Optimal Fertilizer Application Reduced Nitrogen Leaching and Maintained High Yield in Wheat-Maize Cropping System in North China
Abstract
:1. Introduction
2. Material and Methods
2.1. Study Site Description
2.2. Experimental Design
2.3. Sample Collection and Analysis
2.4. N Leaching and N Utilization Rate Calculation
2.5. Statistical Analysis
3. Results
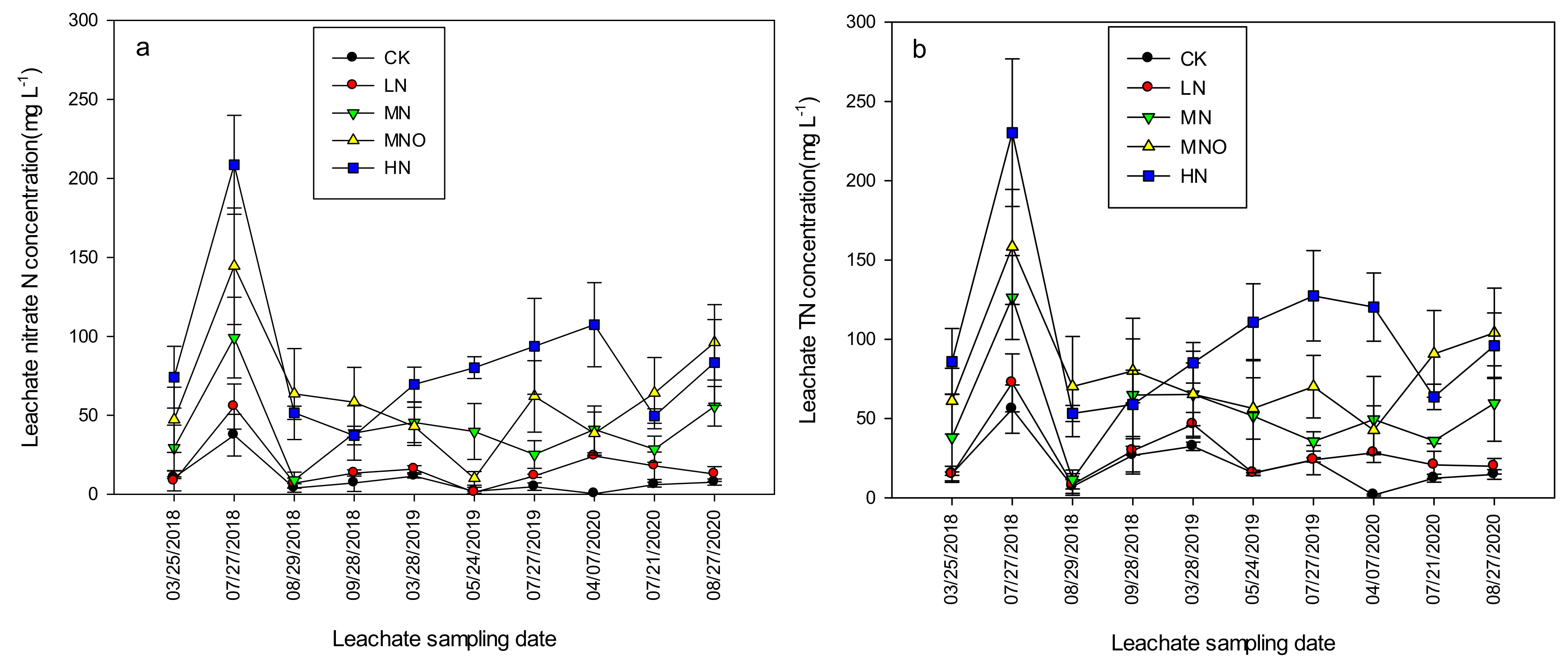
3.1. Concentrations of Leachate Nitrate N and Variation in the TN during Study Period
3.2. Annual Mean Leaching Loss and Leaching Coefficient of Nitrate N and TN
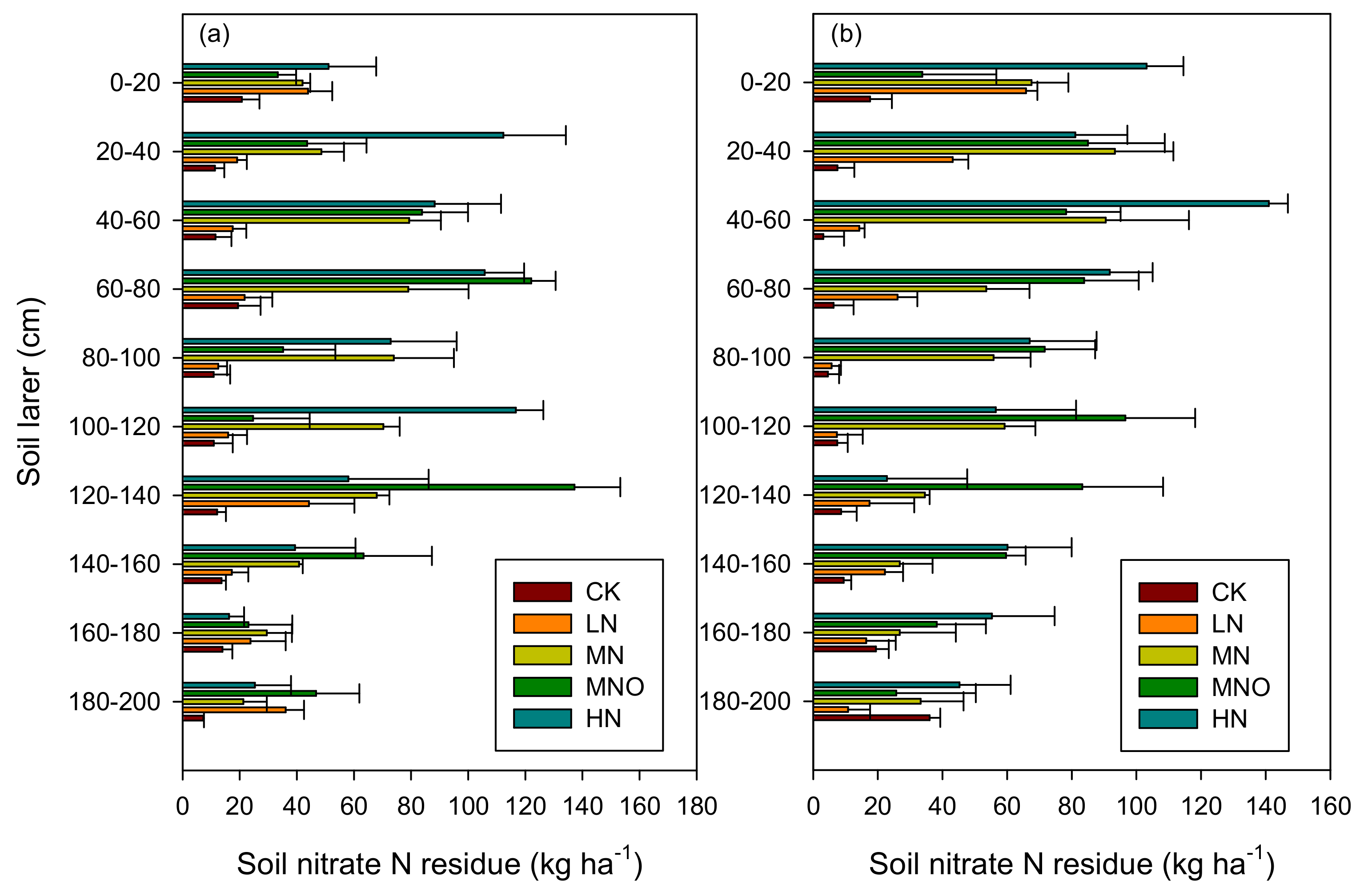
3.3. Nitrate N Residue in a 2 m Soil Layer during the Sampling Period
3.4. Winter Wheat and Summer Maize Yield
3.5. Crop N Uptake and N Utilization Rate of Winter Wheat and Summer Maize
4. Discussion
4.1. N Leaching Characteristics for Winter Wheat and Summer Maize Rotation Farmland in North China
4.2. Effects of N Fertilizer Application on Soil Nitrate N Residue and N Utilization Rate
4.3. Optimization of the Recommended Amount of N Fertilizer and a Risk Index of N Leaching Losses in this Region
5. Conclusions
Supplementary Materials
Author Contributions
Funding
Institutional Review Board Statement
Informed Consent Statement
Data Availability Statement
Conflicts of Interest
References
- Fowler, D.; Coyle, M.; Skiba, U.; Sutton, M.A.; Neil Cape, J.; Reis, S.; Sheppard, L.J.; Jenkins, A.; Grizzetti, B.; Galloway, J.N.; et al. The global nitrogen cycle in the twenty first century. Philos. Trans. R. Soc. Lond. 2013, 368, 23713126. [Google Scholar]
- You, L.C.; Ros, G.H.; Chen, Y.L.; Yang, X.; Cui, Z.L.; Liu, X.J.; Jiang, R.F.; Zhang, F.S.; Vries, W.D. Global meta-analysis of terrestrial nitrous oxide emissions and associated functional genes under nitrogen addition. Soil Biol. Biochem. 2022, 165, 108523. [Google Scholar] [CrossRef]
- Padilla, F.M.; Gallardo, M.; Manzano-Agugliaro, F. Global trends in nitrate leaching research in the 1960−2017 period. Sci. Total Environ. 2018, 643, 400–413. [Google Scholar] [CrossRef] [PubMed]
- Kim, Y.; Seo, Y.; Kraus, D.; Klatt, S.; Haas, E.; Tenhunen, J.; Kiese, R. Estimation and mitigation of N2O emission and nitrate leaching from intensive crop cultivation in the Haean catchment, South Korea. Sci. Total Environ. 2015, 529, 40–53. [Google Scholar] [CrossRef]
- Del Pilar Muschietti-Piana, M.; Cipriotti, P.A.; Urricariet, S.; Peralta, N.R.; Niborski, M. Using site-specific nitrogen management in rainfed corn to reduce the risk of nitrate leaching. Agric. Water Manag. 2018, 199, 61–70. [Google Scholar] [CrossRef]
- Ingraham, P.A.; Salas, W.A. Assessing nitrous oxide and nitrate leaching mitigation potential in US corn crop systems using the DNDC model. Agric. Syst. 2019, 175, 79–87. [Google Scholar] [CrossRef]
- Roelsma, J.; Hendriks, R.F. Comparative study of nitrate leaching models on a regional scale. Sci. Total Environ. 2014, 499, 481–496. [Google Scholar] [CrossRef]
- Plaza-Bonilla, D.; Nolot, J.; Raffaillac, D.; Justes, E. Cover crops mitigate nitrate leaching in cropping systems including grain legumes: Field evidence and model simulations. Agric. Ecosyst Environ. 2015, 212, 1–12. [Google Scholar] [CrossRef]
- Demurtas, C.E.; Seddaiu, G.; Ledda, L.; Cappai, C.; Doro, L.; Carletti, A.; Roggero, P.P. Replacing organic with mineral N fertilization does not reduce nitrate leaching in double crop forage systems under Mediterranean conditions. Agr. Ecosyst Environ. 2016, 219, 83–92. [Google Scholar] [CrossRef]
- Jabloun, M.; Schelde, K.; Tao, F.L.; Olesen, J.E. Effect of temperature and precipitation on nitrate leaching from organic cereal cropping systems in Denmark. Eur. J. Agron. 2015, 62, 55–64. [Google Scholar] [CrossRef]
- Marie, B.; Josette, G.; Gilles, B.; Julien, T.; Eric, G.; Bruno, M. Nitrous oxide emissions and nitrate leaching in an organic and a conventional cropping system (Seine basin, France). Agric. Ecosyst. Environ. 2015, 213, 131–141. [Google Scholar]
- Vogeler, I.; Jensen, J.L.; Thomsen, I.K.; Labouriau, R.; Hansen, E.M. Fertiliser N rates interact with sowing time and catch crops in cereals and affect yield and nitrate leaching. Eur. J. Agron. 2021, 124, 126244. [Google Scholar] [CrossRef]
- Liu, X.J.; Vitousek, P.; Chang, Y.H.; Zhang, W.F.; Matson, P.; Zhang, W.F. Evidence for a Historic Change Occurring in China. Environ. Sci. Technol. 2016, 50, 505–506. [Google Scholar] [CrossRef]
- Yu, C.Q.; Huang, X.; Chen, H.; Godfray, H.C.; Wright, J.S.; Hall, J.W.; Gong, P.; Ni, S.Q.; Qiao, S.C.; Huang, G.R.; et al. Managing nitrogen to restore water quality in China. Nature 2019, 567, 516–520. [Google Scholar] [CrossRef]
- Bai, Z.H.; Lu, J.; Zhao, H.; Velthof, G.L.; Oenema, O.; Chadwick, D.; Williams, J.R.; Jin, S.Q.; Liu, H.B.; Wang, M.R.; et al. Designing Vulnerable Zones of Nitrogen and Phosphorus Transfers to Control Water Pollution in China. Environ. Sci. Technol. 2018, 52, 8987–8988. [Google Scholar] [CrossRef] [Green Version]
- Manevski, K.; Børgesen, C.D.; Li, X.X.; Andersen, M.N.; Zhang, X.Y.; Abrahamsen, P.; Hu, C.S.; Hansen, S. Optimising crop production and nitrate leaching in China: Measured and simulated effects of straw incorporation and nitrogen fertilisation. Eur. J. Agron. 2016, 80, 32–44. [Google Scholar] [CrossRef]
- Ju, X.T.; Xing, G.X.; Chen, X.P.; Zhang, S.L.; Zhang, L.J.; Liu, X.J.; Cui, Z.L.; Yin, B.; Christie, P.; Zhu, Z.L.; et al. Reducing environmental risk by improving N management in intensive Chinese agricultural systems. Proc. Natl. Acad. Sci. USA 2009, 106, 3041–3046. [Google Scholar] [CrossRef] [Green Version]
- Cui, Z.L.; Yue, S.C.; Wang, G.L.; Zhang, F.S.; Chen, X.P. In-season root-zone N management for mitigating greenhouse gas emission and reactive N losses in intensive wheat production. Environ. Sci. Technol. 2013, 47, 6015–6022. [Google Scholar] [CrossRef]
- Wang, G.L.; Chen, X.P.; Cui, Z.L.; Yue, S.C.; Zhang, F.S. Estimated reactive nitrogen losses for intensive maize production in China. Agric. Ecosyst. Environ. 2014, 197, 293–300. [Google Scholar] [CrossRef]
- Zhao, T.K.; Zhang, C.J.; Du, L.F.; Liu, B.C.; An, Z.Z. Investigation on nitrate concentration in groundwater in seven provinces (city) surrounding the Bo-Hai Sea. J. Agro Environ. Sci. 2007, 26, 779–783. (In Chinese) [Google Scholar]
- Wang, S.Q.; Zheng, W.B.; Kong, X.L. Spatial distribution characteristics of nitrate in shallow groundwater of the agricultural area of the North China Plain. Chin. J. Eco Agric. 2018, 26, 1476–1482. [Google Scholar]
- Yang, X.L.; Lu, Y.L.; Tong, Y.A.; Yin, X.F. A 5-year lysimeter monitoring of nitrate leaching from wheat–maize rotation system: Comparison between optimum N fertilization and conventional farmer N fertilization. Agric. Ecosyst Environ. 2015, 199, 34–42. [Google Scholar] [CrossRef]
- Dai, J.; Wang, Z.H.; Li, M.H.; He, G.; Li, Q.; Cao, H.B.; Wang, S.; Gao, Y.J.; Hui, X.L. Winter wheat grain yield and summer nitrate leaching: Long-term effects of nitrogen and phosphorus rates on the Loess Plateau of China. Field Crops Res. 2016, 196, 180–190. [Google Scholar] [CrossRef]
- Gu, L.M.; Liu, T.N.; Zhao, J.; Dong, S.T.; Liu, P.; Zhang, J.W.; Zhao, B. Nitrate leaching of winter wheat grown in lysimeters as affected by fertilizers and irrigation on the North China Plain. J. Integr Agric. 2015, 14, 374–388. [Google Scholar] [CrossRef]
- Zhang, Y.T.; Wang, H.Y.; Liu, S.; Lei, Q.L.; Liu, J.; He, J.Q.; Zhai, L.M.; Ren, T.Z.; Liu, H.B. Identifying critical nitrogen application rate for maize yield and nitrate leaching in a Haplic Luvisol soil using the DNDC model. Sci. Total Environ. 2015, 514, 388–398. [Google Scholar] [CrossRef]
- Ju, X.T.; Zhang, C. Nitrogen cycling and environmental impacts in upland agricultural soils in North China: A review. J. Integr Agric. 2017, 16, 2848–2862. [Google Scholar] [CrossRef]
- Luo, X.S.; Liu, X.J.; Pan, Y.P.; Wen, Z.; Xu, W.; Zhang, L.; Kou, C.L.; Lv, J.L.; Goulding, K. Atmospheric reactive nitrogen concentration and deposition trends from 2011 to 2018 at an urban site in north China. Atmos. Environ. 2020, 224, 117298. [Google Scholar] [CrossRef]
- Yang, X.L.; Lu, Y.L.; Ding, Y.; Yin, X.F.; Raza, S.; Tong, Y.A. Optimising nitrogen fertilisation: A key to improving nitrogen-use efficiency and minimising nitrate leaching losses in an intensive wheat/maize rotation (2008–2014). Field Crops Res. 2017, 206, 1–10. [Google Scholar] [CrossRef]
- Lu, J.; Bai, Z.H.; Velthof, G.L.; Wu, Z.G.; Chadwick, D.; Ma, L. Accumulation and leaching of nitrate in soils in wheat-maize production in China. Agric. Water Manag. 2019, 212, 407–415. [Google Scholar] [CrossRef]
- Wang, Y.C.; Ying, H.; Yin, Y.L.; Zheng, H.F.; Cui, Z.L. Estimating soil nitrate leaching of nitrogen fertilizer from global meta-analysis. Sci. Total Environ. 2019, 657, 96–102. [Google Scholar] [CrossRef]
- Fang, Q.X.; Ma, L.; Yu, Q.; Hu, C.S.; Li, X.X.; Malone, R.W. Quantifying climate and management effects on regional crop yield and nitrogen leaching in the North China Plain. J. Environ. Qual. 2013, 42, 1466–1479. [Google Scholar] [CrossRef]
- Jamali, H.; Quayle, W.C.; Baldock, J. Reducing nitrous oxide emissions and nitrogen leaching losses from irrigated arable cropping in Australia through optimized irrigation scheduling. Agric. For. Meteorol. 2015, 208, 32–39. [Google Scholar] [CrossRef]
- Chen, X.P.; Cui, Z.L.; Fan, M.S.; Vitousek, P.; Zhao, M.; Ma, W.Q.; Wang, Z.L.; Zhang, W.J.; Yan, X.Y.; Yang, J.C.; et al. Producing more grain with lower environmental costs. Nature 2014, 514, 486–489. [Google Scholar] [CrossRef]
- Li, Z.J.; Hu, K.L.; Li, B.G.; He, M.R.; Zhang, J.W. Evaluation of water and nitrogen use efficiencies in a double cropping system under different integrated management practices based on a model approach. Agric. Water Manag. 2015, 159, 19–34. [Google Scholar] [CrossRef]
- Naveed, M.; Moldrup, P.; Vogel, H.J.; Lamand é, M.; Wildenschild, D.; Tuller, M.; de Jonge, L.W. Impact of long-term fertilization practice on soil structure evolution. Geoderma 2014, 217, 181–189. [Google Scholar] [CrossRef]
- Liu, B.; Wang, X.Z.; Ma, L.; Chadwick, D.; Chen, X.P. Combined applications of organic and synthetic nitrogen fertilizers for improving crop yield and reducing reactive nitrogen losses from China’s vegetable systems: A meta-analysis. Environ. Pollut. 2021, 269, 116143. [Google Scholar] [CrossRef]
- Huang, P.; Zhang, J.B.; Zhu, A.N.; Li, X.P.; Ma, D.H.; Xin, X.L.; Zhang, C.Z.; Wu, S.J.; Garland, G.; Pereira, E.I.P. Nitrate accumulation and leaching potential reduced by coupled water and nitrogen management in the Huang-Huai-Hai Plain. Sci. Total Environ. 2018, 610–611, 1020–1028. [Google Scholar] [CrossRef]
- Wang, H.Y.; Zhang, Y.T.; Chen, A.Q.; Liu, H.B.; Zhai, L.M.; Lei, B.K.; Ren, T.Z. An optimal regional nitrogen application threshold for wheat in the North China Plain considering yield and environmental effects. Field Crops Res. 2017, 207, 52–61. [Google Scholar] [CrossRef]






| Treatment | Wheat (kg ha−1) | Maize (kg ha−1) | ||||
|---|---|---|---|---|---|---|
| N | P2O5 | K2O | N | P2O5 | K2O | |
| CK | 0 | 90 | 90 | 0 | 67.5 | 67.5 |
| LN | 135 | 90 | 90 | 150 | 67.5 | 67.5 |
| MN | 225 | 90 | 90 | 240 | 67.5 | 67.5 |
| MNO | 270 | 135 | 135 | 240 | 67.5 | 67.5 |
| HN | 315 | 90 | 90 | 330 | 67.5 | 67.5 |
| Treatment | RS1 (kg ha−1) | RS2 (kg ha−1) | RS3 (kg ha−1) | |||
|---|---|---|---|---|---|---|
| Wheat | Maize | Wheat | Maize | Wheat | Maize | |
| CK | 7740.0 b | 9114.0 b | 2198.6 b | 5797.2 c | 4407.0 b | 7293.8 b |
| LN | 7990.0 b | 9596.7 a | 7209.7 a | 7351.1 b | 8006.9 a | 8934.5 a |
| MN | 8885.9 a | 10,831.1 a | 7477.1 a | 9500.5 a | 7853.4 a | 9057.7 a |
| MNO | 9094.3 a | 10,470.0 a | 7140.4 a | 8309.4 a | 7903.0 a | 8622.0 a |
| HN | 8694.0 a | 9791.1 a | 7952.5 a | 9271.3 a | 7843.5 a | 9155.0 a |
| Treatment | N uptake (kg ha−1) | RE (%) | PFP (kg kg−1) | |||
|---|---|---|---|---|---|---|
| Wheat | Maize | Wheat | Maize | Wheat | Maize | |
| CK | 87.7 c | 120.8 c | – | – | – | – |
| LN | 199.5 b | 176.3 b | 82.8 a | 37.0 ab | 57.3 a | 57.5 a |
| MN | 225.3 b | 217.5 a | 61.2 b | 40.3 a | 35.9 b | 40.8 b |
| MNO | 223.9 b | 220.2 a | 50.4 c | 41.4 a | 29.8 bc | 38.1 b |
| HN | 256.4 a | 236.1 a | 53.5 c | 34.9 b | 25.9 c | 28.5 c |
Publisher’s Note: MDPI stays neutral with regard to jurisdictional claims in published maps and institutional affiliations. |
© 2022 by the authors. Licensee MDPI, Basel, Switzerland. This article is an open access article distributed under the terms and conditions of the Creative Commons Attribution (CC BY) license (https://creativecommons.org/licenses/by/4.0/).
Share and Cite
Luo, X.; Kou, C.; Wang, Q. Optimal Fertilizer Application Reduced Nitrogen Leaching and Maintained High Yield in Wheat-Maize Cropping System in North China. Plants 2022, 11, 1963. https://doi.org/10.3390/plants11151963
Luo X, Kou C, Wang Q. Optimal Fertilizer Application Reduced Nitrogen Leaching and Maintained High Yield in Wheat-Maize Cropping System in North China. Plants. 2022; 11(15):1963. https://doi.org/10.3390/plants11151963
Chicago/Turabian StyleLuo, Xiaosheng, Changlin Kou, and Qian Wang. 2022. "Optimal Fertilizer Application Reduced Nitrogen Leaching and Maintained High Yield in Wheat-Maize Cropping System in North China" Plants 11, no. 15: 1963. https://doi.org/10.3390/plants11151963
APA StyleLuo, X., Kou, C., & Wang, Q. (2022). Optimal Fertilizer Application Reduced Nitrogen Leaching and Maintained High Yield in Wheat-Maize Cropping System in North China. Plants, 11(15), 1963. https://doi.org/10.3390/plants11151963
