license (https://creativecommons.org/licenses/by/4.0/).
Share and Cite
Peng, X.; Wang, C.; Hou, Y.; Tian, J.; Fan, X.; Li, D.; Hua, H. Triterpene Derivatives from Garcinia oligantha and Their Anti-Cancer Activity. Plants 2023, 12, 192. https://doi.org/10.3390/plants12010192
Peng X, Wang C, Hou Y, Tian J, Fan X, Li D, Hua H. Triterpene Derivatives from Garcinia oligantha and Their Anti-Cancer Activity. Plants. 2023; 12(1):192. https://doi.org/10.3390/plants12010192
Chicago/Turabian StylePeng, Xiaohui, Chao Wang, Yonglian Hou, Jiamei Tian, Xiaojie Fan, Dahong Li, and Huiming Hua. 2023. "Triterpene Derivatives from Garcinia oligantha and Their Anti-Cancer Activity" Plants 12, no. 1: 192. https://doi.org/10.3390/plants12010192
APA StylePeng, X., Wang, C., Hou, Y., Tian, J., Fan, X., Li, D., & Hua, H. (2023). Triterpene Derivatives from Garcinia oligantha and Their Anti-Cancer Activity. Plants, 12(1), 192. https://doi.org/10.3390/plants12010192
