Effects of Association of Barley Plants with Hydrocarbon-Degrading Bacteria on the Content of Soluble Organic Compounds in Clean and Oil-Contaminated Sand
Abstract
1. Introduction
2. Results
2.1. Bacterial Abundance in the Sand
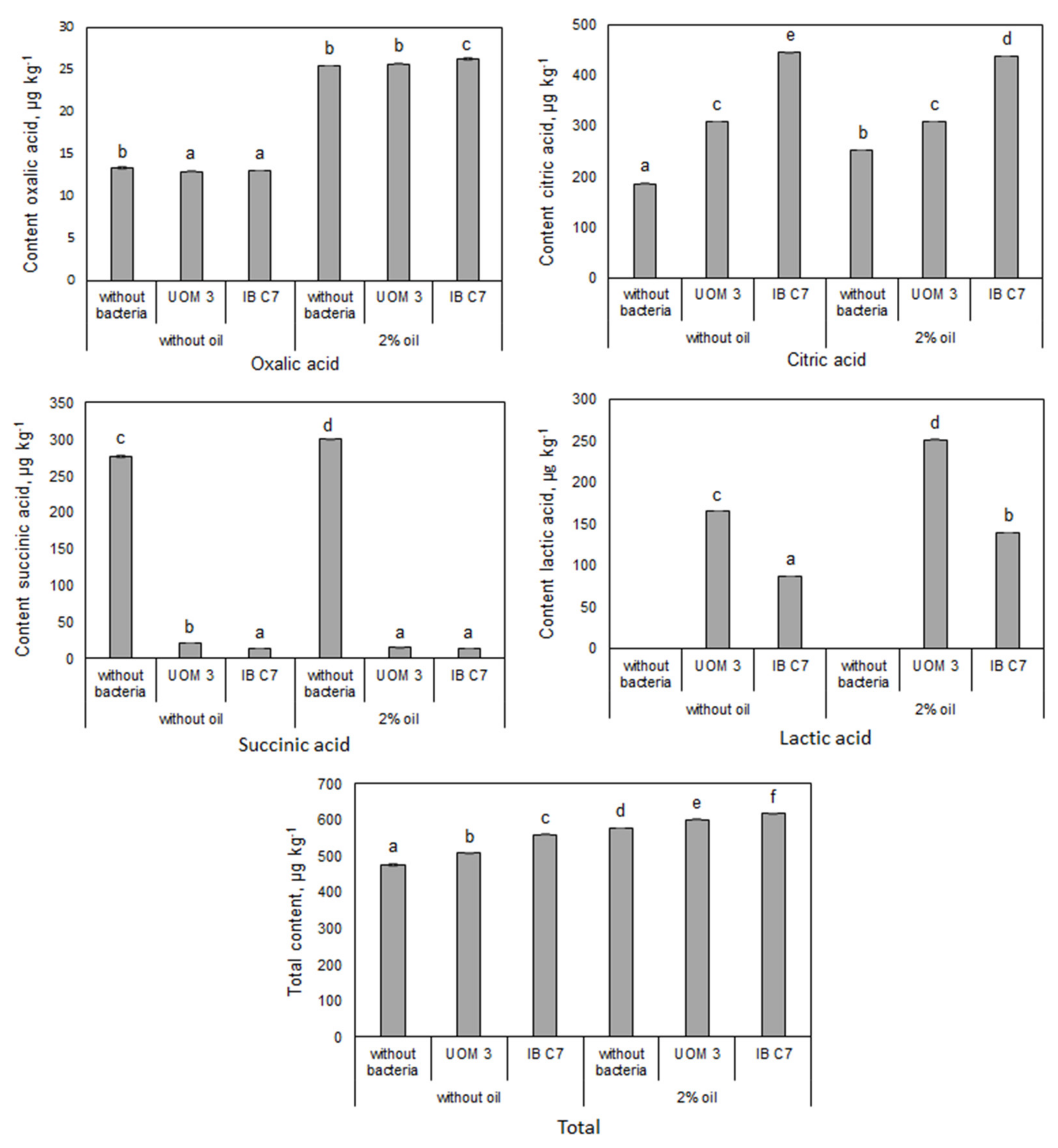
2.2. Content of Organic Acids in the Sand Eluate
2.3. Content of Monosaccharides in the Sand Eluate
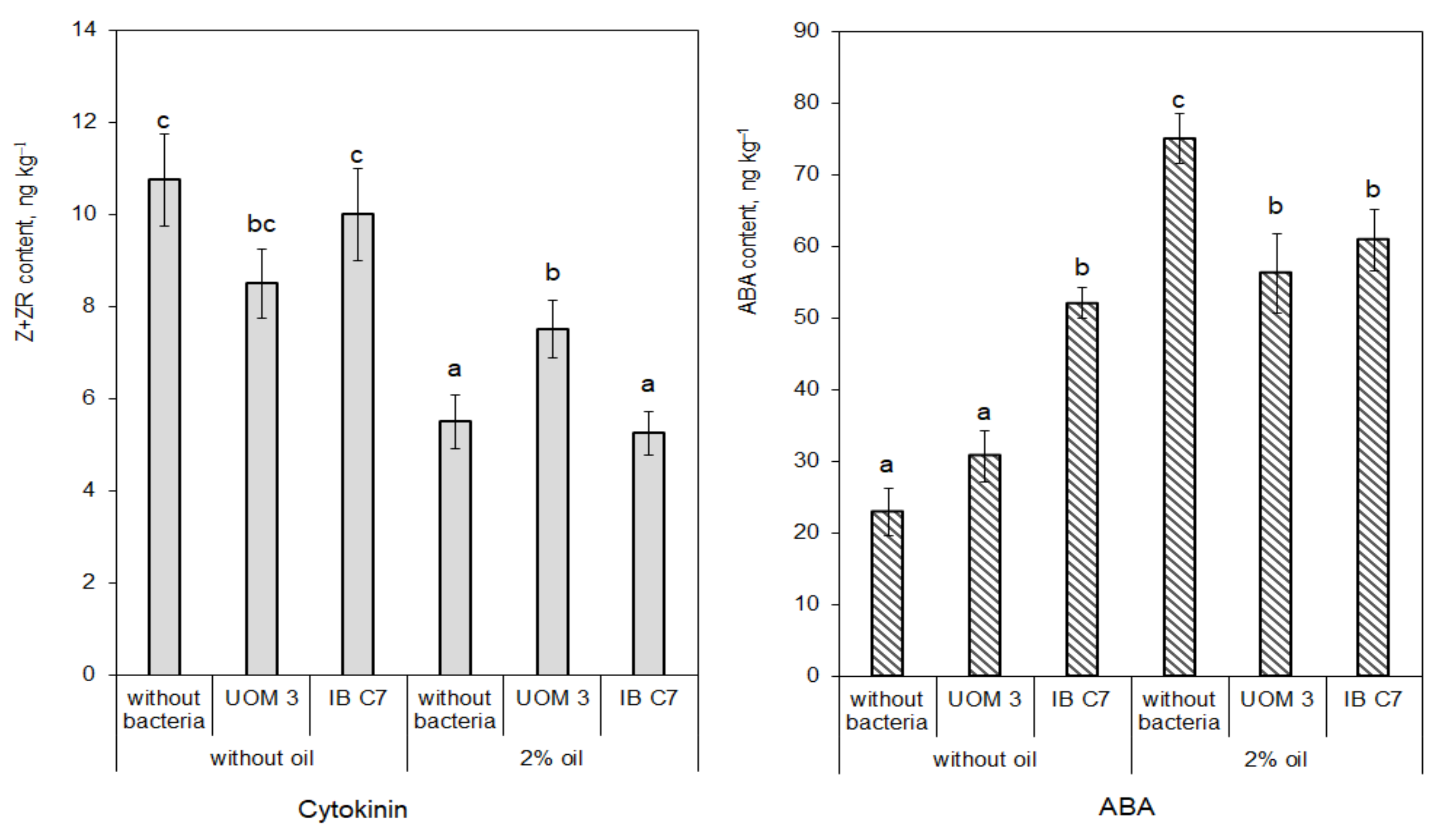
2.4. Content of Hormones in the Sand Eluate and in Plants
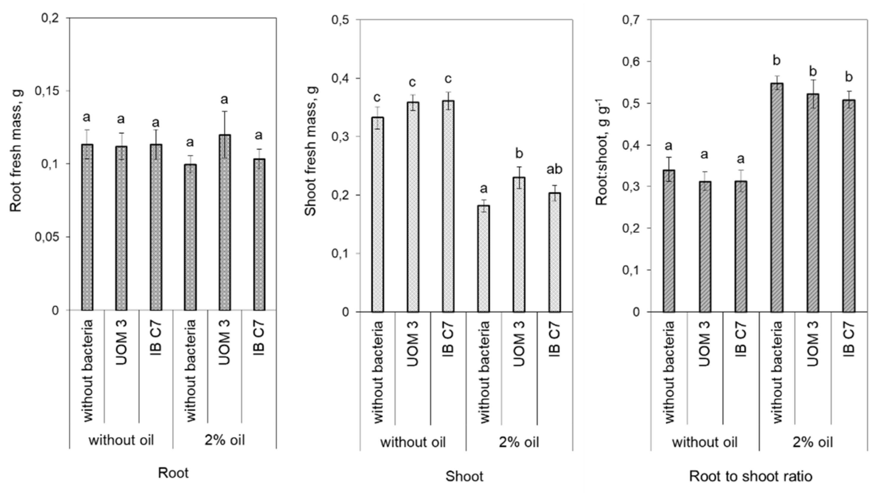
2.5. Effect of Oil on Shoots and Roots Biomass
3. Discussion
4. Materials and Methods
4.1. Plant Growth Conditions and Treatments
4.2. Bacterial Strains and Culture Media
4.3. Analysis of the Content of Organic Acids and Monosaccharides in the Sand Eluate
4.4. Hormone Measurement
4.5. Statistical Analysis
5. Conclusions
Author Contributions
Funding
Institutional Review Board Statement
Informed Consent Statement
Data Availability Statement
Acknowledgments
Conflicts of Interest
References
- Bais, H.P.; Weir, T.L.; Perry, L.G.; Gilroy, S.; Vivanco, J.M. The role of root exudates in rhizosphere interactions with plants and other organisms. Annu. Rev. Plant. Biol. 2006, 57, 233–266. [Google Scholar] [CrossRef] [PubMed]
- Badri, D.V.; Vivanco, L.M. Regulation and function of root exudates. Plant. Cell Environ. 2009, 32, 666–681. [Google Scholar] [CrossRef]
- Huang, X.F.; Chaparro, J.M.; Reardon, K.F.; Zhang, R.; Shen, Q.; Vivanco, J.M. Rhizosphere interactions: Root exudates, microbes, and microbial communities. Botany 2014, 92, 267–275. [Google Scholar] [CrossRef]
- Shaposhnikov, A.I.; Puhalsky, I.V.; Kravchenko, L.V.; Belimov, A.A. Role of Root Exudation in Trophic Interactions of Plants with Rhizosphere Microorganisms; Inform-Navigator Press: St. Petersburg, Russia, 2016; 104p. [Google Scholar]
- Williams, A.; De Vries, F.T. Plant root exudation under drought: Implications for ecosystem functioning. New Phytol. 2020, 225, 1899–1905. [Google Scholar] [CrossRef] [PubMed]
- Rohrbacher, F.; St-Arnaud, M. Root exudation: The ecological driver of hydrocarbon rhizoremediation. Agronomy 2016, 6, 19. [Google Scholar] [CrossRef]
- Correa-García, S.; Pande, P.; Séguin, A.; St-Arnaud, M.; Yergeau, E. Rhizoremediation of petroleum hydrocarbons: A model system for plant microbiome manipulation. Microb. Biotechnol. 2018, 11, 819–832. [Google Scholar] [CrossRef] [PubMed]
- Allamin, I.A.; Halmi, M.I.E.; Yasid, N.A.; Ahmad, S.A.; Abdullah, S.R.S.; Shukor, Y. Rhizodegradation of petroleum oily sludge-contaminated soil using Cajanus cajan increases the diversity of soil microbial community. Sci. Rep. 2020, 10, 4094. [Google Scholar] [CrossRef]
- Gorovtsov, A.; Vishnu, R.; Minkina, T.; Mandzhieva, S.; Sushkova, S.; Kornienko, I.; Grigoryeva, T.C.; Chokheli, V.; Aleshukina, I.; Zinchenko, V.; et al. The role of biochar-microbe interaction in alleviating heavy metal toxicity in Hordeum vulgare L. grown in highly polluted soils. Appl. Geochem. 2019, 104, 93–101. [Google Scholar] [CrossRef]
- Asemoloye, M.D.; Jonathan, S.G.; Ahmad, R. Synergistic plant-microbes interactions in the rhizosphere: A potential headway for the remediation of hydrocarbon polluted soils. Int. J. Phytoremed. 2019, 21, 71–83. [Google Scholar] [CrossRef]
- Wittenmayer, L.; Merbach, W. Plant responses to drought and phosphorus deficiency: Contribution of phytohormones in root-related processes. J. Plant. Nutr. Soil Sci. 2005, 168, 531–540. [Google Scholar] [CrossRef]
- Kudoyarova, G.R.; Melentiev, A.I.; Martynenko, E.V.; Timergalina, L.N.; Arkhipova, T.N.; Shendel, G.V.; Kuz’mina, L.Y.; Dodd, I.C.; Veselov, S.Y. Cytokinin producing bacteria stimulate amino acid deposition by wheat roots. Plant Physiol. Biochem. 2014, 83, 285–291. [Google Scholar] [CrossRef]
- Matilla, M.A.; Ramos, J.L.; Bakker, P.A.H.M.; Doornbos, R.; Badri, D.V.; Vivanco, J.M.; Ramos-González, M.I. Pseudomonas putida KT2440 causes induced systemic resistance and changes in Arabidopsis root exudation. Environ. Microbiol. Rep. 2010, 2, 381–388. [Google Scholar] [CrossRef]
- Bertin, C.; Yang, X.; Weston, L.A. The role of root exudates and allelochemicals in the rhizosphere. Plant Soil 2003, 256, 67–83. [Google Scholar] [CrossRef]
- Garcia, J.A.L.; Barbas, C.; Probanza, A.; Barrientos, M.L.; Manero, F.J.G. Low molecular weight organic acids and fatty acids in root exudates of two Lupinus cultivars at flowering and fruiting stages. Phytochem. Anal. 2001, 12, 305–311. [Google Scholar] [CrossRef] [PubMed]
- Canarini, A.; Kaiser, C.; Merchant, A.; Richter, A.; Wanek, W. Root exudation of primary metabolites: Mechanisms and their roles in plant responses to environmental stimuli. Front. Plant Sci. 2019, 10, 157. [Google Scholar] [CrossRef]
- Badri, D.V.; Loyola-Vargas, V.M.; Broeckling, C.D.; De-la-Peña, C.; Jasinski, M.; Santelia, D.; Martinoia, E.; Sumner, L.W.; Banta, L.M.; Stermitz, F.; et al. Altered profile of secondary metabolites in the root exudates of Arabidopsis ATP-binding cassette transporter mutants. Plant Physiol. 2008, 146, 762–771. [Google Scholar] [CrossRef] [PubMed]
- Takahashi, K.; Hayashi, K.; Kinoshita, T. Auxin activates the plasma membrane H+-ATPase by phosphorylation during hypocotyl elongation in Arabidopsis. Plant Physiol. 2012, 159, 632–641. [Google Scholar] [CrossRef]
- Bakaeva, M.D.; Kuzina, E.V.; Rafikova, G.F.; Chetverikova, D.V.; Stolyarova, E.A.; Muhamatd’yarova, S.R.; Kudoyarova, G.R. The influence of bacteria-destructors hydrocarbons of petroleum on germination and growth of plants. Ecobiotech 2019, 2, 175–183. [Google Scholar] [CrossRef]
- Bakaeva, M.; Kuzina, E.; Vysotskaya, L.; Kudoyarova, G.; Arkhipova, T.; Rafikova, G.; Chetverikov, S.; Korshunova, T.; Chetverikova, D.; Loginov, O. Capacity of Pseudomonas strains to degrade hydrocarbons, produce auxins and maintain plant growth under normal conditions and in the presence of petroleum contaminants. Plants 2020, 9, 379. [Google Scholar] [CrossRef] [PubMed]
- Vysotskaya, L.B.; Akhtyamova, Z.A.; Arkhipova, T.N.; Kuzina, E.V.; Rafikova, G.F.; Feoktistova, A.V.; Timergalina, L.N.; Chetverikova, D.V.; Bakaeva, M.D. The influence of the association of barley plants with bacteria destructors of oil on the hormone content and growth of barley plants against the background of oil pollution. Ecobiotech 2020, 3, 51–58. [Google Scholar] [CrossRef]
- Vysotskaya, L.B.; Arkhipova, T.N.; Kudoyarova, G.R.; Veselov, S.Y. Dependence of growth inhibiting action of increased planting density on capacity of lettuce plants to synthesize ABA. J. Plant Physiol. 2018, 220, 69–73. [Google Scholar] [CrossRef]
- Liao, J.; Wang, J.; Huang, W.Y. Bacterial community features are shaped by geographic location, physicochemical properties, and oil contamination of soil in main oil fields of China. Microb. Ecol. 2015, 70, 380–389. [Google Scholar] [CrossRef] [PubMed]
- Korshunova, T.Y.; Chetverikov, S.P.; Bakaeva, M.D.; Kuzina, E.V.; Rafikova, G.F.; Chetverikova, D.V.; Loginov, O.N. Microorganisms in the elimination of oil pollution consequences (review). Appl. Biochem. Microbiol. 2019, 55, 344–354. [Google Scholar] [CrossRef]
- Gunina, A.; Kuzyakov, Y. Sugars in soil and sweets for microorganisms: Review of origin, content, composition and fate. Soil Biol. Biochem. 2015, 90, 87–100. [Google Scholar] [CrossRef]
- Truskewycz, A.; Gundry, T.D.; Khudur, L.S.; Kolobaric, A.; Taha, M.; Aburto-Medina, A.; Ball, A.S.; Shahsavari, E. Petroleum hydrocarbon contamination in terrestrial ecosystems–fate and microbial responses. Molecules 2019, 24, 3400. [Google Scholar] [CrossRef] [PubMed]
- Li, X.; Wang, X.; Wan, L.; Zhang, Y.; Li, N.; Li, D.; Zhou, Q. Enhanced biodegradation of aged petroleum hydrocarbons in soils by glucose addition in microbial fuel cells. J. Chem. Technol. Biotechnol. 2016, 91, 267–275. [Google Scholar] [CrossRef]
- Kudoyarova, G.R.; Vysotskaya, L.B.; Arkhipova, T.N.; Kuzmina, L.Y.; Galimsyanova, N.F.; Sidorova, L.V.; Gabbasova, I.M.; Melentiev, A.I.; Veselov, S.Y. Effect of auxin producing and phosphate solubilizing bacteria on mobility of soil phosphorus, growth rate, and P acquisition by wheat plants. Acta Physiol. Plant. 2017, 39, 253. [Google Scholar] [CrossRef]
- Sasse, J.; Martinoia, E.; Northen, T. Feed your friends: Do plant exudates shape the root microbiome? Trends Plant Sci. 2018, 23, 25–41. [Google Scholar] [CrossRef]
- Altabella, T.; Palazon, J.; Ibarz, E.; Piñol, M.T.; Serrano, R. Effect of auxin concentration and growth phase on the plasma membrane H+-ATPase of tobacco calli. Plant Sci. 1990, 70, 209–214. [Google Scholar] [CrossRef]
- Bouche-Pillon, S.; Fleurat-Lessard, P.; Fromont, J.C.; Serrano, R.; Bonnemain, J.L. Immunolocalization of the plasma membrane H+ -ATPase in minor veins of Vicia faba in relation to phloem loading. Plant Physiol. 1994, 105, 691–697. [Google Scholar] [CrossRef] [PubMed]
- Li, Z.; Zhang, X.; Zhao, Y.; Li, Y.; Zhang, G.; Peng, Z.; Zhang, J. Enhancing auxin accumulation in maize root tips improves root growth and dwarfs plant height. Plant Biotechnol. J. 2018, 16, 86–99. [Google Scholar] [CrossRef] [PubMed]
- Spaepen, S.; Vanderleyden, J.; Remans, R. Indole-3-acetic acid in microbial and microorganism-plant signaling. FEMS Microbiol. Rev. 2007, 31, 425–448. [Google Scholar] [CrossRef]
- Poupin, M.J.; Greve, M.; Carmona, V.; Pinedo, I. A complex molecular interplay of auxin and ethylene signaling pathways is involved in Arabidopsis growth promotion by Burkholderia phytofirmans PsJN. Front. Plant Sci. 2016, 7, 492. [Google Scholar] [CrossRef] [PubMed]
- Chetverikov, S.P.; Bakaeva, M.D.; Korshunova, T.Y.; Kuzina, E.V.; Rafikova, G.F.; Chetverikova, D.V.; Vysotskaya, L.B.; Loginov, O.N. New strain Enterobacter sp. UOM 3—Destructor of oil and producer of indole acetic acid. Nat. Techic. Sci. 2019, 7, 37–40. [Google Scholar] [CrossRef]
- Lyubenova, L.; Kuhn, A.; Höltkemeier, A.; Schröder, P. Root exudation pattern of Typha latifolia L. plants after copper exposure. Plant Soil 2013, 370, 187–195. [Google Scholar] [CrossRef]
- Zhao, L.; Chanon, A.M.; Chattopadhyay, N.; Dami, I.E.; Blakeslee, J.J. Quantification of carbohydrates in grape tissues using capillary zone electrophoresis. Front. Plant Sci. 2016, 7, 818. [Google Scholar] [CrossRef] [PubMed]
- Veselov, S.Y.; Kudoyarova, G.R.; Egutkin, N.L.; Guili-Zade, V.Z.; Mustafina, A.R.; Kof, E.M. Modified solvent partitioning scheme providing increased specificity and rapidity of immunoassay for indole 3- acetic acid. Physiol. Plant 1992, 86, 93–96. [Google Scholar] [CrossRef]
- Arkhipova, T.N.; Veselov, S.U.; Melentiev, A.I.; Martynenko, E.V.; Kudoyarova, G.R. Ability of bacterium Bacillus subtilis to produce cytokinins and to influence the growth and endogenous hormone content of lettuce plants. Plant Soil 2005, 272, 201–209. [Google Scholar] [CrossRef]
- Arkhipova, T.N.; Galimsyanova, N.F.; Kuzmina, L.U.; Vysotskaya, L.B.; Sidorova, L.V.; Gabbasova, I.M.; Melentiev, A.I.; Kudoyarova, G.R. Effect of seed bacterization with plant growth-promoting bacteria on wheat productivity and phosphorus mobility in the rhizosphere. Plant Soil Environ. 2019, 65, 313–319. [Google Scholar] [CrossRef]
- Arkhipova, T.; Martynenko, E.; Sharipova, G.; Kuzmina, L.; Ivanov, I.; Garipova, M.; Kudoyarova, G. Effects of plant growth promoting rhizobacteria on the content of abscisic acid and salt resistance of wheat plants. Plants 2020, 9, 1429. [Google Scholar] [CrossRef] [PubMed]







| Group of Microorganisms | Treatments | |||
|---|---|---|---|---|
| Without Bacteria | Enterobacter sp. UOM 3 | P. hunanensis IB C7 | ||
| Without Oil | ||||
| Heterotrophic | 1 day | 0 | (2.23 ± 0.13) × 106 | (1.89 ± 0.13) × 106 |
| 14 days | 5.98 ± 0.22 | (1.28 ± 0.09) × 105 | (2.51 ± 0.10) × 105 | |
| Hydrocarbon-oxidizing | 1 day | 0 | (2.12 ± 0.11) × 106 | (1.90 ± 0.12) × 106 |
| 14 days | 0 | (0.54 ± 0.12) × 105 | (1.42 ± 0.10) × 105 | |
| 2% oil | ||||
| Heterotrophic | 1 day | 0 | (2.49 ± 0.11) × 106 | (2.92 ± 0.09) × 106 |
| 14 days | 9.11 ± 0.19 | (4.14 ± 0.08) × 107 | (1.56 ± 0.12) × 107 | |
| Hydrocarbon-oxidizing | 1 day | 0 | (2.52 ± 0.08) × 106 | (2.79 ± 0.13) × 106 |
| 14 days | 5.13 ± 0.21 | (3.08 ± 0.12) × 107 | (1.33 ± 0.09) × 107 | |
Publisher’s Note: MDPI stays neutral with regard to jurisdictional claims in published maps and institutional affiliations. |
© 2021 by the authors. Licensee MDPI, Basel, Switzerland. This article is an open access article distributed under the terms and conditions of the Creative Commons Attribution (CC BY) license (https://creativecommons.org/licenses/by/4.0/).
Share and Cite
Chetverikov, S.; Vysotskaya, L.; Kuzina, E.; Arkhipova, T.; Bakaeva, M.; Rafikova, G.; Korshunova, T.; Chetverikova, D.; Hkudaygulov, G.; Kudoyarova, G. Effects of Association of Barley Plants with Hydrocarbon-Degrading Bacteria on the Content of Soluble Organic Compounds in Clean and Oil-Contaminated Sand. Plants 2021, 10, 975. https://doi.org/10.3390/plants10050975
Chetverikov S, Vysotskaya L, Kuzina E, Arkhipova T, Bakaeva M, Rafikova G, Korshunova T, Chetverikova D, Hkudaygulov G, Kudoyarova G. Effects of Association of Barley Plants with Hydrocarbon-Degrading Bacteria on the Content of Soluble Organic Compounds in Clean and Oil-Contaminated Sand. Plants. 2021; 10(5):975. https://doi.org/10.3390/plants10050975
Chicago/Turabian StyleChetverikov, Sergey, Lidiya Vysotskaya, Elena Kuzina, Tatiana Arkhipova, Margarita Bakaeva, Gulnaz Rafikova, Tatiana Korshunova, Darya Chetverikova, Gaisar Hkudaygulov, and Guzel Kudoyarova. 2021. "Effects of Association of Barley Plants with Hydrocarbon-Degrading Bacteria on the Content of Soluble Organic Compounds in Clean and Oil-Contaminated Sand" Plants 10, no. 5: 975. https://doi.org/10.3390/plants10050975
APA StyleChetverikov, S., Vysotskaya, L., Kuzina, E., Arkhipova, T., Bakaeva, M., Rafikova, G., Korshunova, T., Chetverikova, D., Hkudaygulov, G., & Kudoyarova, G. (2021). Effects of Association of Barley Plants with Hydrocarbon-Degrading Bacteria on the Content of Soluble Organic Compounds in Clean and Oil-Contaminated Sand. Plants, 10(5), 975. https://doi.org/10.3390/plants10050975

