Potential Infection Risks of the Wheat Stripe Rust and Stem Rust Pathogens on Barberry in Asia and Southeastern Europe
Abstract
1. Introduction
2. Results
2.1. Stripe Rust Infection Suitability
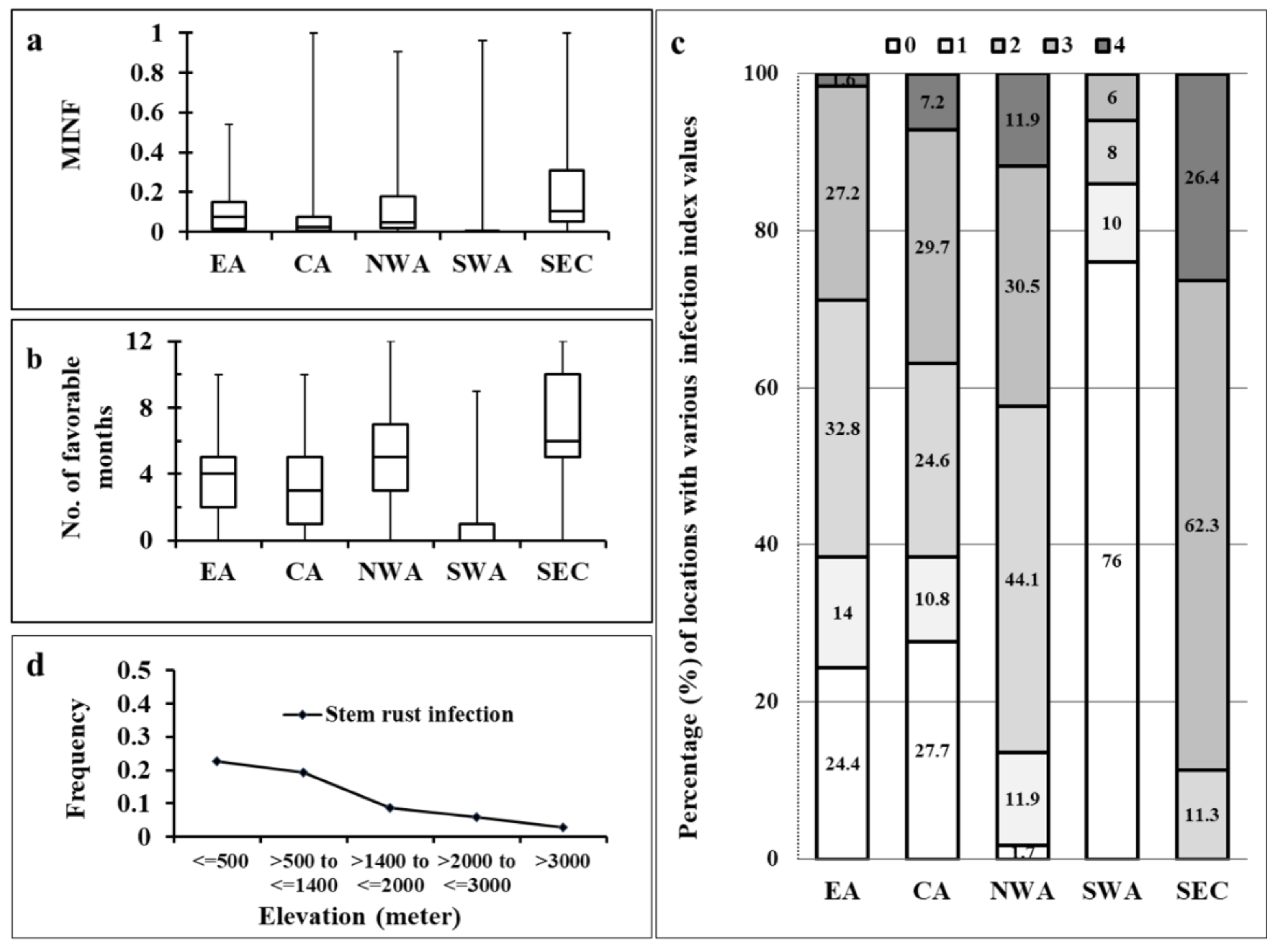
2.2. Stem Rust Infection Suitability
2.3. Barberry Growth Index
2.4. Sensitivity Analysis of Parameter b
2.5. Comparison of Environmental Suitability Patterns Predicted from the Framework and Dymex Model
2.6. Potential Risk for Pst and Pgt Infection on Barberry
3. Discussion
4. Materials and Methods
4.1. Selection of Locations
4.2. Framework to Assess Potential Infection Risk
4.3. Meteorological Data
4.4. Estimation of Hourly Temperature and High RH (>95%) for Rust Infection
4.5. Estimation of Environmental Suitability for Infection
4.6. Barberry Growth Favorable Index
4.7. Analysis for Association of Infection Suitability with Geographic Feature
4.8. Comparison of Rust Infection Suitability with Rust Growth Index (GI)
5. Conclusions
Supplementary Materials
Author Contributions
Funding
Institutional Review Board Statement
Informed Consent Statement
Data Availability Statement
Acknowledgments
Conflicts of Interest
References
- Kolmer, J.; Chen, X.M.; Jin, Y. Diseases which challenge global wheat production—The wheat rusts. In Wheat: Science and Trade; Carver, B.F., Ed.; Wiley-Blackwell: Ames, IA, USA, 2009; pp. 89–124. [Google Scholar]
- Wellings, C.R. Global status of stripe rust: A review of historical and current threats. Euphytica 2011, 179, 129–141. [Google Scholar] [CrossRef]
- Chen, X.M.; Kang, Z.S. History of research, symptoms, taxonomy of the pathogen, host range, distribution, and impact of stripe rust. In Stripe Rust; Chen, X.M., Kang, Z.S., Eds.; Springer: Dordrecht, The Netherlands, 2017; pp. 1–33. [Google Scholar]
- Meyer, M.; Burgin, L.; Hort, M.C.; Hodson, D.P.; Gilligan, C.A. Large scale atmospheric dispersal simulations identify likely airborne incursion routes of wheat stem rust into Ethiopia. Phytopathology 2017, 107, 1175–1186. [Google Scholar] [CrossRef] [PubMed]
- Meyer, M.; Cox, J.A.; Hitchings, M.D.T.; Burgin, L.; Hort, M.C.; Hodson, D.P.; Gilligan, C.A. Quantifying airborne dispersal routes of pathogens over continents to safeguard global wheat supply. Nat. Plants 2017, 3, 780–786. [Google Scholar] [CrossRef]
- Allen-Sader, C.; Thurston, W.; Meyer, M.; Nure, E.; Bacha, N.; Alemayehu, Y.; Stutt, R.O.; Safka, D.; Craig, A.P.; Derso, E.; et al. An early warning system to predict and mitigate wheat rust diseases in Ethiopia. Environ. Res. Lett. 2019, 14, 115004. [Google Scholar] [CrossRef] [PubMed]
- Chen, X.M. Epidemiology and control of stripe rust Puccinia striiformis f. sp. tritici on wheat. Can. J. Plant Pathol. 2005, 27, 314–337. [Google Scholar] [CrossRef]
- Chen, X.M.; Penman, L.; Wan, A.M.; Cheng, P. Virulence races of Puccinia striiformis f. sp. tritici in 2006 and 2007 and development of wheat stripe rust and distributions, dynamics, and evolutionary relationships of races from 2000 to 2007 in the United States. Can. J. Plant Pathol. 2010, 32, 315–333. [Google Scholar] [CrossRef]
- Chen, X.M. Pathogens which threaten food security: Puccinia striiformis, the wheat stripe rust pathogen. Food Secur. 2020, 12, 239–251. [Google Scholar] [CrossRef]
- Morgounov, A.; Tufan, H.A.; Sharma, R.; Akin, B.; Bagci, A.; Braun, H.-J.; Kaya, Y.; Keser, M.; Payne, T.S.; Sonder, K.; et al. Global incidence of wheat rusts and powdery mildew during 1969–2010 and durability of resistance of winter wheat variety Bezostaya 1. Eur. J. Plant Pathol. 2012, 132, 323–340. [Google Scholar] [CrossRef]
- Ziyaev, Z.M.; Sharma, R.C.; Nazari, K.; Morgounov, A.I.; Amanov, A.A.; Ziyadullaev, Z.F.; Khalikulov, Z.I.; Alikulov, S.M. Improving wheat stripe rust resistance in Central Asia and the Caucasus. Euphytica 2011, 179, 197–207. [Google Scholar] [CrossRef]
- Ali, S.; Gladieux, P.; Leconte, M.; Gautier, A.; Justesen, A.F.; Hovmøller, M.S.; Enjalbert, J.; de Vallavieille-Pope, C. Origin, migration routes and worldwide population genetic structure of the wheat yellow rust pathogen Puccinia striiformis f.sp. tritici. PLoS Pathog. 2014, 10, e1003903. [Google Scholar] [CrossRef]
- GRRC. New Races Caused Epidemics of Yellow Rust in Europe, East Africa and Central Asia in 2016. Global Rust Reference Center, Aarhus University, Denmark. 2017. Available online: https://agro.au.dk/forskning/internationale-platforme/wheatrust/news-and-events/news-item/artikel/new-races-caused-epidemics-of-yellow-rust-in-europe-east-africa-and-central-asia-in-2016/ (accessed on 30 March 2021).
- Hodson, D.; Nazari, K. Serious Outbreaks of Wheat Stripe Rust or Yellow Rust in Central and West Asia and North Africa, March/April 2010. 2010. Available online: https://globalrust.org/traction/permalink/Pathogen206 (accessed on 30 March 2021).
- Chen, X.M. Challenges and solutions for stripe rust control in the United States. Aust. J. Agric. Res. 2007, 58, 648–655. [Google Scholar] [CrossRef]
- Hovmøller, M.S.; Rodriguez-Algaba, J.; Thach, T.; Justesen, A.F.; Hansen, J.G. Report for Puccinia striiformis Race Analyses and Molecular Genotyping 2017, Global Rust Reference Center (GRRC), Aarhus University, Denmark. 2018. Available online: https://wheatrust.org/fileadmin/www.grcc.au.dk/International_Services/Pathotype_YR_results/Summary_of_Puccinia_striiformis_race_analysis_2017.pdf (accessed on 30 March 2021).
- Beddow, J.M.; Pardey, P.G.; Chai, Y.; Hurley, T.M.; Kriticos, D.J.; Braun, J.; Park, R.F.; Cuddy, W.S.; Yonow, T. Research investment implications of shifts in the global geography of wheat stripe rust. Nat. Plants 2015, 1, 15132. [Google Scholar] [CrossRef] [PubMed]
- Milus, E.A.; Kristensen, K.; Hovmoller, M.S. Evidence for increased aggressiveness in a recent widespread strain of Puccinia striiformis f. sp. tritici causing stripe rust of wheat. Phytopathology 2009, 99, 89–94. [Google Scholar] [CrossRef] [PubMed]
- Garrett, K.A.; Dendy, S.P.; Frank, E.E.; Rouse, M.N.; Travers, S.E. Climate change effects on plant disease: Genomes to ecosystems. Annu. Rev. Phytopathol. 2006, 44, 489–509. [Google Scholar] [CrossRef]
- Park, R.; Fetch, T.; Hodson, D.; Jin, Y.; Nazari, K. International surveillance of wheat rust pathogens, progress and challenges. Euphytica 2011, 179, 109–117. [Google Scholar] [CrossRef]
- Pardey, P.G.; Beddow, J.M.; Kriticos, D.J.; Hurley, T.M.; Park, R.E.; Duveiller, E.; Sutherst, R.W.; Burdon, J.J.; Hodson, D. Right-sizing stem rust research. Science 2013, 340, 147–148. [Google Scholar] [CrossRef]
- Li, Z.Q.; Zeng, S.M. Wheat Rusts in China; China Agricultural Press: Beijing, China, 2002; p. 479. [Google Scholar]
- Lewis, C.M.; Persoons, A.; Bebber, D.P.; Kigathi, R.N.; Maintz, J.; Findlay, K.; Bueno-Sancho, V.; Corredor-Moreno, P.; Harrington, S.A.; Kangara, N.; et al. Potential for re-emergence of wheat stem rust in the United Kingdom. Commun. Biol. 2018, 1, 13. [Google Scholar] [CrossRef]
- Jin, Y.; Szabo, L.J.; Carson, M. Century-old mystery of Puccinia striiformis life history solved with the identification of Berberis as an alternate host. Phytopathology 2010, 100, 432–435. [Google Scholar] [CrossRef]
- Wang, M.N.; Chen, X.M. First report of Oregon grape (Mahonia aquifolium) as an alternate host for the wheat stripe rust pathogen (Puccinia striiformis f. sp. tritici) under artificial inoculation. Plant Dis. 2013, 97, 839. [Google Scholar] [CrossRef]
- Zhao, J.; Wang, M.N.; Chen, X.M.; Kang, Z.S. Role of alternate hosts in epidemiology and pathogen variation of cereal rusts. Annu. Rev. Phytopathol. 2016, 54, 207–228. [Google Scholar] [CrossRef]
- Wang, M.N.; Chen, X.M. Barberry does not function as an alternate host for Puccinia striiformis f. sp. tritici in the US Pacific Northwest due to teliospore degradation and barberry phenology. Plant Dis. 2015, 99, 1500–1506. [Google Scholar] [CrossRef]
- Wang, M.N.; Wan, A.M.; Chen, X.M. Barberry as alternate host is important for Puccinia graminis f. sp. tritici but not for Puccinia striiformis f. sp. tritici in the U. S. Pacific Northwest. Plant Dis. 2015, 99, 1507–1516. [Google Scholar] [CrossRef]
- Ali, S.; Leconte, M.; Walker, A.-S.; Enjalbert, J.; de Vallavieille-Pope, C. Reduction in the sex ability of worldwide clonal populations of Puccinia striiformis f. sp. tritici. Fungal Genet. Biol. 2010, 47, 828–838. [Google Scholar] [CrossRef]
- Ali, S.; Gladieux, P.; Rahman, H.; Saqib, M.S.; Fiaz, M.; Ahmad, H.; Leconte, M.; Gautier, A.; Justesen, A.F.; Hovmøller, M.S.; et al. Inferring the contribution of sexual reproduction, migration and off-season survival to the temporal maintenance of microbial populations: A case study on the wheat fungal pathogen Puccinia striiformis f.sp. tritici. Mol. Ecol. 2014, 23, 603–617. [Google Scholar] [CrossRef]
- Bahri, B.; Shah, S.J.A.; Hussain, S.; Leconte, M.; Enjalbert, J.; de Vallavieille-Pope, C. Genetic diversity of the wheat yellow rust population in Pakistan and its relationship with host resistance. Plant Pathol. 2011, 60, 649–660. [Google Scholar] [CrossRef]
- Zhao, J.; Wang, L.; Wang, Z.Y.; Chen, X.M.; Zhang, H.C.; Yao, J.N.; Zhan, G.M.; Chen, W.; Huang, L.L.; Kang, Z.S. Identification of eighteen Berberis species as alternate hosts of Puccinia striiformis f. sp. tritici and virulence variation in the pathogen isolates from natural infection of barberry plants in China. Phytopathology 2013, 103, 927–934. [Google Scholar] [CrossRef]
- Wang, Z.Y.; Zhao, J.; Chen, X.M.; Peng, Y.L.; Ji, J.J.; Zhao, S.L.; Lu, Y.J.; Huang, L.L.; Kang, Z.S. Virulence variations of Puccinia striiformis f. sp. tritici isolates collected from Berberis spp. in China. Plant Dis. 2016, 100, 131–138. [Google Scholar] [CrossRef]
- Berlin, A.; Djurle, A.; Samils, B.; Yuen, J. Genetic variation in Puccinia graminis collected from oats, rye, and barberry. Phytopathology 2012, 102, 1006–1012. [Google Scholar] [CrossRef][Green Version]
- Hovmøller, M.S.; Sørensen, C.K.; Walter, S.; Justesen, A.F. Diversity of Puccinia striiformis on cereals and grasses. Annu. Rev. Phytopathol. 2011, 49, 197–217. [Google Scholar] [CrossRef]
- De Vallavieille-Pope, C.; Huber, L.; Leconte, M.; Goyeau, H. Comparative effects of temperature and interrupted wet periods on germination, penetration, and infection of Puccinia recondita f. sp. tritici and P. striiformis on wheat seedlings. Phytopathology 1995, 85, 409–415. [Google Scholar] [CrossRef]
- Chen, X.M. Stripe rust epidemiology. In Stripe Rust; Chen, X.M., Kang, Z.S., Eds.; Springer: Dordrecht, The Netherlands, 2017; pp. 283–352. [Google Scholar]
- Burrage, S.W. Environmental factors influencing the infection of wheat by Puccinia graminis. Ann. Appl. Biol. 1970, 66, 429–440. [Google Scholar] [CrossRef]
- Coakley, S.M.; Boyd, W.S.; Line, R.F. Statistical models for predicting stripe rust on winter wheat in the Pacific Northwest. Phytopathology 1982, 72, 1539–1542. [Google Scholar] [CrossRef]
- Roelfs, A.P. Wheat and rye stem rust. In The Cereal Rusts; Roelfs, A.P., Bushnell, W.R., Eds.; Academic Press: Orlando, FL, USA, 1985; pp. 3–37. [Google Scholar]
- Dennis, J.I. Temperature and wet-period conditions for infection by Puccinia striiformis f. sp. tritici race 104E137Af. Trans. Br. Mycol. Soc. 1987, 88, 119–121. [Google Scholar] [CrossRef]
- Ellison, P.J.; Murray, G.M. Epidemiology of Puccinia striiformis f. sp. tritici on wheat in southern New South Wales. Aust. J. Agric. Res. 1992, 43, 29–41. [Google Scholar] [CrossRef]
- Line, R.F. Stripe rust of wheat and barley in North America: A retrospective historical review. Annu. Rev. Phytopathol. 2002, 40, 75–118. [Google Scholar] [CrossRef]
- Sharma-Poudyal, D.; Chen, X.M.; Rupp, R. Potential oversummering and overwintering regions for the wheat stripe rust pathogens in the contiguous United States. Int. J. Biometeorol. 2014, 58, 987–997. [Google Scholar] [CrossRef]
- Merow, C.; LaFleur, N.; Silander, J.A., Jr.; Wilson, A.M.; Rubega, M. Developing dynamic mechanistic species distribution models: Predicting bird-mediated spread of invasive plants acrosss Northeastern North America. Am. Nat. 2011, 178, 30–43. [Google Scholar] [CrossRef]
- Magarey, R.D.; Sutton, T.B.; Thayer, C.L. A simple generic infection model for foliar fungal pathogens. Phytopathology 2005, 95, 92–100. [Google Scholar] [CrossRef]
- Bregaglio, S.; Cappelli, G.; Donatelli, M. Evaluating the suitability of a generic fungal infection model for pest risk assessment studies. Ecol. Model. 2012, 247, 58–63. [Google Scholar] [CrossRef]
- Launay, M.; Caubel, J.; Bourgeois, G.; Huard, F.; de Cortazar-Atauri, I.G.; Bancal, M.; Brisson, N. Climatic indicators for crop infection risk: Application to climate change impacts on five major foliar fungal diseases in Northern France. Agric. Ecosyst. Environ. 2014, 197, 147–158. [Google Scholar] [CrossRef]
- Viswanath, K.; Sinha, P.; Kumar, S.N.; Sharma, T.; Saxena, S.; Panjwani, S.; Pathak, H.; Shukla, S.M. Simulation of leaf blast infection in tropical rice agro-ecology under climate change scenario. Clim. Chang. 2017, 142, 155–167. [Google Scholar] [CrossRef]
- Sutherst, R.W.; Maywald, G.F. A computerised system for matching climates in ecology. Agric. Ecosys. Environ. 1985, 13, 281–299. [Google Scholar] [CrossRef]
- Hodson, D.; DePauw, E. Use of GIS Applications to combat the threat of emerging virulent wheat stem rust races. In Applications in Agriculture: Invasive Species; Clay, S., Ed.; Taylor & Francis Press: Abingdon, UK, 2010; pp. 129–157. [Google Scholar]
- Venette, R.C.; Kriticos, D.J.; Magarey, R.D.; Koch, F.H.; Baker, R.H.A.; Worner, S.P.; Raboteaux, N.N.G.; Mckenney, D.W.; Dobesberger, E.J.; Yem Shanov, D.; et al. Pest risk maps for invasive alien species: A roadmap for improvement. Bioscience 2010, 60, 349–362. [Google Scholar] [CrossRef]
- Rapilly, F. Yellow rust epidemiology. Annu. Rev. Phytopathol. 1979, 17, 59–73. [Google Scholar] [CrossRef]
- Roelfs, A.P.; Singh, R.P.; Saari, E.E. Rust Diseases of Wheat: Concepts and Methods of Diseases Management; CIMMYT: Mexico City, Mexico, 1992; pp. 1–89. [Google Scholar]
- Stubbs, R.W. Stripe rust. In The Cereal Rusts, Vol. 2, Diseases, Distribution, Epidemiology, and Control; Roelfs, A.P., Bushnell, W.R., Eds.; Academic Press: Orlando, FL, USA, 1985; pp. 61–101. [Google Scholar]
- Zhao, J.; Zhao, S.L.; Chen, X.M.; Wang, Z.Y.; Wang, L.; Yao, J.N.; Chen, W.; Huang, L.L.; Kang, Z.S. Determination of the role of Berberis spp. in wheat stem rust in China. Plant Dis. 2015, 99, 1113–1117. [Google Scholar] [CrossRef]
- Mehmood, S.; Sajid, M.; Zhao, J.; Khan, T.; Zhan, G.; Huang, L.; Kang, Z. Identification of Berberis species collected from the Himalayan region of Pakistan susceptible to Puccinia striiformis f. sp. tritici. Plant Dis. 2019, 103, 461–467. [Google Scholar] [CrossRef]
- Hovmøller, M.S.; Yahyaoui, A.H.; Milus, E.A.; Justesen, A.F. Rapid global spread of two aggressive strains of a wheat rust fungus. Mol. Ecol. 2008, 17, 3818–3826. [Google Scholar] [CrossRef]
- Mboup, M.; Leconte, M.; Gautier, A.; Wan, A.M.; Chen, W.Q.; de Vallavieille-Pope, C.; Enjalbert, J. Evidence of genetic recombination in wheat yellow rust populations of a Chinese oversummering area. Fungal Genet. Biol. 2009, 46, 299–307. [Google Scholar] [CrossRef]
- Thach, T.; Ali, S.; de Vallavieille-Pope, C.; Justesen, A.F.; Hovmøller, M.S. Worldwide population structure of the wheat rust fungus Puccinia striiformis in the past. Fungal Genet. Biol. 2016, 87, 1–8. [Google Scholar] [CrossRef]
- Walter, S.; Ali, S.; Kemen, E.; Nazari, K.; Bahri, B.; Enjalbert, J. Molecular markers for tracking the origin and worldwide distribution of invasive strains of Puccinia striiformis. Ecol. Evol. 2016, 6, 2790–2804. [Google Scholar] [CrossRef]
- Ciuca, M.; Cristina, D.; Turcu, A.G.; Contescu, E.L.; Ionescu, V.; Saulescu, N.N. Molecular detection of the adult plant leaf rust resistance gene Lr34 in Romanian winter wheat germplasm. Cereal Res. Commun. 2015, 43, 249–259. [Google Scholar] [CrossRef][Green Version]
- Morgounov, A.; Roseeva, L.; Koishibayev, M. Leaf rust of spring wheat in northern Kazakhstan and Siberia: Incidence, virulence and breeding for resistance. Aust. J. Agric. Res. 2007, 58, 847–853. [Google Scholar] [CrossRef]
- Hansen, J.G.; Lassen, P.; Justesen, A.F.; Nazari, K.; Hodson, D.; Hovmøller, M. Barberry rust survey developing tools for data management and dissemination. In Global Rust Reference Center Report, 2013; Aarhus University: Flakkebjerg, Denmark, 2013; p. 15. Available online: https://agro.au.dk/fileadmin/BarberryReport_V4.pdf (accessed on 23 October 2020).
- Jin, Y. Role of Berberis spp. as alternate hosts in generating new races of Puccinia graminis and P. striiformis. Euphytica 2011, 179, 105–108. [Google Scholar] [CrossRef]
- Gucker, C.L. Berberis Vulgaris. In Fire Effects Information System; U.S. Department of Agriculture, Forest Service, Rocky Mountain Research Station, Fire Sciences Laboratory: Washington, DC, USA, 2009. Available online: https://www.fs.fed.us/database/feis/plants/shrub/bervul/all.html (accessed on 30 March 2021).
- Li, S.; Chen, W.; Ma, X.; Tian, X.; Liu, Y.; Huang, L.; Kang, Z.; Zhao, J. Identification of eight Berberis species from the Yunnan-Guizhou plateau as aecial hosts for Puccinia striiformis f. sp. tritici, the wheat stripe rust pathogen. J. Integr. Agric. 2020, 19, 2–8. [Google Scholar]
- Yuan, C.Y.; Wang, M.N.; Skinner, D.Z.; See, D.R.; Xia, C.J.; Guo, X.H.; Chen, X.M. Inheritance of virulence, construction of a linkage map, and mapping of virulence genes in Puccinia striiformis f. sp. tritici by virulence and molecular characterization of a sexual population through genotyping-by-sequencing. Phytopathology 2018, 108, 133–141. [Google Scholar] [CrossRef]
- Xia, C.J.; Lei, Y.; Wang, M.N.; Chen, W.Q.; Chen, X.M. An avirulence gene cluster in the wheat stripe rust pathogen (Puccinia striiformis f. sp. tritici) identified through genetic mapping and whole-genome sequencing of a sexual population. mSphere 2020, 5, e00128-20. [Google Scholar] [CrossRef]
- Wellings, C.R.; McIntosh, R.A. Puccinia striiformis f.sp. tritici in Australasia: Pathogenic changes during the first 10 years. Plant Pathol. 1990, 39, 316–325. [Google Scholar] [CrossRef]
- Chen, J.; Upadhyaya, N.M.; Ortiz, D.; Sperschneider, J.; Li, F.; Bouton, C.; Breen, S.; Dong, C.; Xu, B.; Zhang, X.; et al. Loss of AvrSr50 by somatic exchange in stem rust leads to virulence for Sr50 resistance in wheat. Science 2017, 358, 1607–1610. [Google Scholar] [CrossRef] [PubMed]
- Lei, Y.; Wang, M.N.; Wan, A.M.; Xia, C.J.; See, D.R.; Zhang, M.; Chen, X.M. Virulence and molecular characterization of experimental isolates of the stripe rust pathogen (Puccinia striiformis) indicate somatic recombination. Phytopathology 2017, 107, 329–344. [Google Scholar] [CrossRef] [PubMed]
- Li, F.; Upadhyaya, N.M.; Sperschneider, J.; Matny, O.; Nguyen-Phuc, H.; Mago, R.; Raley, C.; Miller, M.E.; Silverstein, K.A.T.; Henningsen, E.; et al. Emergence of the Ug99 lineage of the wheat stem rust pathogen through somatic hybridisation. Nat. Commun. 2019, 10, 5068. [Google Scholar] [CrossRef] [PubMed]
- Li, Y.X.; Wang, M.N.; See, D.R.; Chen, X.M. Ethyl-methanesulfonate mutagenesis generated diverse isolates of Puccinia striiformis f. sp. tritici. World J. Microbiol. Biotechnol. 2019, 35, 28. [Google Scholar] [CrossRef]
- Li, Y.X.; Xia, C.J.; Wang, M.N.; Yin, C.T.; Chen, X.M. Whole-genome sequencing of Puccinia striiformis f. sp. tritici mutant isolates identifies avirulence gene candidates. BMC Genom. 2020, 21, 247. [Google Scholar] [CrossRef]
- Allen, R.G.; Pereira, L.S.; Raes, D.; Smith, M. Crop Evapotranspiration: Guidelines for Computing Crop Water Requirements; IrrigDrain UN-FAO: Rome, Italy, 1998; Volume 56, pp. 1–300. [Google Scholar]
- Bregaglio, S.; Donatelli, M.; Confalonieri, R.; Acutis, M.; Orlandini, S. An integrated evaluation of thirteen modelling solutions for the generation of hourly values of air relative humidity. Theor. Appl. Climatol. 2010, 102, 429–438. [Google Scholar] [CrossRef]
- Ephrath, J.E.; Goudriaan, J.; Marani, A. Modelling diurnal patterns of air temperatures, radiation, wind speed and relative humidity by equations for daily characteristics. Agric. Syst. 1996, 51, 377–393. [Google Scholar] [CrossRef]
- Yin, X.; Kropff, M.J.; Mclaren, G.; Visperas, R.M. A non-linear model for crop development as a function of temperature. Agric. For. Meteorol. 1995, 77, 1–16. [Google Scholar] [CrossRef]
- Scherm, H.; van Bruggen, A.H.C. Response surface models for germination and infection of Bremia lactucae, the fungus causing downy mildew of lettuce. Ecol. Model. 1993, 65, 281–296. [Google Scholar] [CrossRef]
- Youn, E.; Jeong, M.K. Class dependent feature scaling method using naïve Bayes classifier for text data mining. Pattern Recognit. Lett. 2009, 30, 477–485. [Google Scholar] [CrossRef]
- Su, L.; Wang, Q.; Wang, C.; Shan, Y. Simulation models of leaf area index and yield for cotton grown with different soil conditioners. PLoS ONE 2015, 10, e0141835. [Google Scholar]
- Zhou, G.; Wang, Q. A new nonlinear method for calculating degree days. Sci. Rep. 2018, 8, 10149. [Google Scholar] [CrossRef]
- Morinaga, T. Effect of alternating temperatures upon the germination of seeds. Am. J. Bot. 1926, 13, 141–158. [Google Scholar] [CrossRef]
- Malaker, P.K.; Reza, M.M.A. Resistance to rusts in Bangladeshi wheat (Triticum aestivum L.). Czech J. Genet. Plant Breed 2011, 47, S155–S159. [Google Scholar] [CrossRef]
- Tshewang, S.; Park, R.F.; Chauhan, B.S.; Joshi, A.K. Challenges and prospects of wheat production in Bhutan: A review. Exp. Agric. 2017, 54, 1–15. [Google Scholar] [CrossRef]
- Vijayaraghavan, K.; Majumder, R.; Naithani, M.; Kapur, R.; Kaur, P. Status and opportunities for wheat seeds in India. Bangladesh, Nepal & Bhutan. In Borlaug Global Rust Initiative 2018, Delivering Genetic Gain in Wheat; McCandless, L., Ed.; Borlaug Global Rust Initiative: New York, NY, USA, 2018; pp. 1–64. Available online: https://www.sathguru.com/news/wp-content/uploads/2018/04/Wheat-in-South-Asia.pdf (accessed on 30 March 2021).
- Wan, A.M.; Chen, X.M.; He, Z.H. Wheat stripe rust in China. Aust. J. Agric. Res. 2007, 58, 605–619. [Google Scholar] [CrossRef]
- Tian, Y.; Zhan, G.M.; Chen, X.M.; Tungruentragoon, A.; Lu, X.; Zhao, J.; Huang, L.L.; Kang, Z.S. Virulence and simple sequence repeat marker segregation in a Puccinia striiformis f. sp. tritici population produced by selfing a Chinese isolate on Berberis shensiana. Phytopathology 2016, 106, 185–191. [Google Scholar] [CrossRef]
- Joshi, L.M.; Srivastava, K.D.; Singh, D.V. Monitoring of wheat rusts in the Indian sub-Continent. Proc. Plant Sci. 1985, 94, 387–406. [Google Scholar]
- Parmar, C.; Kaushal, M.K. Berberis aristata. In Wild Fruits; Kalyani Publishers: New Delhi, India, 1982; pp. 10–14. [Google Scholar]
- Sharma-Poudyal, D.; Chen, X.M.; Wan, A.M.; Zhan, G.M.; Kang, Z.S.; Cao, S.Q.; Jin, S.L.; Morgounov, A.; Akin, B.; Mert, Z.; et al. Virulence characterization of international collections of the wheat stripe rust pathogen, Puccinia striiformis f. sp. tritici. Plant. Dis. 2013, 97, 379–386. [Google Scholar] [CrossRef]
- Ali, S.; Rodriguez-Algaba, J.; Thach, T.; Sørensen, C.K.; Hansen, J.G.; Lassen, P.; Nazari, K.; Hodson, D.P.; Justesen, A.F.; Hovmøller, M.S. Yellow rust epidemics worldwide were caused by pathogen races from divergent genetic lineages. Front. Plant Sci. 2017, 8, 1057. [Google Scholar] [CrossRef] [PubMed]
- Mirza, J.I.; Rattu, A.; Khanzada, K.A.; Ahmad, I.; Fetch, T. Race analysis of stem rust isolates collected from Pakistan in 2008–09. In Proceedings of the Borlaug Global Rust Initiative 2010 Technical Workshop, St. Petersburg, Russia, 30–31 May 2010; p. 5. [Google Scholar]
- Ahmed, M.; Anjum, M.A.; Naz, R.M.M.; Khan, M.R.; Hussain, S. Characterization of indigenous barberry germplasm in Pakistan: Variability in morphological characteristics and nutritional composition. Fruits 2013, 68, 409–422. [Google Scholar] [CrossRef]
- Amini, M.H.; Hamdam, S.M. Medicinal plants used traditionally in Guldara District of Kabul, Afghanistan. Int. J. Pharmacog. Chin. Med. 2017, 1, 118. [Google Scholar] [CrossRef]
- Rahmatov, M.; Eshonova, Z.; Ibrogimov, A.; Otambekova, M.; Khuseinov, B.; Muminjanov, H.L. Monitoring and evaluation of yellow rust for breeding resistant varieties of wheat in Tajikistan. In Meeting the Challenge of Yellow Rust in Cereal Crops Proceedings of the 2nd, 3rd and 4th Regional Conferences on Yellow Rust in the Central and West Asia and North Africa (CWANA) Region; Yahyaoui, A., Rajaram, S., Eds.; International Center for Agricultural Research in the Dry Areas: Alnarp, Sweden, 2012; pp. 318–325. Available online: https://www.researchgate.net/profile/Safar-Safavi-2/publication/320100382_Sources_of_resistance_to_wheat_stripe_yellow_rust_resistance_in_elite_germplasm_in_Iran/links/59cdf2570f7e9b22563a7b58/Sources-of-resistance-to-wheat-stripe-yellow-rust-resistance-in-elite-germplasm-in-Iran.pdf (accessed on 30 March 2021).
- Ashmawy, M.A.; Abu-Aly, A.A.M.; Youseef, W.A.; Shahin, A.A. Physiologic races of wheat yellow rust Puccinia striiformis f. sp. tritici in Egypt during 1999–2011, Minufiya. J. Agric. Res. 2012, 37, 297–305. [Google Scholar]
- Draz, I.S. Pathotypic and molecular evolution of contemporary population of Puccinia striiformis f. sp. tritici in Egypt during 2016–2018. J. Phytopathol. 2019, 167, 26–34. [Google Scholar] [CrossRef]
- McCallum, B.D.; Roelfs, A.P.; Szabob, L.J.; Grotha, J.V. Comparison of Puccinia graminis f.sp. tritici from South America and Europe. Plant Pathol. 1999, 48, 574–581. [Google Scholar] [CrossRef][Green Version]
- McHugh, M.L. Inter-rater reliability: The kappa statistic. Biochem. Med. 2012, 22, 276–282. [Google Scholar] [CrossRef]
- Landis, J.R.; Koch, G.G. The measurement of observer agreement for categorical data. Biometrics 1977, 33, 159–174. [Google Scholar] [CrossRef]






| Region (No. of Locations) | No. of Locations with Risk Scores | Potential Risk | |||||
|---|---|---|---|---|---|---|---|
| 1 | 2 | 3 | 4 | Total | Proportion a | Risk Score b | |
| East Asia | |||||||
| Bhutan (9) | 5 | 5 | 0.56 | 0.56 | |||
| China (142) | 51 | 22 | 73 | 0.51 | 0.67 | ||
| India (45) | 11 | 11 | 0.24 | 0.24 | |||
| Nepal (15) | 10 | 10 | 0.67 | 0.67 | |||
| Pakistan (16) | 4 | 4 | 0.25 | 0.25 | |||
| Regional total (250) | 81 | 22 | 103 | 0.41 | 0.50 | ||
| Central Asia | |||||||
| Afghanistan (20) | 1 | 1 | 0.05 | 0.05 | |||
| Azerbaijan (16) | 6 | 3 | 1 | 1 | 11 | 0.69 | 1.19 |
| Iran (58) | 11 | 10 | 2 | 23 | 0.40 | 0.64 | |
| Kazakhstan (18) | 9 | 1 | 10 | 0.56 | 0.61 | ||
| Kyrgyzstan (14) | 2 | 2 | 0.14 | 0.14 | |||
| Russia (23) | 16 | 1 | 3 | 20 | 0.87 | 1.17 | |
| Tajikistan (13) | 3 | 3 | 0.23 | 0.23 | |||
| Turkmenistan (20) | 6 | 6 | 0.30 | 0.30 | |||
| Uzbekistan (13) | 4 | 2 | 6 | 0.46 | 0.62 | ||
| Regional total (195) | 58 | 17 | 6 | 1 | 82 | 0.42 | 0.58 |
| Northwest Asia | |||||||
| Georgia (9) | 5 | 2 | 7 | 0.78 | 1.00 | ||
| Turkey (40) | 5 | 6 | 6 | 17 | 0.43 | 0.88 | |
| Regional total (59) | 10 | 8 | 6 | 24 | 0.41 | 0.75 | |
| Southwest Asia | |||||||
| Syria (3) | 1 | 1 | 0.33 | 0.33 | |||
| Regional total (50) | 1 | 1 | 0.02 | 0.02 | |||
| Southeast European countries | |||||||
| Albania (1) | 1 | 1 | 1.00 | 3.00 | |||
| Bulgaria (15) | 4 | 2 | 6 | 0.40 | 0.53 | ||
| Croatia (2) | 1 | 1 | 2 | 1.00 | 3.50 | ||
| Greece (4) | 1 | 3 | 4 | 1.00 | 1.50 | ||
| Italy (5) | 1 | 3 | 1 | 5 | 1.00 | 2.00 | |
| Montenegro (1) | 1 | 1 | 1.00 | 3.00 | |||
| Romania (11) | 10 | 1 | 11 | 1.00 | 1.09 | ||
| Slovenia (1) | 1 | 1 | 1.00 | 2.00 | |||
| Ukraine (15) | 10 | 4 | 14 | 0.93 | 1.20 | ||
| Regional total (53) | 26 | 14 | 4 | 1 | 45 | 0.85 | 1.30 |
| Region (No. of Locations) | No. of Locations with Risk Scores | Potential Risk | |||||
|---|---|---|---|---|---|---|---|
| 1 | 2 | 3 | 4 | Total | Proportion a | Risk Score b | |
| East Asia | |||||||
| Bhutan (9) | 3 | 2 | 5 | 0.56 | 0.78 | ||
| China (142) | 77 | 23 | 1 | 101 | 0.71 | 0.89 | |
| India (45) | 13 | 13 | 0.29 | 0.29 | |||
| Nepal (15) | 9 | 9 | 0.60 | 0.60 | |||
| Pakistan (16) | 5 | 5 | 0.31 | 0.31 | |||
| Regional total (250) | 107 | 25 | 1 | 133 | 0.53 | 0.64 | |
| Central Asia | |||||||
| Afghanistan (20) | 1 | 1 | 0.05 | 0.05 | |||
| Azerbaijan (16) | 9 | 4 | 2 | 15 | 0.94 | 1.44 | |
| Iran (58) | 16 | 9 | 25 | 0.43 | 0.64 | ||
| Kazakhstan (18) | 15 | 15 | 0.83 | 0.83 | |||
| Kyrgyzstan (14) | 1 | 1 | 0.07 | 0.07 | |||
| Russia (23) | 19 | 3 | 1 | 23 | 1.00 | 1.22 | |
| Tajikistan (13) | 1 | 1 | 0.08 | 0.08 | |||
| Turkmenistan (20) | 2 | 1 | 3 | 0.15 | 0.20 | ||
| Uzbekistan (13) | 5 | 1 | 6 | 0.46 | 0.54 | ||
| Regional total (195) | 68 | 18 | 3 | 89 | 0.46 | 0.58 | |
| Northwest Asia | |||||||
| Armenia (10) | 9 | 9 | 0.90 | 0.90 | |||
| Georgia (9) | 7 | 1 | 8 | 0.89 | 1.00 | ||
| Turkey (40) | 9 | 9 | 18 | 0.45 | 0.68 | ||
| Regional total (59) | 25 | 10 | 35 | 0.59 | 0.76 | ||
| Southwest Asia | |||||||
| Iraq (5) | 1 | 1 | 0.20 | 0.20 | |||
| Syria (3) | 3 | 3 | 1.00 | 1.00 | |||
| Regional total (50) | 4 | 4 | 0.08 | 0.08 | |||
| Southeast European countries | |||||||
| Albania (1) | 1 | 1 | 1.00 | 3.00 | |||
| Bulgaria (15) | 6 | 2 | 1 | 9 | 0.60 | 0.87 | |
| Croatia (2) | 1 | 1 | 2 | 1.00 | 3.50 | ||
| Greece (4) | 2 | 2 | 0.50 | 1.00 | |||
| Italy (5) | 4 | 1 | 5 | 1.00 | 2.20 | ||
| Montenegro (1) | 1 | 1 | 1.00 | 3.00 | |||
| Romania (11) | 11 | 11 | 1.00 | 1.00 | |||
| Slovenia (1) | 1 | 1 | 1.00 | 2.00 | |||
| Ukraine (15) | 11 | 3 | 14 | 0.93 | 1.13 | ||
| Regional total (53) | 28 | 12 | 5 | 1 | 46 | 0.87 | 1.34 |
| Regions | No. of Locations | References of Stripe and Stem Rusts on Cereals | Berberis spp. (References) |
|---|---|---|---|
| East Asia | |||
| Bangladesh | 5 | [49,85] | Berberis spp. (GBIF a) |
| Bhutan | 9 | [86,87] | Berberis spp. [64]; (GBIF) |
| China | 142 | [22,88] | B. aggregata, B. aggregata var. integrifolia, B. atrocarpa, B. brachypoda, B. chinensis, B. circumserrata, B. dasystachya, B. davidii, B. ferdinandi-coburgii, B. guizhouensis, B. holstii, B. jamesiana, B. koreana, B. phanera, B. platyphylla, B. poiretii, B. potaninii, B. shensiana, B. soulieana, B. stenostachya, B. vulgaris, B. wangii, etc. [32,33,89]; (GBIF) |
| India | 45 | [87,90] | B. aristata [91]; (GBIF) |
| Mongolia | 10 | [12,58] | Data not found |
| Myanmar | 8 | [55] | Berberis spp. [64]; (GBIF) |
| Nepal | 15 | [12,87,92] | B. aristata [91]; (GBIF) |
| Pakistan | 16 | [12,93,94] | B. aitchinsoni, B. baluchistanica, B. brandisiana, B. brevissima, B. calliobotrys, B. chitria, B. glaucocarpa, B. huegeliana, B. jaeschkeana, B. kashmirana, B. kunawurensis, B. lyceum, B. orthobotrys, B. pachyacantha, B. parkeriana, B. pseudumbellata, B. royleana, B. stewartiana, B. ulicina, B. vulgaris [95]; (GBIF) |
| Central Asia | |||
| Afghanistan | 20 | [12] | B. vulgaris [96]; (GBIF) |
| Azerbaijan | 16 | [13,29] | B. vulgaris [24,66]; (GBIF) |
| Iran | 58 | [16,54] | B. vulgaris [34,64,66]; (GBIF) |
| Kazakhstan | 18 | [63] | B. vulgaris [24,66]; (GBIF) |
| Kyrgyzstan | 14 | [12,58] | B. vulgaris [24,66];(GBIF) |
| Russia | 23 | [16,92] | Berberis spp. (GBIF) |
| Tajikistan | 13 | [97] | B. vulgaris [24,66]; (GBIF) |
| Turkmenistan | 20 | [11] | B. vulgaris [24,66]; (GBIF) |
| Uzbekistan | 13 | [16,97] | B. vulgaris [24,66]; (GBIF) |
| Northwest Asia | |||
| Armenia | 10 | [11,29] | Berberis spp. (GBIF) |
| Georgia | 9 | [29] | B. vulgaris [96]; (GBIF) |
| Turkey | 40 | [13,16] | B. vulgaris [96]; (GBIF) |
| Southwest Asia | |||
| Egypt | 20 | [13,93,98,99] | Berberis spp. (GBIF) |
| Iraq | 5 | [13,16,93] | Berberis spp. (GBIF) |
| Israel | 2 | [13,93] | Berberis spp. (GBIF) |
| Lebanon | 1 | [13,93] | Berberis spp. (GBIF) |
| Oman | 4 | [13,93] | Berberis spp. (GBIF) |
| Saudi Arabia | 11 | [13,93] | Berberis spp. (GBIF) |
| Syria | 3 | [13,93] | Berberis spp. (GBIF) |
| Yemen | 4 | [13,93] | Berberis spp. (GBIF) |
| Southeast Europe | |||
| Albania | 1 | Data not found | Berberis spp. (GBIF) |
| Bulgaria | 10 | [93] | Berberis spp. (GBIF) |
| Croatia | 2 | [16] | Berberis spp. (GBIF) |
| Greece | 6 | [13] | Berberis spp. (GBIF) |
| Italy | 5 | [13,16] | Berberis spp. (GBIF) |
| Montenegro | 1 | Data not found | Berberis spp. (GBIF) |
| Romania | 12 | [62] | Berberis spp. [100]; (GBIF) |
| Slovenia | 1 | Data not found | Berberis spp. (GBIF) |
| Ukraine | 15 | [16] | Berberis spp. (GBIF) |
| Total | 607 | ||
Publisher’s Note: MDPI stays neutral with regard to jurisdictional claims in published maps and institutional affiliations. |
© 2021 by the authors. Licensee MDPI, Basel, Switzerland. This article is an open access article distributed under the terms and conditions of the Creative Commons Attribution (CC BY) license (https://creativecommons.org/licenses/by/4.0/).
Share and Cite
Sinha, P.; Chen, X. Potential Infection Risks of the Wheat Stripe Rust and Stem Rust Pathogens on Barberry in Asia and Southeastern Europe. Plants 2021, 10, 957. https://doi.org/10.3390/plants10050957
Sinha P, Chen X. Potential Infection Risks of the Wheat Stripe Rust and Stem Rust Pathogens on Barberry in Asia and Southeastern Europe. Plants. 2021; 10(5):957. https://doi.org/10.3390/plants10050957
Chicago/Turabian StyleSinha, Parimal, and Xianming Chen. 2021. "Potential Infection Risks of the Wheat Stripe Rust and Stem Rust Pathogens on Barberry in Asia and Southeastern Europe" Plants 10, no. 5: 957. https://doi.org/10.3390/plants10050957
APA StyleSinha, P., & Chen, X. (2021). Potential Infection Risks of the Wheat Stripe Rust and Stem Rust Pathogens on Barberry in Asia and Southeastern Europe. Plants, 10(5), 957. https://doi.org/10.3390/plants10050957
