Tissue-Specific Profiling of Biflavonoids in Ginkgo (Ginkgo biloba L.)
Abstract
1. Introduction
2. Results
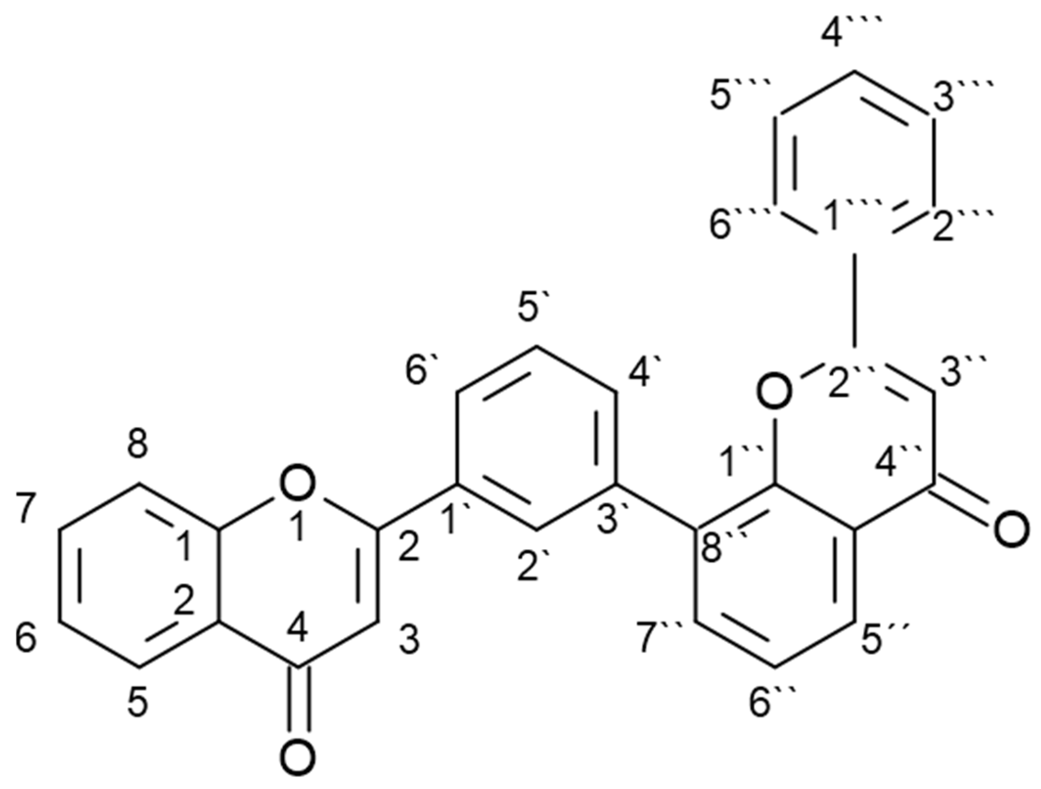
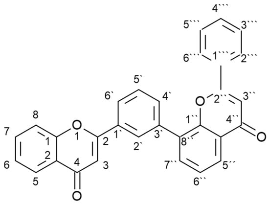
2.1. Chemical Differences and Method for Biflavonoids Analysis
2.2. Tissue-Specific Biflavonoids Profiling
3. Discussion
4. Materials and Methods
4.1. Materials and Plant Samples
4.2. Preparation of Standard Solutions
4.3. Biflavonoids Extraction
4.4. HPLC-DAD Analysis
4.5. Statistical Analysis
5. Conclusions
Author Contributions
Funding
Institutional Review Board Statement
Informed Consent Statement
Data Availability Statement
Conflicts of Interest
References
- Šamec, D.; Karalija, E.; Šola, I.; Vujčić Bok, V.; Salopek-Sondi, B. The Role of Polyphenols in Abiotic Stress Response: The Influence of Molecular Structure. Plants 2021, 10, 118. [Google Scholar] [CrossRef]
- Jurinjak Tušek, A.; Šamec, D.; Šalić, A. Modern Techniques for Flavonoid Extraction—To Optimize or Not to Optimize? Appl. Sci. 2022, 12, 11865. [Google Scholar] [CrossRef]
- Šamec, D.; Karalija, E.; Dahija, S.; Hassan, S.T.S. Biflavonoids: Important Contributions to the Health Benefits of Ginkgo (Ginkgo Biloba L.). Plants 2022, 11, 1381. [Google Scholar] [CrossRef]
- He, X.; Yang, F.; Huang, X. Proceedings of Chemistry, Pharmacology, Pharmacokinetics and Synthesis of Biflavonoids. Molecules 2021, 26, 6088. [Google Scholar] [CrossRef] [PubMed]
- Zou, Z.-X.; Zhang, S.; Tan, J.-B.; Chen, D.-K.; Xu, Y.-R.; Xu, K.-P.; Tan, G.-S. Two New Biflavonoids from Selaginella Doederleinii. Phytochem. Lett. 2020, 40, 126–129. [Google Scholar] [CrossRef]
- Berghöfer, R.; Hölzl, J. Biflavonoids in Hypericum Perforatum 1; Part 1. Isolation of I3, II8-Biapigenin. Planta Med. 1987, 53, 216–217. [Google Scholar] [CrossRef] [PubMed]
- Beck, S.; Stengel, J. Mass Spectrometric Imaging of Flavonoid Glycosides and Biflavonoids in Ginkgo Biloba L. Phytochemistry 2016, 130, 201–206. [Google Scholar] [CrossRef] [PubMed]
- Šamec, D.; Pierz, V.; Srividya, N.; Wüst, M.; Lange, B.M. Assessing Chemical Diversity in (Psilotum Nudum L.) Beauv., a Pantropical Whisk Fern That Has Lost Many of Its Fern-Like Characters. Front. Plant Sci. 2019, 10, 868. [Google Scholar] [CrossRef]
- Aguilar, M.I.; Romero, M.G.; Chávez, M.I.; King-Díaz, B.; Lotina-Hennsen, B. Biflavonoids Isolated from Selaginella Lepidophylla Inhibit Photosynthesis in Spinach Chloroplasts. J. Agric. Food Chem. 2008, 56, 6994–7000. [Google Scholar] [CrossRef]
- Liu, L.; Wang, Y.; Zhang, J.; Wang, S. Advances in the Chemical Constituents and Chemical Analysis of Ginkgo Biloba Leaf, Extract, and Phytopharmaceuticals. J. Pharm. Biomed. Anal. 2021, 193, 113704. [Google Scholar] [CrossRef]
- Barker, C.S.; Elston, D.M. Botanical Briefs: Ginkgo (Ginkgo Biloba). Cutis 2022, 110, 30–33. [Google Scholar] [CrossRef]
- Ude, C.; Schubert-Zsilavecz, M.; Wurglics, M. Ginkgo Biloba Extracts: A Review of the Pharmacokinetics of the Active Ingredients. Clin. Pharmacokinet. 2013, 52, 727–749. [Google Scholar] [CrossRef] [PubMed]
- Petrov, L.; Alexandrova, A.; Argirova, M.; Tomova, T.; Georgieva, A.; Tsvetanova, E.; Mileva, M. Chromatographic Profile and Redox-Modulating Capacity of Methanol Extract from Seeds of Ginkgo Biloba L. Originating from Plovdiv Region in Bulgaria. Life 2022, 12, 878. [Google Scholar] [CrossRef]
- Zhang, L.; Zhu, C.; Liu, X.; Su, E.; Cao, F.; Zhao, L. Study on Synergistic Antioxidant Effect of Typical Functional Components of Hydroethanolic Leaf Extract from Ginkgo Biloba In Vitro. Molecules 2022, 27, 439. [Google Scholar] [CrossRef] [PubMed]
- Xu, N.; Liu, S.; Lu, Z.; Pang, S.; Wang, L.; Wang, L.; Li, W. Gene Expression Profiles and Flavonoid Accumulation during Salt Stress in Ginkgo Biloba Seedlings. Plants 2020, 9, 1162. [Google Scholar] [CrossRef] [PubMed]
- Liu, X.-G.; Wu, S.-Q.; Li, P.; Yang, H. Advancement in the Chemical Analysis and Quality Control of Flavonoid in Ginkgo Biloba. J. Pharm. Biomed. Anal. 2015, 113, 212–225. [Google Scholar] [CrossRef]
- Official Journal of the European Union. (Notified under Document Number C (2007) 1547); Official Journal of the European Union: Luxembourg, 2017; Volume 66, pp. 1–44. [Google Scholar]
- Moawad, A.; Amir, D. Ginkgetin or Isoginkgetin: The Dimethylamentoflavone of Dioon Edule Lindl. Leaves. Eur. J. Med. Plants 2016, 16, 1–7. [Google Scholar] [CrossRef]
- Briançon-Scheid, F.; Lobstein-Guth, A.; Anton, R. HPLC Separation and Quantitative Determination of Biflavones in Leaves from Ginkgo Biloba. Planta Med. 1983, 49, 204–207. [Google Scholar] [CrossRef] [PubMed]
- Kaur, P.; Chaudhary, A.; Singh, B. Gopichand Simultaneous Quantification of Flavonoids and Biflavonoids in Ginkgo Biloba Using RP-HPTLC Densitometry Method. J. Planar Chromatogr. Mod. TLC 2011, 24, 507–512. [Google Scholar] [CrossRef]
- Lei, J.; Jiang, Y.; Luo, X.; Zheng, Y.; Zhu, L.; Sun, C.; Linghu, L.; Qin, C.; Gang, W. Ultrasonic-Assisted Ionic Liquid Extraction of Four Biflavonoids from Ginkgo Biloba L. Chem. Sel. 2021, 6, 3297–3307. [Google Scholar] [CrossRef]
- Wang, L.-T.; Fan, X.-H.; Jian, Y.; Dong, M.-Z.; Yang, Q.; Meng, D.; Fu, Y.-J. A Sensitive and Selective Multiple Reaction Monitoring Mass Spectrometry Method for Simultaneous Quantification of Flavonol Glycoside, Terpene Lactones, and Biflavonoids in Ginkgo Biloba Leaves. J. Pharm. Biomed. Anal. 2019, 170, 335–340. [Google Scholar] [CrossRef] [PubMed]
- Pandey, R.; Chandra, P.; Arya, K.R.; Kumar, B. Development and Validation of an Ultra High Performance Liquid Chromatography Electrospray Ionization Tandem Mass Spectrometry Method for the Simultaneous Determination of Selected Flavonoids in Ginkgo Biloba. J. Sep. Sci. 2014, 37, 3610–3618. [Google Scholar] [CrossRef]
- Chen, X.; Zhong, W.; Shu, C.; Yang, H.; Li, E. Comparative Analysis of Chemical Constituents and Bioactivities of the Extracts from Leaves, Seed Coats and Embryoids of Ginkgo Biloba L. Nat. Prod. Res. 2021, 35, 5498–5501. [Google Scholar] [CrossRef] [PubMed]
- Shen, N.; Liu, Y.; Cui, Y.; Xin, H. Large-Scale Targetedly Isolation of Biflavonoids with High Purity from Industrial Waste Ginkgo Biloba Exocarp Using Two-Dimensional Chromatography Coupled with Macroporous Adsorption Resin Enrichment. Ind. Crops Prod. 2022, 175, 114264. [Google Scholar] [CrossRef]
- Alarcón, A.B.; Cuesta-Rubio, O.; Pérez, J.C.; Piccinelli, A.L.; Rastrelli, L. Constituents of the Cuban Endemic Species Calophyllum Pinetorum. J. Nat. Prod. 2008, 71, 1283–1286. [Google Scholar] [CrossRef] [PubMed]
- Ndongo, J.T.; Issa, M.E.; Messi, A.N.; Ngo Mbing, J.; Cuendet, M.; Pegnyemb, D.E.; Bochet, C.G. Cytotoxic Flavonoids and Other Constituents from the Stem Bark of Ochna Schweinfurthiana. Nat. Prod. Res. 2015, 29, 1684–1687. [Google Scholar] [CrossRef]
- Doan, T.T.A.; Nguyen, T.L.; Litaudon, M.; Phi, T.D.; Le, H.T.; Doan, T.M.H.; Pham, V.C. Three New D:A Friedo-Oleanane Triterpenes from the Stem Bark of Anacolosa Poilanei and Their Cytotoxic Activities. Phytochem. Lett. 2022, 47, 125–129. [Google Scholar] [CrossRef]
- Hwang, J.H.; Choi, H.; Woo, E.R.; Lee, D.G. Antibacterial Effect of Amentoflavone and Its Synergistic Effect with Antibiotics. J. Microbiol. Biotechnol. 2013, 23, 953–958. [Google Scholar] [CrossRef]
- Shen, X.; Niu, X.; Li, G.; Deng, X.; Wang, J. Amentoflavone Ameliorates Streptococcus Suis-Induced Infection In Vitro and In Vivo. Appl. Environ. Microbiol. 2018, 84, e01804-18. [Google Scholar] [CrossRef]
- Tasdemir, D.; Kaiser, M.; Brun, R.; Yardley, V.; Schmidt, T.J.; Tosun, F.; Rüedi, P. Antitrypanosomal and Antileishmanial Activities of Flavonoids and Their Analogues: In Vitro, In Vivo, Structure-Activity Relationship, and Quantitative Structure-Activity Relationship Studies. Antimicrob. Agents Chemother. 2006, 50, 1352–1364. [Google Scholar] [CrossRef]
- Rizk, Y.S.; Santos-Pereira, S.; Gervazoni, L.; Hardoim, D.D.; Cardoso, F.D.; de Souza, C.D.; Pelajo-Machado, M.; Carollo, C.A.; de Arruda, C.C.P.; Almeida-Amaral, E.E.; et al. Amentoflavone as an Ally in the Treatment of Cutaneous Leishmaniasis: Analysis of Its Antioxidant/Prooxidant Mechanisms. Front. Cell. Infect. Microbiol. 2021, 11, 615814. [Google Scholar] [CrossRef] [PubMed]
- Rizk, Y.S.; Hardoim, D.D.; Santos, K.B.A.; Zaverucha-do-Valle, T.; Taniwaki, N.N.; Almeida-Souza, F.; Carollo, C.A.; Vannier-Santos, M.A.; de Arruda, C.C.; da Silva Calabrese, K. Amentoflavone Isolated from Selaginella Sellowii Hieron Induces Mitochondrial Dysfunction in Leishmania Amazonensis Promastigotes. Parasitol. Int. 2022, 86, 102458. [Google Scholar] [CrossRef] [PubMed]
- Hammer, O.; Harper, A.A.T.; David, A.T.; Ryan, P.D. PAST: Paleontological statistics software package for education and data analysis. Palaeontol. Electron. 2001, 4, 1–9. [Google Scholar]








| Compound | Retention Time (min) | Characteristic UV Spectrum | Maximum UV Apsorption (nm) |
|---|---|---|---|
| Amentoflavone | 19.634 | ![]() | 196, 226, 268, 336 |
| Bilobetin | 20.832 | ![]() | 196, 230, 270, 334 |
| Ginkgetin | 22.951 | ![]() | 196, 228, 270, 332 |
| Isoginkgetin | 23.321 | ![]() | 196, 228, 270, 330 |
| Sciadopitysin | 28.654 | ![]() | 194, 232, 270, 330 |
| Analyte | Wavelength nm | Curve Equation | R2 | LOD µg/mL | LOQ µg/mL |
|---|---|---|---|---|---|
| Amentoflavone | 330 | y = 36.7275x − 51.0679 | 0.99504 | 0.30 | 1.0 |
| Bilobetin | 330 | y = 23.2259x − 33.033 | 0.99758 | 0.30 | 1.0 |
| Ginkgetin | 330 | y = 54.6868x − 74.7767 | 0.99765 | 0.30 | 1.0 |
| Isoginkgetin | 330 | y = 44.1283x − 51.4203 | 0.99775 | 0.30 | 1.0 |
| Sciadopitysin | 330 | y = 49.3575x − 59.0710 | 0.99806 | 0.30 | 1.0 |
Disclaimer/Publisher’s Note: The statements, opinions and data contained in all publications are solely those of the individual author(s) and contributor(s) and not of MDPI and/or the editor(s). MDPI and/or the editor(s) disclaim responsibility for any injury to people or property resulting from any ideas, methods, instructions or products referred to in the content. |
© 2022 by the authors. Licensee MDPI, Basel, Switzerland. This article is an open access article distributed under the terms and conditions of the Creative Commons Attribution (CC BY) license (https://creativecommons.org/licenses/by/4.0/).
Share and Cite
Kovač Tomas, M.; Jurčević, I.; Šamec, D. Tissue-Specific Profiling of Biflavonoids in Ginkgo (Ginkgo biloba L.). Plants 2023, 12, 147. https://doi.org/10.3390/plants12010147
Kovač Tomas M, Jurčević I, Šamec D. Tissue-Specific Profiling of Biflavonoids in Ginkgo (Ginkgo biloba L.). Plants. 2023; 12(1):147. https://doi.org/10.3390/plants12010147
Chicago/Turabian StyleKovač Tomas, Marija, Iva Jurčević, and Dunja Šamec. 2023. "Tissue-Specific Profiling of Biflavonoids in Ginkgo (Ginkgo biloba L.)" Plants 12, no. 1: 147. https://doi.org/10.3390/plants12010147
APA StyleKovač Tomas, M., Jurčević, I., & Šamec, D. (2023). Tissue-Specific Profiling of Biflavonoids in Ginkgo (Ginkgo biloba L.). Plants, 12(1), 147. https://doi.org/10.3390/plants12010147





