Effective Pollination Period and Parentage Effect on Pollen Tube Growth in Apple
Abstract
:1. Introduction
2. Results
2.1. Effective Pollination Period
2.1.1. Stigmatic Receptivity
2.1.2. Pollen Tube Growth Rates
2.1.3. Ovule Longevity
2.1.4. Estimated Effective Pollination Period
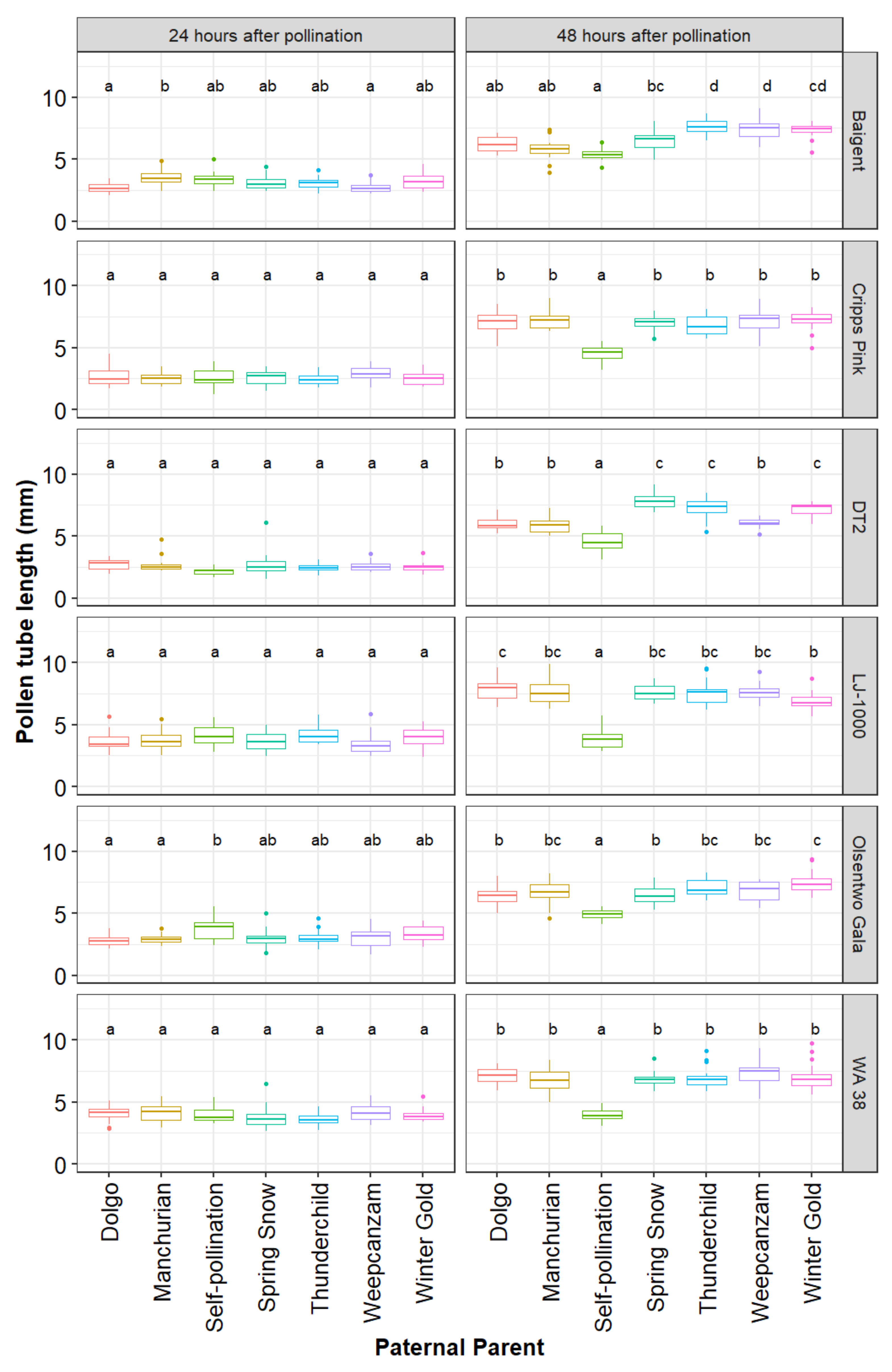
2.2. Parentage Effect on Pollen Tube Growth
3. Discussion
3.1. Effective Pollination Period
3.1.1. Stigmatic Receptivity
3.1.2. Pollen Tube Growth Rate
3.1.3. Ovule Longevity
3.1.4. Effective Pollination Period
3.2. Parentage Effect on Pollen Tube Growth
4. Materials and Methods
4.1. Effective Pollination Period
4.1.1. Stigmatic Receptivity
4.1.2. Pollen Tube Growth Rate
4.1.3. Ovule Longevity
4.1.4. Climatic Conditions
4.2. Parentage Effect on Pollen Tube Growth
4.3. Statistical Analysis
5. Conclusions
Author Contributions
Funding
Data Availability Statement
Acknowledgments
Conflicts of Interest
References
- Brault, A.-M.; de Oliveira, D. Seed Number and an Asymmetry Index of McIntosh’ Apples. HortScience 1995, 30, 44–46. [Google Scholar] [CrossRef] [Green Version]
- Garratt, M.P.; Breeze, T.D.; Jenner, N.; Polce, C.; Biesmeijer, J.C.; Potts, S.G. Avoiding a bad apple: Insect pollination enhances fruit quality and economic value. Agric. Ecosyst. Environ. 2014, 184, 34–40. [Google Scholar] [CrossRef] [Green Version]
- Samnegård, U.; Hambäck, P.A.; Smith, H.G. Pollination treatment affects fruit set and modifies marketable and storable fruit quality of commercial apples. R. Soc. Open Sci. 2019, 6, 190326. [Google Scholar] [CrossRef] [Green Version]
- Westwood, M.N. Temperate-Zone Pomology: Physiology and Culture; Timber Press: Portland, OR, USA, 1993. [Google Scholar]
- Sassa, H. Molecular mechanism of the S-RNase-based gametophytic self-incompatibility in fruit trees of Rosaceae. Breed. Sci. 2016, 66, 116–121. [Google Scholar] [CrossRef] [Green Version]
- Kim, H.; Park, J.; Hirata, Y.; Nou, I. Molecular characterization of new S-RNases (‘S31’and ‘S 32’) in apple (Malus × domestica Borkh.)’) in apple (Malus × domestica Borkh.). J. Plant Biol. 2008, 51, 202–208. [Google Scholar] [CrossRef]
- Mayer, D.F.; Johansen, C.A.; Lunden, J.D. Honey bee foraging behavior on ornamental crabapple pollenizers and commercial apple cultivars. HortScience 1989, 24, 510–512. [Google Scholar]
- DeLong, C.N.; Yoder, K.S.; Combs, L.; Veilleux, R.E.; Peck, G.M. Apple pollen tube growth rates are regulated by parentage and environment. J. Am. Soc. Hortic. Sci. 2016, 141, 548–554. [Google Scholar] [CrossRef] [Green Version]
- Jahed, K.R.; Hirst, P.M. Pollen tube growth and fruit set in apple. HortScience 2017, 52, 1054–1059. [Google Scholar] [CrossRef] [Green Version]
- Williams, R. The effect of summer nitrogen applications on the quality of apple blossom. J. Hortic. Sci. 1965, 40, 31–41. [Google Scholar] [CrossRef]
- Sanzol, J.; Herrero, M. The “effective pollination period” in fruit trees. Sci. Hortic. 2001, 90, 1–17. [Google Scholar] [CrossRef]
- Ughini, V.; Roversi, A. Investigations on sweet cherry effective pollination period. Aacta Hortic. 1996, 410, 423–426. [Google Scholar] [CrossRef]
- Tromp, J.; Borsboom, O. The effect of autumn and spring temperature on fruit set and on the effective pollination period in apple and pear. Sci. Hortic. 1994, 60, 23–30. [Google Scholar] [CrossRef]
- Tromp, J.; Borsboom, O. Fruit set and the effective pollination period in apple and pear as affected by bloom and post-bloom temperature. Acta Hortic. 1996, 423, 193–200. [Google Scholar] [CrossRef] [Green Version]
- Prieto, V.G.; Chu, A.R.; Chacón, A.R.; Reyes, D.B.; Avitia, J.O. Effective pollination period in ‘RedChief’ and ‘Golden Delicious’ apples (Malus domestica Borkh). Span. J. Agric. Res. 2009, 4, 928–932. [Google Scholar] [CrossRef] [Green Version]
- Williams, R. Pollination studies in fruit trees. III. The effective pollination period for some apple and pear varieties. Rep. Agric. Hort. Res. Stn. Univ. Bristol 1965, 1966, 136–138. [Google Scholar]
- Burgos, L.; Egea, J.; Dicenta, F. Effective pollination period in apricot (Prunus armeniaca L.) varieties. Ann. Appl. Biol. 1991, 119, 533–539. [Google Scholar] [CrossRef]
- Fotirić-Akšić, M.; Rakonjac, V.; Nikolić, D.; Čolić, S.; Milatović, D.; Ličina, V.; Rahović, D. Effective pollination period in “Oblačinska” sour cherry clones. Genetika 2014, 46, 671–680. [Google Scholar] [CrossRef]
- Brantley, A.K.; Spiers, J.D.; Thompson, A.B.; Pitts, J.A.; Kessler, J.R.; Wright, A.N.; Coneva, E.D. Effective Pollination Period of Actinidia chinensis ‘AU Golden Sunshine’and A. deliciosa ‘AU Fitzgerald’ Kiwifruit. HortScience 2019, 54, 656–660. [Google Scholar] [CrossRef] [Green Version]
- Cuevas, J.; Pinillos, V.; Polito, V. Effective pollination period for ‘Manzanillo’and ‘Picual’olive trees. J. Hortic. Sci. Biotechnol. 2009, 84, 370–374. [Google Scholar] [CrossRef] [Green Version]
- Selak, G.V.; Cuevas, J.; Pinillos, V.; Ban, S.G.; Poljak, M.; Perica, S. Assessment of effective pollination period in olive (Olea europaea) by means of fluorescence microscopy and plant response to sequential pollinations: Limitations and drawbacks of current methodologies. Trees 2014, 28, 1497–1505. [Google Scholar] [CrossRef]
- Buszard, D.; Schwabe, W. Effect of previous crop load on stigmatic morphology of apple flowers. J. Am. Soc. Hortic. Sci. 1995, 120, 566–570. [Google Scholar] [CrossRef]
- Losada, J.M.; Herrero, M. Flower strategy and stigma performance in the apple inflorescence. Sci. Hortic. 2013, 150, 283–289. [Google Scholar] [CrossRef] [Green Version]
- Losada, J.M.; Herrero, M. Arabinogalactan-protein secretion is associated with the acquisition of stigmatic receptivity in the apple flower. Ann. Bot. 2012, 110, 573–584. [Google Scholar] [CrossRef] [PubMed] [Green Version]
- Hedhly, A.; Hormaza, J.; Herrero, M. The effect of temperature on stigmatic receptivity in sweet cherry (Prunus avium L.). Plant Cell Environ. 2003, 26, 1673–1680. [Google Scholar] [CrossRef] [Green Version]
- Hedhly, A.; Hormaza, J.; Herrero, M. The effect of temperature on pollen germination, pollen tube growth, and stigmatic receptivity in peach. Plant Biol. 2005, 7, 476–483. [Google Scholar] [CrossRef] [Green Version]
- Losada, J.M.; Herrero, M. Pollen tube access to the ovule is mediated by glycoprotein secretion on the obturator of apple (Malus× domestica, Borkh). Ann. Bot. 2017, 119, 989–1000. [Google Scholar] [CrossRef] [Green Version]
- Williams, R. Factors affecting pollination in fruit trees. In Physiology of Tree Crops; Luckwill, L.C., Cutting, C., Eds.; Academic Press: London, UK, 1970; pp. 193–207. [Google Scholar]
- Yang, Q.; Liu, E.; Fu, Y.; Yuan, F.; Zhang, T.; Peng, S. High temperatures during flowering reduce fruit set in rabbiteye blueberry. J. Am. Soc. Hortic. Sci. 2019, 144, 339–351. [Google Scholar] [CrossRef]
- Hedhly, A.; Hormaza Urroz, J.I.; Herrero Romero, M. Warm temperatures at bloom reduce fruit set in sweet cherry. J. Appl. Bot. Food Qual. 2007, 81, 158–164. [Google Scholar]
- Cerović, R.; Ružić, Ð.; Mićić, N. Viability of plum ovules at different temperatures. Ann. Appl. Biol. 2000, 137, 53–59. [Google Scholar] [CrossRef]
- Alvarez, H.C.; Salazar-Gutiérrez, M.; Chaves, B.; Hoogenboom, G. Modeling pollen tube growth of ‘Gala’and ‘Fuji’apples. Sci. Hortic. 2018, 240, 125–132. [Google Scholar] [CrossRef]
- Zhang, L.; Ferguson, L.; Whiting, M.D. Temperature effects on pistil viability and fruit set in sweet cherry. Sci. Hortic. 2018, 241, 8–17. [Google Scholar] [CrossRef]
- Khemira, H.; Azarenko, A.; Sugar, D.; Righetti, T. Postharvest nitrogen application effect on ovule longevity of ‘cornice’pear trees. J. Plant Nutr. 1998, 21, 405–411. [Google Scholar] [CrossRef]
- Tonutti, P.; Bargioni, G.; Cossio, F.; Ramina, A. Effective pollination period and ovule longevity in Prunus avium L. Adv. Hortic. Sci. 1991, 5, 157–162. [Google Scholar]
- Zhang, C.; Tateishi, N.; Tanabe, K. Pollen density on the stigma affects endogenous gibberellin metabolism, seed and fruit set, and fruit quality in Pyrus pyrifolia. J. Exp. Bot. 2010, 61, 4291–4302. [Google Scholar] [CrossRef] [PubMed] [Green Version]
- Guerra, M.E.; Wünsch, A.; López-Corrales, M.; Rodrigo, J. Flower emasculation as the cause for lack of fruit set in Japanese plum crosses. J. Am. Soc. Hortic. Sci. 2010, 135, 556–562. [Google Scholar] [CrossRef]
- Hedhly, A.; Hormaza, J.; Herrero, M. Flower emasculation accelerates ovule degeneration and reduces fruit set in sweet cherry. Sci. Hortic. 2009, 119, 455–457. [Google Scholar] [CrossRef]
- De Witte, K.; Vercammen, J.; Van Daele, G.; Keulemans, J. Fruit set, seed set and fruit weight in apple as influenced by emasculation, self-pollination and cross-pollination. Acta Hortic. 1996, 423, 177–184. [Google Scholar] [CrossRef]
- Felber, R.; Stoeckli, S.; Calanca, P. Generic calibration of a simple model of diurnal temperature variations for spatial analysis of accumulated degree-days. Int. J. Biometeorol. 2018, 62, 621–630. [Google Scholar] [CrossRef] [PubMed] [Green Version]
- Broothaerts, W.; Van Nerum, I.; Keulemans, J. Update on and review of the incompatibility (S-) genotypes of apple cultivars. HortScience 2004, 39, 943–947. [Google Scholar] [CrossRef] [Green Version]
- Sheick, R.; Serra, S.; Tillman, J.; Luby, J.; Evans, K.; Musacchi, S. Characterization of a novel S-RNase allele and genotyping of new apple cultivars. Sci. Hortic. 2020, 273, 109630. [Google Scholar] [CrossRef]
- Sheick, R.; Serra, S.; De Franceschi, P.; Dondini, L.; Musacchi, S. Characterization of a novel self-incompatibility allele in Malus and S-genotyping of select crabapple cultivars. Sci. Hortic. 2018, 240, 186–195. [Google Scholar] [CrossRef]
- Schneider, D.; Stern, R.A.; Goldway, M. A comparison between semi-and fully compatible apple pollinators grown under suboptimal pollination conditions. HortScience 2005, 40, 1280–1282. [Google Scholar] [CrossRef] [Green Version]
- Kron, P.; Husband, B.C. The effects of pollen diversity on plant reproduction: Insights from apple. Sex. Plant Reprod. 2006, 19, 125–131. [Google Scholar] [CrossRef]
- Whiting, M.D.; Salazar, M.R.; Hoogenboom, G. Development of bloom phenology models for tree fruits. Acta Hortic. 2015, 1068, 107–112. [Google Scholar] [CrossRef]
- R Core Team. R: A Language and Environment for Statistical Computing. Vienna: R Project, URL 2021. Available online: https://www.R-project.org/ (accessed on 10 December 2020).
- Pinheiro, J.; Bates, D.; DebRoy, S.; Sarkar, D.; Team, R.C. nlme: Linear and nonlinear mixed effects models. R Package Version 2021, 3, 1–152. [Google Scholar]
- Fox, J.; Weisberg, S. An R Companion to Applied Regression, 3rd ed.; Sage: Thousand Oaks, CA, USA, 2019. [Google Scholar]
- Length, R.V. emmeans: Estimated Marginal Means, aka Least-Squares Means. R Package Version 2018, 1, 3. [Google Scholar]
- Hothorn, T.; Bretz, F.; Westfall, P. Simultaneous Inference in General Parametric Models. Biom. J. 2008, 50, 346–363. [Google Scholar] [CrossRef] [PubMed] [Green Version]




| Year | Cultivar | Stigmatic Receptivity | |||
|---|---|---|---|---|---|
| Pollen Adhesion | Pollen Germination | ||||
| Days | GDH 1 | Days | GDH 1 | ||
| 2019 | Golden Delicious | 9.4 | 1856 | 7.9 | 1484 |
| Olsentwo Gala | 8.5 | 1656 | 6.3 | 1267 | |
| Rubinstar | 9.3 | 1874 | 7.3 | 1531 | |
| 2020 | Golden Delicious | 9.0 | 2178 | 8.2 | 1998 |
| Olsentwo Gala | 8.5 | 2057 | 7.7 | 1923 | |
| Rubinstar | 8.8 | 1977 | 8.1 | 1755 | |
| Year | Cultivar | Pollen Tube Growth | |
|---|---|---|---|
| Days | GDH 1 | ||
| 2019 | Golden Delicious | 5.9 | 1175 |
| Olsentwo Gala | 6.1 | 1214 | |
| Rubinstar | 6.0 | 1328 | |
| 2020 | Golden Delicious | 6.5 | 1534 |
| Olsentwo Gala | 5.5 | 1318 | |
| Rubinstar | 7.0 | 1435 | |
| Year | Cultivar | Ovule Longevity | Effective Pollination Period | ||
|---|---|---|---|---|---|
| Days | GDH 1 | Days | GDH 1 | ||
| 2019 | Golden Delicious | 9.8 | 1918 | 3.9 | 921 |
| Olsentwo Gala | 9.3 | 1847 | 3.3 | 804 | |
| Rubinstar | 9.8 | 1943 | 3.8 | 900 | |
| 2020 | Golden Delicious | 11.3 | 2660 | 4.8 | 1042 |
| Olsentwo Gala | 11.1 | 2606 | 5.6 | 1334 | |
| Rubinstar | 10.0 | 2274 | 3.0 | 600 | |
| Year | Cultivar | Rootstock | Year Planted | Start Date | End Date | Experiment Duration (Days) |
|---|---|---|---|---|---|---|
| 2019 | Golden Delicious | M.9 | 2007 | 23 April | 3 May | 10 |
| Olsentwo Gala | M.9-RN29 | 2007 | 23 April | 3 May | 10 | |
| Rubinstar | M.26 | 2007 | 22 April | 2 May | 10 | |
| 2020 | Golden Delicious | M.9 | 2007 | 13 April | 27 April | 14 |
| Olsentwo Gala | M.9-RN29 | 2007 | 14 April | 28 April | 14 | |
| Rubinstar | M.26 | 2007 | 12 April | 26 April | 14 |
Publisher’s Note: MDPI stays neutral with regard to jurisdictional claims in published maps and institutional affiliations. |
© 2021 by the authors. Licensee MDPI, Basel, Switzerland. This article is an open access article distributed under the terms and conditions of the Creative Commons Attribution (CC BY) license (https://creativecommons.org/licenses/by/4.0/).
Share and Cite
Roeder, S.; Serra, S.; Musacchi, S. Effective Pollination Period and Parentage Effect on Pollen Tube Growth in Apple. Plants 2021, 10, 1618. https://doi.org/10.3390/plants10081618
Roeder S, Serra S, Musacchi S. Effective Pollination Period and Parentage Effect on Pollen Tube Growth in Apple. Plants. 2021; 10(8):1618. https://doi.org/10.3390/plants10081618
Chicago/Turabian StyleRoeder, Stefan, Sara Serra, and Stefano Musacchi. 2021. "Effective Pollination Period and Parentage Effect on Pollen Tube Growth in Apple" Plants 10, no. 8: 1618. https://doi.org/10.3390/plants10081618
APA StyleRoeder, S., Serra, S., & Musacchi, S. (2021). Effective Pollination Period and Parentage Effect on Pollen Tube Growth in Apple. Plants, 10(8), 1618. https://doi.org/10.3390/plants10081618
