Impact of Foliar Fertilization on Growth, Flowering, and Corms Production of Five Gladiolus Varieties
Abstract
:1. Introduction
2. Results
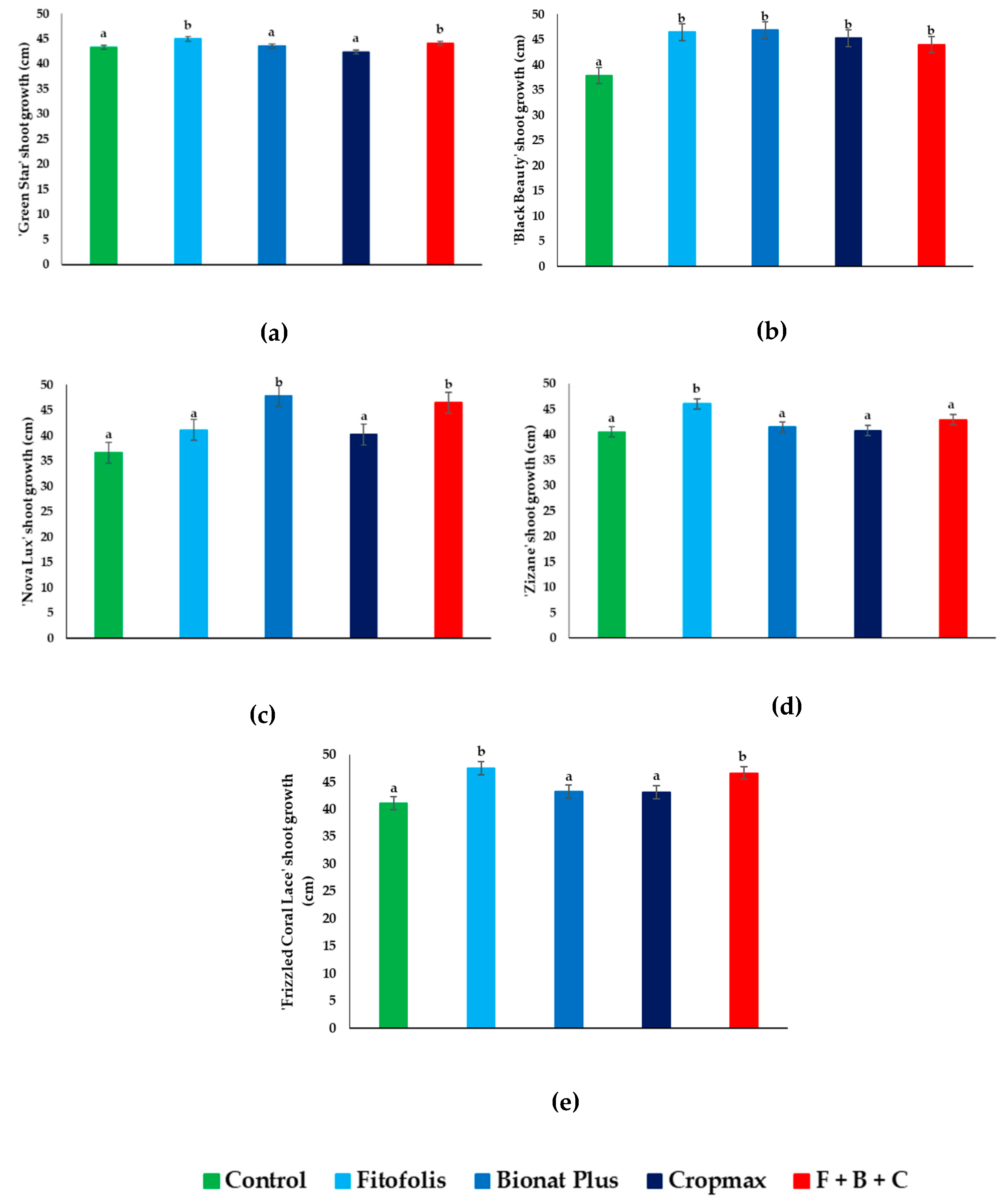
2.1. Plant Growth
2.2. Vase Durability
2.3. Daughter Corms Production
3. Discussion
4. Materials and Methods
4.1. Experimental Site and Plant Material
- ‘Black Beauty’: flower colour dark burgundy; usually grows a flower stalk that is thin, straight, stiff; plant height 70–90 cm.
- ‘Green Star’: flower colour lime green; usually grows a flower stalk that is straight and vigorous; plant height 75–100 cm.
- ‘Nova Lux’: flower colour bright yellow; the flower stalk is thin but strong; plant height 80–110 cm.
- ‘Zizane’: flower colour combination of red and white; grows a straight, strong flower stalk; plant height 80–110 cm.
- ‘Frizzled Coral Lace’: flower colour coral pink; tends to grow more flower stems; plant height 60–100 cm.
4.2. Application of the Foliar Fertilization
- Fitofolis: N–183 g/L; P–43 g/L; K–46 g/L; Fe–0.4 g/L; Cu–0.06 g/L; Mn–0.086 g/L; B–0.01 g/L; Zn–0.05 g/L; Mo–0.004 g/L.
- Bionat Plus: N–6.9%; P–0.003%; K–0.76%; Mg–0.47%; S–1.3%; Ca–0.05%; B–0.16%; Cu–0.35%; Fe–0.18%; Mn–0.06%; Zn–0.11%.
- Cropmax: N–0.2%; P–0.4%; N–0.02%; Fe–220 mg/L; Mg–550 mg/L; Zn–49 mg/L; Cu–35 mg/L; Mn–54 mg/L; B, Ca, Mo, Co, Ni–10 mg/L; auxin; cytokinin; gibberellin.
4.3. Vase Durability
- Ten points if the flower buds are healthy, the lower inflorescence is fully open, the colour is bright and typical for the variety, the stem is flexible and straight, the leaves are brightly coloured.
- Nine points if the second and third flower buds have opened, the petal edges on the first are starting to wilt slightly, the stem is losing a little of its hold.
- Eight points when the fourth and fifth flower buds have opened, the petals of the lowest flower start to wilt.
- Seven points if lowest flower fully open, withered, leaves completely lose their glossy colour, stem loses elasticity.
- Two points when the uppermost buds in the inflorescence is opened, and the ones underneath are constantly wilting.
4.4. Corms Propagation
4.5. Statistical Analysis
5. Conclusions
Author Contributions
Funding
Institutional Review Board Statement
Informed Consent Statement
Data Availability Statement
Acknowledgments
Conflicts of Interest
References
- Machado, R.M.A.; Serralheiro, R.P. Soil salinity: Effect on vegetable crop growth. Management practices to prevent and mitigate soil salinization. Horticulturae 2017, 3, 30. [Google Scholar] [CrossRef]
- Litalien, A.; Zeeb, B. Curing the earth: A review of anthropogenic soil salinization and plant-based strategies for sustainable mitigation. Sci. Total. Environ. 2020, 698, 134235. [Google Scholar] [CrossRef] [PubMed]
- Tarchoune, I.; Sgherri, C.; Izzo, R.; Lachaâl, M.; Navari-Izzo, F.; Ouerghi, Z. Changes in the antioxidative systems of Ocimum basilicum L. (cv. Fine) under different sodium salts. Acta Physiol. Plant. 2012, 34, 1873–1881. [Google Scholar] [CrossRef]
- Niu, J.; Liu, C.; Huang, M.; Liu, K.; Yan, D. Effects of Foliar Fertilization: A Review of Current Status and Future Perspectives. J. Soil Sci. Plant Nutr. 2021, 21, 104–118. [Google Scholar] [CrossRef]
- Sathyanarayana, E.; Sudha, P.; Chawla, S.L. Impact of integrated nutrient management on growth and flowering of gladiolus (Gladiolus grandiflorus L.) cv. American beauty. Int. J. Chem. Stud. 2017, 5, 317–319. [Google Scholar]
- Patil, B.; Chetan, H.T. Foliar fertilization of nutrients. Marumegh 2018, 3, 49–53. [Google Scholar]
- Shahverdi, M.A.; Omidi, H.; Damalas, C.A. Foliar fertilization with micronutrients improves Stevia rebaudiana tolerance to salinity stress by improving root characteristics. Braz. J. Bot. 2020, 43, 55–65. [Google Scholar] [CrossRef]
- Abdel-Kader, H.H.; El-Saady, W.A.; Zaky, H.A. Effect of Magnetized Water and NPK Fertilization Treatments on Growth and Field Performance of Gladiolus. J. Plant Prod. 2020, 11, 627–632. [Google Scholar] [CrossRef]
- Şelaru, E. Cultivation of Garden Flowers (Cultura Florilor de Grădină); Ceres: Bucharest, Romania, 2007; pp. 88–92, 436–442. [Google Scholar]
- Greving, A.J. Growing Gladiolus; University of Nebraska-Lincoln: Lincoln, Nebraska, 1987; Volume 978, pp. 1–5. [Google Scholar]
- Tombolato, A.F.C.; Castro, J.L.; Matthes, L.A.F.; Leme, J.M. Melhoramento genético do gladíolo no IAC: Novos cultivares ‘IAC Carmim’ e ‘IAC Paranapanema’. Científica 2008, 33, 142–147. [Google Scholar]
- Riaz, T.; Khan, S.N.; Javaid, A. Management of Fusarium corm rot of gladiolus (Gladiolus grandiflorus sect. Blandus cv. Aarti) by using leaves of allelopathic plants. Afr. J. Biotechnol. 2010, 9, 4681–4686. [Google Scholar]
- Cantor, M.; Tolety, J. Gladiolus. In Wild Crop Relatives: Genomic and Breeding Resources; Springer: Berlin/Heidelberg, Germany, 2011; pp. 133–159. [Google Scholar]
- Cantor, M.; Zaharia, D.; Pop, I. Results and new trends in breeding of romanian gladiolus. Acta Hortic. 2002, 624, 61–66. [Google Scholar] [CrossRef]
- Saima, S.; Perveen, M.; Nawaz, M.; Ahmad, K.M.; Sultan, H. Comparison of Foliar Spray and Side Dressing of Potassium on Growth, Flowering, Productions of Corms in Gladiolus cv. Yellow Stone. Sarhad J. Agric. 2021, 37, 548–554. [Google Scholar] [CrossRef]
- El-Naggar, A.A.M.; El-Nasharty, A.E. Effect of Potassium Fertilization on Growth, Flowering, Corms Production and Chemical Contents of Gladiolus hybrida, L. Cv. ASEJ 2016, 37, 714–728. [Google Scholar]
- Bistgani, Z.E.; Siadat, S.A.; Bakhshandeh, A.; Pirbalouti, A.G.; Hashemi, M.; Maggi, F.; Morshedloo, M.R. Application of combined fertilizers improves biomass, essential oil yield, aroma profile, and antioxidant properties of Thymus daenensis Celak. Ind. Crop. Prod. 2018, 121, 434–440. [Google Scholar] [CrossRef]
- Oliveira, K.S.; Prado, R.D.M.; Guedes, V.H.D.F. Leaf Spraying of Manganese with Silicon Addition Is Agronomically Viable for Corn and Sorghum Plants. J. Soil Sci. Plant Nutr. 2020, 20, 872–880. [Google Scholar] [CrossRef]
- Bashir, M.; Khan, I.; Waseem Khan Qadri, R.; Tanveer, M.; Zain, M.; Ahmad, I. Growth and corm production of Gladiolus grandiflorus L. ‘Essential’ under different NPK regimes. J. Ornam. Plants 2016, 6, 11–19. [Google Scholar]
- El-Kot, H.R.; Abdallah, S.A.; Hassan, H.M.; Ali, M.A. effect of chemical nitrogen fertilizer level and humic acid rate on Gladiolus grandiflorus productivity. Sinai J. Appl. Sci. 2020, 9, 29–40. [Google Scholar] [CrossRef]
- Onofrei, V.; Honermeier, B.; Lobiuc, A.; Burducea, M.; Teliban, G.C.; Jitareanu, C.D.; Cotunoaea, R.C.; Robu, T. Effects of foliar ecological fertilization on inflorescence yield and chlorophyll parameters of Calendula officinalis L. An. Stiintifice Univ. Al. I. Cuza Iasi 2016, 62, 142. [Google Scholar]
- Onofrei, V.; Teliban, G.-C.; Burducea, M.; Lobiuc, A.; Sandu, C.B.; Tocai, M.; Robu, T. Organic foliar fertilization increases polyphenol content of Calendula officinalis L. Ind. Crop. Prod. 2017, 109, 509–513. [Google Scholar] [CrossRef]
- Onofrei, V.; Benchennouf, A.; Jancheva, M.; Loupassaki, S.; Ouaret, W.; Burducea, M.; Lobiuc, A.; Teliban, G.C.; Robu, T. Ecological foliar fertilization effects on essential oil composition of sweet basil (Ocimum basilicum L.) cultivated in a field system. Sci. Hortic. 2018, 239, 104–113. [Google Scholar] [CrossRef]
- Gaber, K.M. Vegetative and flowering growth of geranium as affected by mineral fertilization and ascorbic acid foliar application. Middle East J. Appl. Sci. 2019, 9, 220–230. [Google Scholar]
- Ali, S.; Javed, H.U.; Rehman, R.N.U.; Sabir, I.A.; Naeem, M.S.; Siddiqui, M.Z.; Saeed, D.A.; Nawaz, M.A. Foliar application of some macro and micro nutrients improves tomato growth, flowering and yield. Int. J. Biosci. 2013, 3, 280–287. [Google Scholar] [CrossRef]
- Singh, A.; Sharma, B.P.; Dilta, B.S.; Laishram, N.; Gupta, Y.C.; Bhardwaj, S.K. Effects of fertilization on quality flower production and foliar nutrient content of carnation (Dianthus caryophyllus L.) cv. master. Bangladesh J. Bot. 2015, 44, 133–137. [Google Scholar] [CrossRef] [Green Version]
- Mudassir, S.; Ahmad, R.; Anjum, M.A. Foliar Application of Micronutrients Enhances Growth, Flowering, Minerals Absorption and Postharvest Life of Tuberose (Polianthes tuberosa L.) in Calcareous Soil. J. Hortic. Sci. Technol. 2021, 4, 41–47. [Google Scholar] [CrossRef]
- Bilal, H.H.; Tahir, R.; Adnan, M.; Ali, S.M.; Islam, H.; Umer, M.S.; Mir, F.A.; Ahmad, R.I.; Iftikhar, M. Does foliar application of macro and micronutrients have any impact on roses production? A review. Ann. Rev. Res. 2020, 1, 555677. [Google Scholar] [CrossRef]
- Darandeh, N.; Hadavi, E. Effect of Pre-Harvest Foliar Application of Citric Acid and Malic Acid on Chlorophyll Content and Post-Harvest Vase Life of Lilium cv. Brunello. Front. Plant Sci. 2012, 2, 106. [Google Scholar] [CrossRef] [PubMed] [Green Version]
- Waheeduzzama, M.; Jawaharlal, M.; Arulmozhiyan, R.; Indhumathi, K. Effect of integrated nutrient management practices on flower quality and vase life of Anthurium andreanum cv. Meringue. J. Ornam. Hortic. 2006, 9, 142–144. [Google Scholar]
- Dhakal, K.; Khanal, D.; Ayer, D.K.; Khanal, A.P.; Pandey, L.; Pant, S.S.; Upadhyay, K.; Magar, S.S.B.; Pandey, L.; Prasad, M.L.; et al. Effect of nitrogen and phosphorous on growth, development and vase life of gladiolus. RRJoAST 2017, 6, 1–7. [Google Scholar]
- Allawii, S.S.; Al-Atrakchii, A.O. effect of foliar application of calcium chloride and salicylic acid on growth and flowering of three Gladiolus × hortulanus L. cultivars. Mesop. J. Agric. 2020, 48, 45–58. [Google Scholar] [CrossRef]
- Chore, K.J.; Mwangi, M.; Karori, S.M.; Kibe, A.M. Changes in carbohydrates associated with senescence of cut gladiolus spikes under pulsing and wet cold storage durations. Afr. Crop Sci. J. 2020, 28, 41–53. [Google Scholar] [CrossRef]
- Sairam, R.K.; Vasanthan, B.; Arora, A. Calcium regulates Gladiolus flower senescence by influencing antioxidative enzymes activity. Acta Physiol. Plant. 2011, 33, 1897–1904. [Google Scholar] [CrossRef]
- Ahmad, M.; Rab, A. Calcium effects on post-harvest attributes and vase life of gladiolus using different methods of application. Pak. J. Bot. 2020, 52, 167–179. [Google Scholar] [CrossRef]
- Sathyanarayana, E.; Patil, S.; Bahubali, M.; Chawla, S.L. Effect of INM on gladiolus (Gladiolus grandiflorus, L.) cv. American Beauty under Navsari and Tansa Conditions. Int. J. Pure App. Biosci. 2018, 6, 48–55. [Google Scholar] [CrossRef]
- Ghanbari, J.; Khajoei-Nejad, G.; Van Ruth, S.M.; Aghighi, S. The possibility for improvement of flowering, corm properties, bioactive compounds, and antioxidant activity in saffron (Crocus sativus L.) by different nutritional regimes. Ind. Crop. Prod. 2019, 135, 301–310. [Google Scholar] [CrossRef]
- Shyla, R.; Ruby, M.; Rameshkumar, S. Effect of gypsum and micronutrients on spike and corm yield of gladiolus (Gladiolus grandiflorus) cv. Guvari. Crop Res. 2021, 56, 0970–4884. [Google Scholar]
- Kumar, E.; Misra, R.L. Response of gladiolus to nitrogen, phosphorus and potassium fertilization. J. Ornam. Hortic. 2003, 6, 95–99. [Google Scholar]
- Patel, N.M.; Desai, J.R.; Saravaiya, S.N.; Patel, N.B.; Patel, K.A.; Patel, R.B. Influence of chemical fertilizers on growth, quality, corm and cormel production of gladiolus (Gladiolus grandiflorus L.) cv. SANCERREE under South Gujarat conditions. TAJH 2010, 5, 123–126. [Google Scholar]
- Lehri, S.M.; Kurd, A.A.; Rind, M.A.; Bangulzai, N.A. The response of Gladiolus tristis L. to N and P2O5 fertilizers. SJA 2011, 27, 185–188. [Google Scholar]





| Depth (cm) | pH | P (ppm) | K (ppm) | Humus % | N % | Cohesion Coefficient | CaCO3 (ppm) |
|---|---|---|---|---|---|---|---|
| 0–10 | 7.55 | 586 | 1850 | 7.29 | 0.348 | 48 | 1.33 |
| 10–20 | 7.48 | 520 | 1630 | 7.12 | 0.33 | 48.4 | 1.25 |
| 20–40 | 7.44 | 487 | 1550 | 6.22 | 0.304 | 48.8 |
![]() |
Publisher’s Note: MDPI stays neutral with regard to jurisdictional claims in published maps and institutional affiliations. |
© 2021 by the authors. Licensee MDPI, Basel, Switzerland. This article is an open access article distributed under the terms and conditions of the Creative Commons Attribution (CC BY) license (https://creativecommons.org/licenses/by/4.0/).
Share and Cite
Kentelky, E.; Szekely-Varga, Z. Impact of Foliar Fertilization on Growth, Flowering, and Corms Production of Five Gladiolus Varieties. Plants 2021, 10, 1963. https://doi.org/10.3390/plants10091963
Kentelky E, Szekely-Varga Z. Impact of Foliar Fertilization on Growth, Flowering, and Corms Production of Five Gladiolus Varieties. Plants. 2021; 10(9):1963. https://doi.org/10.3390/plants10091963
Chicago/Turabian StyleKentelky, Endre, and Zsolt Szekely-Varga. 2021. "Impact of Foliar Fertilization on Growth, Flowering, and Corms Production of Five Gladiolus Varieties" Plants 10, no. 9: 1963. https://doi.org/10.3390/plants10091963
APA StyleKentelky, E., & Szekely-Varga, Z. (2021). Impact of Foliar Fertilization on Growth, Flowering, and Corms Production of Five Gladiolus Varieties. Plants, 10(9), 1963. https://doi.org/10.3390/plants10091963

