Screening of Croatian Native Grapevine Varieties for Susceptibility to Plasmopara viticola Using Leaf Disc Bioassay, Chlorophyll Fluorescence, and Multispectral Imaging
Abstract
1. Introduction
2. Results
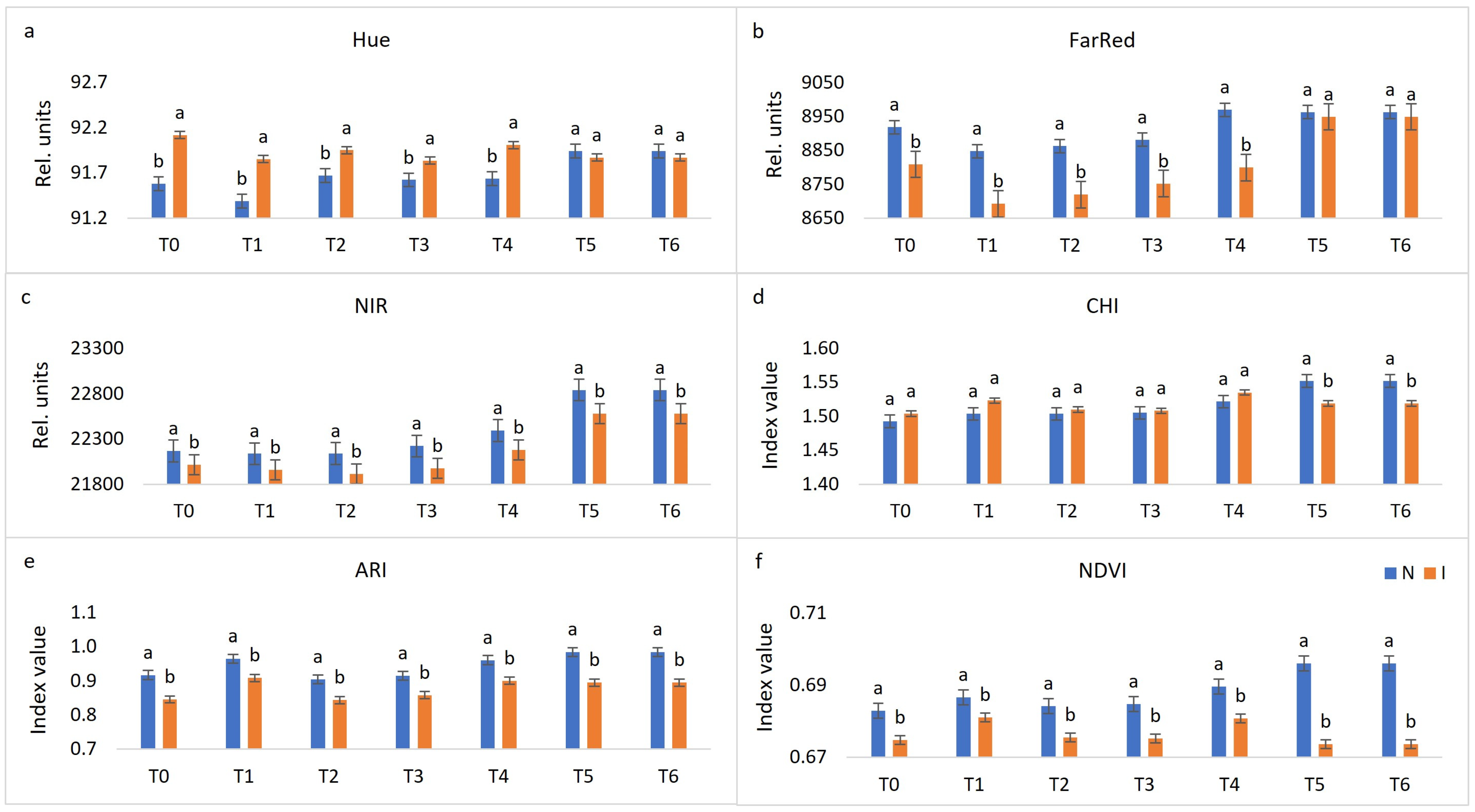
2.1. Differences in Chlorophyll Fluorescence and Multispectral Imaging Responses between Infected and Non-Infected Leaf Discs
2.2. Differences in P. viticola Sporulation on Leaf Discs among Genotypes
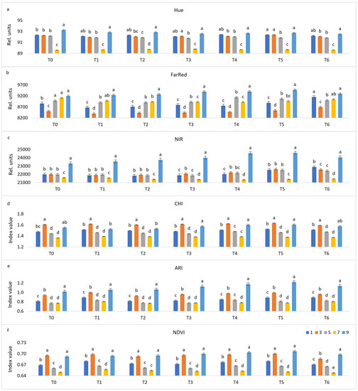
2.3. Differences in Chlorophyll Fluorescence and Multispectral Imaging Responses between Diverse OIV Classes
2.4. Phenotyping Model
3. Discussion
4. Materials and Methods
4.1. Plant Material
4.2. Suspension Preparation
4.3. Leaf Discs Inoculation and Incubation
4.4. Chlorophyll Fluorescence and Multispectral Imaging
- Hue = 60 × (0 + (Green − Blue)/(max − min)), if max = Red;
- Hue = 60 × (2 + (Blue − Red)/(max − min)), if max = Green;
- Hue = 60 × (4 + (Red − Green)/(max − min)), if max = Blue.
- 360 was added in the case of Hue < 0.
4.5. Statistical Analyses
5. Conclusions
Author Contributions
Funding
Data Availability Statement
Conflicts of Interest
Abbreviations
| OIV | International Organisation of Vine and Wine |
| OIV classes | 1, 3, 5, 7, and 9 from the most susceptible to the completely resistant group of genotypes |
| T0–T6 | terms of imaging from the pre-infection stage until the appearance of visible symptoms |
| dpi | day(s) post-inoculation |
| PSII | photosystem II |
| Fv/Fm | maximum quantum yield of photosystem II electron transport (variable to maximum value of chlorophyll a fluorescence) |
| Fq’/Fm’ | effective quantum yield of photosystem II electron transport |
| ETR | electron transport rate |
| NPQ | non-photochemical quenching |
| qP | photochemical quenching |
| Hue | colour appearance parameter |
| Far Red | far red reflectance |
| NIR | near-infrared reflectance |
| CHI | chlorophyll index |
| ARI | anthocyanin reflection index |
| NDVI | normalised difference vegetation index |
References
- Gessler, C.; Pertot, I.; Perazzolli, M. Plasmopara viticola: A review of knowledge on downy mildew of grapevine and effective disease management. Phytopathol. Mediterr. 2011, 50, 3–44. [Google Scholar]
- Töpfer, R.; Hausmann, L.; Harst, M.; Maul, E.; Zyprian, E. New Horizons for Grapevine Breeding. In Methods in Temperate Fruit Breeding; Flachowsky, H., Hanke, M.-V., Eds.; Global Science Books, Ltd.: Ikenobe, Japan, 2011; Volume 5, Special Issue 1; pp. 79–100. [Google Scholar]
- Wilson, C.; Tisdell, C. Why farmers continue to use pesticides despite environmental, health and sustainability costs. Ecol. Econ. 2001, 39, 449–462. [Google Scholar] [CrossRef]
- Guerreiro, A.; Figueiredo, J.; Silva, M.S.; Figueiredo, A. Linking Jasmonic Acid to Grapevine Resistance against the Biotrophic Oomycete Plasmopara viticola. Front. Plant. Sci. 2016, 7, 7. [Google Scholar] [CrossRef]
- Buonassisi, D.; Colombo, M.; Migliaro, D.; Dolzani, C.; Peressotti, E.; Mizzotti, C.; Velasco, R.; Masiero, S.; Perazzolli, M.; Vezzulli, S. Breeding for grapevine downy mildew resistance: A review of “omics” approaches. Euphytica 2017, 213, 103. [Google Scholar] [CrossRef]
- Burruano, S. The life-cycle of Plasmopara viticola, cause of downy mildew of vine. Mycologist 2000, 14, 179–182. [Google Scholar] [CrossRef]
- Gobbin, D.; Jermini, M.; Loskill, B.; Pertot, I.; Raynal, M.; Gessler, C. Importance of secondary inoculum of Plasmopara viticola to epidemics of grapevine downy mildew. Plant. Pathol. 2005, 54, 522–534. [Google Scholar] [CrossRef]
- Merdinoglu, D.; Schneider, C.; Prado, E.; Wiedemann-Merdinoglu, S.; Mestre, P. Breeding for durable resistance to downy and powdery mildew in grapevine. Oeno One 2018, 52, 203–209. [Google Scholar] [CrossRef]
- Pedneault, K.; Provost, C. Fungus resistant grape varieties as a suitable alternative for organic wine production: Benefits, limits, and challenges. Sci. Hortic. 2016, 208, 57–77. [Google Scholar] [CrossRef]
- Merdinoglu, D.; Wiedeman-Merdinoglu, S.; Coste, P.; Vincent, D.; Haetty, S.; Butterlin, G.; Greif, C. Genetic analysis of Downy Mildew resistance derived from Muscadinia rotundifolia. Acta Hortic. 2003, 603, 451–456. [Google Scholar] [CrossRef]
- Di Gaspero, G.; Copetti, D.; Coleman, C.; Castellarin, S.D.; Eibach, R.; Kozma, P.; Lacombe, T.; Gambetta, G.; Zvyagin, A.; Cindric, P.; et al. Selective sweep at the Rpv3 locus during grapevine breeding for downy mildew resistance. Appl. Genet. 2012, 124, 277–286. [Google Scholar] [CrossRef]
- Marguerit, E.; Boury, C.; Manicki, A.; Donnart, M.; Butterlin, G.; Némorin, A.; Wiedemann-Merdinoglu, S.; Merdinoglu, D.; Ollat, N.; Decroocq, S. Genetic dissection of sex determinism, inflorescence morphology and downy mildew resistance in grapevine. Tag. Theor. Appl. Genet. Theor. Angew. Genet. 2009, 118, 1261–1278. [Google Scholar] [CrossRef]
- Moreira, F.M.; Madini, A.; Marino, R.; Zulini, L.; Stefanini, M.; Velasco, R.; Kozma, P.; Grando, M.S. Genetic linkage maps of two interspecific grape crosses (Vitis spp.) used to localize quantitative trait loci for downy mildew resistance. Tree Genet. Genomes 2011, 7, 153–167. [Google Scholar] [CrossRef]
- Blasi, P.; Blanc, S.; Wiedemann-Merdinoglu, S.; Prado, E.; Ruhl, E.H.; Mestre, P.; Merdinoglu, D. Construction of a reference linkage map of Vitis amurensis and genetic mapping of Rpv8, a locus conferring resistance to grapevine downy mildew. Theor. Appl. Genet. 2011, 123, 43–53. [Google Scholar] [CrossRef]
- Schwander, F.; Eibach, R.; Fechter, I.; Hausmann, L.; Zyprian, E.; Töpfer, R. Rpv10: A new locus from the Asian Vitis gene pool for pyramiding downy mildew resistance loci in grapevine. Theor. Appl. Genet. 2012, 124, 163–176. [Google Scholar] [CrossRef]
- Venuti, S.; Copetti, D.; Foria, S.; Falginella, L.; Hoffmann, S.; Bellin, D.; Cindric, P.; Kozma, P.; Scalabrin, S.; Morgante, M.; et al. Historical Introgression of the Downy Mildew Resistance Gene Rpv12 from the Asian Species Vitis amurensis into Grapevine Varieties. PLoS ONE 2013, 8, 7. [Google Scholar] [CrossRef]
- Barker, C.L.; Donald, T.; Pauquet, J.; Ratnaparkhe, M.B.; Bouquet, A.; Adam-Blondon, A.-F.; Thomas, M.R.; Dry, I. Genetic and physical mapping of the grapevine powdery mildew resistance gene, Run1, using a bacterial artificial chromosome library. Theor. Appl. Genet. 2005, 111, 370–377. [Google Scholar] [CrossRef]
- Feechan, A.; Anderson, C.; Torregrosa, L.; Jermakow, A.; Mestre, P.; Wiedemann-Merdinoglu, S.; Merdinoglu, D.; Walker, A.R.; Cadle-Davidson, L.; Reisch, B.; et al. Genetic dissection of a TIR-NB-LRR locus from the wild North American grapevine species Muscadinia rotundifolia identifies paralogous genes conferring resistance to major fungal and oomycete pathogens in cultivated grapevine. Plant. J. 2013, 76, 661–674. [Google Scholar] [CrossRef]
- Riaz, S.; Tenscher, A.; Ramming, D.; Walker, M. Using a limited mapping strategy to identify major QTLs for resistance to grapevine powdery mildew (Erysiphe necator) and their use in marker-assisted breeding. Theor. Appl. Genet. 2011, 122, 1059–1073. [Google Scholar] [CrossRef]
- Hoffmann, S.; Di Gaspero, G.; Kovács, L.; Howard, S.; Kiss, E.; Galbács, Z.; Testolin, R.; Kozma, P. Resistance to Erysiphe necator in the grapevine ‘Kishmish vatkana’ is controlled by a single locus through restriction of hyphal growth. Theor. Appl. Genet. 2008, 116, 427–438. [Google Scholar] [CrossRef]
- Oerke, E.-C.; Herzog, K.; Toepfer, R. Hyperspectral phenotyping of the reaction of grapevine genotypes to Plasmopara viticola. J. Exp. Bot. 2016, 67, 5529–5543. [Google Scholar] [CrossRef]
- Bellin, D.; Peressotti, E.; Merdinoglu, D.; Wiedemann-Merdinoglu, S.; Adam-Blondon, A.F.; Cipriani, G.; Morgante, M.; Testolin, R.; Di Gaspero, G. Resistance to Plasmopara viticola in grapevine ‘Bianca’ is controlled by a major dominant gene causing localised necrosis at the infection site. Theor. Appl. Genet. 2009, 120, 163–176. [Google Scholar] [CrossRef]
- Jürges, G.; Kassemeyer, H.-H.; Dürrenberger, M.; Düggelin, M.; Nick, P. The mode of interaction between Vitis and Plasmopara viticola Berk. & Curt. Ex de Bary depends on the host species. Plant. Biol. 2009, 11, 886–898. [Google Scholar] [CrossRef]
- Sargolzaei, M.; Maddalena, G.; Bitsadze, N.; Maghradze, D.; Bianco, P.A.; Failla, O.; Toffolatti, S.L.; De Lorenzis, G. Rpv29, Rpv30 and Rpv31: Three Novel Genomic Loci Associated With Resistance to Plasmopara viticola in Vitis vinifera. Front. Plant. Sci. 2020, 11. [Google Scholar] [CrossRef]
- Gaforio, L.; Cabello, F.; Muñoz-Organero, G. Evaluation of resistance to downy mildew in grape varieties grown in a Spanish collection. Vitis-Geilweilerhof 2015, 54, 187–191. [Google Scholar] [CrossRef]
- Bitsadze, N.; Aznarashvili, M.; Vercesi, A.; Chipashvili, R.; Failla, O.; Maghradze, D. Screening of Georgian grapevine germplasm for susceptibility to downy mildew (Plasmopara viticola). Vitis 2015, 54, 193–196. [Google Scholar]
- Toffolatti, S.L.; Maddalena, G.; Salomoni, D.; Maghradze, D.; Bianco, P.A.; Failla, O. Evidence of resistance to the downy mildew agent Plasmopara viticola in the Georgian Vitis vinifera germplasm. Vitis 2016, 55, 121–128. [Google Scholar] [CrossRef]
- Bove, F.; Bavaresco, L.; Caffi, T.; Rossi, V. Assessment of Resistance Components for Improved Phenotyping of Grapevine Varieties Resistant to Downy Mildew. Front. Plant. Sci. 2019, 10. [Google Scholar] [CrossRef]
- Vezzulli, S.; Vecchione, A.; Stefanini, M.; Zulini, L. Downy mildew resistance evaluation in 28 grapevine hybrids promising for breeding programs in Trentino region (Italy). Eur. J. Plant. Pathol. 2018, 150, 485–495. [Google Scholar] [CrossRef]
- OIV. Descriptor List for Grape Varieties and Vitis Species, 2nd ed.; OIV: Paris. France, 2009. [Google Scholar]
- Buonassisi, D.; Cappellin, L.; Dolzani, C.; Velasco, R.; Peressotti, E.; Vezzulli, S. Development of a novel phenotyping method to assess downy mildew symptoms on grapevine inflorescences. Sci. Hortic. 2018, 236, 79–89. [Google Scholar] [CrossRef]
- Gomez-Zeledon, J.; Kaiser, M.; Spring, O. Exploring host-pathogen combinations for compatible and incompatible reactions in grapevine downy mildew. Eur. J. Plant. Pathol. 2017, 149, 1–10. [Google Scholar] [CrossRef]
- Nascimento-Gavioli, M.C.A.; Rockenbach, M.F.; Welter, L.J.; Guerra, M.P. Histopathological study of resistant (Vitis labrusca L.) and susceptible (Vitis vinifera L.) cultivars of grapevine to the infection by downy mildew. J. Hortic. Sci. Biotechnol. 2019, 1–11. [Google Scholar] [CrossRef]
- Calonnec, A.; Wiedemann-Merdinoglu, S.; Deliere, L.; Cartolaro, P.; Schneider, C.; Delmotte, F. The reliability of leaf bioassays for predicting disease resistance on fruit: A case study on grapevine resistance to downy and powdery mildew. Plant. Pathol. 2013, 62, 533–544. [Google Scholar] [CrossRef]
- Swarbrick, P.J.; Schulze-Lefert, P.; Scholes, J.D. Metabolic consequences of susceptibility and resistance (race-specific and broad-spectrum) in barley leaves challenged with powdery mildew. Plant Cell Environ. 2006, 29, 1061–1076. [Google Scholar] [CrossRef]
- Chaerle, L.; Hagenbeek, D.; De Bruyne, E.; Van Der Straeten, D. Chlorophyll fluorescence imaging for disease-resistance screening of sugar beet. Plant. Cell Tissue Organ. Cult. 2007, 91, 97–106. [Google Scholar] [CrossRef]
- Bürling, K.; Hunsche, M.; Noga, G. Quantum yield of non-regulated energy dissipation in PSII (Y(NO)) for early detection of leaf rust (Puccinia triticina) infection in susceptible and resistant wheat (Triticum aestivum L.) cultivars. Precis. Agric. 2010, 11, 703–716. [Google Scholar] [CrossRef]
- Cséfalvay, L.; Di Gaspero, G.; Matouš, K.; Bellin, D.; Ruperti, B.; Olejníčková, J. Pre-symptomatic detection of Plasmopara viticola infection in grapevine leaves using chlorophyll fluorescence imaging. Eur. J. Plant. Pathol. 2009, 125, 291–302. [Google Scholar] [CrossRef]
- Nogueira Júnior, A.F.; Tränkner, M.; Ribeiro, R.V.; von Tiedemann, A.; Amorim, L. Photosynthetic Cost Associated With Induced Defense to Plasmopara viticola in Grapevine. Front. Plant. Sci. 2020, 11. [Google Scholar] [CrossRef]
- Lenk, S.; Chaerle, L.; Pfündel, E.E.; Langsdorf, G.; Hagenbeek, D.; Lichtenthaler, H.K.; Van Der Straeten, D.; Buschmann, C. Multispectral fluorescence and reflectance imaging at the leaf level and its possible applications. J. Exp. Bot. 2006, 58, 807–814. [Google Scholar] [CrossRef]
- Prokopová, J.; Špundová, M.; Sedlářová, M.; Husičková, A.; Novotný, R.; Doležal, K.; Nauš, J.; Lebeda, A. Photosynthetic responses of lettuce to downy mildew infection and cytokinin treatment. Plant. Physiol. Biochem. 2010, 48, 716–723. [Google Scholar] [CrossRef]
- Rosenqvist, E.; van Kooten, O. Chlorophyll Fluorescence: A General Description and Nomenclature. In Practical Applications of Chlorophyll Fluorescence in Plant Biology; DeEll, J.R., Toivonen, P.M.A., Eds.; Springer US: Boston, MA, USA, 2003; pp. 31–77. [Google Scholar] [CrossRef]
- Chaerle, L.; Hagenbeek, D.; De Bruyne, E.; Valcke, R.; Van Der Straeten, D. Thermal and Chlorophyll-Fluorescence Imaging Distinguish Plant-Pathogen Interactions at an Early Stage. Plant. Cell Physiol. 2004, 45, 887–896. [Google Scholar] [CrossRef]
- Billet, K.; Malinowska, M.A.; Munsch, T.; Unlubayir, M.; Adler, S.; Delanoue, G.; Lanoue, A. Semi-Targeted Metabolomics to Validate Biomarkers of Grape Downy Mildew Infection Under Field Conditions. Plants 2020, 9, 1008. [Google Scholar] [CrossRef]
- Li, L.; Zhang, Q.; Huang, D. A review of imaging techniques for plant phenotyping. Sensors 2014, 14, 20078–20111. [Google Scholar] [CrossRef]
- Knipling, E.B. Physical and physiological basis for the reflectance of visible and near-infrared radiation from vegetation. Remote Sens. Environ. 1970, 1, 155–159. [Google Scholar] [CrossRef]
- Žulj Mihaljević, M.; Maletić, E.; Preiner, D.; Zdunić, G.; Bubola, M.; Zyprian, E.; Pejić, I. Genetic Diversity, Population Structure, and Parentage Analysis of Croatian Grapevine Germplasm. Genes 2020, 11, 737. [Google Scholar] [CrossRef]
- Maletić, E.; Pejić, I.; Karoglan Kontić, J.; Zdunić, G.; Preiner, D.; Šimon, S.; Andabaka, Ž.; Žulj Mihaljević, M.; Bubola, M.; Marković, Z.; et al. Ampelographic and genetic characterization of Croatian grapevine varieties. Vitis 2015, 54, 93–98. [Google Scholar]
- Rolfe, S.A.; Scholes, J.D. Chlorophyll fluorescence imaging of plant-pathogen interactions. Protoplasma 2010, 247, 163–175. [Google Scholar] [CrossRef]
- Maxwell, K.; Johnson, G.N. Chlorophyll fluorescence—a practical guide. J. Exp. Bot. 2000, 51, 659–668. [Google Scholar] [CrossRef]
- Gómez-Zeledón, J.; Kaiser, M. An Extended Leaf Disc Test for Virulence Assessment in Plasmopara Viticola and Detection of Downy Mildew Resistance in Vitis. J. Plant. Pathol. Microbiol. 2016, 7. [Google Scholar] [CrossRef]
- Kumar, A.; Memo, M.; Mastinu, A. Plant behaviour: An evolutionary response to the environment? Plant. Biol. 2020, 22, 961–970. [Google Scholar] [CrossRef]
- Deglene-Benbrahim, L.; Wiedemann-Merdinoglu, S.; Merdinoglu, D.; Walter, B. Evaluation of Downy Mildew Resistance in Grapevine by Leaf Disc Bioassay with In Vitro- and Greenhouse-Grown Plants. Am. J. Enol. Vitic. 2010, 61, 521–528. [Google Scholar] [CrossRef]
- Boso, S.; Kassemeyer, H. Different suceptibility of European grapevine cultivars for downy mildew. Vitis 2008, 47, 39. [Google Scholar]
- Pérez-Bueno, M.L.; Pineda, M.; Barón, M. Phenotyping Plant Responses to Biotic Stress by Chlorophyll Fluorescence Imaging. Front. Plant. Sci. 2019, 10. [Google Scholar] [CrossRef]
- Guidi, L.; Lo Piccolo, E.; Landi, M. Chlorophyll Fluorescence, Photoinhibition and Abiotic Stress: Does it Make Any Difference the Fact to Be a C3 or C4 Species? Front. Plant. Sci. 2019, 10, 11. [Google Scholar] [CrossRef]
- Baker, N.R. Photoinhibition of Photosynthesis. In Light as an Energy Source and Information Carrier in Plant Physiology; Jennings, R.C., Zucchelli, G., Ghetti, F., Colombetti, G., Eds.; Springer US: Boston, MA, USA, 1996; pp. 89–97. [Google Scholar] [CrossRef]
- Björkman, O.; Demmig, B. Photon yield of O2 evolution and chlorophyll fluorescence characteristics at 77 K among vascular plants of diverse origins. Planta 1987, 170, 489–504. [Google Scholar] [CrossRef]
- Johnson, G.N.; Young, A.J.; Scholes, J.D.; Horton, P. The dissipation of excess excitation-energy in British plant-species. Plant. Cell Environ. 1993, 16, 673–679. [Google Scholar] [CrossRef]
- Berger, S.; Papadopoulos, M.; Schreiber, U.; Kaiser, W.; Roitsch, T. Complex regulation of gene expression, photosynthesis and sugar levels by pathogen infection in tomato. Physiol. Plant. 2004, 122, 419–428. [Google Scholar]
- Gamm, M.; Heloir, M.C.; Bligny, R.; Vaillant-Gaveau, N.; Trouvelot, S.; Alcaraz, G.; Frettinger, P.; Clement, C.; Pugin, A.; Wendehenne, D.; et al. Changes in Carbohydrate Metabolism in Plasmopara viticola-Infected Grapevine Leaves. Mol. Plant. Microbe Interact. 2011, 24, 1061–1073. [Google Scholar] [CrossRef]
- Sass, L.; Majer, P.; Hideg, É. Leaf Hue Measurements: A High-Throughput Screening of Chlorophyll Content. In High-Throughput Phenotyping in Plants: Methods and Protocols; Normanly, J., Ed.; Humana Press: Totowa, NJ, USA, 2012; pp. 61–69. [Google Scholar] [CrossRef]
- Abdelghafour, F.; Keresztes, B.; Germain, C.; Da Costa, J.-P. In Field Detection of Downy Mildew Symptoms with Proximal Colour Imaging. Sensors 2020, 20, 4380. [Google Scholar]
- Merzlyak, M.; Chivkunova, O.; Melø, T.; Naqvi, K.R. Does a leaf absorb radiation in the near infrared (780-900 nm) region? A new approach to quantifying optical reflection, absorption and transmission of leaves. Photosynth. Res. 2002, 72, 263–270. [Google Scholar] [CrossRef]
- Alonso-Villaverde, V.; Santiago, J.; Gago, P.; Kassemeyer, H.-H.; Martínez, M.-C. Macro- and microscopic leaf characteristics of six grapevine genotypes (Vitis spp.) with different susceptibilities to grapevine downy mildew. Vitis -Geilweilerhof- 2010, 49, 43–50. [Google Scholar]
- Montero, R.; Pérez-Bueno, M.L.; Barón, M.; Florez-Sarasa, I.; Tohge, T.; Fernie, A.R.; Ouad Hel, A.; Flexas, J.; Bota, J. Alterations in primary and secondary metabolism in Vitis vinifera ‘Malvasía de Banyalbufar’ upon infection with Grapevine leafroll-associated virus 3. Physiol. Plant. 2016, 157, 442–452. [Google Scholar] [CrossRef]
- Savary, S.; Delbac, L.; Rochas, A.; Taisant, G.; Willocquet, L. Analysis of nonlinear relationships in dual epidemics, and its application to the management of grapevine downy and powdery mildews. Phytopathology 2009, 99, 930–942. [Google Scholar]
- Buschmann, C. Variability and application of the chlorophyll fluorescence emission ratio red/far-red of leaves. Photosynth. Res. 2007, 92, 261–271. [Google Scholar] [CrossRef]
- Steimetz, E.; Trouvelot, S.; Gindro, K.; Bordier, A.; Poinssot, B.; Adrian, M.; Daire, X. Influence of leaf age on induced resistance in grapevine against Plasmopara viticola. Physiol. Mol. Plant. Pathol. 2012, 79, 89–96. [Google Scholar] [CrossRef]
- EPPO. Guidelines for the efficacy evaluation of fungicides: Plasmopara viticola. Eppo Bull. 2001, 31, 313–317. [Google Scholar]
- Baker, N.R. Chlorophyll fluorescence: A probe of photosynthesis in vivo. Annu. Rev. Plant. Biol. 2008, 59, 89–113. [Google Scholar] [CrossRef]
- Genty, B.; Briantais, J.-M.; Baker, N.R. The relationship between the quantum yield of photosynthetic electron transport and quenching of chlorophyll fluorescence. Biochim. Et Biophys. Acta 1989, 990, 87–92. [Google Scholar]
- Bilger, W.; Björkman, O. Role of the xanthophyll cycle in photoprotection elucidated by measurements of light-induced absorbance changes, fluorescence and photosynthesis in leaves of Hedera canariensis. Photosynth. Res. 1990, 25, 173–185. [Google Scholar] [CrossRef]
- Gitelson, A.A.; Gritz, Y.; Merzlyak, M.N. Relationships between leaf chlorophyll content and spectral reflectance and algorithms for non-destructive chlorophyll assessment in higher plant leaves. J. Plant. Physiol. 2003, 160, 271–282. [Google Scholar] [CrossRef]
- Gitelson, A.A.; Merzlyak, M.N.; Chivkunova, O.B. Optical properties and nondestructive estimation of anthocyanin content in plant leaves. Photochem. Photobiol. 2001, 74, 38–45. [Google Scholar] [CrossRef]
- Addinsoft. XLSTAT Statistical and Data Analysis Solution; Addinsoft: New York, NY, USA, 2020. [Google Scholar]
- Yuen, K.K. The two-sample trimmed t for unequal population variances. Biometrika 1974, 61, 165–170. [Google Scholar] [CrossRef]





| Genotype | OIV Class |
|---|---|
| Babić | 3 |
| Belina starohrvatska | 1 |
| Belina svetokriška | 5 |
| Cabernet Sauvignon | 5 |
| Chardonnay | 3 |
| Crljenak viški | 3 |
| Debit | 1 |
| Divjaka | 5 |
| Dišeća ranina | 5 |
| Grk | 1 |
| Kadarun | 5 |
| Kraljevina | 3 |
| Lasina | 1 |
| Malvasija dubrovačka | 3 |
| Malvazija istarska | 5 |
| Mladenka | 3 |
| Moslavac | 1 |
| Ninčuša | 3 |
| Plavac mali | 1 |
| Plavčina | 1 |
| Plavina | 1 |
| Pošip | 3 |
| Regent | 7 |
| Solaris | 7 |
| Škrlet | 3 |
| Teran | 5 |
| Tribidrag | 3 |
| V. riparia | 9 |
| Žlahtina | 5 |
| Žumić | 5 |
| Representative Leaf Disc | ![]() | ![]() | ![]() | ![]() | ![]() |
|---|---|---|---|---|---|
| Genotype | Plavac mali | Babić | Malvazija istarska | Solaris | V. riparia |
| OIV class | 1 | 3 | 5 | 7 | 9 |
| Surface covered with sporulation (%) | 61–100 | 41–60 | 21–40 | 1–20 | 0 |
| Number of genotypes belonging to the class | 8 | 10 | 9 | 2 | 1 |
| Distribution of evaluated genotypes (%) | 27 | 33 | 30 | 7 | 3 |
| Predicted OIV Classes | ||||||
|---|---|---|---|---|---|---|
| Variety | OIV Class by Visual Scoring | 1 | 3 | 5 | 7 | Prediction Correctness (%) |
| Plavčina | 1 | 0 | 1 | 0 | 0 | 50 |
| Plavina | 1 | 0 | 0 | 0 | ||
| Moslavac | 0 | 1 | 0 | 0 | ||
| Plavac mali | 1 | 0 | 0 | 0 | ||
| Škrlet | 3 | 0 | 1 | 0 | 0 | 50 |
| Tribidrag | 1 | 0 | 0 | 0 | ||
| Mladenka | 0 | 0 | 1 | 0 | ||
| Ninčuša | 0 | 1 | 0 | 0 | ||
| Belina svetokriška | 5 | 0 | 0 | 1 | 0 | 100 |
| Kadarun | 0 | 0 | 1 | 0 | ||
| Parameter | Parameter Explanation |
|---|---|
| Fv/Fm | Maximum quantum yield of photosystem II (PSII) electron transport (leaf discs preconditioned in the dark) |
| Fq’/Fm’ | Effective quantum yield of photosystem II (PSII) electron transport (leaf discs exposed to actinic light) |
| ETR | Electron transport rate |
| NPQ | Non-photochemical quenching (thermal energy dissipation in the PSII antennae) |
| qP | Photochemical quenching (proportion of open PSII reaction centres) |
| Hue | Indicator of colour differences (proportional to total chlorophyll content), colour appearance parameter |
| Far Red | Far-red reflectance |
| NIR | Near-infrared reflectance |
| CHI | Chlorophyll index |
| ARI | Anthocyanin reflection index |
| NDVI | Normalised difference vegetation index |
Publisher’s Note: MDPI stays neutral with regard to jurisdictional claims in published maps and institutional affiliations. |
© 2021 by the authors. Licensee MDPI, Basel, Switzerland. This article is an open access article distributed under the terms and conditions of the Creative Commons Attribution (CC BY) license (https://creativecommons.org/licenses/by/4.0/).
Share and Cite
Štambuk, P.; Šikuten, I.; Preiner, D.; Nimac, A.; Lazarević, B.; Marković, Z.; Maletić, E.; Kontić, J.K.; Tomaz, I. Screening of Croatian Native Grapevine Varieties for Susceptibility to Plasmopara viticola Using Leaf Disc Bioassay, Chlorophyll Fluorescence, and Multispectral Imaging. Plants 2021, 10, 661. https://doi.org/10.3390/plants10040661
Štambuk P, Šikuten I, Preiner D, Nimac A, Lazarević B, Marković Z, Maletić E, Kontić JK, Tomaz I. Screening of Croatian Native Grapevine Varieties for Susceptibility to Plasmopara viticola Using Leaf Disc Bioassay, Chlorophyll Fluorescence, and Multispectral Imaging. Plants. 2021; 10(4):661. https://doi.org/10.3390/plants10040661
Chicago/Turabian StyleŠtambuk, Petra, Iva Šikuten, Darko Preiner, Ana Nimac, Boris Lazarević, Zvjezdana Marković, Edi Maletić, Jasminka Karoglan Kontić, and Ivana Tomaz. 2021. "Screening of Croatian Native Grapevine Varieties for Susceptibility to Plasmopara viticola Using Leaf Disc Bioassay, Chlorophyll Fluorescence, and Multispectral Imaging" Plants 10, no. 4: 661. https://doi.org/10.3390/plants10040661
APA StyleŠtambuk, P., Šikuten, I., Preiner, D., Nimac, A., Lazarević, B., Marković, Z., Maletić, E., Kontić, J. K., & Tomaz, I. (2021). Screening of Croatian Native Grapevine Varieties for Susceptibility to Plasmopara viticola Using Leaf Disc Bioassay, Chlorophyll Fluorescence, and Multispectral Imaging. Plants, 10(4), 661. https://doi.org/10.3390/plants10040661






