Seed Vigour and Morphological and Physiological Characteristics of Epimedium brevicornu Maxim: In Different Stages of Seed Development
Abstract
:1. Introduction
2. Results
2.1. Seed Morphology of E. brevicornu at Different Stages of Development
2.2. Physiological Characteristics of E. brevicornu Seeds at Different Stages of Development
2.2.1. Soluble Sugar Content of E. brevicornu Seeds at Different Stages
2.2.2. Soluble Protein Content of E. brevicornu Seeds at Different Stages of Development
2.2.3. Fatty Acid Content of E. brevicornu Seeds at Different Stages of Development
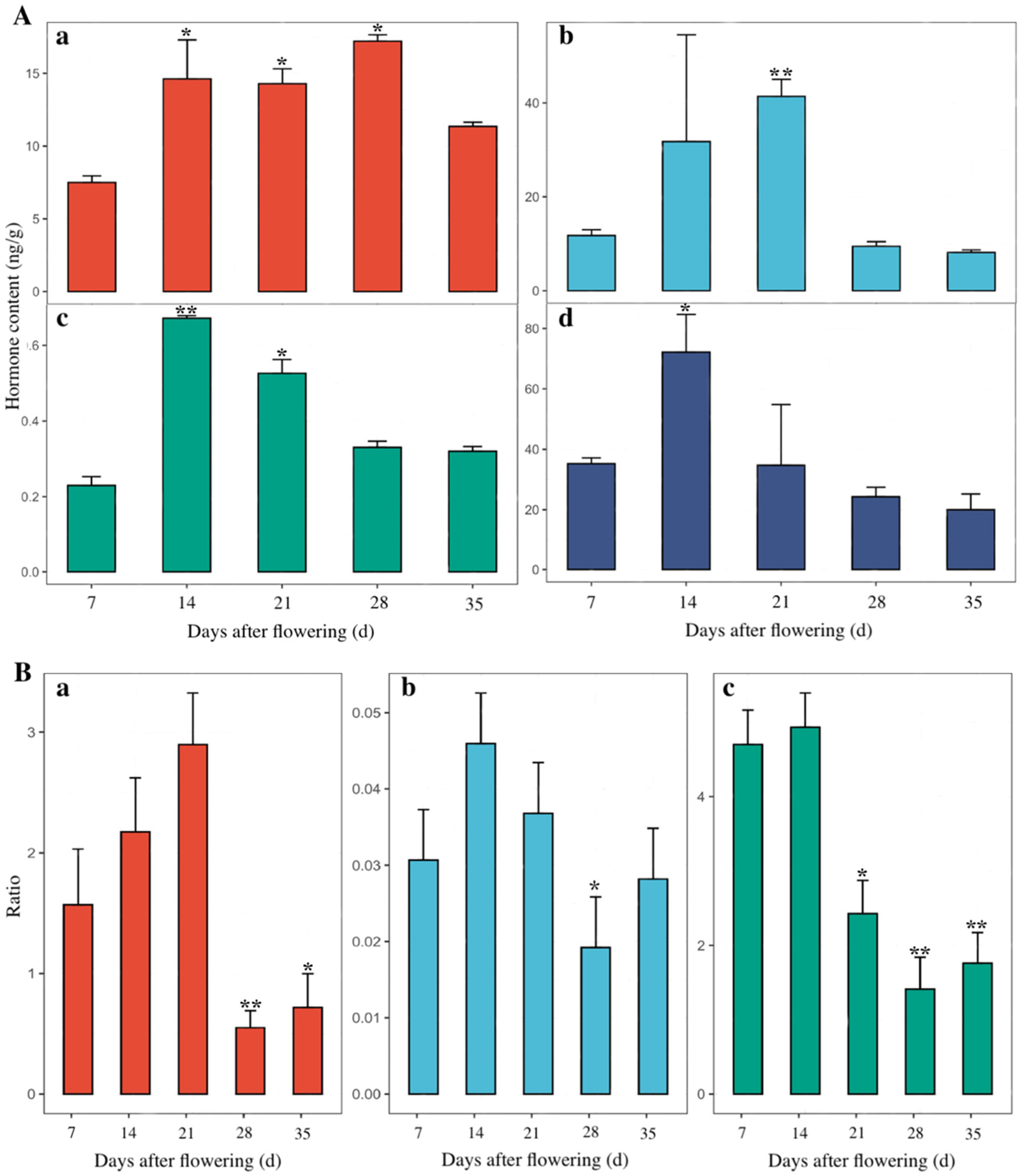
2.2.4. Endogenous Hormones in E. brevicornu Seeds at Different Stages of Development
2.3. Vigour of E. brevicornu Seeds at Different Stages of Development
2.3.1. Chamber Germination of E. brevicornu Seeds at Different Stages of Development
2.3.2. Seedlings Emergence of E. brevicornu Seeds at Different Stages of Development
2.4. Embryo Development of E. brevicornu Seeds at Different Stages of Development
2.5. Identification of E. brevicornu Seed Vigour by Hyperspectroscopy
2.6. Association Analysis of E. brevicornu Seed Morphological and Physiological Characteristics with Seed Vigour
3. Discussion
3.1. Morphology and Physiological Characteristics of E. brevicornu Seeds at Different Stages of Development
3.2. Association of Development Time and Seed Vigour Formation in E. brevicornu Seed
3.3. Hyperspectral Seed Vigour Detection Technique in E. brevicornu
3.4. Suitable Harvesting Period for E. brevicornu Seeds
4. Materials and Methods
4.1. Sampling Method
4.2. Measurement of Fresh Weight, Dry Mass and Moisture Content of Seeds
4.3. Microstructure Observation of Seeds
4.4. Detection of Soluble Sugar Content of E. brevicornu Seeds
4.5. Detection of Soluble Protein Content of E. brevicornu Seeds
4.6. Analysis of Fatty Acid Content of E. brevicornu Seeds
4.7. Assay of Endogenous Hormone Content of E. brevicornu Seeds
4.8. Testing of Seed Germination of E. brevicornu Seeds
4.9. Measurement of Embryo Length of E. brevicornu Seeds
4.10. Hyperspectral Detection
4.11. Seedling Emergence
4.12. Data Statistic Method
5. Conclusions
Author Contributions
Funding
Institutional Review Board Statement
Data Availability Statement
Acknowledgments
Conflicts of Interest
References
- Jiang, M.M. Progress and prospects of seed vigor research. Seed China Ind. 2018, 6, 15–18. (In Chinese) [Google Scholar]
- Yan, Y.Z.; Wu, J.R. Effect of seed quality of Platycodon grandiflorum on germination, seedling emergence and seedling quality. Chin. Tradit. Herb. Drugs 2007, 38, 1726–1729. [Google Scholar]
- Peng, Y.X.; Wang, H.X.; Cai, Z.P.; Wei, L.X. Germination characteristics of seeds of Gentiana macrophylla at different maturity levels. Zhe Jiang Nong Ye Xue Bao 2013, 8, 956–957. (In Chinese) [Google Scholar]
- Liu, R.L.; Zhang, L.F.; Jiang, J.M.; Xu, J.C. Effect of harvesting period on the quality of fruiting cob and seeds of Prunella vulgaris. Zhe Jiang Lin Ye Ke Ji 2009, 5, 38–40. (In Chinese) [Google Scholar]
- Su, H.; Yao, S.R.; Cai, J.; Jiang, Z.M.; Yang, C.H.; Xu, X.Q. Germination characteristics of Betula albo-sinensis seeds from different seed sources. Xi Bei Lin Xue Yuan Xue Bao 2021, 3, 109–114. (In Chinese) [Google Scholar]
- Yang, B.; Yan, S.; Li, S.P.; Ma, W.S.; Wang, X.; Li, L.Y.; Dong, Z.Y.; Yang, L.Y. Study on the harvesting period of seeds of cultivated Paris polyphylla var.yunnanensis. Yun Nan Zhong Yi Xue Yuan Xue Bao 2013, 3, 25–27. (In Chinese) [Google Scholar]
- Zhang, X.J.; Yu, Y.; Lei, H.X.; Pake, X.M.; Liu, Y.L.; Guo, J. Changes in morphological appearance and physiological and biochemical changes during seed development in Platycodon grandiflorum. Seeds 2018, 8, 36–40. (In Chinese) [Google Scholar]
- Sun, Q.; Wang, J.H.; Sun, B.Q. Advances in the physiological and genetic mechanisms of seed vigor. Chin. Agric. Sci. 2007, 1, 48–53. (In Chinese) [Google Scholar] [CrossRef]
- Stoddart, J.L. Seed Ripening in grasses. J. Agric. Sci. 1964, 3, 397–402. [Google Scholar] [CrossRef]
- Qi, Y.P. Physiological and Biochemical Dynamics of Seed Development in Schisandra sphenanthera Rehd. in Central China. Master’s Thesis, Shaanxi Normal University, Xi’an, China, 2009. (In Chinese). [Google Scholar]
- Wang, J.M.; Tan, M.L.; Lei, Z.H.; Wang, L.; Yang, C.P.; Wang, W.; Wang, L.; Yan, X.C.; Wang, L.J. Effect of harvesting time on the quality and quality of oil flower seeds [J/OL]. Chin. J. Oilseed Crops 2021, 12, 10. (In Chinese) [Google Scholar]
- Liu, M.; Zeng, Z.X.; Xu, Y.; Zhang, X.; Li, M.J.; Sun, J. Study on the changes of physiological and biochemical indicators during seed development of peony. Seeds 2021, 5, 27–32. (In Chinese) [Google Scholar]
- Xu, Y.Q.; Li, Z.Z.; Zhang, X.J.; Chen, J.J.; Zhou, J.F.; Wang, Y. Geographical distribution and resource survey of three species of medicinal Epimedium. J. Wuhan Bot. Res. 2008, 1, 91–98. (In Chinese) [Google Scholar]
- Wu, L. Study on the molecular mechanism of the anti-Parkinsonian effect of total flavonoids of Epimedium and its main active ingredient Icariin. Master’s Thesis, Qingdao University, Qingdao, China, 2013. [Google Scholar]
- Helland, I.S.; Næs, T.; Isaksson, T. Related versions of the multiplicative scatter correction method for preprocessing spectroscopic data. Lab. Inf. Manag. 1995, 29, 233–241. [Google Scholar] [CrossRef]
- Yan, Q.C. Seed Science; China Agricultural Press: Beijing, China, 2005; pp. 9–17. [Google Scholar]
- Wang, H.L.; Xing, F.; Tang, L. Observation and analysis of flowering and fruiting phenomena in four species of Epimedium. Xian Dai Nong Ye Ke Ji 2009, 22, 94–96. (In Chinese) [Google Scholar]
- Gao, Z.M.; Quan, Q.M.; Xiao, J.; Li, Y.X. Flowering phenology and reproductive characteristics of E. pubescens Maxim. Kuang-hsi Chih Wu 2014, 1, 46–50. (In Chinese) [Google Scholar]
- Wang, Y.; Quan, Q.M.; Li, Y.X. Effect of flowering time on nectar secretion and fruit set of E. wushanense. Zhiwu Fenlei Yu Ziyuan Xuebao 2012, 5, 471–477. (In Chinese) [Google Scholar]
- Bewley, J.D. Seed dormancy and germination. Plant Cell 1997, 9, 1055–1066. [Google Scholar] [CrossRef]
- Berry, J.D.; Black, M. Seed Physiology of Development and Germination; Plenum Press: New York, NY, USA; London, UK, 1985; pp. 175–233. [Google Scholar]
- Fan, X.K.; Ruan, C.J.; Zhang, G.C.; Ding, J. Dynamic changes of oil content and fatty acid composition of seed oil in Pinus koraiensis seeds at different developmental stages. Soil Fert. Sci. China 2019, 4, 112–114. (In Chinese) [Google Scholar]
- Yu, X. Changes in seed composition and respiration of Ginkgo biloba L. in different periods. Zhongkai Nong Ye Ji Shu Xue Yuan Xue Bao 1998, 2, 19–23. (In Chinese) [Google Scholar]
- An, N. Research on fruit development and seed post-maturation characteristics of Panax notoginseng. Master’s Thesis, Yunnan Agricultural University, Yunnan, China, 2006. [Google Scholar]
- Qin, Y.T.; Li, X.; Zhai, Z.X.; Dong, X. Physiological characteristics of seed development in Taxus x media. Acta Agric. Boreali-Occident. Sin. 2014, 11, 8–13. (In Chinese) [Google Scholar]
- Yan, Y. Research on capsule and seed development of Cistanche tubulosa. Master’s Thesis, China Agricultural University, Beijing, China, 2009. [Google Scholar]
- Chen, J.E.; Zhang, L.M.; Ge, P.S.; Lv, Z.Q.; Chen, H.; Liu, B. Effect of seed maturity on seed germination and plant growth of Alisma orientalis. Res. Pract. Chin. Med. 2007, 11, 1726–1729. (In Chinese) [Google Scholar]
- Kandpal, L.M.; Lohumi, S.; Kim, M.S.; Kang, J.S.; Cho, B.K. Near-infrared hyperspectral imaging system coupled with multivariate methods to predict viability and vigor in muskmelon seeds. Sens. Actuators B 2016, 229, 534–544. [Google Scholar] [CrossRef]
- Nansen, C.; Zhao, G.; Dakin, N.; Zhao, C.; Shane, R. Using hyperspectral imaging to determine germination of native Australian plant seeds. J. Photochem. Photobiol. B 2015, 145, 19–24. [Google Scholar] [CrossRef] [PubMed]
- Wu, C.M.; Li, Y.X.; Quan, Q.M.; Zeng, R.; Guo, Q. Relationship between fruit maturity and habitats of Epimedium brevicornum. Chin. J. Appl. Environ. Biol. 2008, 14, 187–191. (In Chinese) [Google Scholar]
- Tang, X.M.; Cheng, X.X.; Zhang, C.R.; Lu, T.; Yang, Q. Study on the suitable harvest time for Desmodium styracifolium Seeds. Seed 2018, 37, 98–101. (In Chinese) [Google Scholar]
- Li, S.; Han, M.; Yang, L.M. Study on the ripening process and optimal harvesting period of Scutellaria baicalensis Georgi seeds. J. Chin. Med. Mater. 2011, 34, 1328–1330. (In Chinese) [Google Scholar]
- Li, Z.L. Plant Tissue Section Production Technology, 1st ed.; Science Publishers: Beijing, China, 1987. [Google Scholar]
- Wang, X.K. Principles and Techniques of Plant Physiological and Biochemical Experiments, 3rd ed.; Higher Education Press: Beijing, China, 2014; p. 220. [Google Scholar]
- Wang, X.P.; Xing, S.L. Study on the determination of protein content by Kaomas Brilliant Blue method. Tianjin Chem. Ind. 2009, 3, 40–42. (In Chinese) [Google Scholar]
- Robert, J.P.; Jahren, A.H. Single-step transesterification with simultaneous concentration and stable isotope analysis of fatty acid methyl esters by gas chromatography-combustion-isotope ratio mass spectrometry. Rapid Commun. Mass Spectrom. 2011, 10, 1373–1381. [Google Scholar]
- Wu, S.R.; Chen, W.F.; Zhou, X. Determination of endogenous phytohormones by ELISA. Plant Physiol. Commun. 1988, 5, 53–57. (In Chinese) [Google Scholar]
- Ma, Y.; Chen, X.; Guo, B. Identification of genes involved in metabolism and signaling of abscisic acid and gibberellins during Epimedium pseudowushanense B.L.Guo seed morphophysiological dormancy. Plant Cell Rep. 2018, 7, 1061–1075. [Google Scholar] [CrossRef]






| Days after Flowering (d) | 7 | 14 | 21 | 28 | 35 | |
|---|---|---|---|---|---|---|
| Saturated fatty acid | Palmitic acid | 1.33 | 1.49 ± 0.01 | 1.31 ± 0.01 | 1.67 ± 0.03 | 1.40 ± 0.01 |
| Myristic acid | 0.05 | 0.05 | 0.04 | 0.05 | 0.04 | |
| Stearic acid | 0.30 | 0.36 | 0.31 | 0.36 ± 0.01 | 0.29 | |
| Arachidic acid | 0.06 | 0.05 | 0.04 | 0.04 | 0.04 | |
| Behenic acid | 0.03 | 0.02 | 0.02 | 0.01 | 0.01 | |
| Tetradecanoic acid | 0.01 | 0.00 | 0.01 | 0.02 | 0.02 | |
| Subtotal | 1.77 | 1.98 | 1.73 | 2.15 | 1.80 | |
| Unsaturated fatty acid | Linoleic acid | 6.13 | 7.17 ± 0.03 | 6.47 ± 0.03 | 8.31 ± 0.15 | 7.02 ± 0.04 |
| Oleic acid | 2.40 | 3.11 ± 0.01 | 2.93 ± 0.02 | 4.41 ± 0.07 | 3.92 ± 0.01 | |
| Linolenic acid | 0.28 | 0.25 | 0.19 | 0.19 | 0.15 | |
| Arachidonic acid | 0.03 | 0.04 | 0.03 | 0.04 | 0.04 | |
| Palmitoleic acid | 0.02 | 0.03 | 0.02 | 0.03 | 0.03 | |
| Subtotal | 8.87 | 10.60 | 9.64 | 12.98 | 11.16 |
| Growth from Seedlings (%) | Days after Flowering (d) | Days after Sowing (d) | |||
|---|---|---|---|---|---|
| 7 | 14 | 21 | 28 | ||
| Emergence | 21 | 4.67 ± 2.33 a | 7.67 ± 2.96 a | 8.67 ± 3.53 a | 9.33 ± 3.84 a |
| 28 | 8.00 ± 3.06 a | 17.00 ± 2.00 a | 19.00 ± 1.53 ab | 20.33 ± 1.20 ab | |
| 35 | 21.33 ± 8.35 b | 37.33 ± 7.13 b | 46.00 ± 13.20 b | 46.33 ± 13.10 b | |
| First true leaf | 21 | 49.60 ± 2.28 a | 67.58 ± 9.04 a | 75.05 ± 12.96 a | |
| 28 | 59.33 ± 7.55 a | 77.08 ± 0.47 ab | 80.71 ± 5.07 a | ||
| 35 | 60.09 ± 6.85 a | 90.35 ± 3.56 b | 93.20 ± 3.65 a | ||
| Second true leaf | 21 | 7.88 ± 1.21 a | |||
| 28 | 4.55 | 14.33 ± 5.28 a | |||
| 35 | 10.56 ± 2.96 | 42.87 ± 0.99 b | |||
| Pretreatment | Model | Training Set | Testing Set | Hold-Out Set |
|---|---|---|---|---|
| MSC | SVM | 88.3 | 80.0 | 95.5 |
| RAW | 95.0 | 66.7 | 95.5 | |
| SNV | 95.0 | 73.3 | 68.2 |
| RF | FW | DW | SS | TP | FA | GR | ER | |
|---|---|---|---|---|---|---|---|---|
| RF | 1 | |||||||
| FW | 0.916 * | 1 | ||||||
| DW | 0.912 * | 0.948 * | 1 | |||||
| SS | −0.855 | −0.823 | −0.943 * | 1 | ||||
| TP | 0.911 * | 0.824 | 0.705 | −0.574 | 1 | |||
| FA | 0.585 | 0.852 | 0.743 | −0.511 | 0.511 | 1 | ||
| GR | 0.971 ** | 0.942 * | 0.980 ** | −0.915 * | 0.811 | 0.674 | 1 | |
| ER | 0.946 * | 0.962 ** | 0.965 ** | −0.839 | 0.830 | 0.772 | 0.983 ** | 1 |
Publisher’s Note: MDPI stays neutral with regard to jurisdictional claims in published maps and institutional affiliations. |
© 2022 by the authors. Licensee MDPI, Basel, Switzerland. This article is an open access article distributed under the terms and conditions of the Creative Commons Attribution (CC BY) license (https://creativecommons.org/licenses/by/4.0/).
Share and Cite
Li, P.; Fan, J.; Song, C.; Dong, X.; Kang, D. Seed Vigour and Morphological and Physiological Characteristics of Epimedium brevicornu Maxim: In Different Stages of Seed Development. Plants 2022, 11, 2399. https://doi.org/10.3390/plants11182399
Li P, Fan J, Song C, Dong X, Kang D. Seed Vigour and Morphological and Physiological Characteristics of Epimedium brevicornu Maxim: In Different Stages of Seed Development. Plants. 2022; 11(18):2399. https://doi.org/10.3390/plants11182399
Chicago/Turabian StyleLi, Pengshu, Jiarong Fan, Chengli Song, Xuehui Dong, and Dingming Kang. 2022. "Seed Vigour and Morphological and Physiological Characteristics of Epimedium brevicornu Maxim: In Different Stages of Seed Development" Plants 11, no. 18: 2399. https://doi.org/10.3390/plants11182399
APA StyleLi, P., Fan, J., Song, C., Dong, X., & Kang, D. (2022). Seed Vigour and Morphological and Physiological Characteristics of Epimedium brevicornu Maxim: In Different Stages of Seed Development. Plants, 11(18), 2399. https://doi.org/10.3390/plants11182399
