The Potential of Clover Green Amendment, Associated with Biochar, Activated Carbon or Ochre, for the Phytoremediation, Using Populus x. canescens, of a Former Mine Technosol
Abstract
:1. Introduction
2. Results
2.1. Soil Pore Water Physicochemical Properties
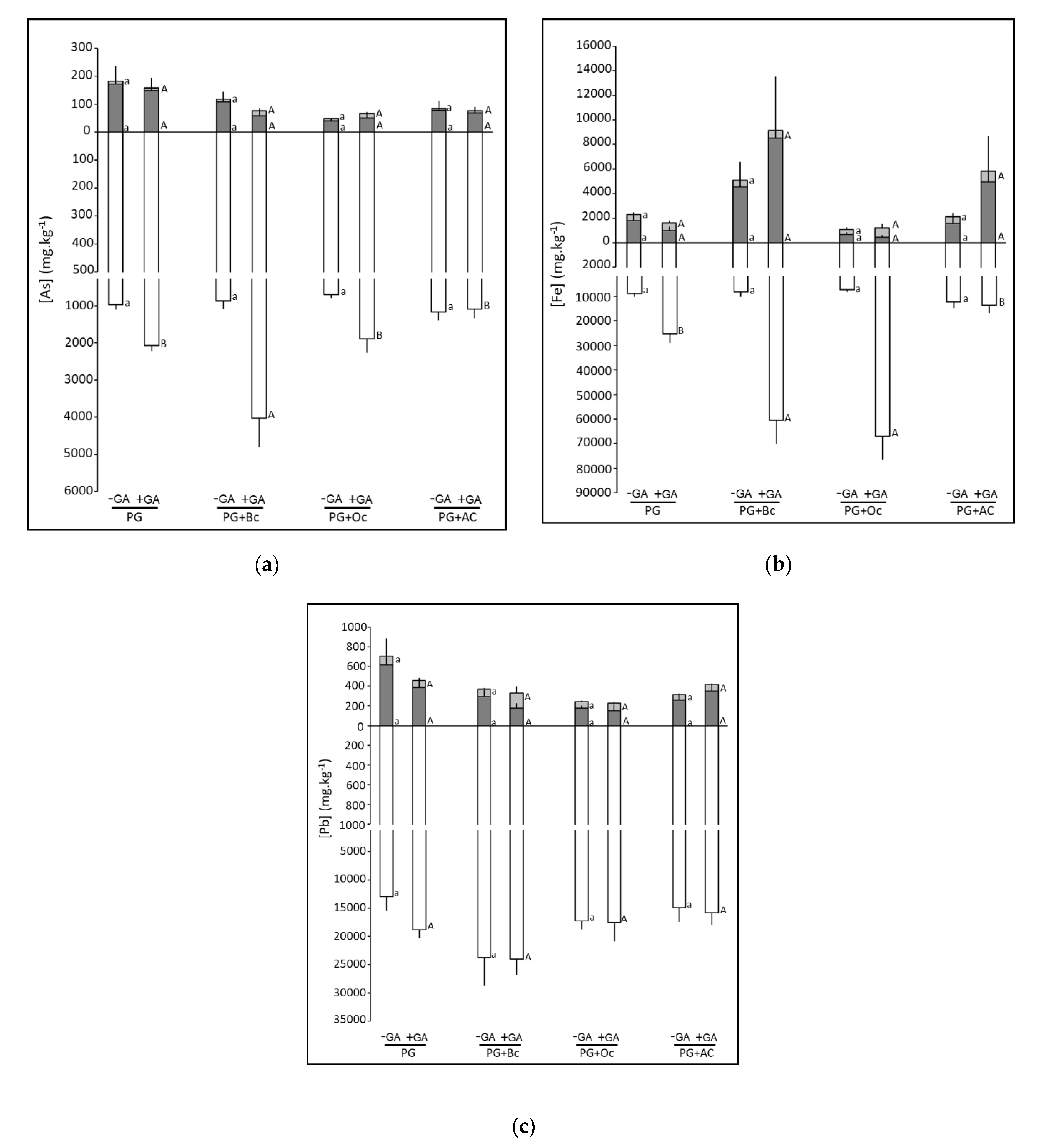
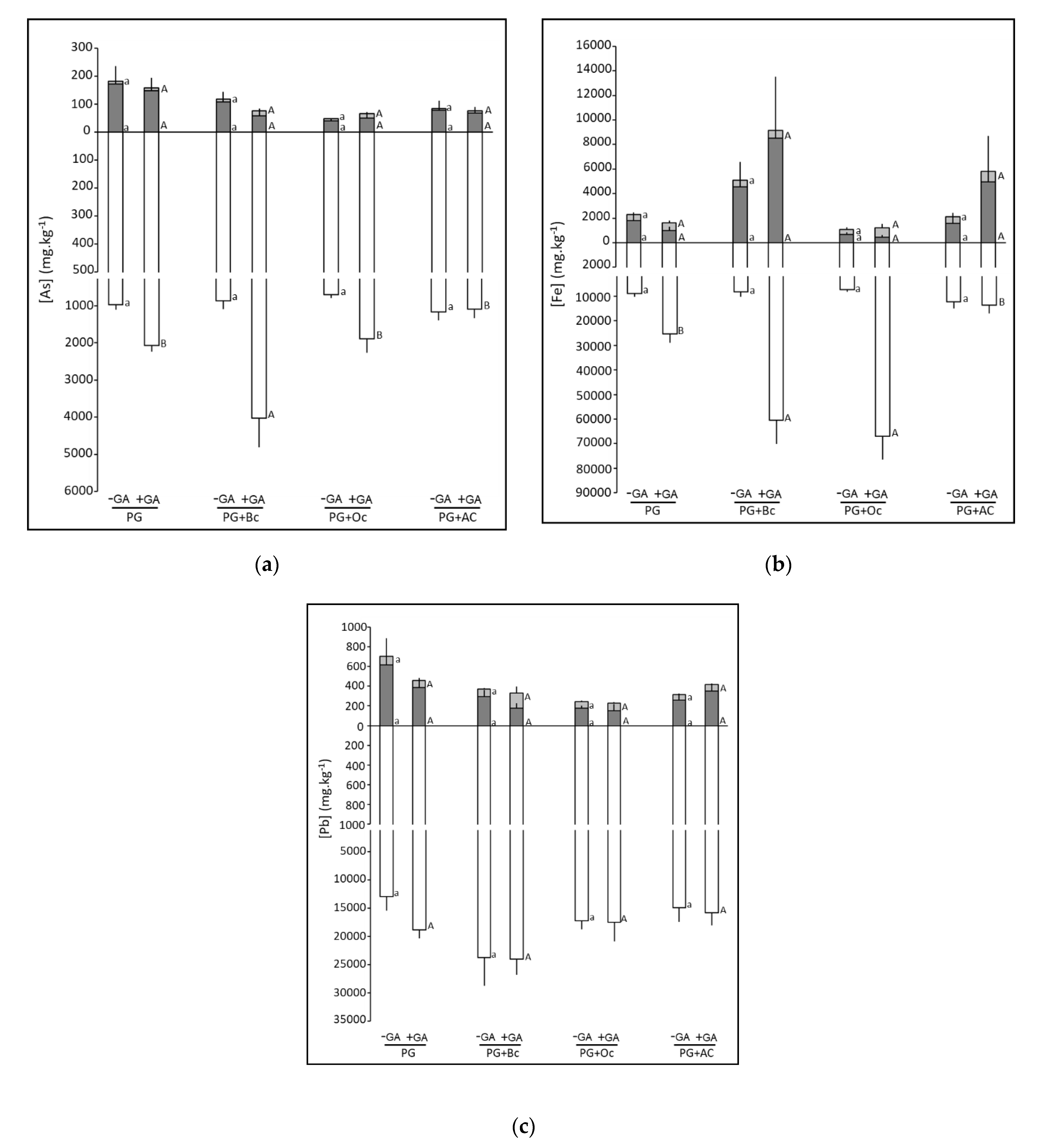
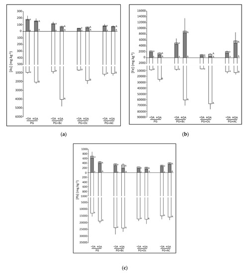
2.2. Soil Pore Water Metal(loid) Concentrations
2.3. CaCl2 Metal(loid) Concentrations
2.4. Plant Leaf Pigments
2.5. Plant Stem Length, Dry Weight, and Metal(loid) Concentrations
3. Discussion
4. Materials and Methods
4.1. Study Site
4.2. Amendments
4.3. Experimental Design
4.4. Soil Pore Water Sampling and Analysis
4.5. Soil Sampling and Analysis
4.6. Plant Harvest and Analysis
4.7. Statistical Analysis
5. Conclusions
Supplementary Materials
Author Contributions
Funding
Acknowledgments
Conflicts of Interest
References
- Fiorentino, N.; Mori, M.; Cenvinzo, V.; Duri, L.G.; Gioia, L.; Visconti, D.; Fagnano, M. Assisted phytoremediation for restoring soil fertility in contaminated and degraded land. Ital. J. Agron. 2018, 13, 34–44. [Google Scholar]
- Muthusaravanan, S.; Sivarajasekar, N.; Vivek, J.S.; Paramasivan, T.; Naushad, M.; Prakashmaran, J.; Gayathri, V.; Al-Duaij, O.K. Phytoremediation of heavy metals: Mechanisms, methods and enhancements. Environ. Chem. Lett. 2018, 16, 1339–1359. [Google Scholar] [CrossRef]
- Mansoor, S.; Kour, N.; Manhas, S.; Zahid, S.; Wani, O.A.; Sharma, V.; Wijaya, L.; Alyemeni, M.N.; Alsahli, A.A. Biochar as a tool for effective management of drought and heavy metal toxicity. Chemosphere 2021, 271, 129458. [Google Scholar] [CrossRef]
- Cheng, S.; Chen, T.; Xu, W.; Huang, J.; Jiang, S.; Yan, B. Application research of biochar for the remediation of soil heavy metals contamination: A review. Molecules 2021, 25, 3167. [Google Scholar] [CrossRef] [PubMed]
- Jha, A.B.; Misra, A.N.; Sharma, P. Phytoremediation of heavy metal-contaminated soil using bioenergy crops. In Phytoremediation Potential of Bioenergy Plants; Springer: Singapore, 2017; pp. 63–96. [Google Scholar]
- Wang, L.; Hou, D.; Shen, Z.; Zhu, J.; Jia, X.; Ok, Y.S.; Tack, F.M.G.; Rinklebe, J. Field trials of phytomining and phytoremediation: A critical review of influencing factors and effects of additives. Crit. Rev. Environ. Sci. Technol. 2020, 50, 2724–2774. [Google Scholar] [CrossRef]
- Qadir, A.; Hameed, M.A.; Bin Zafar, M.S.; Farooqi, Z.U.R.; Younas, F.; Hussain, M.M.; Mohy-Ud-Din, W. Phytoremediation of inorganic pollutants: An eco-friendly approach, its types and mechanisms. Plant Environ. 2021, 1, 110–129. [Google Scholar]
- Nissim, W.G.; Palm, E.; Mancuso, S.; Azzarello, E. Trace element phytoextraction from contaminated soil: A case study under Mediterranean climate. Environ. Sci. Pollut. Res. 2018, 25, 9114–9131. [Google Scholar] [CrossRef]
- Redovniković, I.R.; De Marco, A.; Proietti, C.; Hanousek, K.; Sedak, M.; Bilandžić, N.; Jakovljević, T. Poplar response to cadmium and lead soil contamination. Ecotoxicol. Environ. Saf. 2017, 144, 482–489. [Google Scholar] [CrossRef]
- Wang, J.; Shi, L.; Zhai, L.; Zhang, H.; Wang, S.; Zou, J.; Shen, Z.; Lian, C.; Chen, Y. Analysis of the long-term effectiveness of biochar immobilization remediation on heavy metal contaminated soil and the potential environmental factors weakening the remediation effect: A review. Encotoxicology Environ. Saf. 2021, 207, 111261. [Google Scholar] [CrossRef] [PubMed]
- Khan, A.; Khan, S.; Lei, M.; Alam, M.; Khan, M.A.; Khan, A. Biochar characteristics, applications and importance in health risk reduction through metal immobilization. Environ. Technol. Innov. 2020, 101121. [Google Scholar] [CrossRef]
- Lebrun, M.; Macri, C.; Miard, F.; Hattab-Hambli, N.; Motelica-Heino, M.; Morabito, D.; Bourgerie, S. Effect of biochar amendments on As and Pb mobility and phytoavailability in contaminated mine technosols phytoremediated by Salix. J. Geochem. Explor. 2017, 182, 149–156. [Google Scholar] [CrossRef] [Green Version]
- Nandillon, R.; Lebrun, M.; Miard, F.; Gaillard, M.; Sabatier, S.; Villar, M.; Bourgerie, S.; Morabito, D. Capability of amendments (biochar, compost and garden soil) added to a mining technosol contaminated by Pb and As to allow poplar seed (Populus nigra L.) germination. Environ. Monit. Assess. 2019, 191, 465. [Google Scholar] [CrossRef] [PubMed]
- Trakal, L.; Raya-Moreno, I.; Mitchell, K.; Beesley, L. Stabilization of metal(loid)s in two contaminated agricultural soils: Comparing biochar to its non-pyrolysed source material. Chemosphere 2017, 181, 150–159. [Google Scholar] [CrossRef]
- Danish, M.; Ahmad, T. A review on utilization of wood biomass as a sustainable precursor for activated carbon production and application. Renew. Sustain. Energy Rev. 2018, 87, 1–21. [Google Scholar] [CrossRef]
- Heidarinejad, Z.; Dehghani, M.H.; Heidari, M.; Javedan, G.; Ali, I.; Sillanpää, M. Methods for preparation and activation of activated carbon: A review. Environ. Chem. Lett. 2020, 18, 393–415. [Google Scholar] [CrossRef]
- Hadjittofi, L.; Pashalidis, I. Uranium sorption from aqueous solutions by activated biochar fibres investigated by FTIR spectroscopy and batch experiments. J. Radioanal. Nucl. Chem. 2015, 304, 897–904. [Google Scholar] [CrossRef]
- Liu, S.J.; Liu, Y.G.; Tan, X.F.; Zeng, G.M.; Zhou, Y.H.; Liu, S.B.; Yin, Z.H.; Jiang, L.H.; Li, M.F.; Wen, J. The effect of several activated biochars on Cd immobilization and microbial community composition during in-situ remediation of heavy metal contaminated sediment. Chemosphere 2018, 208, 655–664. [Google Scholar] [CrossRef]
- Sabir, M.; Hanafi, M.M.; Aziz, T.; Ahmad, H.R.; Zia-Ur-Rehman, M.; Saifullah, G.M.; Hakeem, K.R. Comparative effect of activated carbon, pressmud and poultry manure on immobilization and concentration of metals in maize (Zea mays) grown on contaminated soil. Int. J. Agric. Biol. 2013, 15, 559–564. [Google Scholar]
- Hua, Y.; Heal, K.V.; Friesl-Hanl, W. The use of red mud as an immobiliser for metal/metalloid-contaminated soil: A review. J. Hazard. Mater. 2017, 325, 17–30. [Google Scholar] [CrossRef] [Green Version]
- Khairul, M.A.; Zanganeh, J.; Moghtaderi, B. The composition, recycling and utilisation of Bayer red mud. Resour. Conserv. Recycl. 2019, 141, 483–498. [Google Scholar] [CrossRef]
- Lebrun, M.; Nandillon, R.; Miard, F.; Le Forestier, L.; Morabito, D.; Bourgerie, S. Effects of biochar, ochre and manure amendments associated with a metallicolous ecotype of Agrostis capillaris on As and Pb stabilization of a former mine technosol. Environ. Geochem. Health 2020, 43, 1491–1505. [Google Scholar] [CrossRef]
- Olimah, J.A.; Shaw, L.J.; Hodson, M.E. Does ochre have the potential to be a remedial treatment for As-contaminated soils? Environ. Pollut. 2015, 206, 150–158. [Google Scholar] [CrossRef] [Green Version]
- Tang, X.; Li, X.; Liu, X.; Hashmi, M.; Xu, J.; Brookes, P. Effects of inorganic and organic amendments on the uptake of lead and trace elements by Brassica chinensis grown in an acidic red soil. Chemosphere 2015, 119, 177–183. [Google Scholar] [CrossRef] [PubMed]
- Mohamed, I.; Ahamadou, B.; Li, M.; Gong, C.; Cai, P.; Liang, W.; Huang, Q. Fractionation of copper and cadmium and their binding with soil organic matter in a contaminated soil amended with organic materials. J. Soils Sediments 2010, 10, 973–982. [Google Scholar] [CrossRef]
- Dong, W.; Zhang, X.; Wang, H.; Dai, X.; Sun, X.; Qiu, W.; Yang, F. Effect of different fertilizer application on the soil fertility of paddy soils in red soil region of southern China. PLoS ONE 2012, 7, e44504. [Google Scholar]
- Kalu, S.; Oyekoya, G.N.; Ambus, P.; Tammeord, P.; Simojoki, A.; Pihlatie, M.; Karhu, K. Effects of two wood-based biochars on the fate of added fertilizer nitrogen—a 15N tracing study. Biol. Fertil. Soils 2021, 57, 457–470. [Google Scholar] [CrossRef]
- Xu, P.; Sun, C.X.; Ye, X.Z.; Xiao, W.D.; Zhang, Q.; Wang, Q. The effect of biochar and crop straws on heavy metal bioavailability and plant accumulation in a Cd and Pb polluted soil. Ecotoxicol. Environ. Saf. 2016, 132, 94–100. [Google Scholar] [CrossRef]
- Lebrun, M.; Van Poucke, R.; Scippa, G.S.; Bourgerie, S.; Morabito, D.; Tack, F.M.G. Effects of carbon-based materials and redmuds on metal(loid) immobilization and growth of Salix dasyclados Wimm. on a former mine Technosol contaminated by arsenic and lead. Land Degrad. Dev. 2021, 32, 467–481. [Google Scholar] [CrossRef]
- Chen, H.; Yang, X.; Wang, H.; Sarkar, B.; Shaheen, S.M.; Gielen, G.; Bolan, N.; Guo, J.; Che, L.; Sun, H.; et al. Animal carcass- and wood-derived biochars improved nutrient bioavailability, enzyme activity, and plant growth in metal-phthalic acid ester co-contaminated soils: A trial for reclamation and improvement of degraded soils. J. Environ. Manag. 2020, 261, 110246. [Google Scholar] [CrossRef]
- Lebrun, M.; Miard, F.; Nandillon, R.; Scippa, G.S.; Bourgerie, S.; Morabito, D. Biochar effect associated with compost and iron to promote Pb and As soil stabilization and Salix viminalis L. growth. Chemosphere 2019, 222, 810–822. [Google Scholar] [CrossRef] [Green Version]
- Ok, Y.S.; Usman, A.R.; Lee, S.S.; Abd El-Azeem, S.A.; Choi, B.; Hashimoto, Y.; Yang, J.E. Effects of rapeseed residue on lead and cadmium availability and uptake by rice plants in heavy metal contaminated paddy soil. Chemosphere 2011, 85, 677–682. [Google Scholar] [CrossRef]
- Tao, J.; Liu, X.; Liang, Y.; Niu, J.; Xiao, Y.; Gu, Y.; Ma, L.; Meng, D.; Zhang, Y.; Huang, W.; et al. Maize growth responses to soil microbes and soil properties after fertilization with different green manures. Appl. Microbiol. Biotechnol. 2017, 101, 1289–1299. [Google Scholar] [CrossRef] [PubMed]
- El-Naggar, A.; Lee, M.H.; Hur, J.; Lee, Y.H.; Igalavithana, A.D.; Shaheen, S.M.; Ryu, C.; Rinklebe, J.; Tsang, D.C.W.; Ok, Y.S. Biochar-induced metal immobilization and soil biogeochemical process: An integrated mechanistic approach. Sci. Total Environ. 2020, 698, 134112. [Google Scholar] [CrossRef] [PubMed]
- Wang, G.; Zhou, L. Application of green manure and pig manure to Cd-contaminated paddy soil increases the risk of Cd uptake by rice and Cd downward migration into groundwater: Field micro-plot trials. Water Air Soil Pollut. 2017, 228, 1–15. [Google Scholar]
- Lebrun, M.; Miard, F.; Renouard, S.; Nandillon, R.; Scippa, G.S.; Morabito, D.; Bourgerie, S. Effect of Fe-functionalized biochar on toxicity of a technosol contaminated by Pb and As: Sorption and phytotoxicity tests. Environ. Sci. Pollut. Res. 2018, 25, 33678–33690. [Google Scholar] [CrossRef] [PubMed]
- Sorrenti, G.; Masiello, C.; Toselli, M. Biochar interferes with kiwifruit Fe-nutrition in calcareous soil. Geoderma 2016, 272, 10–19. [Google Scholar] [CrossRef] [Green Version]
- Lebrun, M.; Miard, F.; Nandillon, R.; Hattab-Hambli, N.; Scippa, G.S.; Bourgerie, S.; Morabito, D. Eco-restoration of a mine technosol according to biochar particle size and dose application: Study of soil physicochemical properties and phytostabilization capacities of Salix viminalis. J. Soils Sediments 2018, 18, 2188–2202. [Google Scholar] [CrossRef]
- Ali, U.; Shaaban, M.; Bashir, S.; Fu, Q.; Zhu, J.; Islam, M.S.; Hu, H. Effect of rice straw, biochar and calcite on maize plant and Ni bio-availability in acidic Ni contaminated soil. J. Environ. Manag. 2020, 259, 109674. [Google Scholar] [CrossRef]
- Almaroai, Y.A.; Eissa, A. Effect of biochar on yield and quality of tomato grown on a metalcontaminated soil. Sci. Hortic. 2020, 265, 109210. [Google Scholar] [CrossRef]
- Lebrun, M.; Nandillon, R.; Miard, F.; Scippa, G.S.; Bourgerie, S.; Morabito, D. Application of amendments for the phytoremediation of a former mine technosol by endemic pioneer species: Alder and birch seedlings. Environ. Geochem. Health 2020, 43, 77–89. [Google Scholar] [CrossRef]
- Lebrun, M.; Miard, F.; Scippa, G.S.; Hano, C.; Morabito, D.; Bourgerie, S. Effect of biochar and redmud amendment combinations on Salix triandra growth, metal (loid) accumulation and oxidative stress response. Ecotoxicol. Environ. Saf. 2020, 195, 110466. [Google Scholar] [CrossRef] [PubMed]
- R Core Team. R: A language and Environment for Statistical Computing; R Foundation for Statistical Computing: Vienna, Austria, 2017; Available online: https://www.R-project.org/ (accessed on 3 July 2021).



| pH | Electrical Conductivity (µS.cm−1) | Redox Potential (mV) | ||||||||
|---|---|---|---|---|---|---|---|---|---|---|
| T0 | T45 | Time Effect | T0 | T45 | Time effect | T0 | T45 | Time Effect | ||
| PG | −GA | 4.7 ± 0.4 b | 5.1 ± 0.1 c | Ns | 2072 ± 214 b | 3961 ± 380 a | ** | 364 ± 25 ab | 387 ± 15 a | ns |
| +GA | 4.5 ± 0.1 C | 5.7 ± 0.3 A | * | 2614 ± 107 B | 3282 ± 657 A | ns | 303 ± 8 A | 268 ± 19 AB | ns | |
| PG+Bc | −GA | 6.5 ± 0.1 a | 6.5 ± 0.0 a | Ns | 2754 ± 69 a | 3359 ± 433 ab | ns | 305 ± 13 bc | 293 ± 16 b | ns |
| +GA | 6.8 ± 0.2 A | 6.1 ± 0.2 A | * | 3855 ± 198 A | 3691 ± 170 A | ns | 260 ± 8 B | 197 ± 37 AB | ns | |
| PG+Oc | −GA | 6.3 ± 0.1 a | 6.3 ± 0.1 ab | Ns | 3126 ± 171 a | 4184 ± 252 a | * | 288 ± 19 c | 295 ± 10 b | ns |
| +GA | 6.6 ± 0.1 A | 5.6 ± 0.7 A | Ns | 3959 ± 226 A | 3809 ± 319 A | ns | 243 ± 16 B | 207 ± 6 B | ns | |
| PG+AC | −GA | 4.8 ± 0.2 b | 6.2 ± 0.1 b | ** | 1862 ± 68 b | 2322 ± 404 b | ns | 380 ± 16 a | 297 ± 10 b | ** |
| +GA | 5.7 ± 0.2 B | 6.2 ± 0.1 A | * | 2330 ± 93 B | 2876 ± 223 A | * | 247 ± 13 A | 270 ± 8 A | ns | |
| [As] (mg.L−1) | [Fe] (mg.L−1) | [Pb] (mg.L−1) | ||||||||
|---|---|---|---|---|---|---|---|---|---|---|
| T0 | T45 | Time Effect | T0 | T45 | Time Effect | T0 | T45 | Time Effect | ||
| PG | -GA | 0.19 ± 0.02 a | 0.30 ± 0.04 a | ns | 0.32 ± 0.04 a | 0.27 ± 0.05 a | ns | 4.4 ± 0.5 a | 3.7 ± 1.0 a | ns |
| +GA | 0.37 ± 0.05 A | 0.58 ± 0.11 A | ns | 2.53 ± 0.17 A | 28.58 ± 19.69 B | ns | 11.8 ± 0.7 A | 4.1 ± 0.2 A | *** | |
| PG+Bc | -GA | 0.07 ± 0.03 b | 0.28 ± 0.01 a | ns | 0.16 ± 0.00 b | 0.26 ± 0.03 a | ns | 4.0 ± 0.2 a | 2.7 ± 0.2 a | ** |
| +GA | 0.35 ± 0.10 A | 1.04 ± 0.41 A | ns | 0.34 ± 0.11 B | 68.87 ± 34.63 AB | ns | 5.9 ± 1.6 BC | 0.6 ± 0.4 B | * | |
| PG+Oc | -GA | 0.05 ± 0.02 b | 0.27 ± 0.00 a | *** | 0.25 ± 0.06 ab | 0.23 ± 0.01 a | ns | 3.6 ± 0.3 a | 3.7 ± 0.3 a | ns |
| +GA | 0.05 ± 0.03 B | 1.20 ± 0.14 A | ** | 0.19 ± 0.02 B | 143.13 ± 24.49 A | ** | 6.2 ± 0.3 B | 1.2 ± 0.4 B | ** | |
| PG+AC | -GA | 0.01 ± 0.01 b | 0.28 ± 0.01 a | *** | 0.21 ± 0.02 ab | 0.32 ± 0.09 a | ns | 4.5 ± 0.3 a | 3.3 ± 0.1 a | * |
| +GA | 0.46 ± 0.05 A | 0.93 ± 0.20 A | ns | 0.38 ± 0.03 B | 17.80 ± 6.60 B | ** | 4.7 ± 0.3 C | 3.6 ± 0.4 A | ns | |
| [As] (mg.kg−1) | [Fe] (mg.kg−1) | [Pb] (mg.kg−1) | ||
|---|---|---|---|---|
| PG | −GA | 0.00 ± 0.00 a | 3.37 ± 0.70 ab | 114 ± 20 ab |
| +GA | 0.00 ± 0.00 A | 3.99 ± 0.61 A | 90 ± 6 A | |
| PG+Bc | −GA | 0.12 ± 0.08 a | 5.06 ± 0.61 a | 78 ± 5 b |
| +GA | 0.04 ± 0.04 A | 2.93 ± 0.14 A | 109 ± 16 A | |
| PG+Oc | −GA | 0.00 ± 0.00 a | 2.98 ± 0.24 b | 69 ± 5 c |
| +GA | 0.10 ± 0.09 A | 2.67 ± 0.18 AB | 77 ± 5 A | |
| PG+AC | −GA | 0.00 ± 0.00 a | 2.85 ± 0.10 b | 124 ± 10 a |
| +GA | 0.00 ± 0.00 A | 2.28 ± 0.03 B | 94 ± 6 A |
| Biochar | Activated Carbon | Ochre | ||
|---|---|---|---|---|
| pH | 8.5 ± 0.0 | 9.5 ± 0.0 | 8.0 ± 0.1 | |
| Electrical conductivity | µS.cm−1 | 302 ± 1 | 5 ± 0 | 1595 ± 35 |
| Redox potential | mV | 166 ± 9 | 200 ± 4 | 261 ± 6 |
| Specific surface area | m2.g−1 | 4.38 | 1050 | ND |
| Total pore volume | cm3.g−1 | 0.01 | 0.87 | ND |
| Mean pore diameter | Nm | 9.13 | 9 | ND |
| Cation exchange capacity | cmol.kg−1 | 0.5 ± 0.2 | 7.7 ± 0.3 | 5.9 ± 0.2 |
| C content | % | 78.7 ± 1.1 | 81.9 ± 2.5 | 1.3 ± 0.3 |
| H content | % | 1.7 ± 0.1 | 0.4 ± 0.0 | 1.6 ± 0.1 |
| N content | % | 2.4 ± 0.8 | 1.9 ± 0.8 | 0.6 ± 0.1 |
Publisher’s Note: MDPI stays neutral with regard to jurisdictional claims in published maps and institutional affiliations. |
© 2021 by the authors. Licensee MDPI, Basel, Switzerland. This article is an open access article distributed under the terms and conditions of the Creative Commons Attribution (CC BY) license (https://creativecommons.org/licenses/by/4.0/).
Share and Cite
Lebrun, M.; Bourgerie, S.; Morabito, D. The Potential of Clover Green Amendment, Associated with Biochar, Activated Carbon or Ochre, for the Phytoremediation, Using Populus x. canescens, of a Former Mine Technosol. Plants 2021, 10, 1374. https://doi.org/10.3390/plants10071374
Lebrun M, Bourgerie S, Morabito D. The Potential of Clover Green Amendment, Associated with Biochar, Activated Carbon or Ochre, for the Phytoremediation, Using Populus x. canescens, of a Former Mine Technosol. Plants. 2021; 10(7):1374. https://doi.org/10.3390/plants10071374
Chicago/Turabian StyleLebrun, Manhattan, Sylvain Bourgerie, and Domenico Morabito. 2021. "The Potential of Clover Green Amendment, Associated with Biochar, Activated Carbon or Ochre, for the Phytoremediation, Using Populus x. canescens, of a Former Mine Technosol" Plants 10, no. 7: 1374. https://doi.org/10.3390/plants10071374
APA StyleLebrun, M., Bourgerie, S., & Morabito, D. (2021). The Potential of Clover Green Amendment, Associated with Biochar, Activated Carbon or Ochre, for the Phytoremediation, Using Populus x. canescens, of a Former Mine Technosol. Plants, 10(7), 1374. https://doi.org/10.3390/plants10071374
