Comparison of Two Simplified Versions of the Gielis Equation for Describing the Shape of Bamboo Leaves
Abstract
1. Introduction
2. Materials and Methods
2.1. Plant Materials and Leaf Collection
2.2. Data Acquisition
2.3. Data Fitting and Model Evaluation
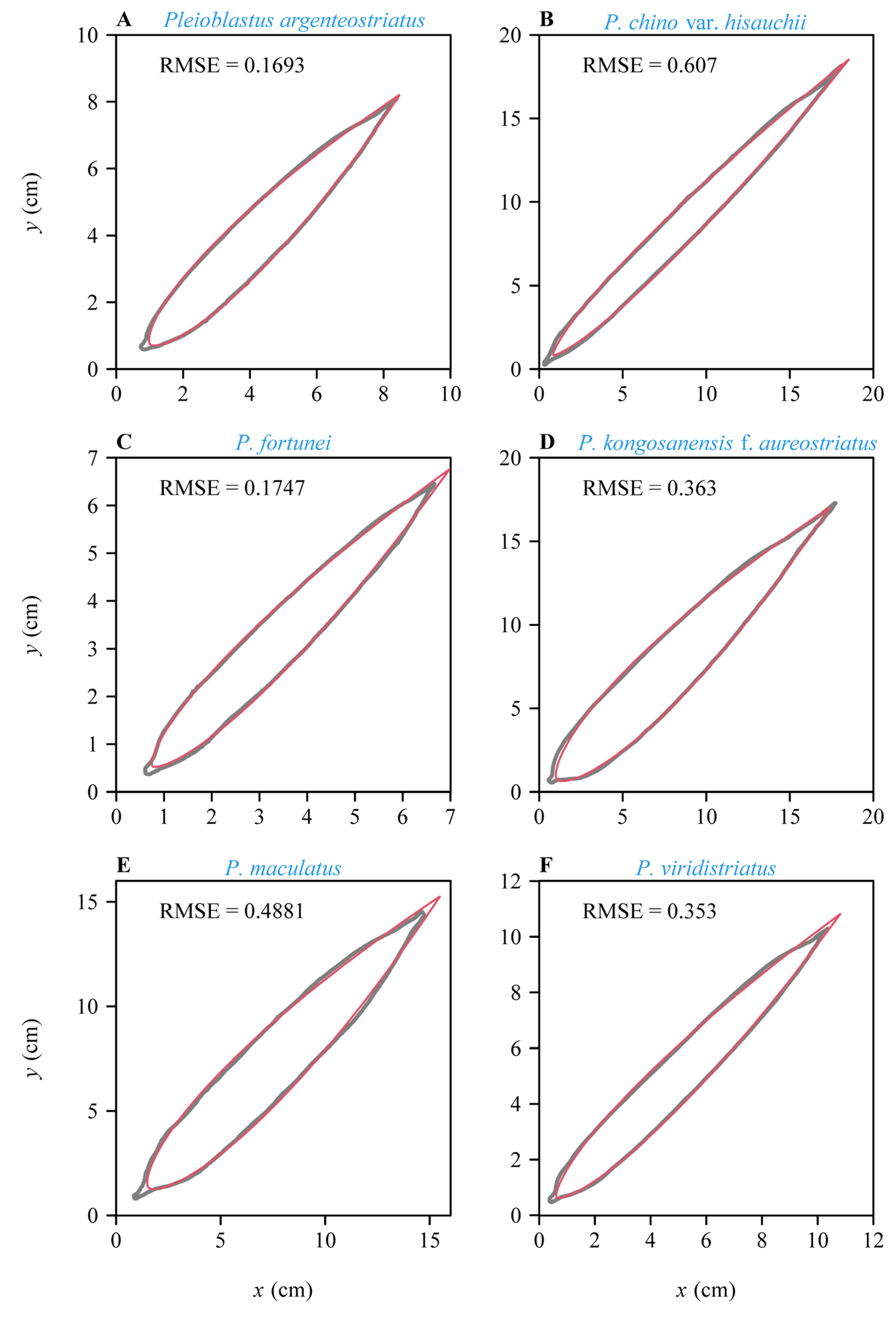
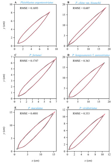
3. Results
4. Discussion and Conclusions
Supplementary Materials
Author Contributions
Funding
Institutional Review Board Statement
Informed Consent Statement
Data Availability Statement
Acknowledgments
Conflicts of Interest
References
- Liese, W.; Köhl, M. Bamboo: The Plant and Its Uses; Springer: Berlin/Heidelberg, Germany, 2015. [Google Scholar]
- Lin, S.; Niklas, K.J.; Wan, Y.; Hölscher, D.; Hui, C.; Ding, Y.; Shi, P. Leaf shape influences the scaling of leaf dry mass vs. area: A test case using bamboos. Ann. For. Sci. 2020, 77, 11. [Google Scholar] [CrossRef]
- Schrader, J.; Shi, P.; Royer, D.L.; Peppe, D.J.; Gallagher, R.V.; Li, Y.; Wang, R.; Wright, I.J. Leaf size estimation based on leaf length, width and shape. Ann. Bot. 2021, 128, 395–406. [Google Scholar] [CrossRef] [PubMed]
- Kincaid, D.T.; Schneider, R.B. Quantification of leaf shape with a microcomputer and Fourier transform. Can. J. Bot. 1983, 61, 2333–2342. [Google Scholar] [CrossRef]
- Baxes, G.A. Digital Image Processing: Principles and Applications; John Wiley and Sons, Inc.: New York, NY, USA, 1994. [Google Scholar]
- Shi, P.; Yu, K.; Niinemets, Ü.; Gielis, J. Can leaf shape be represented by the ratio of leaf width to length? Evidence from nine species of Magnolia and Michelia (Magnoliaceae). Forests 2021, 12, 41. [Google Scholar] [CrossRef]
- Li, Y.; Quinn, B.K.; Niinemets, Ü.; Schrader, J.; Gielis, J.; Liu, M.; Shi, P. Ellipticalness index—A simple measure of the complexity of oval leaf shape. Pak. J. Bot. 2022, 54, 2233–2240. [Google Scholar] [CrossRef]
- Dornbusch, T.; Watt, J.; Baccar, R.; Fournier, C.; Andrieu, B. A comparative analysis of leaf shape of wheat, barley and maize using an empirical shape model. Ann. Bot. 2011, 107, 865–873. [Google Scholar] [CrossRef]
- Shi, P.; Xu, Q.; Sandhu, H.S.; Gielis, J.; Ding, Y.; Li, H.; Dong, X. Comparison of dwarf bamboos (Indocalamus sp.) leaf parameters to determine relationship between spatial density of plants and total leaf area per plant. Ecol. Evol. 2015, 5, 4578–4589. [Google Scholar] [CrossRef]
- Shi, P.; Ratkowsky, D.A.; Li, Y.; Zhang, L.; Lin, S.; Gielis, J. A general leaf area geometric formula exists for plants—Evidence from the simplified Gielis equation. Forests 2018, 9, 714. [Google Scholar] [CrossRef]
- Lin, S.; Zhang, L.; Reddy, G.V.P.; Hui, C.; Gielis, J.; Ding, Y.; Shi, P. A geometrical model for testing bilateral symmetry of bamboo leaf with a simplified Gielis equation. Ecol. Evol. 2016, 6, 6798–6806. [Google Scholar] [CrossRef]
- Gielis, J.; Shi, P.; Caratelli, D. Universal equations—A fresh perspective. Growth Form 2022. [Google Scholar] [CrossRef]
- Gielis, J. A general geometric transformation that unifies a wide range of natural and abstract shapes. Am. J. Bot. 2003, 90, 333–338. [Google Scholar] [CrossRef]
- Lamé, G. Examen des Différentes Méthodes Employées Pour Résoudre les Problèmes de Géométrie; V. Courcier: Paris, France, 1818. [Google Scholar]
- Shi, P.; Gielis, J.; Quinn, B.K.; Niklas, K.J.; Ratkowsky, D.A.; Schrader, J.; Ruan, H.; Wang, L.; Niinemets, Ü. ‘biogeom’: An R package for simulating and fitting natural shapes. Ann. N. Y. Acad. Sci. 2022, 1516, 123–134. [Google Scholar] [CrossRef] [PubMed]
- Tian, F.; Wang, Y.; Sandhu, H.S.; Gielis, J.; Shi, P. Comparison of seed morphology of two ginkgo cultivars. J. For. Res. 2020, 31, 751–758. [Google Scholar] [CrossRef]
- Shi, P.; Ratkowsky, D.A.; Gielis, J. The generalized Gielis geometric equation and its application. Symmetry 2020, 12, 645. [Google Scholar] [CrossRef]
- Wang, L.; Ratkowsky, D.A.; Gielis, J.; Ricci, P.E.; Shi, P. Effects of the numerical values of the parameters in the Gielis equation on its geometries. Symmetry 2022, in press. [Google Scholar]
- Shi, P.; Gielis, J.; Niklas, K.J. Comparison of a universal (but complex) model for avian egg shape with a simpler model. Ann. N. Y. Acad. Sci. 2022, 1514, 34–42. [Google Scholar] [CrossRef]
- Wang, L.; Miao, Q.; Niinemets, Ü.; Gielis, J.; Shi, P. Quantifying the variation in the geometries of the outer rims of corolla tubes of Vinca major L. Plants 2022, 11, 1987. [Google Scholar] [CrossRef]
- Su, J.; Niklas, K.J.; Huang, W.; Yu, X.; Yang, Y.; Shi, P. Lamina shape does not correlate with lamina surface area: An analysis based on the simplified Gielis equation. Glob. Ecol. Conserv. 2019, 19, e00666. [Google Scholar] [CrossRef]
- R Core Team. R: A Language and Environment for Statistical Computing; R Foundation for Statistical Computing: Vienna, Austria, 2022; Available online: https://www.R-project.org/ (accessed on 1 June 2022).
- Yu, X.; Shi, P.; Schrader, J.; Niklas, K.J. Nondestructive estimation of leaf area for 15 species of vines with different leaf shapes. Am. J. Bot. 2020, 107, 1481–1490. [Google Scholar] [CrossRef]
- Hsu, J.C. Multiple Comparisons: Theory and Methods; Chapman and Hall/CRC: New York, NY, USA, 1996. [Google Scholar]
- Ratkowsky, D.A. Handbook of Nonlinear Regression Models; Marcel Dekker: New York, NY, USA, 1990. [Google Scholar]
- Li, Y.; Quinn, B.K.; Gielis, J.; Li, Y.; Shi, P. Evidence that supertriangles exist in nature from the vertical projections of Koelreuteria paniculata fruit. Symmetry 2022, 14, 23. [Google Scholar] [CrossRef]
- Hastie, T.; Tibshirani, R. Generalized Additive Models; Chapman & Hall: London, UK, 1990. [Google Scholar]
- Wood, S.N. Generalized Additive Models: An Introduction with R, 2nd ed.; Chapman and Hall/CRC Press: New York, NY, USA, 2017. [Google Scholar]
- Niinemets, Ü.; Portsmuth, A.; Tobias, M. Leaf shape and venation pattern alter the support investments within leaf lamina in temperate species, a neglected source of leaf physiological differentiation. Funct. Ecol. 2007, 21, 28–40. [Google Scholar] [CrossRef]






| Species Code | Scientific Name | Number of Culms | Number of Leaves | Sampling Date |
|---|---|---|---|---|
| 1 | Pleioblastus argenteostriatus | 60 | 335 | 27 August 2021 |
| 2 | Pleioblastus chino var. hisauchii | 15 | 336 | 21 August 2021 |
| 3 | Pleioblastus fortunei | 60 | 337 | 24 August 2021 |
| 4 | Pleioblastus kongosanensis f. aureostriatus | 60 | 336 | 22 August 2021 |
| 5 | Pleioblastus maculatus | 10 | 323 | 25 August 2021 |
| 6 | Pleioblastus viridistriatus | 60 | 329 | 23 August 2021 |
Publisher’s Note: MDPI stays neutral with regard to jurisdictional claims in published maps and institutional affiliations. |
© 2022 by the authors. Licensee MDPI, Basel, Switzerland. This article is an open access article distributed under the terms and conditions of the Creative Commons Attribution (CC BY) license (https://creativecommons.org/licenses/by/4.0/).
Share and Cite
Yao, W.; Niinemets, Ü.; Yao, W.; Gielis, J.; Schrader, J.; Yu, K.; Shi, P. Comparison of Two Simplified Versions of the Gielis Equation for Describing the Shape of Bamboo Leaves. Plants 2022, 11, 3058. https://doi.org/10.3390/plants11223058
Yao W, Niinemets Ü, Yao W, Gielis J, Schrader J, Yu K, Shi P. Comparison of Two Simplified Versions of the Gielis Equation for Describing the Shape of Bamboo Leaves. Plants. 2022; 11(22):3058. https://doi.org/10.3390/plants11223058
Chicago/Turabian StyleYao, Weihao, Ülo Niinemets, Wenjing Yao, Johan Gielis, Julian Schrader, Kexin Yu, and Peijian Shi. 2022. "Comparison of Two Simplified Versions of the Gielis Equation for Describing the Shape of Bamboo Leaves" Plants 11, no. 22: 3058. https://doi.org/10.3390/plants11223058
APA StyleYao, W., Niinemets, Ü., Yao, W., Gielis, J., Schrader, J., Yu, K., & Shi, P. (2022). Comparison of Two Simplified Versions of the Gielis Equation for Describing the Shape of Bamboo Leaves. Plants, 11(22), 3058. https://doi.org/10.3390/plants11223058

