Influence of Morphostructural Elements for Buckwheat (Fagopyrum esculentum Moench) Productivity in Different Agricultural Systems
Abstract
:1. Introduction
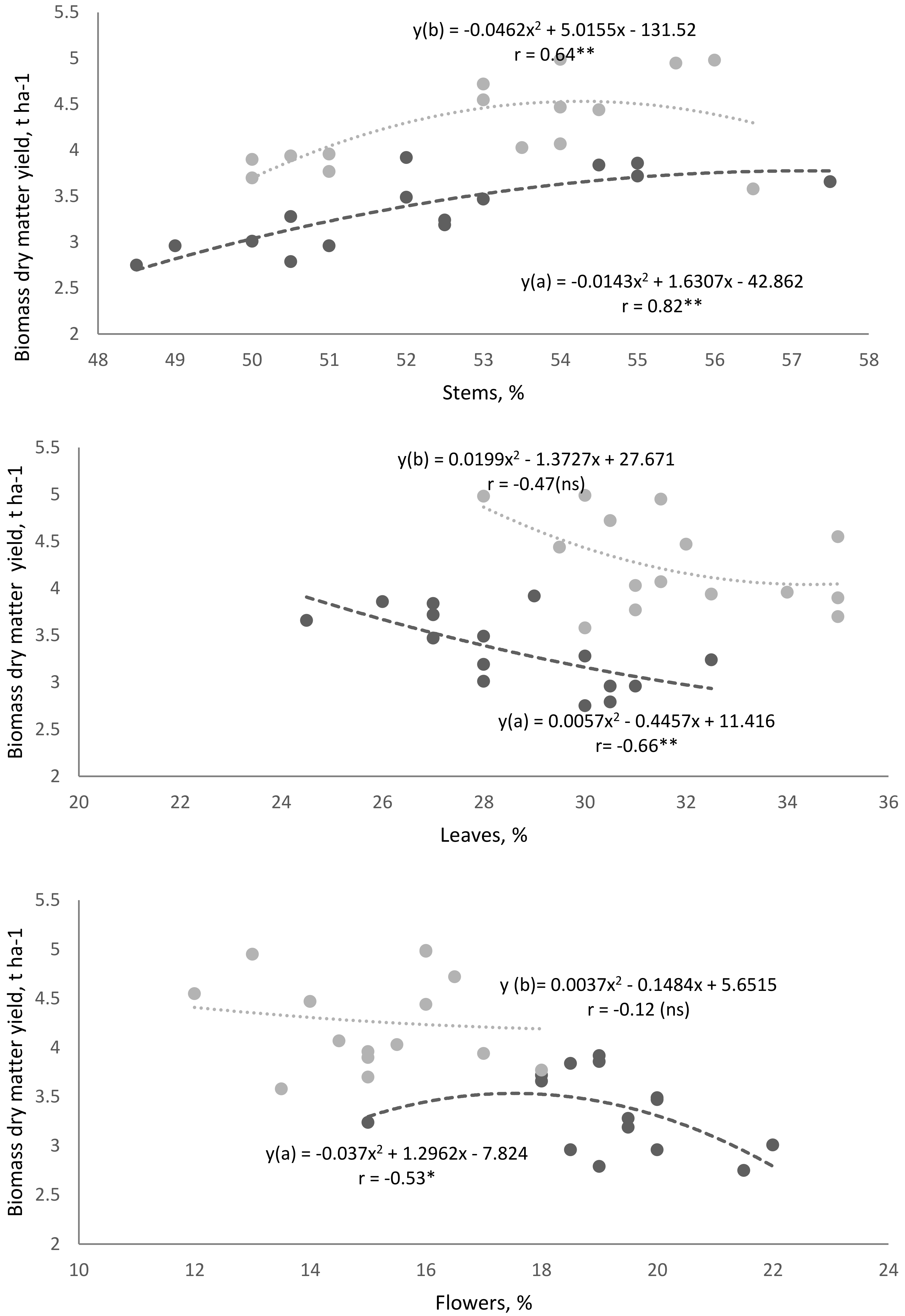
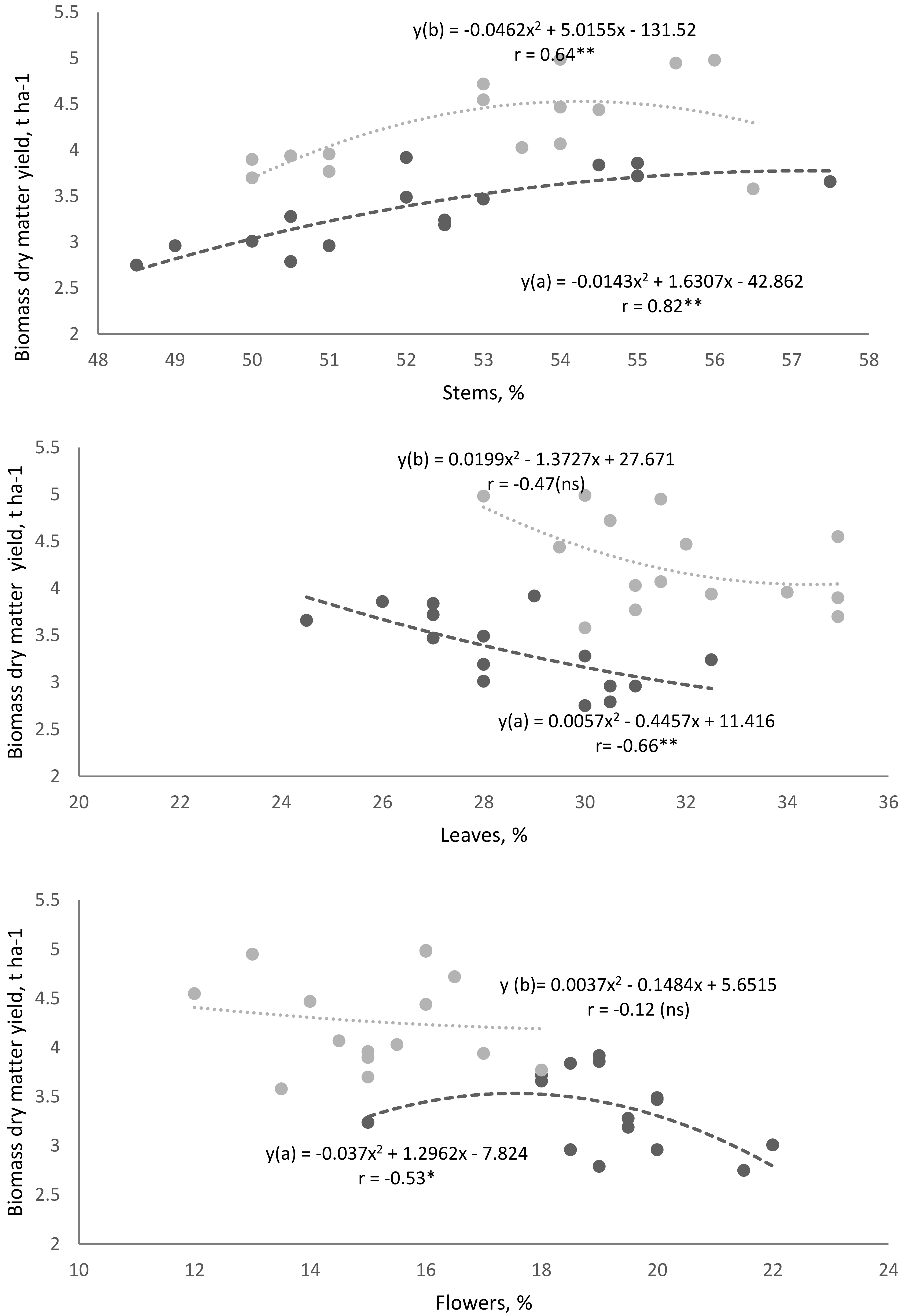
2. Results
3. Discussion
4. Materials and Methods
4.1. Site and Soil
4.2. Experimental Design and Management
4.3. Meteorological Conditions
4.4. Biomass and Grain Harvesting
4.5. Statistical Analyses
5. Conclusions
Author Contributions
Funding
Institutional Review Board Statement
Informed Consent Statement
Data Availability Statement
Conflicts of Interest
References
- Gondola, I.; Papp, P.P. Origin, geographical distribution and phylogenic relationships of common buckwheat (Fagopyrum esculentum Moench.). Eur. J. Plant Sci. Biotechnol. 2010, 4, 17–32. [Google Scholar]
- Woo, S.H.; Kamal, A.H.M.; Tatsuro, S.; Campbell, C.G.; Adachi, T.; Yun, Y.-H.; Chung, K.-Y.; Choi, J.-S. Buckwheat (Fagopyrum esculentum Moench.): Concepts, Prospects and Potential. Eur. J. Plant Sci. Biotechnol. 2010, 4, 1–16. [Google Scholar]
- Jacquemart, A.L.; Cawoy, V.; Kinet, J.M.; Ledent, J.F.; Quinet, M. Is Buckwheat (Fagopyrum esculentum Moench) Still a Valuable Crop Today? Eur. J. Plant Sci. Biotechnol. 2012, 6, 1–10. Available online: http://hdl.handle.net/2078.1/120564 (accessed on 1 August 2022).
- Popović, V.; Sikora, V.; Glamoclija, D.; Ikanovic, J.; Filipovic, V.; Tabakovic, M.; Simic, D. Influence of agro-ecological conditions and foliar fertilization on yield and yield components of buckwheat in conventional and organic cropping system. Biotechnol. Anim. Husb. 2013, 29, 537–546. [Google Scholar] [CrossRef]
- Popovic, V.; Sikora, V.; Berenji, J.; Filipovic, V.; Dolijanovic, Z.; Ikanović, J.; Doncic, D.; Vera, P.; Vladimir, S.; Janoš, B.; et al. Analysis of buckwheat production in the world and Serbia. Econ. Agric. 2014, 6, 53–62. [Google Scholar] [CrossRef]
- Farooq, S.; UlRehman, R.; Pirzadah, T.B.; Malik, B.; AhmadDar, F.; Tahir, I. Chapter twenty three—Cultivation, Agronomic Practices, and Growth Performance of Buckwheat. Mol. Breed. Nutr. Asp. Buckwheat 2016, 16, 299–319. [Google Scholar] [CrossRef]
- Grahić, J.; Ðikić, M.; Gadžo, D.; Uzonović, M.; Okić, A.; Kurtović, M.; Gaši, F. Analysis of agronomic practices of buckwheat producers in Bosnia and Hercogovina. Rad. Poljopr. Fac. Univ. U Sarajev. 2016, 61, 21–30. [Google Scholar]
- Zieliński, H.; Ciesarová, Z.; Kukurová, K.; Zielinska, D.; Szawara-Nowak, D.; Starowicz, M.; Wronkowska, M. Effect of fermented and unfermented buckwheat flour on funktional properties of gluten-free muffins. J. Food Sci. Technol. 2017, 54, 1425–1432. [Google Scholar] [CrossRef] [PubMed]
- Ikanovic, J.; Rakic, S.; Popović, V.; Jankovic, S.; Glamoclija, D.; Kuzevski, J. Agro-ecological conditions and morpho-productive properties of buckwheat. Biotechnol. Anim. Husb. 2013, 29, 555–562. [Google Scholar] [CrossRef]
- De Ponti, T.; Rijk, B.; Van Ittersum, M.K. The crop yield gap between organic and conventional agriculture. Agric. Syst. 2012, 108, 1–9. [Google Scholar] [CrossRef]
- Fesenko, A.N.; Mazalov, V.I. Influence of Fertilizers on Crop Yield of Modern Buckwheat Varieties of Various Morphotypes. Russ. Agric. Sci. 2017, 43, 108–112. [Google Scholar] [CrossRef]
- Maletić, R.; Jevdjović, R. The influence of meteorological conditions on major quantitative and qulitative traits of buckwheat (Fagopyrum esculentum Moench.). J. Agric. Sci. 2003, 48, 11–19. [Google Scholar] [CrossRef]
- Inoue, N.; Hagiwara, M.; Kim, H.Y.; Matano, T. A preliminary study for modeling seed production in common buckwheat. Fagopyrum 1998, 15, 35–41. [Google Scholar]
- Gebremedhn, H.; Tadesse, A.; Belay, T. Relating climatic factors to foraging behavior of honeybees (Apis mellifera) during blooming period of Guizotia abyssinica (L.F.). Livest. Res. Rural Dev. 2014, 26, 2–7. Available online: http://www.lrrd.org/lrrd26/4/haft26060.html (accessed on 1 August 2022).
- Romanovskaja, D.; Razukas, A.; Asakaviciute, R. Impact of hydrothermal conditions on common buckwheat (Fagopyrum esculentum Moench.) productivity. Appl. Ecol. Environ. Res. 2016, 14, 137–150. [Google Scholar] [CrossRef]
- Brunori, A.; Baviello, G.; Marconi, E.; Colonna, M.; Ricci, M. The yield of five buckwheat (Fagopyrum esculentum Moench) varieties grown in central and Souther Italy. Fagopyrum 2005, 22, 98–102. [Google Scholar]
- FAO. World Reference Base for Soil Resources, Update 2015. International Soil Classification System for Naming Soils and Creating Legends for Soil Maps; World Soil Resourses Reports; FAO: Rome, Italy, 2015; Volume 106. [Google Scholar]
- Žvikas, V.; Pukelevičienė, V.; Ivanauskas, L.; Romanovskaja, D.; Jakštas, V. Evaluation of phenolic antioxidant content in organically and conventionally grown buckwheat herb crop and its regrowth. J. Sci. Food Agric. 2017, 97, 3278–3283. [Google Scholar] [CrossRef] [PubMed]
- Horiuchi, T.; Mizuno, T.; Umenura, M.; Ando, Y. Fertilizer response of buckwheat (Fagopyrum esculentum Moench) in comparison between chemical fertilizers and farmyard manure at diferent altitudes. Curr. Adv. Buckwheat Res. 1996, 615–626. [Google Scholar]
- Fesenko, A.N.; Mazalov, V.I.; Biryukova, O.V. Comparative Analysis of Yield of Buckwheat Varieties, Developed in Different Years. Zemledelie 2017, 3, 31–34. (In Russian) [Google Scholar]
- Meier, U. Growth Stages of Mono-and Dicotyledonous Plants: BBCH Monograph, 2nd ed.; Federal Biological Research Centre for Agriculture and Forestry; BBCH English; Bonn, Germany, 2001. [Google Scholar]





| Indicator | Year | Indicator Values in Different Agricultural Systems | LSD05(A) | |
|---|---|---|---|---|
| Organic | Conventional | |||
| Biomass dry matter, t ha−1 | 2018 | 3.78 | 5.05 | 0.100 |
| 2019 | 2.90 | 3.48 | 0.081 | |
| Grain yield, t ha−1 | 2018 | 2.66 | 2.64 | 0.079 |
| 2019 | 3.12 | 3.43 | 0.102 | |
| Harvest index | 2018 | 0.41 | 0.35 | 0.009 |
| 2019 | 0.52 | 0.49 | 0.011 | |
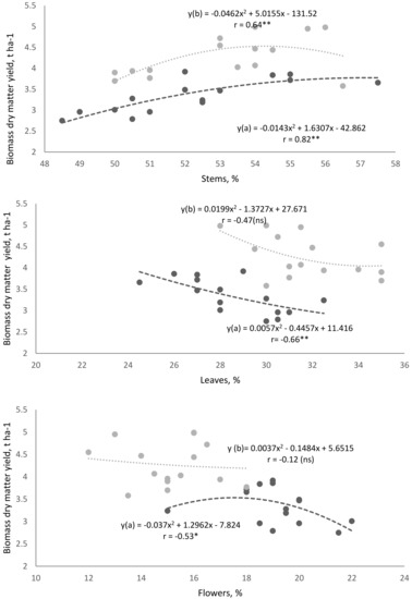
| Year | Correlation Coefficient (r) | |
|---|---|---|
| Organic Farming System | Conventional Farming System | |
| 2018 | 0.64 ** | 0.47 (ns) |
| 2019 | 0.76 ** | 0.19 (ns) |
| Cultivars | Organic | Conventional | ||||
|---|---|---|---|---|---|---|
| Steams | Leaves | Flowers | Steams | Leaves | Flowers | |
| ‘VB Vokiai’ | 53.0 ± 6 * | 27.0 ± 1 | 20.0 ± 6 | 54.0 ± 4 | 31.5 ± 1 | 14.5 ± 4 |
| ‘VB Nojai’ | 49.0 ± 5 | 31.0 ± 1 | 20.0 ± 5 | 50.0 ± 3 | 35.0 ± 2 | 15.0 ± 4 |
| ‘Kora’ | 52.5 ± 7 | 32.5 ± 3 | 15.0 ± 4 | 50.0 ± 9 | 35.0 ± 2 | 15.0 ± 7 |
| ‘Panda’ | 50.5 ± 9 | 30.5 ± 3 | 19.0 ± 6 | 55.5 ± 4 | 31.5 ± 1 | 13.0 ± 4 |
| ‘Anita Belaruskaya’ | 52.0 ± 7 | 29.0 ± 2 | 19.0 ± 5 | 54.5 ± 5 | 29.5 ± 2 | 16.0 ± 6 |
| ‘Smuglianka’ | 51.0 ± 5 | 30.5 ± 1 | 18.5 ± 5 | 53.0 ± 8 | 30.5 ± 2 | 16.5 ± 6 |
| ‘Volma’ | 50.5 ± 7 | 30.0 ± 1 | 19.5 ± 7 | 51.0 ± 7 | 34.0 ± 3 | 15.0 ± 4 |
| ‘Anika’ | 52.0 ± 5 | 28.0 ± 1 | 20.0 ± 5 | 54.0 ± 2 | 32.0 ± 1 | 14.0 ± 1 |
| ‘Kvietka’ | 55.0 ± 4 | 26.0 ± 1 | 19.0 ± 4 | 50.5 ± 6 | 32.5 ± 1 | 17.0 ± 5 |
| ‘Canita’ | 54.5 ± 6 | 27.0 ± 1 | 18.5 ± 6 | 51.0 ± 8 | 31.0 ± 3 | 18.0 ± 5 |
| ‘Zaleika’ | 52.5 ± 8 | 28.0 ± 2 | 19.5 ± 7 | 53.5 ± 5 | 31.0 ± 1 | 15.5 ± 4 |
| ‘Mara’ | 48.5 ± 10 | 30.0 ± 2 | 21.5 ± 8 | 53.0 ± 6 | 35.0 ± 4 | 12.0 ± 2 |
| ‘Zniajarka’ | 50.0 ± 7 | 28.0 ± 1 | 22.0 ± 8 | 54.0 ± 7 | 30.0 ± 1 | 16.0 ± 6 |
| ‘Belaruskijdeterminant—1′ | 57.5 ± 7 | 24.5 ± 2 | 18.0 ± 5 | 56.0 ± 7 | 28.0 ± 2 | 16.0 ± 5 |
| ‘Belaruskij determinant—2′ | 55.0 ± 8 | 27.0 ± 2 | 18.0 ± 5 | 56.5 ± 4 | 30.0 ± 1 | 13.5 ± 4 |
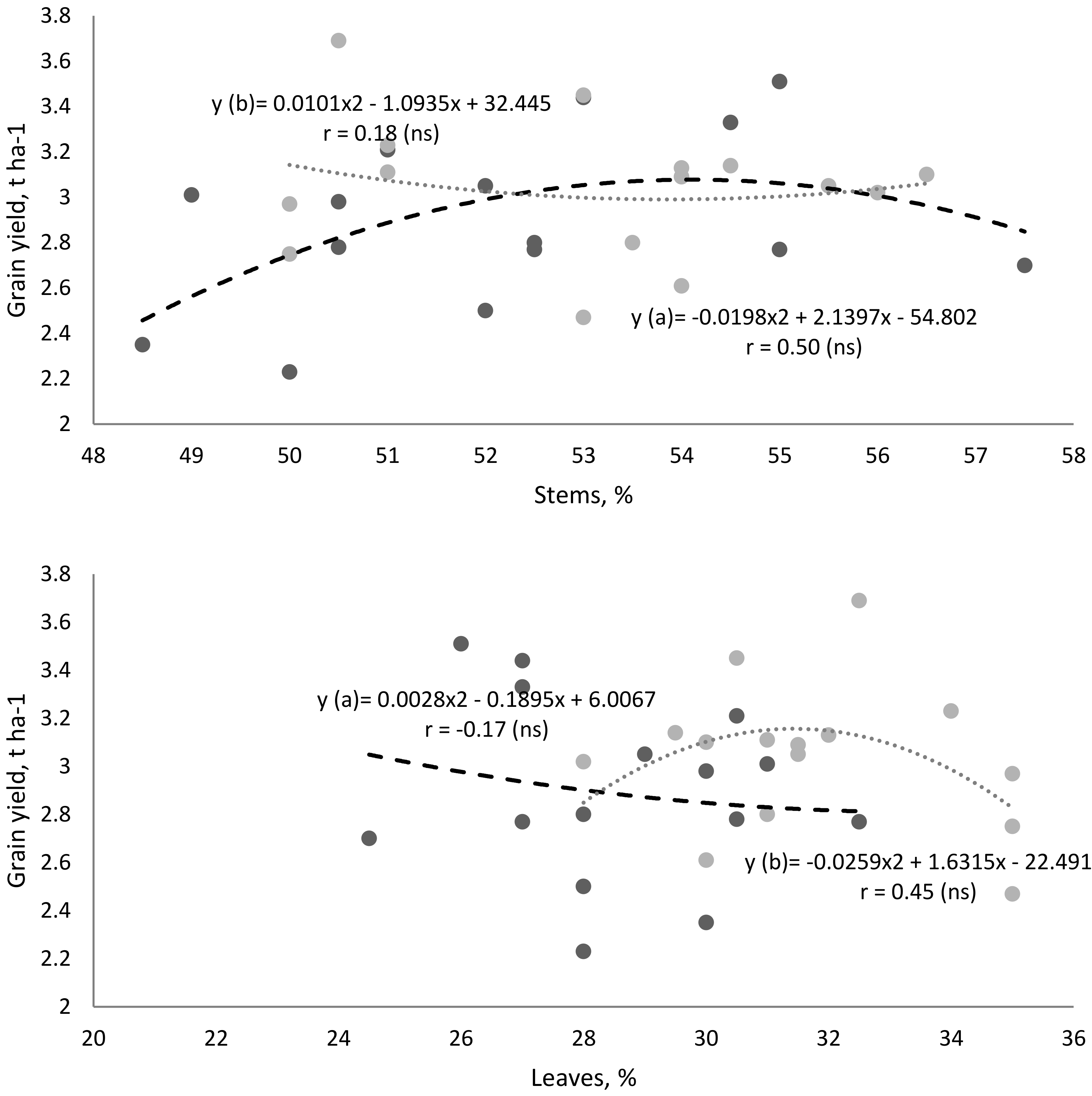
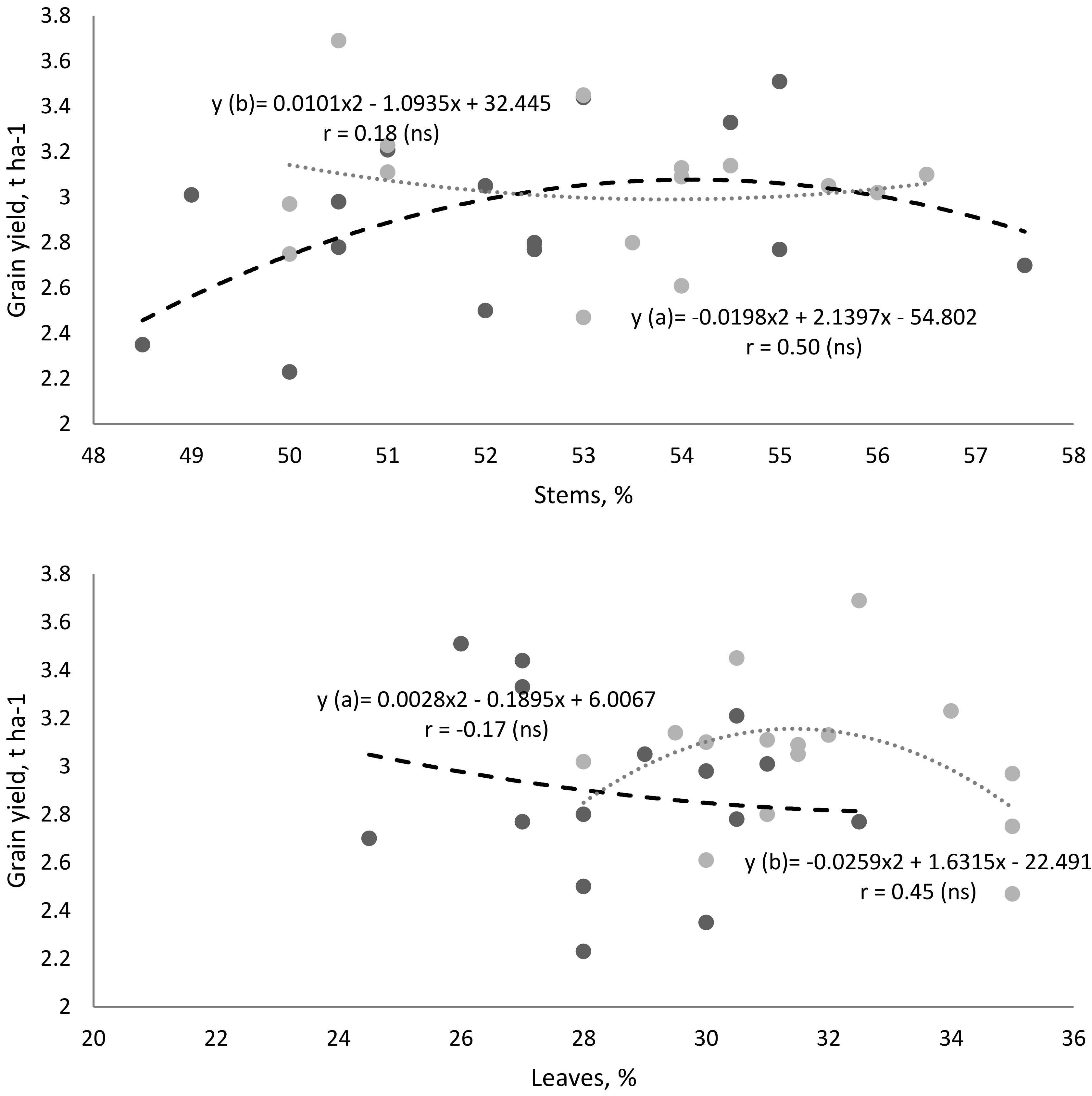
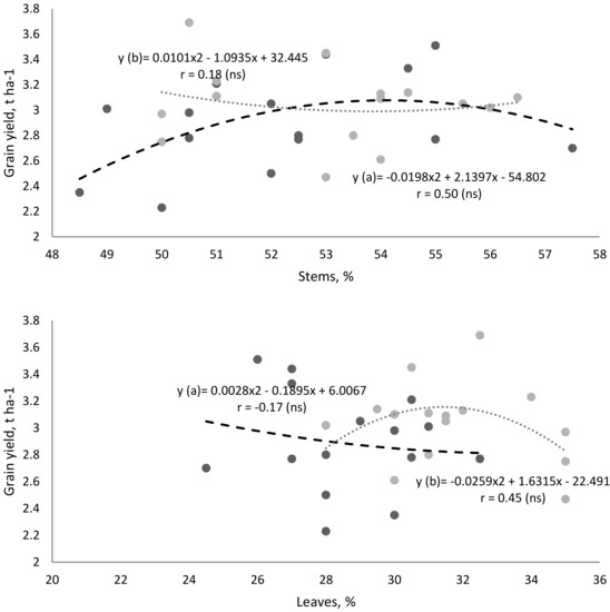
| Morphostructural Elements | Coefficients of Correlation (r) | |||
|---|---|---|---|---|
| Grain Yield | Harvest Index | |||
| 2018 Year | 2019 Year | 2018 Year | 2019 Year | |
| Organic farming system | ||||
| Stems, % | 0.60 * | 0.44 (ns) | −0.43 (ns) | −0.46 (ns) |
| Leaves, % | −0.72 ** | −0.10 (ns) | −0.46 (ns) | −0.65 ** |
| Flowers, % | 0.50 * | 0.68 ** | 0.45 (ns) | 0.57 * |
| Conventional farming system | ||||
| Stems, % | 0.51 * | 0.35 (ns) | −0.21 (ns) | −0.61 * |
| Leaves, % | −0.71 ** | −0.40 (ns) | −0.31 (ns) | −0.80 ** |
| Flowers, % | 0.38 (ns) | 0.33 (ns) | 0.34 (ns) | 0.60 * |
| Month | HTC | ||
|---|---|---|---|
| 2018 | 2019 | Long Term Average | |
| June | 1.10 | 0.36 | 1.55 |
| July | 1.09 | 1.27 | 1.59 |
| August | 2.12 | 0.42 | 1.41 |
| Summer season | 1.45 | 0.68 | 1.52 |
Publisher’s Note: MDPI stays neutral with regard to jurisdictional claims in published maps and institutional affiliations. |
© 2022 by the authors. Licensee MDPI, Basel, Switzerland. This article is an open access article distributed under the terms and conditions of the Creative Commons Attribution (CC BY) license (https://creativecommons.org/licenses/by/4.0/).
Share and Cite
Romanovskaja, D.; Razukas, A.; Asakaviciute, R. Influence of Morphostructural Elements for Buckwheat (Fagopyrum esculentum Moench) Productivity in Different Agricultural Systems. Plants 2022, 11, 2382. https://doi.org/10.3390/plants11182382
Romanovskaja D, Razukas A, Asakaviciute R. Influence of Morphostructural Elements for Buckwheat (Fagopyrum esculentum Moench) Productivity in Different Agricultural Systems. Plants. 2022; 11(18):2382. https://doi.org/10.3390/plants11182382
Chicago/Turabian StyleRomanovskaja, Danuta, Almantas Razukas, and Rita Asakaviciute. 2022. "Influence of Morphostructural Elements for Buckwheat (Fagopyrum esculentum Moench) Productivity in Different Agricultural Systems" Plants 11, no. 18: 2382. https://doi.org/10.3390/plants11182382
APA StyleRomanovskaja, D., Razukas, A., & Asakaviciute, R. (2022). Influence of Morphostructural Elements for Buckwheat (Fagopyrum esculentum Moench) Productivity in Different Agricultural Systems. Plants, 11(18), 2382. https://doi.org/10.3390/plants11182382

