Recovery from Salinity and Drought Stress in the Perennial Sarcocornia fruticosa vs. the Annual Salicornia europaea and S. veneta
Abstract
:1. Introduction
2. Results
2.1. Substrate Electric Conductivity and Moisture
2.2. Plant Growth
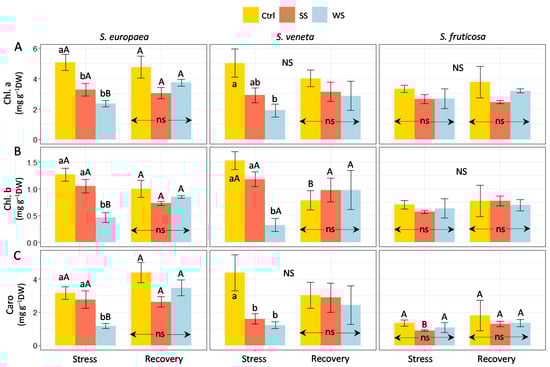
2.3. Photosynthetic Pigments
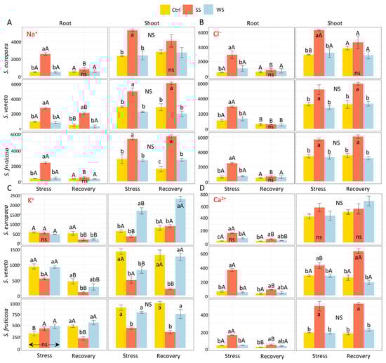
2.4. Ion Accumulation
2.5. Osmolytes, Oxidative Stress Markers and Antioxidants
2.6. Physiological Traits Relationships and Results of the Multivariate Analysis
3. Discussion
4. Materials and Methods
4.1. Plant Material
4.2. Experimental Design and Stress Treatments
4.3. Plant Growth
4.4. Photosynthetic Pigments
4.5. Ion Quantification
4.6. Quantification of Osmolytes
4.7. Determination of Oxidative Stress Markers and Antioxidant Compounds
4.8. Statistical Analysis
5. Conclusions
Supplementary Materials
Author Contributions
Funding
Institutional Review Board Statement
Informed Consent Statement
Data Availability Statement
Conflicts of Interest
References
- United Nations. Transforming Our World: The 2030 Agenda for Sustainable Development; Springer: New York, NY, USA, 2015. [Google Scholar]
- Bongaarts, J.; FAO; IFAD; UNICEF; WFP; WHO. The State of Food Security and Nutrition in the World 2020. In Tranforming Food Systems for Affordable Healty Diets; FAO: Rome, Italy, 2020; ISBN 9789251329016. [Google Scholar]
- United Nations, Department of Economic and Social Affairs, Population Division. World Urbanization Prospects: The 2018 Revision; United Nations: New York, NY, USA, 2019; ISBN 9789211483192. [Google Scholar]
- Cuttelod, A.; García, N.; Malak, D.A.; Templeand, H.; Vineet, K. The Mediterranean: A Biodiversity Hotspot under Threat. In The 2008 Review of The IUCN Red List of Threatened Species; Vié, J.-C., Hilton-Taylor, C., Stuart, S.N., Eds.; IUCN: Gland, Switzerland, 2019. [Google Scholar]
- Stocker, T.F.; Qin, D.; Plattner, G.-K.; Tignor, M.; Allen, S.K.; Boschung, J.; Nauels, A.; Xia, Y.; Bex, V.; Midgley, P.M. IPCC, 2013: Climate Change 2013: The Physical Science Basis. In Contribution of Working Group I to the Fifth Assessment Report of the Intergovernmental Panel on Climate Change; Cambridge University Press: Cambridge, UK; New York, NY, USA, 2013. [Google Scholar]
- Rosa, R.; Marques, A.; Nunes, M.L. Impact of climate change in Mediterranean aquaculture. Rev. Aquac. 2012, 4, 163–177. [Google Scholar] [CrossRef]
- World Bank Group. Climate-Smart Agriculture Indicators; World Bank: Washington, DC, USA, 2016. [Google Scholar]
- Food and Agriculture Organization of the United Nations. Strategic Framework 2022-31; FAO: Rome, Italy, 2021. [Google Scholar]
- Hussain, S.; Amin, A.; Mubeen, M.; Khaliq, T.; Shahid, M.; Hammad, H.M.; Sultana, S.R.; Awais, M.; Murtaza, B.; Amjad, M.; et al. Climate Smart Agriculture (CSA) Technologies. In Building Climate Resilience in Agriculture: Theory, Practice and Future Perspective; Jatoi, W.N., Mubeen, M., Ahmad, A., Cheema, M.A., Lin, Z., Hashmi, M.Z., Eds.; Springer International Publishing: Cham, Switzerland, 2022; pp. 319–338. ISBN 978-3-030-79408-8. [Google Scholar]
- Campbell, B.M.; Thornton, P.; Zougmoré, R.; van Asten, P.; Lipper, L. Sustainable intensification: What is its role in climate smart agriculture? Curr. Opin. Environ. Sustain. 2014, 8, 39–43. [Google Scholar] [CrossRef] [Green Version]
- Rozema, J.; Schat, H. Salt tolerance of halophytes, research questions reviewed in the perspective of saline agriculture. Environ. Exp. Bot. 2013, 92, 83–95. [Google Scholar] [CrossRef] [Green Version]
- Panta, S.; Flowers, T.; Lane, P.; Doyle, R.; Haros, G.; Shabala, S. Halophyte agriculture: Success stories. Environ. Exp. Bot. 2014, 107, 71–83. [Google Scholar] [CrossRef]
- Le Houérou, H.N. forage halophytes and salt-tolerant fodder crops in the Mediterranean Basin. In Halophytes as a Resource for Livestock and for Rehabilitation of Degraded Lands. Tasks for Vegetation Science; Squires, V.R., Ayoub, A.T., Eds.; Springer: Dordrecht, The Netherlands, 1994; pp. 123–137. [Google Scholar]
- Steffen, S.; Ball, P.; Mucina, L.; Kadereit, G. Phylogeny, biogeography and ecological diversification of Sarcocornia (Salicornioideae, Amaranthaceae). Ann. Bot. 2015, 115, 353–368. [Google Scholar] [CrossRef] [PubMed] [Green Version]
- Kadereit, G.; Mucina, L.; Freitag, H. Phylogeny of Salicornioideae (Chenopodiaceae): Diversification, biogeography, and evolutionary trends in leaf and flower morphology. Taxon 2006, 55, 617–642. [Google Scholar] [CrossRef]
- Kadereit, G.; Ball, P.; Beer, S.; Mucina, L.; Sokoloff, D.; Teege, P.; Yaprak, A.E.; Freitag, H. A taxonomic nightmare comes true: Phylogeny and biogeography of glassworts (Salicornia L., Chenopodiaceae). Taxon 2007, 57, 1143–1170. [Google Scholar] [CrossRef] [Green Version]
- Scott, A.J. Reinstatement and revision of Salicorniaceae J. Agardh (Caryophyllales). Bot. J. Linn. Soc. 1977, 75, 357–374. [Google Scholar] [CrossRef]
- Papini, A.; Trippanera, G.B.; Maggini, F.; Filigheddu, R.; Biondi, E. New insights in Salicornia L. and allied genera (Chenopodiaceae) inferred from nrDNA sequence data. Plant Biosyst. 2004, 138, 215–223. [Google Scholar] [CrossRef]
- Foggi, B.; Daoud-Bouattour, A.; Gammar-Ghrabi, Z.; Limam-Ben Saad, S.; Muller, S.D. The IUCN Red List of Threatened Species. Salicornia veneta. Available online: http://dx.doi.org/10.2305/IUCN.UK.2011-1.RLTS.T164320A5824288.en (accessed on 26 March 2022).
- Ventura, Y.; Sagi, M. Halophyte crop cultivation: The case for Salicornia and Sarcocornia. Environ. Exp. Bot. 2013, 92, 144–153. [Google Scholar] [CrossRef]
- Ventura, Y.; Wuddineh, W.; Myrzabayeva, M.; Alikulov, Z.; Khozin-Goldberg, I.; Shpigel, M.; Samocha, T.; Sagi, M. Effect of seawater concentration on the productivity and nutritional value of annual Salicornia and perennial Sarcocornia halophytes as leafy vegetable crops. Sci. Hortic. 2011, 128, 189–196. [Google Scholar] [CrossRef]
- Antunes, M.D.; Gago, C.; Guerreiro, A.; Sousa, A.R.; Julião, M.; Miguel, M.G.; Faleiro, M.L.; Panagopoulos, T. Nutritional characterization and storage ability of Salicornia ramosissima and Sarcocornia perennis for fresh vegetable salads. Horticulturae 2021, 7, 6. [Google Scholar] [CrossRef]
- Custódio, L.; Rodrigues, M.J.; Pereira, C.G.; Castañeda-Loaiza, V.; Fernandes, E.; Standing, D.; Neori, A.; Shpigel, M.; Sagi, M. A Review on Sarcocornia Species: Ethnopharmacology, Nutritional Properties, Phytochemistry, Biological Activities and Propagation. Foods 2021, 10, 2778. [Google Scholar] [CrossRef] [PubMed]
- Cárdenas-Pérez, S.; Piernik, A.; Chanona-Pérez, J.J.; Grigore, M.N.; Perea-Flores, M.J. An overview of the emerging trends of the Salicornia L. genus as a sustainable crop. Environ. Exp. Bot. 2021, 191, 104606. [Google Scholar] [CrossRef]
- Loconsole, D.; Cristiano, G.; De Lucia, B. Glassworts: From wild salt marsh species to sustainable edible crops. Agriculture 2019, 9, 14. [Google Scholar] [CrossRef] [Green Version]
- Ali, M.; Mustafa, A.; Abideen, Z.; Gul, B. Bioenergy Production from Halophytes Crops for Sustainable Development. In Energy and Environmental Security in Developing Countries; Springer International Publishing: Heidelberg, Germany, 2021; pp. 571–586. ISBN 9783030636548. [Google Scholar]
- Caparrós, P.G.; Ozturk, M.; Gul, A.; Batool, T.S.; Pirasteh-Anosheh, H.; Unal, B.T.; Altay, V.; Toderich, K.N. Halophytes have potential as heavy metal phytoremediators: A comprehensive review. Environ. Exp. Bot. 2022, 193, 104666. [Google Scholar] [CrossRef]
- Gispert, M.; Kuliush, T.; Dyachenko, L.; Kharytonov, M.; Emran, M.; Verdaguer, D.; Llorens, L.; Carrasco-Barea, L. Appraising soil carbon storage potential under perennial and annual Chenopodiaceae in salt marsh of NE Spain. Estuar. Coast. Shelf Sci. 2021, 252, 107240. [Google Scholar] [CrossRef]
- Carrasco Barea, L. Soil and Vegetation Carbon Dynamics (Stocks and Fluxes) and Litter Decomposition in a Mediterranean Non-Tidal Salt Marsh. Doctorals Thesis, Departament de Ciències Ambientals, Universitat de Girona, Girona, Spain, 2020; p. 158. [Google Scholar]
- Ahmed, H.A.I.; Shabala, L.; Shabala, S. Understanding the mechanistic basis of adaptation of perennial Sarcocornia quinqueflora species to soil salinity. Physiol. Plant. 2021, 172, 1997–2010. [Google Scholar] [CrossRef]
- Parks, G.E.; Dietrich, M.A.; Schumaker, K.S. Increased vacuolar Na+/H+ exchange activity in Salicornia bigelovii torr. in response to NaCl. J. Exp. Bot. 2002, 53, 1055–1065. [Google Scholar] [CrossRef] [Green Version]
- Katschnig, D.; Jaarsma, R.; Almeida, P.; Rozema, J.; Schat, H. Differences in proton pumping and Na/H exchange at the leaf cell tonoplast between a halophyte and a glycophyte. AoB Plants 2014, 6, plu023. [Google Scholar] [CrossRef]
- Flowers, T.J. Physiology of halophytes. Plant Soil 1985, 89, 41–56. [Google Scholar] [CrossRef]
- García-Caparrós, P.; Llanderal, A.; Pestana, M.; Correia, P.; Lao, M. Nutritional and physiological responses of the dicotyledonous halophyte Sarcocornia fruticosa to salinity. Aust. J. Bot. 2017, 65, 573–581. [Google Scholar] [CrossRef]
- Pessarakli, M. (Ed.) Handbook of Plant and Crop Physiology, 2nd ed.; Marcel Dekker Inc.: New York, NY, USA, 2002; ISBN 0824705467. [Google Scholar]
- Gorham, J.; Hughes, L.L.; Wyn Jones, R.G. Chemical composition of salt-marsh plants from Ynys Môn (Anglesey): The concept of physiotypes. Plant. Cell Environ. 1980, 3, 309–318. [Google Scholar] [CrossRef]
- Moghaieb, R.; Saneoka, H.; Fujita, K. Effect of salinity on osmotic adjustment, glycinebetaine accumulation and the betaine aldehyde dehydrogenase gene expression in two halophytic plants, Salicornia europaea and Suaeda maritima. Plant Sci. 2004, 166, 1345–1349. [Google Scholar] [CrossRef]
- Lee, S.J.; Jeong, E.-M.; Ki, A.Y.; Oh, K.-S.; Kwon, J.; Jeong, J.-H.; Chung, N.-J. Oxidative defense metabolites induced by salinity stress in roots of Salicornia herbacea. J. Plant Physiol. 2016, 206, 133–142. [Google Scholar] [CrossRef]
- Abd El-Maboud, M.M.; Elsharkawy, E.R. Ecophysiological responses of the genus Sarcocornia A. J. Scott growing at the Mediterranean Sea Coast, Egypt. Pakistan J. Bot. 2021, 53, 517–523. [Google Scholar] [CrossRef]
- Ma, J.; Cirillo, V.; Zhang, D.; Maggio, A.; Wang, L.; Xiao, X.; Yao, Y. Regulation of Ammonium Cellular Levels is An Important Adaptive Trait for the Euhalophytic Behavior of Salicornia europaea. Plants 2020, 9, 257. [Google Scholar] [CrossRef] [Green Version]
- Duarte, B.; Caçador, I.; Matos, A.R. Lipid landscape remodelling in Sarcocornia fruticosa green and red physiotypes. Plant Physiol. Biochem. 2020, 157, 128–137. [Google Scholar] [CrossRef]
- Gil, R.; Bautista, I.; Boscaiu, M.; Lidón, A.; Wankhade, S.; Sánchez, H.; Llinares, J.; Vicente, O. Responses of five Mediterranean halophytes to seasonal changes in environmental conditions. AoB Plants 2014, 6, plu049. [Google Scholar] [CrossRef]
- Morari, F.; Meggio, F.; Lunardon, A.; Scudiero, E.; Forestan, C.; Farinati, S.; Varotto, S. Time course of biochemical, physiological, and molecular responses to field-mimicked conditions of drought, salinity, and recovery in two maize lines. Front. Plant Sci. 2015, 6, 314. [Google Scholar] [CrossRef] [Green Version]
- Intergovernmental Panel on Climate Change. Global Warming of 1.5 °C: An IPCC Special Report on the Impacts of Global Warming of 1.5 °C above Pre-Industrial Levels and Related Global Greenhouse Gas Emission Pathways, in the Context of Strengthening the Global Response to the Threat of Climate Change, Sustainable Development, and Efforts to Eradicate Poverty; Intergovernmental Panel on Climate Change: Geneva, Switzerland, 2018. [Google Scholar]
- Keep, T.; Sampoux, J.-P.; Barre, P.; Blanco-Pastor, J.; Dehmer, K.; Durand, J.; Hegarty, M.; Ledauphin, T.; Muylle, H.; Roldán-Ruiz, I.; et al. to grow or survive: Which are the strategies of a perennial grass to face severe seasonal stress? Funct. Ecol. 2021, 35, 1145–1158. [Google Scholar] [CrossRef]
- Albacete, A.; Martinez Andujar, C.; Pérez-Alfocea, F. Hormonal and metabolic regulation of source–sink relations under salinity and drought: From plant survival to crop yield stability. Biotechnol. Adv. 2014, 32, 12–30. [Google Scholar] [CrossRef] [PubMed]
- Schippers, J.H.M.; Schmidt, R.; Wagstaff, C.; Jing, H.-C. Living to Die and Dying to Live: The Survival Strategy behind Leaf Senescence. Plant Physiol. 2015, 169, 914–930. [Google Scholar] [CrossRef] [PubMed] [Green Version]
- Zwicke, M.; Picon-Cochard, C.; Morvan-Bertrand, A.; Homme, M.-P.; Volaire, F. What functional strategies drive drought survival and recovery of perennial species from upland grassland? Ann. Bot. 2015, 116, 1001–1015. [Google Scholar] [CrossRef] [PubMed] [Green Version]
- Griffiths, C.; Gaff, D.; Neale, A. Drying without senescence in resurrection plants. Front. Plant Sci. 2014, 5, 36. [Google Scholar] [CrossRef] [Green Version]
- Flowers, T.J.; Munns, R.; Colmer, T.D. Sodium chloride toxicity and the cellular basis of salt tolerance in halophytes. Ann. Bot. 2015, 115, 419–431. [Google Scholar] [CrossRef] [Green Version]
- Raven, J.A. Tansley Review No. 2: Regulation of pH and Generation of Osmolarity in Vascular Plants: A Cost-Benefit Analysis in Relation to Efficiency of Use of Energy, Nitrogen and Water. New Phytol. 1985, 101, 25–77. [Google Scholar] [CrossRef]
- Hu, Y.; Schmidhalter, U. Drought and salinity: A comparison of their effects on mineral nutrition of plants. J. Plant Nutr. Soil Sci. 2005, 168, 541–549. [Google Scholar] [CrossRef]
- Julkowska, M.M.; Testerink, C. Tuning plant signaling and growth to survive salt. Trends Plant Sci. 2015, 20, 586–594. [Google Scholar] [CrossRef] [Green Version]
- Manishankar, P.; Wang, N.; Köster, P.; Alatar, A.A.; Kudla, J. Calcium signaling during salt stress and in the regulation of ion homeostasis. J. Exp. Bot. 2018, 69, 4215–4226. [Google Scholar] [CrossRef] [Green Version]
- Rathore, A.P.; Chaudhary, D.R.; Jha, B. Biomass production, nutrient cycling, and carbon fixation by Salicornia brachiata Roxb.: A promising halophyte for coastal saline soil rehabilitation. Int. J. Phytoremediation 2016, 18, 801–811. [Google Scholar] [CrossRef] [PubMed]
- Gagneul, D.; Aïnouche, A.; Duhazé, C.; Lugan, R.; Larher, F.R.; Bouchereau, A. A Reassessment of the Function of the So-Called Compatible Solutes in the Halophytic Plumbaginaceae Limonium latifolium. Plant Physiol. 2007, 144, 1598–1611. [Google Scholar] [CrossRef] [PubMed] [Green Version]
- Szabados, L.; Savouré, A. Proline: A multifunctional amino acid. Trends Plant Sci. 2010, 15, 89–97. [Google Scholar] [CrossRef] [PubMed]
- Ben Rejeb, K.; Abdelly, C.; Savouré, A. How reactive oxygen species and proline face stress together. Plant Physiol. Biochem. 2014, 80, 278–284. [Google Scholar] [CrossRef]
- Parida, A.K.; Jha, B. Physiological and Biochemical Responses Reveal the Drought tolerance Efficacy of the Halophyte Salicornia brachiata. J. Plant Growth Regul. 2013, 32, 342–352. [Google Scholar] [CrossRef]
- Tipirdamaz, R.; Gagneul, D.; Duhazé, C.; Aïnouche, A.; Monnier, C.; Özkum, D.; Larher, F. Clustering of halophytes from an inland salt marsh in Turkey according to their ability to accumulate sodium and nitrogenous osmolytes. Environ. Exp. Bot. 2006, 57, 139–153. [Google Scholar] [CrossRef]
- Cavalieri, A.J. Proline and glycinebetaine accumulation by Spartina alterniflora Loisel. in response to NaCl and nitrogen in a controlled environment. Oecologia 1983, 57, 20–24. [Google Scholar] [CrossRef]
- Pujol, J.A.; Calvo, J.F.; Ramírez-Díaz, L. Seed germination, growth, and osmotic adjustment in response to NaCl in a rare succulent halophyte from Southeastern Spain. Wetlands 2001, 21, 256–264. [Google Scholar] [CrossRef]
- Di Martino, C.; Delfine, S.; Pizzuto, R.; Loreto, F.; Fuggi, A. Free amino acids and glycine betaine in leaf osmoregulation of spinach responding to increasing salt stress. New Phytol. 2003, 158, 455–463. [Google Scholar] [CrossRef]
- Escalante-Magaña, C.; Aguilar-Caamal, L.F.; Echevarría-Machado, I.; Medina-Lara, F.; Cach, L.S.; Martínez-Estévez, M. Contribution of glycine betaine and proline to water deficit tolerance in pepper plants. HortScience 2019, 54, 1044–1054. [Google Scholar] [CrossRef] [Green Version]
- Al Hassan, M.; López-Gresa, M.D.P.; Boscaiu, M.; Vicente, O. Stress tolerance mechanisms in Juncus: Responses to salinity and drought in three Juncus species adapted to different natural environments. Funct. Plant Biol. 2016, 43, 949–960. [Google Scholar] [CrossRef] [PubMed]
- González-Orenga, S.; Al Hassan, M.; Llinares, J.V.; Lisón, P.; López-Gresa, M.P.; Verdeguer, M.; Vicente, O.; Boscaiu, M. Qualitative and Quantitative Differences in Osmolytes Accumulation and Antioxidant Activities in Response to Water Deficit in Four Mediterranean Limonium Species. Plants 2019, 8, 506. [Google Scholar] [CrossRef] [PubMed] [Green Version]
- Ahmad, S.T.; Sima, N.A.K.K.; Mirzaei, H.H. Effects of sodium chloride on physiological aspects of Salicornia persica growth. J. Plant Nutr. 2013, 36, 401–414. [Google Scholar] [CrossRef]
- Gil, R.; Boscaiu, M.; Lull, C.; Bautista, I.; Lid, A.N.; Vicente, Ó. Are soluble carbohydrates ecologically relevant for salt tolerance in halophytes? Funct. Plant Biol. 2013, 40, 805–818. [Google Scholar] [CrossRef]
- Ghanem, A.F.M.; Mohamed, E.; Kasem, A.M.M.A.; El-Ghamery, A.A. Differential Salt tolerance Strategies in Three Halophytes from the Same Ecological Habitat: Augmentation of Antioxidant Enzymes and Compounds. Plants 2021, 10, 1100. [Google Scholar] [CrossRef]
- Choudhury, F.K.; Rivero, R.M.; Blumwald, E.; Mittler, R. Reactive oxygen species, abiotic stress and stress combination. Plant J. 2017, 90, 856–867. [Google Scholar] [CrossRef]
- Arpae-Simc DEXT3R—Servizio IdroMeteoClima. Available online: https://simc.arpae.it/dext3r/ (accessed on 7 February 2022).
- Ministerio de Agricultura y Pesca, Alimentación y Medio Ambiente. The Agroclimatic Information System for Irrigation (SiAR). Available online: www.siar.es (accessed on 7 February 2022).
- Thornthwaite, C.W. An Approach toward a Rational Classification of Climate. Geogr. Rev. 1948, 38, 55. [Google Scholar] [CrossRef]
- Ksouri, R.; Megdiche, W.; Debez, A.; Falleh, H.; Grignon, C.; Abdelly, C. Salinity effects on polyphenol content and antioxidant activities in leaves of the halophyte Cakile maritima. Plant Physiol. Biochem. 2007, 45, 244–249. [Google Scholar] [CrossRef]
- Ozturk, O.F.; Shukla, M.K.; Stringam, B.; Picchioni, G.A.; Gard, C. Irrigation with brackish water changes evapotranspiration, growth and ion uptake of halophytes. Agric. Water Manag. 2018, 195, 142–153. [Google Scholar] [CrossRef]
- Heidari-Sharifabad, H.; Mirzaie-Nodoushan, H. Salinity-induced growth and some metabolic changes in three Salsola species. J. Arid Environ. 2006, 67, 715–720. [Google Scholar] [CrossRef]
- Lichtenthaler, H.K.; Wellburn, A.R. Determinations of total Carotenoids and Chlorophylls A and B of Leaf Extracts in Different Solvents. Biochem. Soc. Trans. 1983, 11, 591–592. [Google Scholar] [CrossRef] [Green Version]
- Weimberg, R. Solute Adjustments in Leaves of Two Species of Wheat at Two Different Stages of Growth in Response to Salinity. Physiol. Plant 1987, 70, 381–388. [Google Scholar] [CrossRef]
- Grieve, C.M.; Grattan, S.R. Rapid Assay for Determination of Water Soluble Quaternary Ammonium Compounds. Plant Soil 1983, 70, 303–307. [Google Scholar] [CrossRef]
- Valadez-Bustos, M.G.; Aguado-Santacruz, G.A.; Tiessen-Favier, A.; Robledo-Paz, A.; Muñoz-Orozco, A.; Rascón-Cruz, Q.; Santacruz-Varela, A. A Reliable Method for Spectrophotometric Determination of Glycine Betaine in Cell Suspension and other Systems. Anal. Biochem. 2016, 498, 47–52. [Google Scholar] [CrossRef] [PubMed]
- Bates, L.S.; Waldren, R.P.T. Rapid Determination of Free Proline for Water—Stress Studies. Plant Soil 1973, 39, 205–207. [Google Scholar] [CrossRef]
- Dubois, M.; Gilles, K.A.; Hamilton, J.K.; Rebers, P.A.; Smith, F. Colorimetric Method for Determination of Sugars and Related Substances. Anal. Chem. 1956, 28, 350–356. [Google Scholar] [CrossRef]
- Hodges, D.M.; Delong, J.M.; Forney, C.F.; Prange, R.K. Improving The Thiobarbituric Acid-Reactive-Substances Assay for Estimating Lipid Peroxidation in Plant Tissues Containing Anthocyanin and other Interfering Compounds. Planta 1999, 207, 604–611. [Google Scholar] [CrossRef]
- Taulavuori, E.; Hellström, E.; Taulavuori, K.; Laine, K. Comparison of Two Methods Used to Analyse Lipid Peroxidation From Vaccinium myrtillus (L.) During Snow Removal, Reacclimation and Cold Acclimation. J. Exp. Bot. 2002, 52, 2375–2380. [Google Scholar] [CrossRef] [Green Version]
- Loreto, F.; Velikova, V. Isoprene Produced By Leaves Protects the Photosynthetic Apparatus against Ozone Damage, Quenches Ozone Products, and Reduces Lipid Peroxidation of Cellular Membranes. Plant Physiol. 2001, 127, 1781–1787. [Google Scholar] [CrossRef]
- Blainski, A.; Lopes, G.; Mello, J. Application and Analysis of the Folin Ciocalteu Method for the Determination of the total Phenolic Content from Limonium brasiliense L. Molecules 2013, 18, 6852–6865. [Google Scholar] [CrossRef] [Green Version]
- Zhishen, J.; Mengcheng, T.; Jianming, W. The Determination of Flavonoid Contents in Mulberry and Their Scavenging Effects on Superoxide Radicals. Food Chem. 1999, 64, 555–559. [Google Scholar] [CrossRef]
- Fox, J.; Weisberg, S. An R Companion to Applied Regression, 3rd ed.; Sage Publications, Inc.: Thousand Oaks, CA, USA, 2019; ISBN 978-1412975148. [Google Scholar]
- Lenth, R.V.; Buerkner, P.; Herve, M.; Love, J.; Riebl, H.; Singmann, H.; Emmeans: Estimated Marginal Means, Aka Leastsquares Means. R Pack. Available online: https://cran.r-project.org/web/packages/emmeans/emmeans.pdf (accessed on 12 December 2021).
- Lê, S.; Josse, J.; Husson, F. Factominer: An R Package for Multivariate Analysis. J. Stat. Softw. 2008, 25, 1–18. [Google Scholar] [CrossRef] [Green Version]
- Wickham, H. Ggplot2: Elegant Graphics for Data Analysis; Springer: New York, NY, USA, 2009; ISBN 978-0-387-98140-6. [Google Scholar]
- Kuhn, M.; Jackson, S.; Cimentada, J. Corrr: Correlations in R. R Package Version 0.4. Available online: https://cran.r-project.org/web/packages/corrr/corrr.pdf (accessed on 12 December 2021).










| Plant Height (PH) (cm) | Number of Branches (No. B) | ||||||||
|---|---|---|---|---|---|---|---|---|---|
| T0 | Stress (T15) | Stress (T30) | Recovery (T45) | T0 | Stress (T15) | Stress (T30) | Recovery (T45) | ||
| SE | Ctrl | 5.8 ± 0.3 aC | 8.7 ± 0.5 aB | 12.9 ± 1.0 aA | 12.3 ± 1.0 aA | 5.7 ± 0.5 aC | 10.2 ± 0.7 aB | 18.1 ± 1.8 aA | 23.8 ± 3.3 aA |
| SS | 5.7 ± 0.3 aC | 8.5 ± 0.4 aB | 11.4 ± 0.5 aA | 10.5 ± 0.6 aA | 6.3 ± 0.5 aC | 11.0 ± 0.7 aB | 18.2 ± 1.2 aA | 20.8 ± 1.5 aA | |
| WS | 5.3 ± 0.3 aC | 7.6 ± 0.4 aB | 7.0 ± 0.6 bA | 10.4 ± 0.9 aA | 6.0 ± 0.5 aB | 12.0 ± 2.1 aAB | 10.3 ± 1.5 bA | 16.9 ± 2.4 aA | |
| SV | Ctrl | 9.8 ± 0.4 aC | 14.7 ± 0.7 aB | 21.6 ± 2.0 aA | 22.6 ± 1.8 aA | 2.1 ± 0.3 aC | 6.9 ± 0.6 aB | 11.8 ± 1.6 aA | 13.0 ± 1.7 aA |
| SS | 10.2 ± 0.4 aC | 15.8 ± 0.5 aB | 20.6 ± 0.8 abA | 19.9 ± 1.5 aA | 1.5 ± 0.3 aC | 8.0 ± 0.6 aB | 10.1 ± 0.9 aA | 15.0 ± 3.4 aA | |
| WS | 9.6 ± 0.5 aC | 15.1 ± 0.5 aB | 16.1 ± 0.6 bA | 19.6 ± 1.5 aA | 1.5 ± 0.3 aC | 7.3 ± 0.5 aB | 9.5 ± 0.8 aB | 9.3 ± 2.4 aA | |
| SF | Ctrl | 5.6 ± 0.3 aC | 8.9 ± 0.5 aB | 13.1 ± 1.3 aA | 14.6 ± 1.3 aA | 0.4 ± 0.2 aD | 8.1 ± 1.0 aC | 18.9 ± 3.0 aB | 28.5 ± 1.5 aA |
| SS | 5.1 ± 0.4 aC | 9.2 ± 0.4 aB | 11.6 ± 0.7 aA | 13.1 ± 0.6 aA | 0.4 ± 0.2 aC | 8.8 ± 1.0 aB | 18.4 ± 2.3 aA | 21.7 ± 1.7 bA | |
| WS | 5.0 ± 0.3 aC | 8.3 ± 0.5 aB | 10.0 ± 0.9 aA | 12.6 ± 0.7 aA | 0.5 ± 0.2 aD | 8.7 ± 1.0 aC | 14.0 ± 2.4 aB | 20.8 ± 2.5 bA | |
| ‘La Albufera’ Natural Park | Piallassa Della Baiona | |||||||
|---|---|---|---|---|---|---|---|---|
| Year | Mean T | Mean RH | Rainfall | ET0 | Mean T | Mean RH | Rainfall | ET0 |
| (°C) | (%) | (mm) | (mm) | (°C) | (%) | (mm) | (mm) | |
| 2006 | 17.53 | 69.13 | 464.40 | 1189.38 | 14.40 | 77.64 | 337.65 | 814.71 |
| 2007 | 16.81 | 68.13 | 894.40 | 1164.50 | 14.20 | 73.18 | 490.00 | 809.25 |
| 2008 | 16.88 | 68.35 | 674.40 | 1194.10 | 14.20 | 73.63 | 491.13 | 804.14 |
| 2009 | 17.34 | 68.60 | 446.20 | 1215.26 | 14.19 | 72.79 | 555.86 | 816.07 |
| 2010 | 16.78 | 68.31 | 565.00 | 1206.22 | 13.23 | 74.09 | 450.00 | 776.35 |
| 2011 | 17.57 | 70.32 | 472.00 | 1166.73 | 14.76 | 71.36 | 346.60 | 846.35 |
| 2012 | 17.31 | 67.58 | 503.61 | 1208.25 | 14.71 | 69.98 | 563.60 | 864.97 |
| 2013 | 17.55 | 63.26 | 263.80 | 1245.42 | 14.49 | 72.86 | 870.20 | 822.93 |
| 2014 | 18.32 | 65.32 | 224.40 | 1278.22 | 15.60 | 73.91 | 740.00 | 833.27 |
| 2015 | 17.76 | 70.02 | 401.26 | 1169.08 | 15.20 | 77.18 | 616.80 | 860.61 |
| 2016 | 17.85 | 68.66 | 259.57 | 1218.41 | 14.71 | 80.86 | 829.40 | 825.33 |
| 2017 | 17.59 | 68.51 | 307.26 | 1238.82 | 14.84 | 76.69 | 641.80 | 851.52 |
| 2018 | 17.60 | 68.06 | 684.02 | 1225.71 | 15.32 | 78.53 | 613.60 | 870.93 |
| 2019 | 17.79 | 66.59 | 427.00 | 1243.83 | 15.03 | 81.94 | 780.80 | 839.65 |
| 2020 | 18.09 | 72.95 | 731.94 | 1186.44 | 14.70 | 76.76 | 556.40 | 808.83 |
| 2021 | 17.50 | 75.40 | 494.72 | 1039.10 | 14.45 | 75.75 | 335.00 | 809.89 |
| Mean | 17.52 | 68.70 | 488.37 | 1199.34 | 14.63 | 75.45 | 576.18 | 828.42 |
| Stress (L pot−1) | Recovery (L pot−1) | Total (L pot−1) | |
|---|---|---|---|
| Ctrl | 1.75 | 1 | 2.75 |
| SS | 1.75 | 4 | 5.75 |
| WS | 0 | 2 | 2 |
Publisher’s Note: MDPI stays neutral with regard to jurisdictional claims in published maps and institutional affiliations. |
© 2022 by the authors. Licensee MDPI, Basel, Switzerland. This article is an open access article distributed under the terms and conditions of the Creative Commons Attribution (CC BY) license (https://creativecommons.org/licenses/by/4.0/).
Share and Cite
Calone, R.; Mircea, D.-M.; González-Orenga, S.; Boscaiu, M.; Lambertini, C.; Barbanti, L.; Vicente, O. Recovery from Salinity and Drought Stress in the Perennial Sarcocornia fruticosa vs. the Annual Salicornia europaea and S. veneta. Plants 2022, 11, 1058. https://doi.org/10.3390/plants11081058
Calone R, Mircea D-M, González-Orenga S, Boscaiu M, Lambertini C, Barbanti L, Vicente O. Recovery from Salinity and Drought Stress in the Perennial Sarcocornia fruticosa vs. the Annual Salicornia europaea and S. veneta. Plants. 2022; 11(8):1058. https://doi.org/10.3390/plants11081058
Chicago/Turabian StyleCalone, Roberta, Diana-Maria Mircea, Sara González-Orenga, Monica Boscaiu, Carla Lambertini, Lorenzo Barbanti, and Oscar Vicente. 2022. "Recovery from Salinity and Drought Stress in the Perennial Sarcocornia fruticosa vs. the Annual Salicornia europaea and S. veneta" Plants 11, no. 8: 1058. https://doi.org/10.3390/plants11081058
APA StyleCalone, R., Mircea, D.-M., González-Orenga, S., Boscaiu, M., Lambertini, C., Barbanti, L., & Vicente, O. (2022). Recovery from Salinity and Drought Stress in the Perennial Sarcocornia fruticosa vs. the Annual Salicornia europaea and S. veneta. Plants, 11(8), 1058. https://doi.org/10.3390/plants11081058

