Abstract
Natural disesquiterpenoids represent a small group of secondary metabolites characterized by complex molecular scaffolds and interesting pharmacological profiles. In the last decade, more than 400 new disesquiterpenoids have been discovered and fully characterized, pointing out once more the “magic touch” of nature in the design of new compounds. The perfect blend of complex and unique architectures and biological activity has made sesquiterpene dimers an attractive and challenging synthetic target, inspiring organic chemists to find new and biomimetic approaches to replicate the efficiency and the selectivity of natural processes under laboratory conditions. In this work, we present a review covering the literature from 2010 to 2020 reporting all the efforts made in the total synthesis of complex natural disesquiterpenoids.
1. Introduction
Natural products have always been an invaluable source of bioactive compounds targeting important biological endpoints and are continuing to serve as curative agents against different pathologies [1,2]. Their ability to perturbate different molecular targets is probably the result of the “natural evolution” occurred in living organisms in order to obtain “functional molecules” with antagonistic, antifeedant purposes [3] and in mutual interaction with the environment [4,5]. Secondary metabolites are characterized by a high structural complexity deriving from the work of complex enzymatic systems capable of synthesizing not only monomeric compounds, but also dimeric, trimeric and polymeric frameworks leading to a wide range of interactions with a large number of functional proteins marked by homo- and hetero-oligomeric structures.
Disesquiterpenoids, or sesquiterpene dimers, are a group of active molecules containing at least 30 carbons, with a high structural variance deriving from homo- or heterodimeric coupling of two sesquiterpenoids units. They are classified in three major classes depending on their biogenetic pathways and their structural features, namely true disesquiterpenoids, pseudo-disesquiterpenoids and di-merosesquiterpenoids [6]. The compounds belonging to the true disesquiterpenoids originate from farnesyl diphosphate, with the two sesquiterpenoids moieties linked at list by one C-C bond derived from cycloaddition or free-radical coupling reactions. The pseudo-disesquiterpenoids share the same biogenetic pathway of the previous group, but their structures are characterized by an ester, ether or other groups acting as “connectors” between the two sesquiterpenes subunits. The last group of dimers derives from hybrid biogenetic pathways leading chimeric structures with the terpenoid moiety linked by a C-C bond with other subunits belonging to different classes of secondary metabolites such as polyphenols and alkaloids.
In the last decade, more than 400 new disesquiterpenoids [7] have been discovered and fully characterized, underling once more the “magic touch” of nature in the design of new compounds. The intriguing architectures and the interesting pharmacological profile of sesquiterpene dimers attracted the attention of synthetic chemists in the attempt to duplicate the efficiency and the selectivity of natural processes under laboratory conditions.
Considering the growing interest around this group of secondary metabolites, the final aim of this review is to cover the literature between 2010 and 2020 relatively to the efforts made in the total synthesis of natural disesquiterpenoids, emphasizing not only the synthetic strategy but also the pharmacological profile of the molecules analyzed. The compounds will be grouped according to the class of the terpenoids subunits.
2. Bisabolane Dimers
2.1. Meiogynin A
Meiogynin A (1) is a bisabolane dimer possessing an original cis-decalin skeleton with five stereocenters and a carboxylic moiety at the ring junction. Isolated from the bark of Meiogyne cylindrocarpa in 2009 [8], it displays a strong inhibition activity against the anti-apoptotic protein Bcl-xL. The latter is a member of the Bcl-2 family of proteins playing a crucial role in the regulation of the programmed cell death in several eukaryotic systems. Bcl-xL has emerged as in interesting anti-cancer target due to its overexpression in prostate cancer cells and its role in establishing the multidrug resistance phenotype [9,10,11].
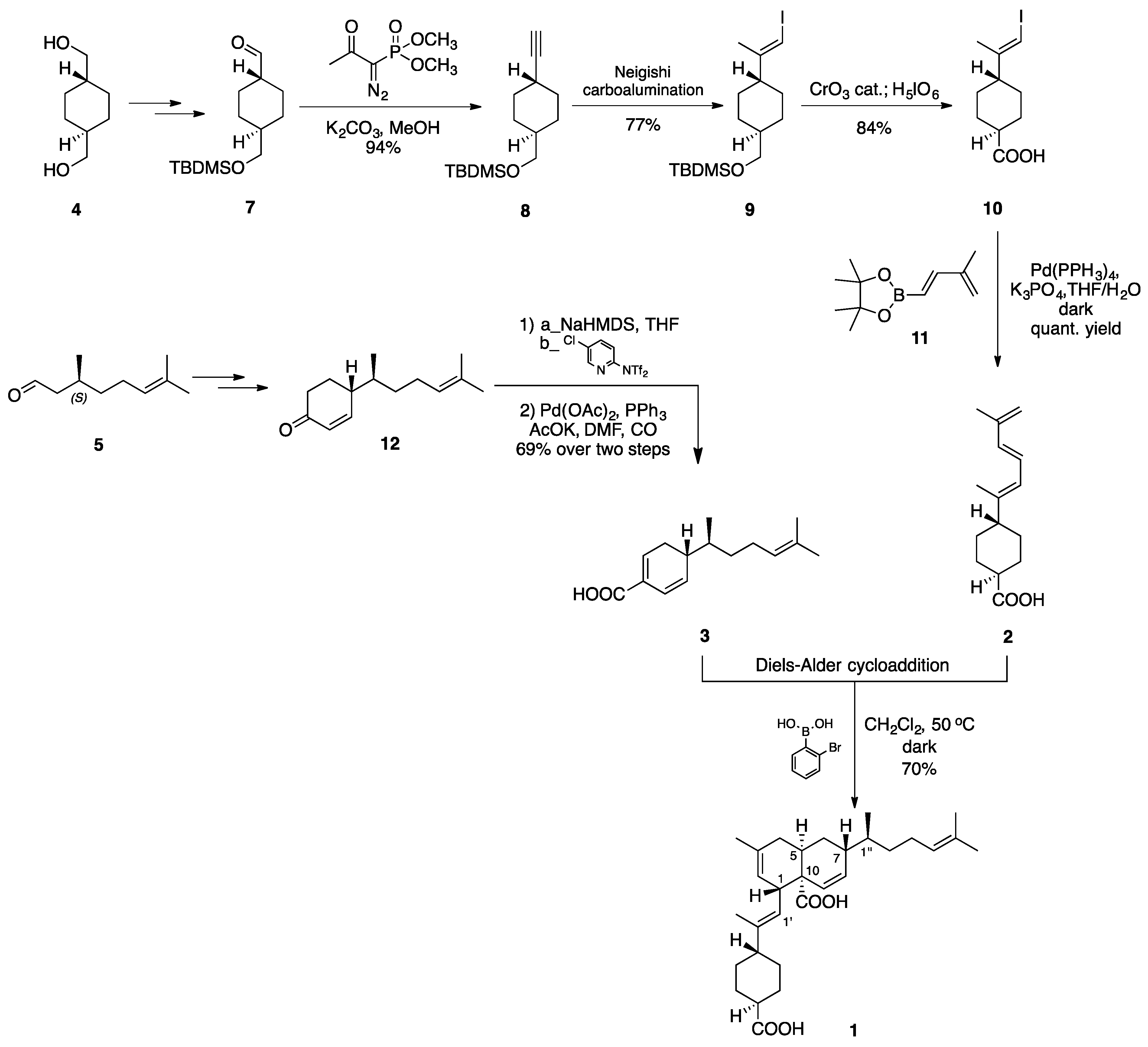
The biomimetic total synthesis of meiogynin A (1) was accomplished in 2010 by using a convergent approach allowing the determination of its absolute configuration, having an endo selective Diels-Alder reaction as key step [12]. The synthetic process was based on the synthesis of two synthons, the diene 2 and the dienophile 3, obtained respectively from the commercially available trans-1,4-cyclohexanedimethanol (4) and (S)-citronellal (5). To obtain the diene 2 aldehyde 7 underwent Seyferth-Gilbert homologation using the Bestmann-Ohira [13] reagent furnishing the alkyne 8 that, under Negishi carboalumination [14] conditions, gave E-vinyl iodide 9 in good yield and excellent stereoselectivity. The latter was selectively oxidated by using a one-pot procedure with CrO3-H5IO6 [15] leading to the carboxylic acid derivative 10 finally coupled with boronic ester 11 to give the desired synthon 2. Unfortunately, the final intermediate is unstable and light sensitive, forcing to perform the Suzuki reaction in the dark, and to purify the compound by an acid-base extraction, avoiding any type of chromatographic purification. Compound 3 was obtained starting from commercially available (S)-citronellal (5) that via Robinson annulation [16] furnished the cyclohexenone 12, as substrate for the carbonilation [17] reaction. With both the key intermediates onhand, the final Diels-Alder reaction was performed using 2-bromobenzenboronic acid as organocatalyst (30 mol%) at 50 °C for 72 h [18], giving the natural product 1 in good yield (60%) and excellent chemo, regio and facial selectivity (endo/exo 91:9) (Scheme 1).
Scheme 1.
Synthesis of meiogynin A (1).
The proposed approach was flexible enough to be applied to the synthesis of non-natural analogues of meiogynin A (1) in order to find new and more active derivatives correlated to the parent compound [19].
2.2. (–)-Perezoperezone
The (–)-Perezoperezone (13) was isolated from the gorgonian octocoral Pseudopterogorgia rigida, a Carribean soft coral [20]. It displays a dimeric structure derived from the dimerization of two units of (-)-perezone (14) through an enzymatic radical mediated coupling. While bisabolane sesquiterpenoids are widely distributed both on marine and terrestrial organisms, (–)-perezoperezone (13) represents the first example of bisabolane dimer from corals.
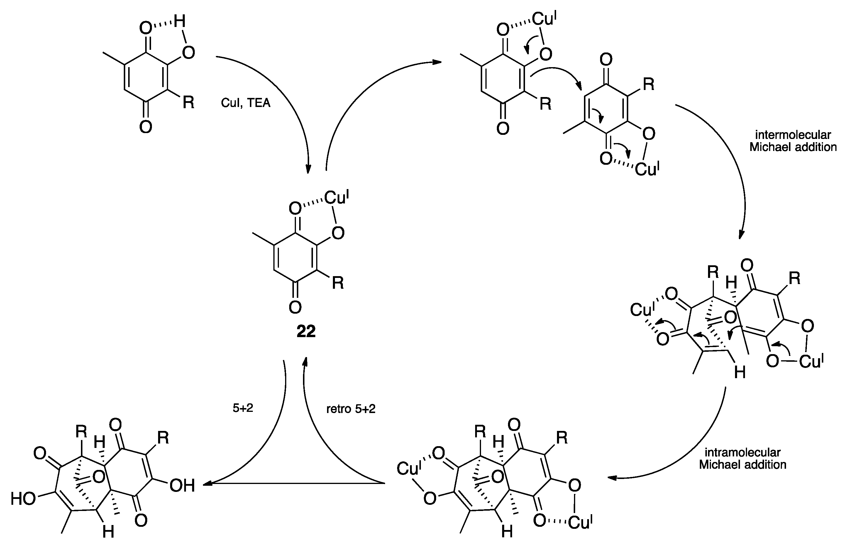
The total synthesis of this marine dimer was published in 2019, and it was based on a copper-catalyzed intermolecular [5+2] homodimerization of (-)-perezone (14) [21]. The synthetic process started from 2,3,5-trimethoxy toluene (16) obtained from the commercially available 3,5-dimethoxy-toluene (15) via a known three-steps sequence [22]. Compound 16 was then transformed in the corresponding boronic derivative 17 after mono-lithiation and subsequent entrapment with thimethylborate. Boronic acid 17 underwent a cross coupling reaction with triflate 19 [23,24] under Suzuki-Miyaura [25] conditions furnishing compound 20 in excellent yield. The latter went through a chemoselective hydrogenation leading to the synthon 21 as racemate, while all attempts to enable an enantioselective hydrogenation were unfruitful. The key intermediate 21 was oxidated with cerium (IV) ammonium nitrate (CAN) and demethylated with LiI giving (±)-perezone. The racemate was resolved by using a chiral-phase column chromatography obtaining the enantiopure (-)-perezone (14). The biclyclo- [3.2.1]octadienone core of (–)-perezoperezone (13) was finally constructed through an intermolecular [5+2] homodimerization catalyzed by CuI, forming two new C-C bonds with the installation of four stereogenic centers in a single step (Scheme 2).
Scheme 2.
Synthesis of (–)-Perezoperezone (13).
The proposed mechanism proceeded through a double Michael addition thanks to the formation of the stabilized cuprate complex CuI (22). The presence of sterically hindered substituents (i.e., benzyl groups) on the quinone moiety induced a retro-dimerization process leaving the starting quinone untouched. A radical pathway was excluded: the yield of the dimerization process was not affected by the presence of radical scavengers such TEMPO and BHT (Scheme 3).
Scheme 3.
Proposed reaction mechanism for the synthesis of (–)-Perezoperezone (13).
3. Xanthane Dimers
3.1. Mogolides A-C
The total synthesis of mogolides A-C (24–26) represents “a showcase of biomimetic-synthesis-guided discovery of new natural products,” wherein a natural product has been synthesized before being discovered in nature [26,27,28,29,30]. The total synthesis of these compounds, initially considered artifacts and then isolated from Xanthium mogolium Kitag plant, was accomplished in 2014 starting from xanthatin (23) by using photo and termal-dimerization processes [31].
The irradiation of xanthatin (23) with Hg lamp in benzene [32,33] provided a mixture of mogolide A (24) and epi-mogolide A (27), in a 74% combined yield, through a tandem process in which a head-to-head Diels-Alder reaction was followed by a [2+2] cycloaddition. From a mechanistic point of view, upon irradiation compound 23 could undergo C1=C5 double bond isomerization furnishing a highly reactive intermediate 28, that quickly dimerize through a head-to-head Diels-Alder reaction giving compound 29. The latter, after further irradiation, could transform into mogolide A (25) and epi-mogolide A (27) through an intramolecular [2+2] cycloaddition. Notably, the authors postulated the formation of intermediate 28 [34,35,36,37], characterized by an unusual trans-cycloheptenone moiety, to justify the stereochemical outcome of compound 29. A possible radical pathway was excluded: the dimerization process proceeded smoothly in the presence of radical scavengers (Scheme 4).
Scheme 4.
Proposed mechanism for the synthesis of mogolide A (24), epi-mogolide A (27).
Mogolide C (26) was obtained with a different photodimerization by exposure to sunlight, or Hg lamp, xanthatin (23) in its solid state [38,39,40]. The final product, apparently, derived from a head-to-tail dimerization pathway where the two neighboring monomers adopted a head-to-tail stacking pattern that, under irradiation, generated a diradical intermediate 30 that reacted with a nonactivated monomer 23 through a stepwise [4+2] cycloaddition giving mogolide C (26). Probably the restricted molecular motion and conformation of the solid state supported the high diastereoselectivity of the reaction (Scheme 5).
Scheme 5.
Proposed mechanism for the synthesis of mogolide C (26).
The last member of the magolides family, magolide B (25), was finally obtained by switching from a photo-induced dimerization to a thermal one. The treatment of xanthatin (23) in H2O at 100 °C for 72 h led to the formation of dimer 25 in 22% yield, through a concerted Diels-Alder reaction in a head-to-tail fashion. The reaction was successfully in H2O, probably due to a solvent-induced combination of hydrophobic interactions and hydrogen bonding effect (Scheme 6) [41].
Scheme 6.
Proposed mechanism for the synthesis of mogolide B (25).
3.2. Pungiolides A-E, L-N
Pungiolides are a group of dimeric xanthanolides isolated from different plants of genus Xanthium (Compositae) [42,43]. From a biogenetic point of view, they derive from a dimerization process of two moities of 8-epi-xanthatin (31) through a head-to-tail [4+2] cycloaddition. Their pharmacological profile has been explored, showing a weak cytotoxic activity [44,45] and an interesting antiprotozoal action against pathogens responsible for HAT (Trypanosoma brucei rhodesiense) [46].
The collective synthesis of pungiolides A-E (32–36), L-N (37–39) was reported in 2017 using pungiolide D (35) and pre-pungiolide (40) as key precursors to access to all the other dimeric congeners [47].
The divergent synthesis of compounds 35 and 40 was accomplished after intensive exploration of the Diels-Alder dimerization of 8-epi-xanthatin (31), varying both solvents and temperature. Using a binary solvent system (PhMe/EtOH) at 110 °C, the only product obtained was pre-pungiolide (40) in 30% yield. Interestingly, the latter readily underwent silica-gel–induced epimerization at C-3′ giving the corresponding epi-pre-pungiolide (41) that at 180 °C in EtOH was converted in pungiolide D (35) in nearly quantitative yield, through an intramolecular ene cyclization. Alternatively, compound 35 was directly obtained in 40% yield as sole product, by performing the dimerization reaction in EtOH at 180 °C for 4.5 h (Scheme 7).
Scheme 7.
Proposed mechanism for the synthesis of pungiolide D (35) and pre-pungiolide (40).
The synthesis of the two key intermediates paved the way to obtain the other dimeric congeners through a late-stage functionalization. In this way, pungiolides M (38) and N (39) were achieved by a divergent manipulation of the C2=C3 double bond of pungiolide D (35): the selective reduction with Stryker reagent [(Ph3P)CuH]6 furnished compound 38 in 41% yield [48], while the epoxidation with oxone/NaHCO3 gave compound 39 (Scheme 8a) [49].
Scheme 8.
Collective total synthesis of a series of pungiolides. (a) M (38) and N (39); (b) A (32), B (33), E (36) and L (37).
Pungionolide A (32) and its C-11 epimer (42) were directly obtained from pre-pungionolide (40), through an allylic oxidation, upon treatment with DABCO in presence of molecular oxygen followed by a reductive work-up (Me2S). In the same conditions, pungionolide E (36), a double-bond migration product of 40, was also formed in 26% yield. Finally, 32 and 36 gave pungiolides B (33) and L (37), respectively, after regio- and diastereoselective epoxidation of C1=C5 double bond with oxone/NaHCO3 (Scheme 8b) [49].
4. Guaiane Dimers
Ainsliadimer A, B and Gochnatiolides A-C
Ainsliadimers A and B (43, 44) with gochnatiolides A–C (45, 46, 47) are members of the guaiane disesquiterpenoids dimers, showing complex and unique structures mainly characterized by an intriguing spiro [4,5] decane moiety. Ainsliadimer A and B (43, 44) [50,51] have been isolated from different plants of genus Ainsliaea, while the genera Gochnatia represents the major source of gochnatiolides A–C (45, 46, 47) [43,52,53]. Whereas (+)-ainsliadimer A (43) displayed an interesting anti-inflammatory activity, through the inhibition of the production of NO in RAW264.7 stimulated by LPS, [54] and gochnatiolide B (46) demonstrated a potent anti-bladder cancer activity inducing G1 arrest both in vitro and in vivo studies, [55] the biological profile of their congeners still remains an uncharted area. Four different biomimetic total syntheses have been published for both ainsliadimers and gochnatiolides sharing dehydrozaluzanin C (49) [56] as key monomer, and a hetero Diels-Alder reaction as dimerization step.
The biomimetic total synthesis of (+)-ainsliadimer A (43) was reported in 2010 starting from the commercially available sesquiterpene lactone santonin (48) [54]. The first part of the synthetic process was dedicated to the synthesis of dehydrozaluzanin C (49) as key monomer, obtained in ten synthetic steps from 48. With synthon 49 onhand, the hetero Diels-Alder dimerization was deeply studied by testing different conditions, pointing out how high temperatures and the presence of Lewis acids led to a total decomposition of the starting material. The turning point was the introduction of hydrogen bond donors as catalyst, obtaining the best results of conversion and yield with BINOL. Eventually, compound 50 was obtained in 71% yield in presence of 1 eq. of catalyst at 50 °C for 60 h without solvent. The (+)-ainsliadimer A (43) was finally obtained through a mild acidic hydrolysis followed by an intramolecular aldol reaction in high diluted conditions. A possible explanation for the positive action of BINOL could be its bidentate nature that helped the orientation of the two monomers allowing the [4+2] hetero-cycloaddition (Scheme 9).
Scheme 9.
Total synthesis of (+)-ainsliadimer A (43).
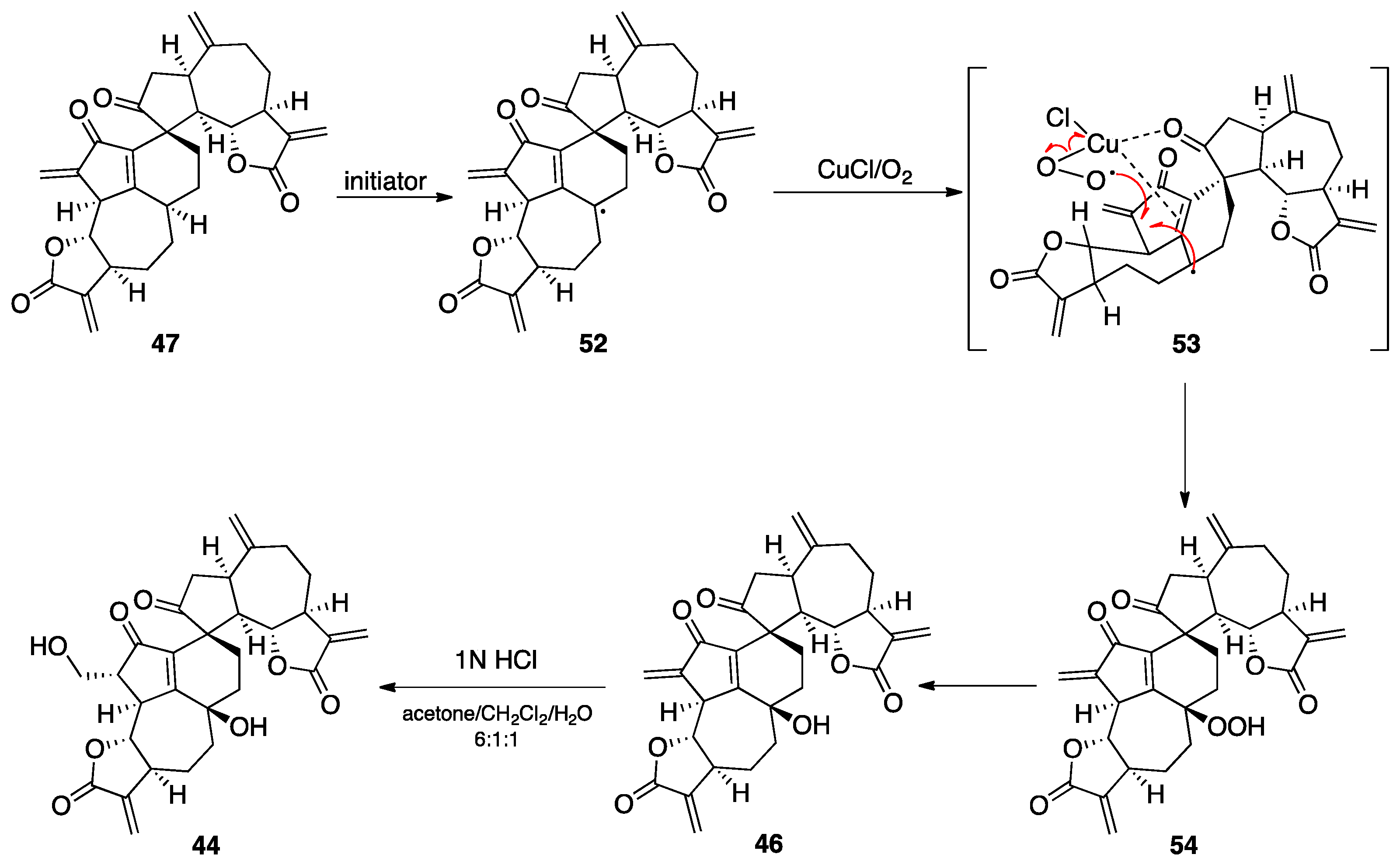
In parallel studies, two different research groups accomplished the collective total synthesis of (−)-ainsliadimer B (44) and gochnatiolides A-C (45, 46, 47). In the synthetic strategy proposed by Lei [57], dehydrozaluzanin C (49) was transformed in its silyl enol ether derivative 52, and the two monomers went through a cross hetero Diels-Alder dimerization induced by Pd(OAc)2, giving a mixture of gochnatiolides A-C (45, 46, 47) in 6.7:1:1.5 ratio, respectively. The reaction was proved to be very flexible and the products ratio could be easily tuned just by varying the conditions applied and the additives added. The reaction was conducted in an anaerobic atmosphere providing only compound 47 in 14% yield, suggesting how oxygen was fundamental for the allylic oxidation; otherwise, the addition of a copper additive (CuCl) reversed the 45:46 ratio from 6.7:1 to 1:4.5 (Table 1). This unprecedent “copper effect” was probably due to the ability of the metal to chelate both molecular oxygen and the carbonyl moiety as well as the alkene in the transition state 53, leading the peroxy derivative 54 that was finally reduced to 46 [58]. The (−)-ainsliadimer B (44) was finally obtained in 27% yield upon treatment of 46 with 1N HCl in a ternary solvent system 6:1:1 acetone/CH2Cl2/H2O (Scheme 10).
Table 1.
Biomimetic synthesis of gochnatiolides.
Scheme 10.
Lei’s approach to (−)-ainsliadimer B (44) and gochnatiolide B (46).
In the second approach, proposed by Qin [59], compound 49 was reacted with compound 55 leading as sole product the gochnatiolide-type adduct 58, proving how the Diels-Alder cycloaddition proceeded through an endo-adduct transition state (56) rather than an exo one (57). To get the product in reasonable yield and time, the reaction had to be conducted in the solid state without solvent and additives: solvents lowered the reaction rate while the addition of any acidic additive caused the complete degradation of the starting material. With the key intermediate onhand, (−)-ainsliadimer B (44) and gochnatiolide A and B (45, 46) were finally obtained through redox adjustments of the gochnatiolide-core 58 (Scheme 11).
Scheme 11.
Qin’s approach to (−)-ainsliadimer B (44) and gochnatiolide A and B (45, 46).
Recently, Tang’s group, taking advantage of the previous studies, reported a more concise synthetic strategy of gochnatiolide B (46) from commercially available dehydrocostunolactone (59) in only four synthetic steps with an overall of 26% yield. The [4+2] cycloaddition, exploiting the already described “copper effect,” allowed to obtain the final product in 35% yield (Scheme 12). All the reported synthetic endeavors fostered the characterization of the pharmacological profile of this natural dimer, that exhibited a potent inhibitory activity in in vivo studies against proliferation of human cancer cell lines by acting as a multi-target agent [55].
Scheme 12.
Tang’s approach to gochnatiolide B (46).
5. Lindenane Dimers
5.1. Lindenane [2+2] Dimers: Chloranthalactone F
The (+)-Chloranthalactone F (61) was first isolated from the leaves of Chlorantus glaber, and it is characterized by an intriguing structure with twelve stereogenic centers and two clyclopropane rings bearing two adjacent angular methyl groups next to a highly congested cyclobutane [60,61]. While the plants of the genera Chloranthus have been widely used in traditional Chinese medicine, the biological profile of this compound still remains an untouched area. Biogenetically, it is postulated that the complex architecture of chloranthalactone F (61) derives from an intermolecular [2+2] cycloaddition between two units of chloranthalactone A (63). This biogenetical hypothesis inspired two different biomimetic total synthesis.
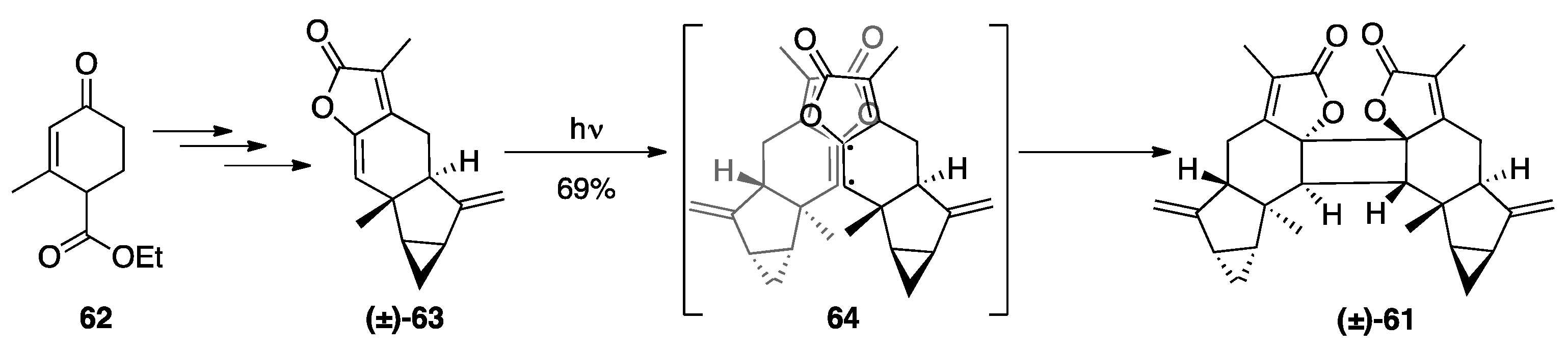
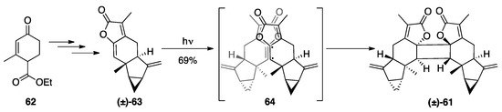
In the synthetic strategy proposed by Liu, (±)-chloranthalactone F (61) was synthetized through a photodimerization of (±)-chloranthalactone A (63) obtained from Hagemman’s ester (62) in fifteen steps [62,63]. Eventually, a hexane solution of 63 was irradiated with a Hg lamp leading the desired dimer (±)-61 as single diastereoisomer in a yield 69%. The authors suggested that the high diastereoselectivity was given by the perfect electrical and orbital interaction between γ-alkylidenbutenolide segments in the transition state 64 (Scheme 13).
Scheme 13.
Liu’s approach to (±)-chloranthalactone F (61).
In the total synthesis proposed by Zhao, enantiopure chloranthalactone A (63) was obtained starting from (R)-Hajos–Wiechert ketone (65) [64] in fourteen steps with a DDQ-involved oxidative enol-lactonization as a key step [65]. Compound 66 was first reduced with DIBAL-H furnishing the corresponding hemiacetal 67 in equilibrium with its open form 68 that, exposed to DDQ, underwent a one-pot double oxidation sequence, giving compound 63 in 80% yield. At this juncture, the exposure of a highly diluted solution (0.004 M) of the latter to a Hg lamp, furnished enantiopure (+)-chloranthalactone F (61) in in a yield of 92% (Scheme 14).
Scheme 14.
Zhao’s approach to (+)-chloranthalactone F (61).
5.2. Lindenane [4+2] Dimers: Shizukaols A, C, D, E, I, Chlorajaponilide C, Multistalide B, Sarcandrolide J and Sarglabolide I
Lindenane sesquiterpene dimers deriving from a formal [4+2] cycloaddition, represent a large group of natural compounds characterized by a basic framework of eight fused rings with more than eleven stereogenic centers. Together with an intriguing structural motif, these metabolites have an interesting pharmacological profile displaying a broad range of biological activities. Among all, shizukaol E (71) showed a strong inhibitory effect against the most popular NNRTI-resistant HIV-1 [66], while its congener chlorajaponilide C (72) was revealed to be a highly selective inhibitor of chloroquine resistant strains of Plasmodium falciparum, showing IC50 values in the low nanomolar range comparable to the potency of artemisinin [67].
The structural and pharmacological features of this group of secondary metabolites attracted the attention of organic chemists, inducing numerous efforts to duplicate the efficiency of natural processes under laboratory conditions [68,69]. To date, only three different total syntheses have been published, two by Liu’s group and one by Peng’s group.
Liu, in 2017, published the first total synthesis of sarcandrolide J (73) and shizukaol D (74) with a Diels-Alder reaction as key dimerization step combining the dienophile 75 with the unstable diene 76 [70]. Both synthons can be obtained in eleven steps from the common precursor 77 accessible from commercially available (+)-verbenone (78). The treatment of 79 with benzoic acid led to the in situ formation of the unstable diene 76 that reacted with the dienophile 75 in an endo-type head-to-head [4+2] cycloaddition, furnishing the basic skeleton 80 in 83% yield. Amazingly, the furan moiety of diene 76 remained untouched, even though furan is a well-known reactive diene in Diels–Alder cycloadditions.
Manipulation of 80 furnished compound 81, which went through a photo-oxidation reaction, giving the corresponding peroxy-derivative 82, that after a Kornblum–DeLaMar rearrangement followed by esterification with TMSCHN2 produced sarcandrolide J (74) in 47% yield over three steps. Eventually, selective acetylation of sarcandrolide J (73) afforded shizukaol D (74) (Scheme 15).
Scheme 15.
Liu’s approach to sarcandrolide J (73) and shizukaol D (74).
In 2018, Peng’s group published a divergent total synthesis of shizukaol A and E (84, 71), involving an endo-Diels-Alder reaction between the common diene 85 and the dienophiles 63 and 86 [71]. All the three key synthons were obtained from commercially available Wieland–Miescher ketone (87).
Compound 88, as precursor of shizukaol A (84), was obtained as main product by reacting the intermediate 85 with chloranthalactone A (63) in presence of butylated hydroxytoluene (BHT) at 160 °C in xylene. In order to “quench” the homodimerization of diene 85, it was essential that a high diluted solution of the latter was added very slowly into a refluxing dilute solution of 63. Alkaline and selective methanolysis of 88 furnished compound 89 that underwent epimerization of the secondary alcohol through an oxidation-reduction sequence affording the desired shizukaol A (84) (Scheme 16a).
Scheme 16.
Peng’s approach to (a) shizukaol A (84), (b) shizukaol E (71).
Based on a similar strategy compound 91, the basic skeleton to shizukaol E (71), was obtained in 40% yield by refluxing diene 85 with dienophile 86 in presence of BHT at 160 °C in xylene. Deprotection of silyl group followed by basic methanolysis and selective acetylation of primary hydroxy group furnished compound 92, which was finally transformed in the desired shizukaol E (71) after epimerization of secondary alcohol (Scheme 16b).
Expanding the approach proposed by Peng, Liu in 2019 reported a divergent and unified strategy to obtain shizukaols A, C, D, I (84, 94, 74, 95), chlorajaponilide C (72), multistalide B (96), sarcandrolide J (73) and sarglabolide I (97) by using a base-mediated thermal [4+2] cycloaddition, where the common diene 76 was reacted with dienophiles 63, 75 and 98 [72].
Compound 99, the basic skeleton to chlorajaponilide C (72), shizukaol C (94) and I (95), multistalide B (96) and sarglabolide I (97), was obtained by reacting the diene precursor 100 with dienophile 98 in toluene and pyridine at 200 °C. The synergic action of pyridine and heating process induced the elimination of the acetate moiety from 100 generating the furyl diene 76 that underwent intermolecular [4+2] cycloaddition, giving the desired endo-adduct 99. Global deprotection and selective reduction of the ethyl ester group furnished the intermediate 101 that was transformed in the desired sarglabolide I (97) through photolytic oxidation of the furan moiety, followed by methylation of the resulting acid. At this juncture, compound 97 was selectively acetylated or esterified with tiglic acid (102) to give respectively multistalide B (96) and shizukaol C (94). On the other side, the esterification of 97 with compound 103 gave the intermediate 104, which after deprotection furnished shizukaol I (95). Chlorajaponilide C (72) was finally achieved through esterification of 104 with the acyl-chloride 105 followed by deprotection of the silyl group (Scheme 17).
Scheme 17.
Liu’s collective synthesis to chlorajaponilide C (72), shizukaol C (94) and I (95), multistalide B (96), and sarglabolide I (97).
Otherwise, the reaction between diene precursor 100 and chloranthalactone A (63) in toluene and pyridine at 200 °C, furnished the intermediate 107 that after acidic removal of the MOM protection and oxidative manipulation of the furan moiety furnished the desired shizukaol A (84) in 54% yield over two steps. The two remaining congeners were finally achieved by reacting the diene precursor 100 with the dienophile 75 leading compound 80, that following the first generation pathway [70] led to sarcandrolide J (73) and shizukaol D (74) (Scheme 18).
Scheme 18.
Liu’s collective synthesis to sarcandrolide J (73), shizukaol D (74) and shizukaol A (84).
6. Cadinane Dimers
Gossypol
The (−)-(R)-Gossypol (108) is a polysubstituted salicylaldehyde dimer that was firstly discovered in 1886 in cotton seeds oil by Longmore [73] and purified in 1889 by cristallization from an acetic acid solution by MarchLewski [74]. Gossypol (108) displays different pharmacological properties and, among all, the spermicidal and antitumor activity are noteworthy. The contraceptive activity does not affect the hormone levels and derives from the inhibition of the enzyme systems that affect energy metabolism in sperm and spermatogenic cells [75]. On the other side, this polyphenolic dimer is actually on phase II clinical trials as antitumor agent against progressive or recurrent glioblastoma multiforme [76,77].
Since 1957, several groups have proposed and completed the total synthesis of this interesting natural compound, and in the last decade three different groups published their total syntheses under non-enzymatic conditions.
In 2013, Wang’s group published its approach to obtain 108 through the oxidative dimerization of two equivalents of hemigossypol (109) [78]. The latter was synthesized on a gram scale in eighteen steps from the commercially available carvacrol (110). The synthetic pathway from 110 to 109 was characterized by a Stobbe condensation between 111 and 112, followed by an electrophilic cyclization affording the highly substituted naphthalene 114. The latter, after protecting groups swap and redox adjustments, furnished the key intermediate 115 that underwent a Michael addition on the ortho-quinone methide 116 giving compound 117. Finally, synthon 117 was transformed in the desired monomer 109. At this juncture, the oxidative dimerization was achieved by treating 109 with tert-butyl peracetate (tBuO2Ac) in 1,2-dichloroethane at 80 °C furnishing (±)-gossypol (108) in 76% yield (Scheme 19).
Scheme 19.
Wang’s approach to (±)-gossypol (108).
In 2018, an interesting approach, based on a cascade Claisen rearrangement, was proposed by Zhu’s group where the key intermediate 119 was obtained in a single step starting from the pyrone 118 [79]. The latter was treated with p-methoxybenzyl alcohol in chlorobenzene at 150 °C for 13 h leading compound 119 in 41% yield with all the requested functional groups preinstalled. The authors proposed as mechanism a double allenylic-Claisen rearrangement postulating the formation of a quinone methide (120) easily trapped by benzylalcohol. At this juncture, compound 119 was transformed in hemigossypol 109 in fourteen steps, mainly characterized by protecting groups swap and redox adjustments. The (±)-gossypol (108) was obtained in 41% yield applying the same protocol previously reported by Wang (Scheme 20).
Scheme 20.
Zhu’s approach to (±)-gossypol (108).
A completely different approach to obtain (−)-(R)-gossypol (108) was proposed in 2020 by Tang’s group, where an enantioselective Suzuki-Miyaura cross-coupling was used as key reaction of the synthetic pathway [80]. Enatiomerically pure (−)-108 was obtained in ten synthetic steps from the easily accessible quinone 121 that was efficiently manipulated to obtain naphthylene 122. A one-pot two-step sequence consisting of benzylic bromination of 122 and subsequent treatment with N-methylmorpholine N-oxide afforded the benzaldehyde 123, that after protection of the phenol moiety as 3,4,5-trimethoxybenzyl derivative (124), underwent a domino Miyaura-borylation/Suzuki-coupling reaction, catalyzed by (R,R)-BaryPhos 125, affording binaphthyl key synthon 126 in 43% yield and >99% ee after recrystallization. The latter was finally elaborated to produce (−)-(R)-gossypol (108) (Scheme 21).
Scheme 21.
Tang’s approach to (−)-(R)-gossypol (108).
7. Miscellaneous Dimers
7.1. Pinguisane Type Dimers: Bisacutifolone A and B
Bisacutifolone A and B (127, 128) are two of the few examples of pinguisane-type sesquiterpenoids dimers so far identified [81,82]. They have been isolated from liverwort Porella acutifolia subsp. tosana, and despite this liverwort shown a broad range of interesting biological activities, the pharmacological profiles of the two natural dimers still remain an unexplored area. From a biogenetic point of view, it is postulated that the dimeric framework of 127 and 128 derives from an intermolecular [4+2] cycloaddition between two units of acutifolone A (129) [83,84]. All the reported compounds share an unusual [4.3.0]nonane framework with four contiguous chiral centers oriented in an all-cis fashion.
To date, two stereoselective total syntheses of bisacutifolone A and B (127, 128) have been published having in common the dimerization step with two different approaches to obtain acutifolone A (129) as key monomer.
Nishiyama in 2007, published the first stereoselective total synthesis of 127 and 128 starting from the know lactone 130 [85]. The manipulation of 130 to obtain the precursor 129, required 25 synthetic steps including a complete stereoselective Mukaiyama aldol reaction between sylilenolether 131 and formaldehyde to give compound 132. The concentration (2.7 mmol in a 56 mL solution) and the Lewis acid used [Sc(OTf)3 or Yb(OTf)3] played a pivotal role in the success of the reaction. Having the synthon 132 onhand, redox adjustment furnished compound 133 that, after 1,2-addition of vinylmagnesium chloride in presence of CeCl3 followed by sylil deprotection, provided acutifolone A (129). Bisacutifolone A and B (127, 128) were finally achieved by heating compound 129 in a sealed tube in presence of BHT in toluene at 120 °C. Computational analysis of all the possible transition states of the Diels-Alder reaction has been performed to explain the complete stereoselectivity of the dimerization step: the calculations revealed that the most stable transition state, among all the eight possible transition states, was the one furnishing compound 134. The latter, once formed, underwent rapid auto-oxidation to give the desired dimers 127 and 128 and the overoxidized compound 135 [86,87] (Scheme 22).
Scheme 22.
Nishiyama’s approach to bisacutifolone A (127) and B (128).
In 2018, Yadav published his total synthesis of bisacutifolone A (127) and B (128) starting from the bicyclic chiral synthon 137, obtained from commercially available R-(+)-pulegone (136) [88]. Compound 137 was manipulated to introduce the quaternary methyl group through a four-step sequence where the allylic alcohol 138, obtained under Luche conditions, underwent a stereospecific Furukawa’s modified Simmon-Smith reaction leading to, as sole product, the cyclopropane 139. The latter, after oxidation with DMP, was treated with lithium in liquid ammonia leading the desired intermediate 141. At this juncture, additional five synthetic steps were needed to obtain acutifolone (129). Biomimetic Diels-Alder dimerization of the 129, under previously reported conditions [85], finally furnished the desired bisacutifolone A (127) and B (128) (Scheme 23).
Scheme 23.
Yadav’s approach to bisacutifolone A (127) and B (128).
7.2. Vannusals A and B
Vannusals A and B (142, 143) are two secondary metabolites with an unusual dimeric framework, characterized by six rings and thirteen stereocenters, isolated from the tropical strains of the interstitial marine ciliate Euplotes vannus [89]. The structural assignment was elucidated by Guella, and then revised by Nicolaou after comparison of the NMR spectral data of synthetic 144 (original assigned structure) and natural vannusal B (143) [89,90,91]. The campaign to elucidate the true structures of the vannusals required the synthesis of eight diastereoisomers of vannusal B (143), in the attempt to pinpoint the correct configuration(s) of the stereocenter(s). Herein reported is the final synthetic pathway applied to obtain the desired natural dimers 142 and 143 [92].
From a retrosynthetic point of view, two key synthons have been identified: the known enantiopure vinyl iodide 145 and the racemic tricyclic fragment 146 obtained in eleven steps from the diketo intermediate 147 [90,93]. The union of these two intermediates was obtained by lithiation of 145 with t-BuLi followed by the addition of 146 furnishing a mixture of the two diastereoisomers 148 and 149 in 1:1 ratio. At this juncture, the latter was manipulated to obtain compound 150 that underwent SmI2-mediated cyclization leading to polycyclic product 151 as single diastereoisomer in 82% yield. Finally, compound 151 after protecting-group swap, redox adjustment and complete deprotection furnished the desired compound 143, whose NMR and CD spectra were perfectly superimposable to that of the natural vannusal B.
Vannusal A (142) was instead obtained in four synthetic steps from the congener 143, through acetylation of compound 152 and complete deprotection of 153 by mild acid hydrolysis. Furthermore, in this case the physical properties of 142 matched with those reported for the natural vannusal A (Scheme 24).
Scheme 24.
Total synthesis of vannusal A (142) and B (143).
8. Sesquiterpenoid Alkaloid Dimers
Nuphar Thioalkaloids
Dimeric nuphar thioalkaloids are a unique group of sulfur-containing secondary metabolites deriving from the dimerization of monomers possessing a regular sesquiterpenic skeleton incorporated into 3-furyl substituted piperidines. They have been isolated for the first time in 1964 from Nuphar lutea (L.) Sm., a yellow water lily belonging to the aquatic family of Nymphaeaceae, and three different series are known whose structures differ in the relative configuration at the thiaspirane junction [94]. Recently they have displayed an interesting anticancer activity with IC50 values in the high nanomolar range in in vitro assays against murine (B16) melanoma cells proliferation, and crude extracts of N. lutea have shown a synergistic effect enhancing the cytotoxicity of cisplatin toward Hodgkin’s lymphoma-derived cells (L428) [95,96]. Additionally, these extracts have shown an interesting anti-inflammatory activity through the inhibition of the nuclear factor kB (NFkB) [96].
Although these natural compounds have been discovered in the second half of the last century, only in 2013 did Shenvi’s group report the first total synthesis of a thiaspirane nuphar dimer in enantiomerically pure form [97]. The (−)-neothiobinupharidine (154) was obtained in just eight synthetic steps starting from enone 155 that was selectively allylated under modified Tsuji-Trost allylation conditions, allowing to obtain compound 156 that underwent Beckmann rearrangement leading the corresponding 6-allyl piperidone 157. The latter was readily transformed in the trans-quinolizidine N-oxide 158 that, treated with trifluoroacetic anhydride, furnished the α,β-unsaturated iminium ion 159. The monomer 159 is stable over 24 h at room temperature, and after extensive optimization it was found that the addition of 5 eq. of sodium tetrasulfide (Na2S4) to a concentrated solution of 159 in DMSO led to the formation of (−)-6,6′-dihydroxyneothiobinupharidine (160) in high conversion rate and very high diastereoselectivity (10:1). Treatment of the crude mixture with NaBH4 allowed isolation of the desired (−)-neothiobinupharidine (154) in 62% yield from the N-oxide 158 (Scheme 25).
Scheme 25.
Total synthesis of (−)-neothiobinupharidine (154).
Expanding the approach proposed by Shenvi, Wu’s group in 2015 published a collective total synthesis of ten dimeric nuphar thioalkaloids, both natural and unnatural, using a combination of Lewis acids and chiral ligands to induce the dimerization in a stereoselective fashion [98]. Compound 161 was chosen as monomer that readily dimerized in presence of In(OTf)3/(3R,8S)-162/Na2S4 giving dimers 163, 164, 165 and 166 in 1.9:0.4:1:0.3 ratio, respectively. The latters, by treatment with silver nitrate in a binary solvent system acetonitrile/H2O, furnished (+)-6,6′-dihydroxythiobinupharidine (167) and (−)-6,6′-dihydroxythionuphlutine (168) both natural with (−)-6,6′-dihydroxyneothiobinupharidine (160) and 6,6′-dihydroxyneothionuphlutine (169) predicted natural but not yet isolated. Finally, (+)-6-hydroxythiobinupharidine (170) was obtained from 167 through a selective monoreduction at position C-6′ by using NaBH4 in cold methanol. This selective reduction was effective only on compound 167: similar attempts on 160, 168 and 169 resulted in complex mixtures of reduction products. The corresponding not-natural or predicted not-natural enantiomers were obtained in the same conditions by using (3S,8R)-162.
All the final dimers were tested for their apoptotic properties against human U937 cell line exhibiting nearly the same activity with IC50 values in the low micromolar range, but among all, the predicted natural derivative 160 proved to be the most potent (Scheme 26).
Scheme 26.
Total synthesis of (−)-6,6′-dihydroxyneothiobinupharidine (160), (+)-6,6′-dihydroxythiobinupharidine (167), (−)-6,6′-dihydroxythionuphlutine (168), 6,6′-dihydroxyneothionuphlutine (169) and (+)-6-hydroxythiobinupharidine (170).
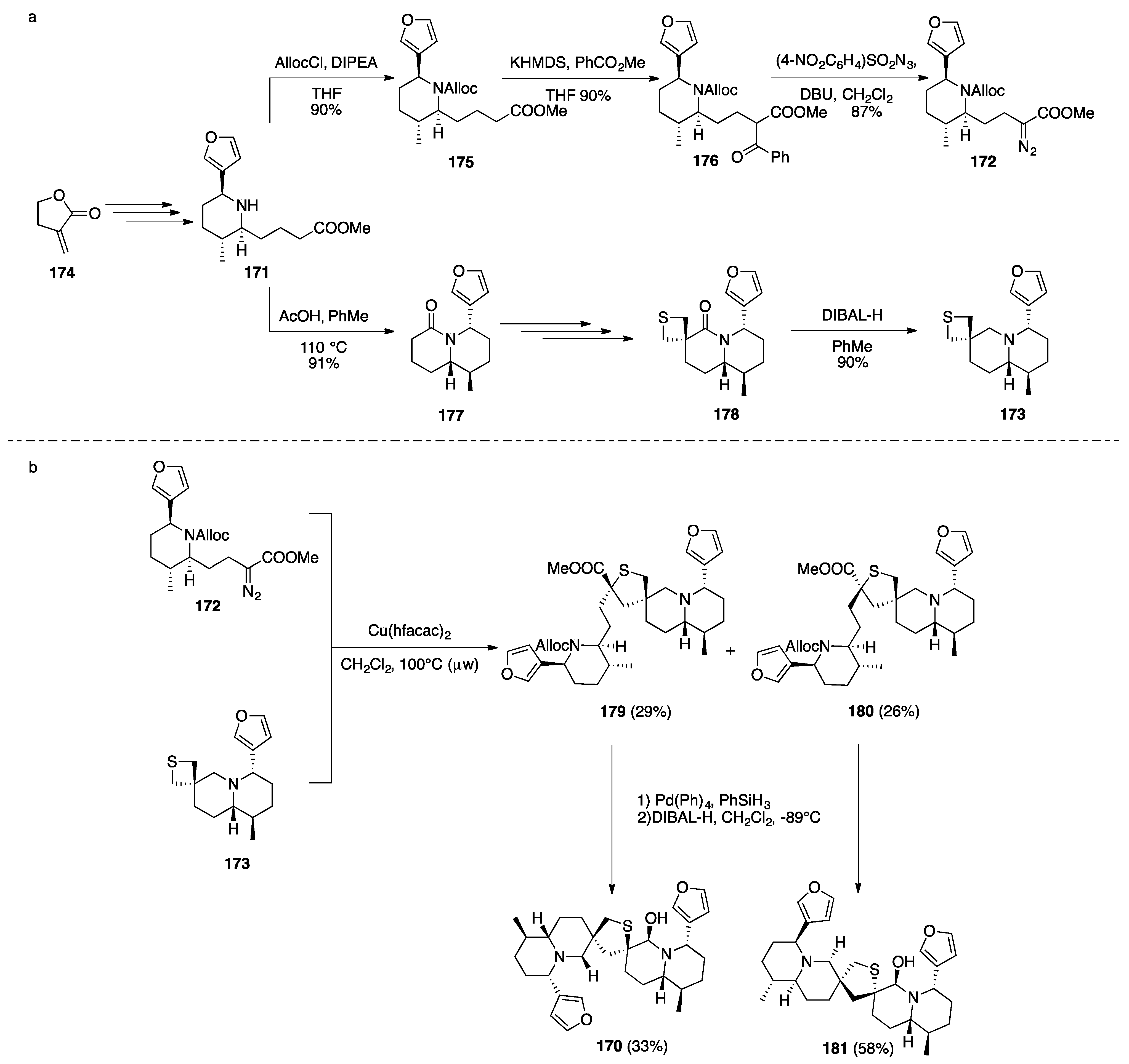
Despite the elegancy of the approaches proposed by both Shenvi and Wu, they have only been successful in the synthesis of symmetrically oxidized dimers with the exception of (+)-6-hydroxythiobinupharidine (170). Zakarian’s group in 2017 proposed a different strategy to gain access to the unsymmetrically oxidized congeners starting from compound 171 as common precursor to both the coupling partners 172 and 173 [99]. The key synthon 171 has been prepared in ten steps from the commercially available 2-methylene-γ-butyrolactone 174. The first coupling partner 172 was obtained in three steps from 171 with protection of the amino group as N-allyloxycarbonyl derivative (175), followed by acylation with methyl benzoate and subsequent treatment with 4-nitrobenzenesulfonyl azide in presence of DBU to insert the diazo moiety. Otherwise, lactamization of 171 gave the bicyclic derivative 177 that, after a series of manipulations, furnished compound 178 with the thietane ring installed. The latter was finally reduced to the second requested coupling partner 173 with DIBAL-H (Scheme 27a).
Scheme 27.
(a) Synthesis of coupling synthons 171 and 173, (b) synthesis of (+)-6-hydroxythiobinupharidine (170) and (−)-6-hydroxythionuphlutine (181).
Having the two key intermediates onhand, the coupling reaction was accomplished using a combination of Cu(hfacac)2 and microwave irradiation furnishing two epimers 179 and 180 in 29% and 26% yield, respectively. To complete the synthesis, 179 and 180 went through the removal of allyloxycarbonyl groups followed by the reduction with DIBAL-H at −89 °C, affording the unsymmetrically oxidized hemiaminals (+)-6-hydroxythiobinupharidine (170) and (−)-6-hyroxythiobinupharidine (181) (Scheme 27b).
9. Merosesquiterpenoid Dimers
Indolesesquiterpenoid Dimers: Dixiamycin B and Dixiamycin C
Indole sesquiterpenoids are a small group of secondary metabolites characterized by a dichotomous structure with an indole moiety fused to a terpenic unit [100]. While different monomeric members have been isolated from Streptomyces species, displaying interesting biological activities such as anti-HIV and antibiotic [101,102,103], dimeric congeners still remain a mere curiosity given the small number of derivatives identified. Among them, while the two atropoisomeric dixiamycin A and B (182, 183) present a N-N linkage acting as connector, dixiamycin C (184) is characterized by C6-N1′ bond linking the two monomeric units [104,105].
The total synthesis of dixiamycin B (183) was published in 2014 by Baran’s group and it was based on an elegant electrochemical dimerization process with the selective formation of the N-N linkage [106]. The synthetic pathway started from the enantioenriched epoxy-alcohol 185 readily transformed into the carbazole intermediate 186 that, after N-protection as BOC-derivative and treatment with BF3· OEt2, resulted in the desired pentacycle 187. The latter, after complete deprotection and oxidation of the primary alcohol, furnished compound 188 on a gram scale. The desired dimer 183 was finally obtained in 28% yield by treatment of 188 in a binary solvent system (MeOH/DMF) in presence of Et4NBr with a carbon electrode (anode) and an applied potential of +1550 mV. At this stage, it was unclear to the authors if dixiamycin A (182) was formed under the reaction conditions and rapidly decomposed or the reaction was selective versus the formation of dixiamycin B (164) as the only dimeric product (Scheme 28).
Scheme 28.
Total synthesis of dixiamycin B (183).
In 2015, Li and coworkers published the total synthesis of dixiamycin C (184) based on a thermal 6π-electrocyclization for the construction of the monomeric pentacyclic framework and a Buchwald-Hartwig [107] coupling in the dimerization step [108]. The synthetic strategy started from the optically active epoxide 189 that, after oxidative manipulation of the primary alcohol and subsequent protection of the carboxylic moiety, was readily cyclized furnishing the trans-decaline 191 as single diastereoisomer. Compound 191 passed through a sequence of protecting-group swap, redox adjustments, Grignard (192 or 193) addition and final dehydration, giving compound 194 and its brominated analogue 195. The trienes 194 and 195 under microwave irradiation underwent thermal 6π-electrocyclization and a subsequent aromatization to generate the terpene-carbazole analogues 196 and 197. At this juncture, desulfonylation of 196 and subsequent coupling with 197 under Buchwald’s protocol [109], furnished 199 that finally, after complete deprotection, afforded the desired dixiamycin C (184) (Scheme 29).
Scheme 29.
Total synthesis of dixiamycin C (184).
10. Conclusions
Bioactive natural compounds are the products of continuous adaptation of living organisms to a constantly changing environment, magnifying the ability of nature in the construction of complex architectures. Dimeric sesquiterpenoids are an excellent example of this adaptation, being characterized by unique and complex frameworks combined with a wide range of biological activities. In the last decade, more than 400 disesquiterpenoids have been isolated, showing more potent activities than their corresponding monomeric congeneres. Despite their interesting pharmacological profile, further studies are blocked or slowed down by the difficulties in obtaining these secondary metabolites in good amount and purity.
The attempt to duplicate the efficiency and the selectivity of natural processes under laboratory conditions still remains a challenging problem in organic chemistry, stimulating the development of new synthetic methodologies to build complex frameworks in a shorter time and more efficient manner. This review has summarized all the latest (2010–2020) efforts devoted to the synthesis of disequiterpenoids using new biomimetic approaches that allowed the access to interesting secondary metabolites otherwise produced by nature in very small amounts.
Although many strides have been made, there is still a lot of work to be done: only a very small number of disesquiterpenoids have been synthetized and characterized by a pharmacological standpoint. New and more efficient synthetic pathways will pave the way for a further and deep exploration of the biological profile of this relatively untouched group of secondary metabolites, with the possibility to qualify some of them as possible candidates to be used as a foundation and starting point in novel drug discovery processes.
Author Contributions
Conceptualization, A.M.; writing—original draft preparation, A.M. and D.C.; writing—review and editing, A.M., F.P., D.C. and S.S. All authors have read and agreed to the published version of the manuscript.
Funding
This research received no external funding.
Institutional Review Board Statement
Not applicable.
Informed Consent Statement
Not applicable.
Data Availability Statement
Not applicable.
Conflicts of Interest
The authors declare no conflict of interest.
Protecting Groups Abbreviations
TBDMS (tert-butyldimethylsilyl); TMS (trimethylsilyl); TES (triethylsilyl); TMSE (2-(trimethylsilyl)ethyl), TIPS (triisopropylsilyl); SEM (2-(Trimethylsilyl)ethoxymethyl); MOM (methoxymethyl); BOM (Benzyl Chloromethyl Ether); PMB (p-methoxybenzyl).
References
- Cragg, G.M.; Newman, D.J. Biochimica et Biophysica Acta Natural products: A continuing source of novel drug leads. BBA Gen. Subj. 2013, 1830, 3670–3695. [Google Scholar] [CrossRef] [PubMed]
- Thomford, N.E.; Senthebane, D.A.; Rowe, A.; Munro, D.; Seele, P.; Id, A.M.; Dzobo, K. Natural Products for Drug Discovery in the 21st Century: Innovations for Novel Drug Discovery. Int. J. Mol. Sci. 2018, 19, 1578. [Google Scholar] [CrossRef]
- Bennett, R.N.; Wallsgrove, R.M. Secondary metabolites in plant defence mechanisms. New Phytol. 1994, 127, 617–633. [Google Scholar] [CrossRef]
- DeGabriel, J.L.; Moore, B.D.; Marsh, K.J.; Foley, W.J. The effect of plant secondary metabolites on the interplay between the internal and external environments of marsupial folivores. Chemoecology 2010, 20, 97–108. [Google Scholar] [CrossRef]
- Yang, L.; Wen, K.S.; Ruan, X.; Zhao, Y.X.; Wei, F.; Wang, Q. Response of plant secondary metabolites to environmental factors. Molecules 2018, 23, 762. [Google Scholar] [CrossRef]
- Zhan, Z.J.; Ying, Y.M.; Ma, L.F.; Shan, W.G. Natural disesquiterpenoids. Nat. Prod. Rep. 2011, 28, 594–629. [Google Scholar] [CrossRef] [PubMed]
- Ma, Y.H.; Dou, X.X.; Tian, X.H. Natural Disesquiterpenoids: An Overview of Their Chemical Structures, Pharmacological Activities, and Biosynthetic Pathways; Springer: Dordrecht, The Netherlands, 2020; Volume 19, ISBN 0123456789. [Google Scholar]
- Litaudon, M.; Bousserouel, H.; Awang, K.; Nosjean, O.; Martin, M.T.; Dau, M.E.T.H.; Hadi, H.A.; Boutin, J.A.; Sévenet, T.; Guéritte, F. A dimeric sesquiterpenoid from a malaysian meiogyne as a new inhibitor of Bcl-xL/BakBH3 domain peptide interaction. J. Nat. Prod. 2009, 72, 480–483. [Google Scholar] [CrossRef]
- Castilla, C.; Congregado, B.; Chinchón, D.; Torrubia, F.J.; Japón, M.A.; Sáez, C. Bcl-xL is overexpressed in hormone-resistant prostate cancer and promotes survival of LNCaP cells via interaction with proapoptotic Bak. Endocrinology 2006, 147, 4960–4967. [Google Scholar] [CrossRef] [PubMed]
- Minn, A.J.; Rudin, C.M.; Boise, L.H.; Thompson, C.B. Expression of Bcl-X(L) can confer a multidrug resistance phenotype. Blood 1995, 86, 1903–1910. [Google Scholar] [CrossRef]
- Kharbanda, S.; Pandey, P.; Schofield, L.; Israels, S.; Roncinske, R.; Yoshida, K.; Bharti, A.; Yuan, Z.M.; Saxena, S.; Weichselbaum, R.; et al. Role for BCl-XL as an inhibitor of cytosolic cytochrome C accumulation in DNA damage-induced apoptosis. Proc. Natl. Acad. Sci. USA 1997, 94, 6939–6942. [Google Scholar] [CrossRef]
- Fotsop, D.F.; Roussi, F.; Leverrier, A.; Bretéché, A.; Guéritte, F. Biomimetic total synthesis of meiogynin A, an inhibitor of Bcl-xL and bak interaction. J. Org. Chem. 2010, 75, 7412–7415. [Google Scholar] [CrossRef]
- Stephan, M.; Bernd, L.; Gerald, J.; Roth, H.J.B. An Improved One-pot Procedure for the Synthesis of Alkynes from Aldehydes. Synlett 1996, 6, 521–522. [Google Scholar]
- Lipshutz, B.H.; Butler, T.; Lower, A. Controlling regiochemistry in negishi carboaluminations. Fine tuning the ligand on zirconium. J. Am. Chem. Soc. 2006, 128, 15396–15398. [Google Scholar] [CrossRef]
- Zhang, S.; Xu, L.; Trudell, M.L. Selective oxidation of benzylic alcohols and TBDMS ethers to carbonyl compounds with CrO3-H5IO6. Synthesis 2005, 1757–1760. [Google Scholar] [CrossRef]
- Hagiwara, H.; Okabe, T.; Ono, H.; Kamat, V.P.; Hoshi, T.; Suzuki, T.; Ando, M. Total synthesis of bisabolane sesquiterpenoids, α-bisabol-1-one, curcumene, curcuphenol and elvirol: Utility of catalytic enamine reaction in cyclohexenone synthesis. J. Chem. Soc. Perkin 2002, 2, 895–900. [Google Scholar] [CrossRef]
- Freskos, J.N.; Laneman, S.A.; Reilly, M.L.; Ripin, D.H. Synthesis of chiral succinates via Pd(0) catalyzed carbonylation/asymmetric hydrogenation sequence. Tetrahedron Lett. 1994, 35, 835–838. [Google Scholar] [CrossRef]
- Al-Zoubi, R.M.; Marion, O.; Hall, D.G. Direct and waste-free amidations and cycloadditions by organocatalytic activation of carboxylic acids at room temperature. Angew. Chem. Int. Ed. 2008, 47, 2876–2879. [Google Scholar] [CrossRef] [PubMed]
- Dardenne, J.; Desrat, S.; Guéritte, F.; Roussi, F. Asymmetric Synthesis of Two Analogues of Meiogynin A. Eur. J. Org. Chem. 2013, 2013, 2116–2122. [Google Scholar] [CrossRef]
- Georgantea, P.; Ioannou, E.; Vagias, C.; Roussis, V. Perezoperezone and curcuperezone: Bisabolane dimers from the soft coral Pseudopterogorgia rigida. Tetrahedron Lett. 2013, 54, 6920–6922. [Google Scholar] [CrossRef]
- Long, Y.; Ding, Y.; Wu, H.; Qu, C.; Liang, H.; Zhang, M.; Zhao, X.; Long, X.; Wang, S.; Puno, P.T.; et al. Total Synthesis of (−)-Perezoperezone through an Intermolecular [5+2] Homodimerization of Hydroxy p-Quinone. Angew. Chem. Int. Ed. 2019, 58, 17552–17557. [Google Scholar] [CrossRef]
- Buccini, M.; Punch, K.A.; Kaskow, B.; Flematti, G.R.; Skelton, B.W.; Abraham, L.J.; Piggott, M.J. Ethynylbenzenoid metabolites of Antrodia camphorata: Synthesis and inhibition of TNF expression. Org. Biomol. Chem. 2014, 12, 1100–1113. [Google Scholar] [CrossRef]
- Pinkerton, D.M.; Banwell, M.G.; Willis, A.C. Rapid, chemoenzymatic syntheses of the epoxyquinols ()-bromoxone acetate and ()-tricholomenyn A. Aust. J. Chem. 2009, 62, 1639–1645. [Google Scholar] [CrossRef]
- Ma, X.; Jury, J.C.; Banwell, M.G. Synthesis and reactivity of a putative biogenetic precursor to tricholomenyns B, C, D and E. Tetrahedron Lett. 2011, 52, 2192–2194. [Google Scholar] [CrossRef]
- Li, C.; Chen, T.; Li, B.; Xiao, G.; Tang, W. Efficient synthesis of sterically hindered arenes bearing acyclic secondary alkyl groups by suzuki-miyaura cross-couplings. Angew. Chem. Int. Ed. 2015, 54, 3792–3796. [Google Scholar] [CrossRef]
- Razzak, M.; De Brabander, J.K. Lessons and revelations from biomimetic syntheses. Nat. Chem. Biol. 2011, 7, 865–875. [Google Scholar] [CrossRef]
- Volgraf, M.; Lumb, J.P.; Brastianos, H.C.; Carr, G.; Chung, M.K.W.; Münzel, M.; Mauk, A.G.; Andersen, R.J.; Trauner, D. Biomimetic synthesis of the IDO inhibitors exiguamine A and B. Nat. Chem. Biol. 2008, 4, 535–537. [Google Scholar] [CrossRef]
- Pohnert, G.; Boland, W. Pericyclic reactions in nature: Evidence for a spontaneous [1.7]-hydrogen shift and an 8πe electrocyclic ring closure in the biosynthesis of olefinic hydrocarbons from marine brown algae (phaeophyceae). Tetrahedron 1994, 50, 10235–10244. [Google Scholar] [CrossRef]
- Nicolaou, K.C.; Petasis, N.A.; Zipkin, R.E.; Uenishi, J. The Endiandric Acid Cascade. Electrocyclizations in Organic Synthesis. 1. Stepwise, Stereocontrolled Total Synthesis of Endiandric Acids A and B. J. Am. Chem. Soc. 1982, 104, 5555–5557. [Google Scholar] [CrossRef]
- Keller, S.; Nicholson, G.; Drahl, C.; Sorensen, E.; Fiedler, H.P.; Süssmuth, R.D. Abyssomicins G and H and atrop-abyssomicin C from the marine Verrucosispora strain AB-18-032. J. Antibiot. 2007, 60, 391–394. [Google Scholar] [CrossRef]
- Shang, H.; Liu, J.; Bao, R.; Cao, Y.; Zhao, K.; Xiao, C.; Zhou, B.; Hu, L.; Tang, Y. Biomimetic synthesis: Discovery of xanthanolide dimers. Angew. Chem. Int. Ed. 2014, 53, 14494–14498. [Google Scholar] [CrossRef] [PubMed]
- Singh, R.; Ishar, M.P.S. UV irradiation of arylidene-β-ionones in the presence of dioxygen: Regioselective formation of stable endoperoxides. Tetrahedron Lett. 2003, 44, 1943–1945. [Google Scholar] [CrossRef]
- Sharma, V.; Gupta, V.; Anthal, S.; Saxena, A.K.; Ishar, M.P.S. Photochemical formation and decomposition of 8-[β-arylethenyl]-2,2,6- trimethyl-7,9,10-trioxa-tricyclo[6.2.2.01,6]dodec-11-ene to novel 6-hydroxy-1,7,7-trimethyl-2-oxa-bicyclo[4.4.0]dec-4-en-3-one in the presence of oxygen. Tetrahedron Lett. 2012, 53, 5649–5651. [Google Scholar] [CrossRef]
- Dorr, H.; Rawal, V.H. The Intramolecular Diels–Alder Reactions of Photochemically Generated trans-Cycloalkenones. J. Am. Chem. Soc. 1999, 121, 10229–10230. [Google Scholar] [CrossRef]
- Davies, H.M.L.; Loe, Ø.; Stafford, D.G. Sequential cycloaddition approach to the tricyclic core of vibsanin E. Total synthesis of (±)-5-epi-10-epi-vibsanin E. Org. Lett. 2005, 7, 5561–5563. [Google Scholar] [CrossRef]
- Eaton, P.E.; Lin, K. trans-2-Cyclooctenone. J. Am. Chem. Soc. 1964, 86, 2087–2088. [Google Scholar] [CrossRef]
- Corey, E.J.; LaMahieu, M.T.R.; Libit, L. Trans-2-Cycloheptenone. J. Am. Chem. Soc. 1965, 87, 2051–2052. [Google Scholar] [CrossRef]
- Ramamurthy, V.; Venkatesan, K. Photochemical Reactions of Organic Crystals. Chem. Rev. 1987, 87, 433–481. [Google Scholar] [CrossRef]
- Ichikawa, M.; Takahashi, M.; Aoyagi, S.; Kibayashi, C. Total synthesis of (-)-incarvilline, (+)-incarvine C, and (-)-incarvillateine. J. Am. Chem. Soc. 2004, 126, 16553–16558. [Google Scholar] [CrossRef]
- Liu, J.; Wendt, N.L.; Boarman, K.J. Trifluoromethyl groups in crystal design of 1,4-diphenyl-1,3-butadienes for topochemical [2 + 2] photodimerization. Org. Lett. 2005, 7, 1007–1010. [Google Scholar] [CrossRef]
- Otto, S.; Engberts, J.B.F.N. Diels-Alder reactions in water. Pure Appl. Chem. 2000, 72, 1365–1372. [Google Scholar] [CrossRef]
- Ahmed, A.A.; Mahmoud, A.A.; El-Gamal, A.A. A xanthanolide diol and a dimeric xanthanolide from Xanthium species. Planta Med. 1999, 65, 470–472. [Google Scholar] [CrossRef] [PubMed]
- Ahmed, A.A.; Jakupovic, J.; Bohlmann, F.; Regaila, H.A.; Ahmed, A.M. Sesquiterpene lactones from Xanthium pungens. Phytochemistry 1990, 29, 2211–2215. [Google Scholar] [CrossRef]
- Qu, J.; Deng, S.; Li, L.; Liu, Y.; Li, Y.; Ma, S.; Chen, X.; Yu, S. Cytotoxic dimeric xanthanolides from fruits of Xanthium chinense. Phytochemistry 2016, 132, 115–122. [Google Scholar] [CrossRef]
- Wang, L.; Wang, J.; Li, F.; Liu, X.; Chen, B.; Tang, Y.X.; Wang, M.K. Cytotoxic sesquiterpene lactones from aerial parts of Xanthium sibiricum. Planta Med. 2013, 79, 661–665. [Google Scholar] [CrossRef] [PubMed]
- Nour, A.M.M.; Khalid, S.A.; Kaiser, M.; Brun, R.; Abdallah, W.E.; Schmidt, T.J. The antiprotozoal activity of sixteen asteraceae species native to sudan and bioactivity-guided isolation of xanthanolides from xanthium brasilicum. Planta Med. 2009, 75, 1363–1368. [Google Scholar] [CrossRef] [PubMed]
- Feng, J.; Lei, X.; Bao, R.; Li, Y.; Xiao, C.; Hu, L.; Tang, Y. Enantioselective and Collective Total Syntheses of Xanthanolides. Angew. Chem. Int. Ed. 2017, 56, 16323–16327. [Google Scholar] [CrossRef] [PubMed]
- Lipshutz, B.H.; Keith, J.; Papa, P.; Vivian, R. A convenient, efficient method for conjugate reductions using catalytic quantities of Cu(I). Tetrahedron Lett. 1998, 39, 4627–4630. [Google Scholar] [CrossRef]
- Ferraz, H.M.C.; Longo, L.S. Bicyclic β-hydroxytetrahydrofurans as precursors of medium ring keto-lactones. J. Org. Chem. 2007, 72, 2945–2950. [Google Scholar] [CrossRef]
- Wu, Z.J.; Xu, X.K.; Shen, Y.H.; Su, J.; Tian, J.M.; Liang, S.; Li, H.A.; Liu, R.H.; Zhang, W.D. Ainsliadimer A, A new sesquiterpene lactone dimer with an unusual carbon skeleton from Ainsliaea macrocephala. Org. Lett. 2008, 10, 2397–2400. [Google Scholar] [CrossRef]
- Wang, Y.; Shen, Y.H.; Jin, H.Z.; Fu, J.J.; Hu, X.J.; Qin, J.J.; Liu, J.H.; Chen, M.; Yan, S.K.; Zhang, W.D. Ainsliatrimers A and B, the first two guaianolide trimers from Ainsliaea fulvioides. Org. Lett. 2008, 10, 5517–5520. [Google Scholar] [CrossRef]
- Bohlmann, F.; Ahmed, M.; Jakupovic, J.; King, R.M.; Robinson, H. Dimeric sesquiterpene lactones and kolavane derivatives from Gochnatia paniculata. Phytochemistry 1983, 22, 191–195. [Google Scholar] [CrossRef]
- Bohlmann, F.; Zdero, C.; A-hirschmann, G.S.; Rlngt, R.M.; Rottinsont, H. Dimeric guaianolides and other constituents from Gochnatia species. Phytochemistry 1986, 25, 1175–1178. [Google Scholar] [CrossRef]
- Li, C.; Yu, X.; Lei, X. A biomimetic total synthesis of (+)-ainsliadimer A. Org. Lett. 2010, 12, 4284–4287. [Google Scholar] [CrossRef] [PubMed]
- Chen, Y.; Li, W.; Zeng, Z.; Tang, Y. (-)-Gochnatiolide B, synthesized from dehydrocostuslactone, exhibits potent anti-bladder cancer activity in vitro and in vivo. Sci. Rep. 2018, 8, 8807. [Google Scholar] [CrossRef] [PubMed]
- Chhabra, B.R.; Ahuja, N.M.; Bhullar, M.K.; Kalsi, P.S. Some C-3 oxygenated guaianolides from Saussurea lappa. Fitoterapia 1998, 69, 274–275. [Google Scholar]
- Li, C.; Dian, L.; Zhang, W.; Lei, X. Biomimetic syntheses of (-)-gochnatiolides A-C and (-)-ainsliadimer B. J. Am. Chem. Soc. 2012, 134, 12414–12417. [Google Scholar] [CrossRef]
- Deep 2D NMR Studies on Synthetic Gochnatiolide B (46), Led to Structural Reassigment. The Structure was Further Unambiguously Confirmed by X-ray Crystallographic Analysis. Available online: https://pubs.acs.org/doi/suppl/10.1021/ja305464s (accessed on 25 March 2021).
- Xia, D.; Du, Y.; Yi, Z.; Song, H.; Qin, Y. Total syntheses of ainsliadimer B and gochnatiolides A and B. Chem. A Eur. J. 2013, 19, 4423–4427. [Google Scholar] [CrossRef]
- Takeda, Y.; Yamashita, H.; Matsumoto, T.; Terao, H. Chloranthalactone F, A sesquiterpenoid from the leaves of Chloranthus glaber. Phytochemistry 1993, 33, 713–715. [Google Scholar] [CrossRef]
- Okamura, H.; Iwagawa Tetsuo, N.M. A Revised Structure of Chloranthalactone F and Chloranthalactone A Photodimer. Bull. Chem. Soc. Jpn. 1995, 68, 3465–3467. [Google Scholar] [CrossRef]
- Pollini, G.P.; Benetti, S.; De Risi, C.; Zanirato, V. Hagemann’s ester: A timeless building block for natural product synthesis. Tetrahedron 2010, 66, 2775–2802. [Google Scholar] [CrossRef]
- Yue, G.; Yang, L.; Yuan, C.; Du, B.; Liu, B. Total syntheses of lindenane-type sesquiterpenoids: (±)- chloranthalactones A, B, F, (±)-9-hydroxy heterogorgiolide, and (±)-shizukanolide e. Tetrahedron 2012, 68, 9624–9637. [Google Scholar] [CrossRef]
- Hajos, Z.G.; Parrish, D.R. Asymmetric Synthesis of Bicyclic Intermediates of Natural product chemistry. J. Org. Chem. 1974, 39, 1615–1621. [Google Scholar] [CrossRef]
- Qian, S.; Zhao, G. Total synthesis of (+)-chloranthalactone F. Chem. Commun. 2012, 48, 3530–3532. [Google Scholar] [CrossRef] [PubMed]
- Yan, H.; Ba, M.Y.; Li, X.H.; Guo, J.M.; Qin, X.J.; He, L.; Zhang, Z.Q.; Guo, Y.; Liu, H.Y. Lindenane sesquiterpenoid dimers from Chloranthus japonicus inhibit HIV-1 and HCV replication. Fitoterapia 2016, 115, 64–68. [Google Scholar] [CrossRef]
- Zhou, B.; Wu, Y.; Dalal, S.; Merino, E.F.; Liu, Q.F.; Xu, C.H.; Yuan, T.; Ding, J.; Kingston, D.G.I.; Cassera, M.B.; et al. Nanomolar antimalarial agents against chloroquine-resistant plasmodium falciparum from medicinal plants and their structure-activity relationships. J. Nat. Prod. 2017, 80, 96–107. [Google Scholar] [CrossRef]
- Yang, L.; Yue, G.; Yuan, C.; Du, B.; Deng, H.; Liu, B. Synthetic Studies toward Lindenane-Type Sesquiterpenoid Dimers. Synlett 2014, 25, 2471–2474. [Google Scholar] [CrossRef]
- Wu, J.L.; Lu, Y.S.; Wong, H.N.C.; Peng, X.S. Synthetic studies toward lindenane-type dimers via Diels-Alder reaction. Tetrahedron 2018, 74, 6749–6760. [Google Scholar] [CrossRef]
- Yuan, C.; Du, B.; Deng, H.; Man, Y.; Liu, B. Total Syntheses of Sarcandrolide J and Shizukaol D: Lindenane Sesquiterpenoid [4+2] Dimers. Angew. Chem. Int. Ed. 2017, 56, 637–640. [Google Scholar] [CrossRef]
- Wu, J.L.; Lu, Y.S.; Tang, B.; Peng, X.S. Total syntheses of shizukaols A and E. Nat. Commun. 2018, 9, 4040. [Google Scholar] [CrossRef]
- Du, B.; Huang, Z.; Wang, X.; Chen, T.; Shen, G.; Fu, S.; Liu, B. A unified strategy toward total syntheses of lindenane sesquiterpenoid [4 + 2] dimers. Nat. Commun. 2019, 10, 2–9. [Google Scholar] [CrossRef]
- Longmore, J. Cotton seed oil: Its colouring matter and mucilage, and description of a new method of recovering the loss occurring in the refining process. J. Chem. Ind. 1886, 5, 200–206. [Google Scholar]
- Marchlewski, L. Gossypol, Ein Bestandtheil der Baumwollsamen. J. Prakt Chem. 1899, 60, 84–94. [Google Scholar] [CrossRef]
- Coutinho, E.M. Gossypol: A contraceptive for men. Contraception 2002, 65, 259–263. [Google Scholar] [CrossRef]
- Wang, G.; Nikolovska-coleska, Z.; Yang, C.; Wang, R.; Tang, G.; Guo, J.; Shangary, S.; Qiu, S.; Gao, W.; Yang, D.; et al. Structure-Based Design of Potent Small-Molecule Inhibitors of Anti-Apoptotic Bcl-2 Proteins. J. Med. Chem. Med. 2006, 49, 19–22. [Google Scholar] [CrossRef]
- Meng, Y.; Tang, W.; Dai, Y.; Wu, X.; Liu, M.; Ji, Q.; Ji, M.; Pienta, K.; Lawrence, T.; Xu, L. Natural BH3 mimetic (-)-gossypol chemosensitizes human prostate cancer via Bcl-xL inhibition accompanied by increase of Puma and Noxa. Mol. Cancer Ther. 2008, 7, 2192–2202. [Google Scholar] [CrossRef]
- Li, L.; Liu, Y.; Wang, Q. Regioselective Oxidative Dehydrogenation under Nonenzymatic Conditions: A Synthetic Route to Gossypol. Eur. J. Org. Chem. 2013, 8014–8021. [Google Scholar] [CrossRef]
- Cao, T.; Kong, Y.; Luo, K.; Chen, L.; Zhu, S. Cascade Claisen Rearrangement: Rapid Synthesis of Polysubstituted Salicylaldehydes and Total Syntheses of Hemigossypol and Gossypol. Angew. Chem. Int. Ed. 2018, 57, 8702–8707. [Google Scholar] [CrossRef] [PubMed]
- Yang, H.; Sun, J.; Gu, W.; Tang, W. Enantioselective Cross-Coupling for Axially Chiral Tetra-ortho-Substituted Biaryls and Asymmetric Synthesis of Gossypol. J. Am. Chem. Soc. 2020, 142, 8036–8043. [Google Scholar] [CrossRef]
- Hashimoto, T.; Irita, H.; Tanaka, M.; Takaoka, S.; Asakawa, Y. Two novel Diels-Alder reaction-type dimeric pinguisane sesquiterpenoids and related compounds from the liverwort Porella acutifolia subsp. tosana. Tetrahedron Lett. 1998, 39, 2977–2980. [Google Scholar] [CrossRef]
- Hashimoto, T.; Irita, H.; Tanaka, M.; Takaoka, S.; Asakawa, Y. Pinguisane and dimeric pinguisane-type sesquiterpenoids from the Japanese liverwort Porella acutifolia subsp. tosana. Phytochemistry 2000, 53, 593–604. [Google Scholar] [CrossRef]
- Shiina, J.; Nishiyama, S. The first total synthesis of acutifolone A, a pinguisane-type sesquiterpenoid isolated from the Japanese liverwort Porella acutifolia subsp. tosana. Tetrahedron Lett. 2005, 46, 7683–7686. [Google Scholar] [CrossRef]
- Hsieh, M.T.; Liu, H.J.; Ly, T.W.; Shia, K.S. A concise total synthesis of (±)-acutifolone A. Org. Biomol. Chem. 2009, 7, 3285–3290. [Google Scholar] [CrossRef] [PubMed]
- Shiina, J.; Oikawa, M.; Nakamura, K.; Obata, R.; Nishiyama, S. Synthesis of pinguisane-type sesquiterpenoids acutifolone A, pinguisenol, and bisacutifolones by a Diels-Alder dimerization reaction. Eur. J. Org. Chem. 2007, 5190–5197. [Google Scholar] [CrossRef]
- Johnsson, L.; Andersson, R.E.; Dutta, P.C. Side-chain autoxidation of stigmasterol and analysis of a mixture of phytosterol oxidation products by chromatographic and spectroscopic methods. JAOCS J. Am. Oil Chem. Soc. 2003, 80, 777–783. [Google Scholar] [CrossRef]
- Johnsson, L.; Dutta, P.C. Characterization of side-chain oxidation products of sitosterol and campesterol by chromatographic and spectroscopic methods. JAOCS J. Am. Oil Chem. Soc. 2003, 80, 767–776. [Google Scholar] [CrossRef]
- Yadav, J.S.; Singh, S.; Das, S. Stereoselective Total Syntheses of Acutifolone A, Bisacutifolone A and B, Pinguisenol, and Isonaviculol. ACS Omega 2018, 3, 636–647. [Google Scholar] [CrossRef]
- Guella, G.; Dini, F.; Pietra, F. Metabolites with a novel C30 backbone from marine ciliates. Angew. Chem. Int. Ed. 1999, 38, 1134–1136. [Google Scholar] [CrossRef]
- Nicolaou, K.C.; Zhang, H.; Ortiz, A.; Dagneau, P. Total synthesis of the originally assigned structure of vannusal B. Angew. Chem. Int. Ed. 2008, 47, 8605–8610. [Google Scholar] [CrossRef]
- Nicolaou, K.C.; Ortiz, A.; Zhang, H.; Dagneau, P.; Lanver, A.; Jennings, M.P.; Arseniyadis, S.; Faraoni, R.; Lizos, D.E. Total synthesis and structural revision of vannusals A and B: Synthesis of the originally assigned structure of vannusal B. J. Am. Chem. Soc. 2010, 132, 7138–7152. [Google Scholar] [CrossRef]
- Nicolaou, K.C.; Ortiz, A.; Zhang, H.; Guella, G. Total synthesis and structural revision of vannusals A and B: Synthesis of the true structures of vannusals A and B. J. Am. Chem. Soc. 2010, 132, 7153–7176. [Google Scholar] [CrossRef]
- Nicolaou, K.C.; Tang, W.; Dagneau, P.; Faraoni, R. A catalytic asymmetric three-component 1,4-addition/aldol reaction: Enantioselective synthesis of the spirocyclic system of vannusal A. Angew. Chem. Int. Ed. 2005, 44, 3874–3879. [Google Scholar] [CrossRef]
- Lalonde, R.T.; Wong, C. properties of sulfur containing nuphar alkaloids. Pure Appl. Chem. 1977, 49, 169–181. [Google Scholar] [CrossRef]
- Matsuda, H.; Morikawa, T.; Oda, M.; Asao, Y.; Yoshikawa, M. Potent anti-metastatic activity of dimeric sesquiterpene thioalkaloids from the rhizome of Nuphar pumilum. Bioorg. Med. Chem. Lett. 2003, 13, 4445–4449. [Google Scholar] [CrossRef] [PubMed]
- Ozer, J.; Eisner, N.; Ostrozhenkova, E.; Bacher, A.; Eisenreich, W.; Benharroch, D.; Golan-Goldhirsh, A.; Gopas, J. Nuphar lutea thioalkaloids inhibit the nuclear factor κB pathway, potentiate apoptosis and are synergistic with cisplatin and etoposide. Cancer Biol. Ther. 2009, 8, 1860–1868. [Google Scholar] [CrossRef] [PubMed]
- Jansen, D.J.; Shenvi, R.A. Synthesis of (−)-Neothiobinupharidine. J. Am. Chem. Soc. 2013, 135, 10–13. [Google Scholar] [CrossRef]
- Korotkov, A.; Li, H.; Chapman, C.W.; Xue, H.; Macmillan, J.B.; Eastman, A.; Wu, J. Total Syntheses and Biological Evaluation of Both Enantiomers of Several Hydroxylated Dimeric Nuphar Alkaloids. Angew. Chem. Int. Ed. 2015, 54, 10604–10607. [Google Scholar] [CrossRef]
- Lacharity, J.J.; Fournier, J.; Lu, P.; Mailyan, A.K.; Herrmann, A.T.; Zakarian, A. Total Synthesis of Unsymmetrically Oxidized Nuphar Thioalkaloids via Copper-Catalyzed Thiolane Assembly. J. Am. Chem. Soc. 2017, 139, 13272–13275. [Google Scholar] [CrossRef]
- Marcos, I.S.; Moro, R.F.; Costales, I.; Basabe, P.; Díez, D. Sesquiterpenyl indoles. Nat. Prod. Rep. 2013, 30, 1509–1526. [Google Scholar] [CrossRef]
- Ding, L.; Münch, J.; Goerls, H.; Maier, A.; Fiebig, H.H.; Lin, W.H.; Hertweck, C. Xiamycin, a pentacyclic indolosesquiterpene with selective anti-HIV activity from a bacterial mangrove endophyte. Bioorg. Med. Chem. Lett. 2010, 20, 6685–6687. [Google Scholar] [CrossRef]
- Ding, L.; Maier, A.; Fiebig, H.H.; Lin, W.H.; Hertweck, C. A family of multicyclic indolosesquiterpenes from a bacterial endophyte. Org. Biomol. Chem. 2011, 9, 4029–4031. [Google Scholar] [CrossRef]
- Zhang, Q.; Mándi, A.; Li, S.; Chen, Y.; Zhang, W.; Tian, X.; Zhang, H.; Li, H.; Zhang, W.; Zhang, S.; et al. N-N-coupled indolo-sesquiterpene atropo-diastereomers from a marine-derived actinomycete. Eur. J. Org. Chem. 2012, 5256–5262. [Google Scholar] [CrossRef]
- Xu, Z.; Baunach, M.; Ding, L.; Hertweck, C. Bacterial synthesis of diverse indole terpene alkaloids by an unparalleled cyclization sequence. Angew. Chem. Int. Ed. 2012, 51, 10293–10297. [Google Scholar] [CrossRef] [PubMed]
- Baunach, M.; Ding, L.; Bruhn, T.; Bringmann, G.; Hertweck, C. Regiodivergent N-C and N-N aryl coupling reactions of indoloterpenes and cycloether formation mediated by a single bacterial flavoenzyme. Angew. Chem. Int. Ed. 2013, 52, 9040–9043. [Google Scholar] [CrossRef]
- Rosen, B.R.; Werner, E.W.; O’Brien, A.G.; Baran, P.S. Total synthesis of dixiamycin B by electrochemical oxidation. J. Am. Chem. Soc. 2014, 136, 5571–5574. [Google Scholar] [CrossRef]
- Forero-Cortés, P.A.; Haydl, A.M. The 25th Anniversary of the Buchwald-Hartwig Amination: Development, Applications, and Outlook. Org. Process. Res. Dev. 2019, 23, 1478–1483. [Google Scholar] [CrossRef]
- Meng, Z.; Yu, H.; Li, L.; Tao, W.; Chen, H.; Wan, M.; Yang, P.; Edmonds, D.J.; Zhong, J.; Li, A. Total synthesis and antiviral activity of indolosesquiterpenoids from the xiamycin and oridamycin families. Nat. Commun. 2015, 6, 4–11. [Google Scholar] [CrossRef] [PubMed]
- Klapars, A.; Antilla, J.C.; Huang, X.; Buchwald, S.L.; May, R. V A General and Efficient Copper Catalyst for the Amidation of Aryl Halides and the N -Arylation of Nitrogen Heterocycles. J. Am. Chem. Soc. 2001, 7727–7729. [Google Scholar] [CrossRef] [PubMed]
Publisher’s Note: MDPI stays neutral with regard to jurisdictional claims in published maps and institutional affiliations. |
© 2021 by the authors. Licensee MDPI, Basel, Switzerland. This article is an open access article distributed under the terms and conditions of the Creative Commons Attribution (CC BY) license (https://creativecommons.org/licenses/by/4.0/).





























