Variability in Maturity, Oil and Protein Concentration, and Genetic Distinctness among Soybean Accessions Conserved at Plant Gene Resources of Canada
Abstract
1. Introduction
2. Materials and Method
2.1. Analysis of Early Maturity
2.2. Analysis of Seed Oil and Protein Concentration
2.3. Analysis of Genetic Distinctness
2.4. Statistical Analysis
2.5. Developing Trait-Specific Core Subset
3. Results
3.1. Patterns of Variability
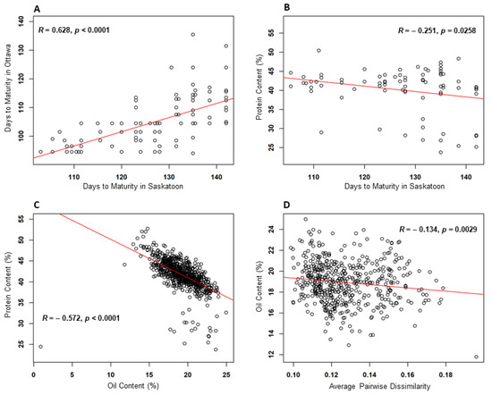
3.2. Patterns of Trait Correlation
3.3. Trait-Specific Core Subset
4. Discussion
5. Conclusions
Supplementary Materials
Author Contributions
Funding
Data Availability Statement
Acknowledgments
Conflicts of Interest
References
- Mascher, M.; Schreiber, M.; Scholz, U.; Graner, A.; Reif, J.C.; Stein, N. Genebank genomics bridges the gap between the conservation of crop diversity and plant breeding. Nat. Genet. 2019, 51, 1076–1081. [Google Scholar] [CrossRef] [PubMed]
- McCouch, S.; Navabi, Z.K.; Abberton, M.; Anglin, N.L.; Barbieri, R.L.; Baum, M.; Bett, K.; Booker, H.; Brown, G.L.; Bryan, G.J.; et al. Mobilizing crop biodiversity. Mol. Plant 2020, 13, 1341–1344. [Google Scholar] [CrossRef] [PubMed]
- Frankel, O.H.; Brown, A.H.D. Plant genetic resources today: A critical appraisal. In Crop Genetic Resources: Conservation and Evaluation; Holden, J.H.W., Williams, J.T., Eds.; George Allan and Unwin: London, UK, 1984; pp. 249–257. [Google Scholar]
- Brown, A.H.D. Core collections: A practical approach to genetic resources management. Genome 1989, 31, 818–824. [Google Scholar] [CrossRef]
- Hodgkin, T.; Brown, A.H.D.; van Hintum, T.J.L.; Morales, E.A.V. Core Collections of Plant Genetic Resources; International Plant Genetic Resources Institute: Rome, Italy, 1995. [Google Scholar]
- van Hintum, T.J.; Brown, A.; Spillane, C.; Hodgkin, T. Core Collections of Plant Genetic Resources; International Plant Genetic Resources Institute: Rome, Italy, 2000. [Google Scholar]
- Upadhyaya, H.; Dronavalli, N.; Dwivedi, S.; Kashiwagi, J.; Krishnamurthy, L.; Pande, S.; Sharma, H.C.; Vadez, V.; Singh, S.; Varshney, R.K.; et al. Mini core collection as a resource to identify new sources of variation. Crop Sci. 2013, 53, 2506–2517. [Google Scholar] [CrossRef]
- Upadhyaya, H.; Dwivedi, S.; Vadez, V.; Hamidou, F.; Singh, S.; Varshney, R.; Liao, B. Multiple resistant and nutritionally dense germplasm identified from mini core collection in peanut. Crop Sci. 2014, 54, 679–693. [Google Scholar] [CrossRef]
- Milner, S.G.; Jost, M.; Taketa, S.; Mazón, E.R.; Himmelbach, A.; Oppermann, M.; Weise, S.; Knüpffer, H.; Basterrechea, M.; König, P.; et al. Genebank genomics reveals the diversity of a global barley collection. Nat. Genet. 2019, 51, 319–326. [Google Scholar] [CrossRef]
- Egan, L.M.; Conaty, W.C.; Stiller, W.N. Core collections: Is there any value for cotton breeding? Front. Plant Sci. 2022, 13, 895155. [Google Scholar]
- McCouch, S.; Baute, G.J.; Bradeen, J.; Bramel, P.; Bretting, P.K.; Buckler, E.; Burke, J.M.; Charest, D.; Cloutier, S.; Cole, G.; et al. Agriculture: Feeding the future. Nature 2013, 499, 23–24. [Google Scholar] [CrossRef]
- Díez, M.J.; De la Rosa, L.; Martín, I.; Guasch, L.; Cartea, M.E.; Mallor, C.; Casals., J.; Simó, J.; Rivera, A.; Anastasio, G.; et al. Plant genebanks: Present situation and proposals for their improvement. The case of the Spanish network. Front. Plant Sci. 2018, 9, 1794. [Google Scholar] [CrossRef]
- FAO. The Second Report on the State of the World’s Plant; FAO: Rome, Italy, 2010. [Google Scholar]
- Fu, Y.B. The vulnerability of plant genetic resources conserved ex situ. Crop Sci. 2017, 57, 2314–2328. [Google Scholar]
- Khoury, C.; Laliberte, B.; Guarino, L. Trends in ex situ conservation of plant genetic resources: A review of global crop and regional conservation strategies. Genet. Resour. Crop Evol. 2010, 57, 625–639. [Google Scholar] [CrossRef]
- Beversdorf, W.D.; Buzzell, R.I.; Ablett, G.R.; Voldeng, H.D. Soybean. In Harvest of Gold: The History of Field Crop Breeding in Canada; Slinkard, A.E., Knott, D.R., Eds.; University Extension Press, University of Saskatchewan: Saskatoon, SK, Canada, 1995; pp. 153–166. [Google Scholar]
- Soy Canada. Statistics At a Glance. Available online: http://soycanada.ca/statistics/at-a-glance/ (accessed on 19 November 2022).
- Richardson, K.J. Identifying Barriers and Drivers of Early Soybean Adoption in Saskatchewan. Master’s Thesis, University of Saskatchewan, Saskatoon, SK, Canada, 2017. [Google Scholar]
- MacMillan, K.P.; Gulden, R.H. Effect of seeding date, environment and cultivar on soybean seed yield, yield components, and seed quality in the Northern Great Plains. Agron. J. 2020, 112, 1666–1678. [Google Scholar] [CrossRef]
- Ort, N.; Morrison, M.; Cober, E.; McAndrew, D.; Lawley, Y. A comparison of soybean maturity groups for phenology, seed yield, and seed quality components between eastern Ontario and southern Manitoba. Can. J. Plant Sci. 2022, 102, 812–822. [Google Scholar] [CrossRef]
- Cober, E.R.; Voldeng, H.D. Developing high-protein, high-yield soybean populations and lines. Crop Sci. 2000, 40, 39–42. [Google Scholar] [CrossRef]
- Fu, Y.B.; Cober, E.R.; Morrison, M.J.; Marsolais, F.; Peterson, G.W.; Horbach, C. Patterns of genetic variation in a soybean germplasm collection as characterized with genotyping-by-sequencing. Plants 2021, 10, 1611. [Google Scholar] [CrossRef]
- Voldeng, H.D.; Cober, E.R.; Hume, D.J.; Gillard, C.; Morrison, M.J. Fifty-eight years of genetic improvement of short-season soybean cultivars in Canada. Crop Sci. 1997, 37, 428–431. [Google Scholar] [CrossRef]
- Cober, E.R.; Voldeng, H.D. A retrospective look at short-season soybean cultivar development in Ontario. Can. J. Plant Sci. 2012, 92, 1239–1243. [Google Scholar] [CrossRef]
- Fehr, W.R.; Caviness, C.E. Stages of Soybean Development; Iowa State University of Science and Technology: Ames, IA, USA, 1977; Volume 80, p. 11. [Google Scholar]
- American Oil Chemists’ Society. AOCS Recommended Practice Ak 4-95: Simultaneous Determination of Oil and Moisture Contents of Oilseeds Using Pulsed Field NMR Spectroscopy; AOCS: Urbana, IL, USA, 1999. [Google Scholar]
- Krygsman, P.H.; Barrett, A.E. Simple methods for measuring total oil content by bench-top NMR. In Oil Extraction and Analysis: Critical Issues and Comparative Studies; Luthria, D.L., Ed.; AOCS Publishing: Urbana, IL, USA, 2004; pp. 152–165. [Google Scholar]
- American Oil Chemists’ Society. Official Methods and Recommended Practices of the AOCS, 5th ed.; Firestone, D., Ed.; AOCS Press: Champaign, IL, USA, 1997. [Google Scholar]
- Fu, Y.B. Redundancy and distinctness in flax germplasm as revealed by RAPD dissimilarity. Plant Gen. Res. 2006, 4, 117–124. [Google Scholar] [CrossRef]
- R Core Team. R: A Language and Environment for Statistical Computing; R Foundation for Statistical Computing: Vienna, Austria, 2022. [Google Scholar]
- Heydarian, Z.; Yu, M.; Gruber, M.; Glick, B.R.; Zhou, R.; Hegedus, D.D. Inoculation of soil with plant growth promoting bacteria producing 1-Aminocyclopropane-1-Carboxylate deaminase or expression of the corresponding acdS gene in transgenic plants increases salinity tolerance in Camelina sativa. Front. Microbiol. 2016, 7, 1966. [Google Scholar] [CrossRef]
- Assefa, Y.; Purcell, L.C.; Salmeron, M.; Naeve, S.; Casteel, S.N.; Kovács, P.; Archontoulis, S.; Licht, M.; Below, F.; Kandel, H.; et al. Assessing variation in US soybean seed composition (protein and oil). Front. Plant Sci. 2019, 10, 298. [Google Scholar]
- Rotundo, J.L.; Westgate, M.E. Meta-analysis of environmental effects on soybean seed composition. Field Crops Res. 2009, 110, 147–156. [Google Scholar] [CrossRef]
- Guo, B.; Sun, L.; Jiang, S.; Ren, H.; Sun, R.; Wei, Z.; Hong, H.; Luan, X.; Wang, J.; Wang, X.; et al. Soybean genetic resources contributing to sustainable protein production. Theor. Appl. Genet. 2022, 135, 4095–4121. [Google Scholar] [CrossRef] [PubMed]
- Song, Q.; Hyten, D.L.; Jia, G.; Quigley, C.V.; Fickus, E.W.; Nelson, R.L.; Cregan, P.B. Fingerprinting soybean germplasm and its utility in genomic research. G3 2015, 5, 1999–2006. [Google Scholar] [CrossRef] [PubMed]
- Hymowitz, T.; Collins, F.; Panczner, J.; Walker, W. Relationship between the content of oil, protein, and sugar in soybean seed. Agron. J. 1972, 64, 613–616. [Google Scholar] [CrossRef]
- Wang, W.Z.; Liu, X.Y.; Cao, Y.S.; Zhang, M. Study on protein content of soybean germplasm resources in China. Crop Var. Res. 1998, 1, 35–36. [Google Scholar]
- Wilcox, J.R.; Shibles, R.M. Interrelationships among seed quality attributes in soybean. Crop Sci. 2001, 41, 11–14. [Google Scholar]
- Hyten, D.L.; Pantalone, V.R.; Sams, C.E.; Saxton, A.M.; Landau-Ellis, D.; Stefaniak, T.R.; Schmidt, M.E. Seed quality QTL in a prominent soybean population. Theor. Appl. Genet. 2004, 109, 552–561. [Google Scholar] [CrossRef]


| DTM Saskatoon | DTM Ottawa | ||||||||||
|---|---|---|---|---|---|---|---|---|---|---|---|
| Key | Accession | Origin | Description | Mean | SD | Key | Accession | Origin | Description | Mean | SD |
| 236 | CN39131 | CAN | X763/3/B | 103.0 | 1.4 | 595 | CN107602 | ROU | Herb 620 | 94 | na |
| 671 | CN107808 | FRA | Grignon 1 | 105.5 | 0.7 | 36 | CN31692 * | DEU | No. 409 | 94.5 | 0.7 |
| 746 | CN107883 | FRA | Grignon 39 | 105.5 | 0.7 | 211 | CN39087 * | CAN | X702/3/3 | 94.5 | 0.7 |
| 519 | CN107526 | SWE | 748/5 | 108.0 | 0.0 | 236 | CN39131 * | CAN | X763/3/B | 94.5 | 0.7 |
| 641 | CN107648 | UNK | PI 840/2/7 | 108.0 | 0.0 | 320 | CN52628 * | SWE | PGR 27203 | 94.5 | 0.7 |
| 320 | CN52628 | SWE | PGR 27203 | 108.5 | 0.7 | 457 | CN107464 * | GBR | PI 152573 | 94.5 | 0.7 |
| 640 | CN107647 | UNK | PI 827/4/23/46 | 108.5 | 0.7 | 462 | CN107469 | CAN | Manitoba Brown | 94.5 | 0.7 |
| 528 | CN107535 | SWE | 634/20/4/29 | 109.5 | 2.1 | 508 | CN107515 * | FRA | Geant Vert | 94.5 | 0.7 |
| 590 | CN107597 | JPN | (Shinsei) | 109.5 | 2.1 | 556 | CN107563 | HUN | Wielnska Brunatna | 94.5 | 0.7 |
| 649 | CN107656 | SWE | Fiskeby V | 109.5 | 2.1 | 632 | CN107639 * | POL | Bydgoska 074 | 94.5 | 0.7 |
| 211 | CN39087 | CAN | X702/3/3 | 110.5 | 2.1 | 649 | CN107656 * | SWE | Fiskeby V | 94.5 | 0.7 |
| 508 | CN107515 | FRA | Geant Vert | 111.0 | 0.0 | 694 | CN107831 * | POL | Zlotka | 94.5 | 0.7 |
| 165 | CN35918 | RUS | Saliut 216 | 111.5 | 0.7 | 746 | CN107883 * | FRA | Grignon 39 | 94.5 | 0.7 |
| 479 | CN107486 | NLD | No. 709 | 111.5 | 0.7 | 463 | CN107470 | BEL | B/24 | 96.5 | 3.5 |
| 520 | CN107527 | SWE | 748/7 | 111.5 | 0.7 | 514 | CN107521 * | SWE | 698/3/5 | 96.5 | 2.1 |
| 632 | CN107639 | POL | Bydgoska 074 | 111.5 | 0.7 | 520 | CN107527 * | SWE | 748/7 | 96.5 | 3.5 |
| 317 | CN51844 | CAN | KG20 | 115.5 | 6.4 | 528 | CN107535 * | SWE | 634/20/4/29 | 96.5 | 3.5 |
| 509 | CN107516 | FRA | Rouest 13 Al 2 | 115.5 | 4.9 | 590 | CN107597 * | JPN | (Shinsei) | 96.5 | 2.1 |
| 513 | CN107520 | SWE | 698/1/1 | 115.5 | 0.7 | 640 | CN107647 * | UNK | PI 827/4/23/46 | 96.5 | 3.5 |
| 583 | CN107590 | RUS | Amurskaja 310 | 115.5 | 6.4 | 690 | CN107827 | RUS | Salut 216 | 96.5 | 2.1 |
| 514 | CN107521 | SWE | 698/3/5 | 118.0 | 2.8 | 161 | CN35757 | UKR | Terezikskaja 24 | 98.5 | 0.7 |
| 494 | CN107501 | FRA | Starachramiskaya | 120.0 | 0.0 | 180 | CN36143 | CAN | Maple Presto H.P. | 98.5 | 0.7 |
| 694 | CN107831 | POL | Zlotka | 120.0 | 0.0 | 475 | CN107482 | NLD | No. 47 | 98.5 | 0.7 |
| 540 | CN107547 | POL | Bydgoska 052 | 123.0 | 4.2 | 479 | CN107486 * | NLD | No. 709 | 98.5 | 0.7 |
| 591 | CN107598 | ROU | F. 166 | 123.0 | 4.2 | 509 | CN107516 * | FRA | Rouest 13 Al 2 | 98.5 | 0.7 |
| 636 | CN107643 | POL | Zolta Przebedowska | 123.0 | 4.2 | 519 | CN107526 * | SWE | 748/5 | 98.5 | 0.7 |
| 652 | CN107659 | UNK | Heimkraft 1 | 123.0 | 4.2 | 542 | CN107549 * | DEU | C 7/58 | 98.5 | 0.7 |
| 36 | CN31692 | DEU | No. 409 | 124.0 | 5.7 | 641 | CN107648 * | UNK | PI 840/2/7 | 98.5 | 0.7 |
| 300 | CN42821 | CAN | Maple Ridge | 124.0 | 5.7 | 652 | CN107659 * | UNK | Heimkraft 1 | 98.5 | 0.7 |
| 328 | CN52639 | RUS | Aurora | 124.0 | 5.7 | 685 | CN107822 * | DEU | Dieckman Black | 98.5 | 0.7 |
| 457 | CN107464 | GBR | PI 152573 | 124.0 | 5.7 | 718 | CN107855 | SWE | 754/5 | 98.5 | 0.7 |
| 524 | CN107531 | SWE | 751/3 | 124.0 | 5.7 | 747 | CN107884 | SWE | 291/1/2 | 98.5 | 0.7 |
| 542 | CN107549 | DEU | C 7/58 | 124.0 | 5.7 | 671 | CN107808 * | FRA | Grignon 1 | 99 | na |
| 685 | CN107822 | DEU | Dieckman Black | 124.0 | 5.7 | 529 | CN107536 | SWE | 706/4/1 | 99.5 | 6.4 |
| 635 | CN107642 | POL | Zlocista | 126.0 | 0.0 | 317 | CN51844 * | CAN | KG20 | 101.5 | 3.5 |
| Average | 115.7 | 2.7 | Average | 96.7 | 1.4 | ||||||
| Oil % | Protein % | ||||||||||
|---|---|---|---|---|---|---|---|---|---|---|---|
| Key | Accession | Origin | Description | Mean | SD | Key | Accession | Origin | Description | Mean | SD |
| 84 | CN33273 | CAN | Beechwood | 24.97 | 0.91 | 732 | CN107869 | CHN | (Suen wu dah bai mee) | 52.77 | 1.28 |
| 423 | CN107424 | CAN | AC Harmony | 23.97 | 0.47 | 722 | CN107859 | SWE | Ugra Saja | 52.07 | 2.21 |
| 89 | CN33279 | CAN | Starbuck | 23.96 | 0.05 | 735 | CN107872 | POL | Bydgoska 072 | 51.99 | 1.50 |
| 73 | CN33261 | CAN | Evans | 23.81 | 0.41 | 715 | CN107852 | SWE | 737/1 | 50.82 | 0.12 |
| 323 | CN52634 | RUS | CH20951 | 23.77 | 0.24 | 508 | CN107515 | FRA | Geant Vert | 50.42 | 0.05 |
| 296 | CN42388 | CAN | A1937 | 23.77 | 1.01 | 205 | CN39080 | CAN | X691/19/2 | 49.37 | 1.12 |
| 824 | CN120155 | CAN | Tala | 23.67 | 0.54 | 127 | CN35344 | KOR | KAS362/7 | 49.02 | 0.11 |
| 344 | CN52735 | CAN | OT93/28 | 23.63 | 0.36 | 731 | CN107868 | FRA | Ronset 4 | 48.88 | 0.20 |
| 27 | CN30633 | HUN | Iregi Korona | 23.63 | 0.62 | 201 | CN39073 | CAN | X690/1/4 | 48.78 | 0.08 |
| 181 | CN36214 | CHN | Gang 6634/7/2 | 23.62 | 0.42 | 708 | CN107845 | BEL | B/19 | 48.75 | 1.34 |
| 343 | CN52734 | CAN | OT93/26 | 23.59 | 0.79 | 470 | CN107477 | UNK | V/6 | 48.63 | 1.67 |
| 324 | CN52635 | RUS | CH20950 | 23.52 | 0.19 | 204 | CN39079 | CAN | X691/18/2 | 48.54 | 1.32 |
| 288 | CN39196 | CAN | X1568B | 23.28 | 0.12 | 638 | CN107645 | JPN | Sakamotowase | 48.46 | 0.95 |
| 388 | CN107385 | CAN | Maple Belle | 23.10 | 0.17 | 501 | CN107508 | FRA | Mandchourie | 48.41 | 0.05 |
| 417 | CN107418 | CAN | B0501 | 23.09 | 0.52 | 176 | CN36138 | CAN | CZ/13/2/4 | 48.33 | 0.52 |
| 197 | CN39065 | CAN | K160/10/3/1/1/2 | 23.08 | 0.41 | 145 | CN35371 | KOR | KAS643/1 | 48.30 | 1.27 |
| 72 | CN33260 | CAN | Merit | 23.08 | 0.59 | 645 | CN107652 | USA | Sioux | 48.08 | 1.74 |
| 819 | CN120150 | UKR | UKR-2005 23-2 | 23.03 | 0.40 | 157 | CN35386 | KOR | KAS663/1 | 47.96 | 3.07 |
| 66 | CN33253 | CAN | Morsoy | 22.96 | 0.36 | 485 | CN107492 | DEU | Strain No. 42 | 47.84 | 0.31 |
| 330 | CN52641 | RUS | Vzlyot | 22.96 | 0.48 | 200 | CN39072 | CAN | X690/1/3 | 47.81 | 0.01 |
| 178 | CN36141 | CAN | K357/1/8/2/5 | 22.91 | 0.18 | 608 | CN107615 | DEU | Hercumft | 47.68 | 1.55 |
| 414 | CN107415 | CAN | Alta | 22.89 | 0.15 | 637 | CN107644 | POL | Zolta z Zolna | 47.59 | 0.85 |
| 293 | CN42379 | CAN | Gesto | 22.89 | 1.01 | 141 | CN35364 | KOR | KAS629/1 | 47.53 | 1.48 |
| 291 | CN39217 | CAN | X1592 | 22.86 | 0.47 | 492 | CN107499 | DEU | Strain No. 164 | 47.47 | 1.80 |
| 165 | CN35918 | RUS | Saliut 216 | 22.85 | 0.83 | 503 | CN107510 | DEU | Bitterhof | 47.40 | 1.97 |
| 346 | CN52737 | CAN | OT94/51 | 22.83 | 0.14 | 728 | CN107865 | YUG | Novosadska Rana | 47.31 | 0.42 |
| 396 | CN107397 | CAN | PS 55 | 22.82 | 0.45 | 643 | CN107650 | CHN | Salut 216 China | 47.25 | 1.44 |
| 292 | CN42220 | CAN | Corsoy 79 | 22.75 | 0.25 | 621 | CN107628 | CHN | Suen wu dah bai mee | 47.09 | 1.37 |
| 54 | CN32631 | CHE | PGR 4172 | 22.74 | 1.10 | 468 | CN107475 | NLD | J/5A | 47.05 | 1.66 |
| 391 | CN107391 | CAN | HS 3078 | 22.72 | 0.62 | 237 | CN39134 | CAN | X779/12/B | 47.02 | 0.39 |
| 362 | CN107359 | CAN | Frima | 22.72 | 0.52 | 206 | CN39081 | CAN | X693/5/1 | 47.01 | 0.06 |
| 345 | CN52736 | CAN | OT94/49 | 22.70 | 0.13 | 228 | CN39116 | CAN | X735/1/B | 46.83 | 0.62 |
| 823 | CN120154 | CAN | Niagra | 22.69 | 1.66 | 164 | CN35917 | RUS | Ussurijskaja 477 | 46.82 | 0.76 |
| 210 | CN39086 | CAN | X702/3/2 | 22.68 | 0.54 | 710 | CN107847 | BEL | B/22 | 46.74 | 1.16 |
| 79 | CN33268 | CAN | Crest | 22.67 | 0.75 | 504 | CN107511 | FRA | Jaune De Desme | 46.68 | 0.27 |
| Average | 23.21 | 0.51 | Average | 48.36 | 0.99 | ||||||
Publisher’s Note: MDPI stays neutral with regard to jurisdictional claims in published maps and institutional affiliations. |
© 2022 by the authors. Licensee MDPI, Basel, Switzerland. This article is an open access article distributed under the terms and conditions of the Creative Commons Attribution (CC BY) license (https://creativecommons.org/licenses/by/4.0/).
Share and Cite
Fu, Y.-B.; Cober, E.R.; Morrison, M.J.; Marsolais, F.; Zhou, R.; Xu, N.; Gahagan, A.C.; Horbach, C. Variability in Maturity, Oil and Protein Concentration, and Genetic Distinctness among Soybean Accessions Conserved at Plant Gene Resources of Canada. Plants 2022, 11, 3525. https://doi.org/10.3390/plants11243525
Fu Y-B, Cober ER, Morrison MJ, Marsolais F, Zhou R, Xu N, Gahagan AC, Horbach C. Variability in Maturity, Oil and Protein Concentration, and Genetic Distinctness among Soybean Accessions Conserved at Plant Gene Resources of Canada. Plants. 2022; 11(24):3525. https://doi.org/10.3390/plants11243525
Chicago/Turabian StyleFu, Yong-Bi, Elroy R. Cober, Malcolm J. Morrison, Frédéric Marsolais, Rong Zhou, Ning Xu, A. Claire Gahagan, and Carolee Horbach. 2022. "Variability in Maturity, Oil and Protein Concentration, and Genetic Distinctness among Soybean Accessions Conserved at Plant Gene Resources of Canada" Plants 11, no. 24: 3525. https://doi.org/10.3390/plants11243525
APA StyleFu, Y.-B., Cober, E. R., Morrison, M. J., Marsolais, F., Zhou, R., Xu, N., Gahagan, A. C., & Horbach, C. (2022). Variability in Maturity, Oil and Protein Concentration, and Genetic Distinctness among Soybean Accessions Conserved at Plant Gene Resources of Canada. Plants, 11(24), 3525. https://doi.org/10.3390/plants11243525

