Water Use Efficiency and Stress Tolerance of the Potential Energy Crop Miscanthus lutarioriparius Grown on the Loess Plateau of China
Abstract
1. Introduction
2. Results
2.1. The Variation in the Survival and Overwintering Rates of M. lutarioriparius Populations in Arid and Cold Environments
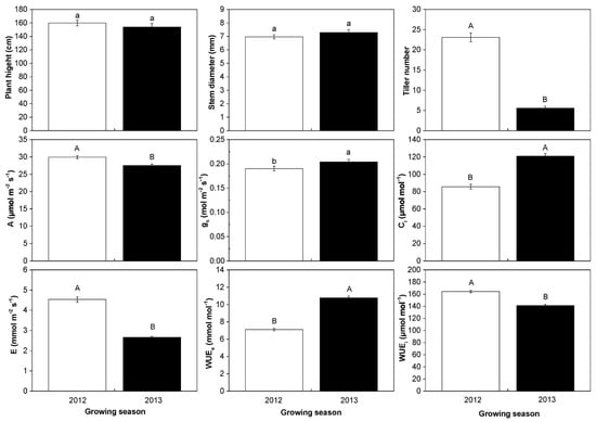
2.2. Phenotypic and Physiological Characteristics in 2012 between Survival Individuals and Dead Individuals in 2013
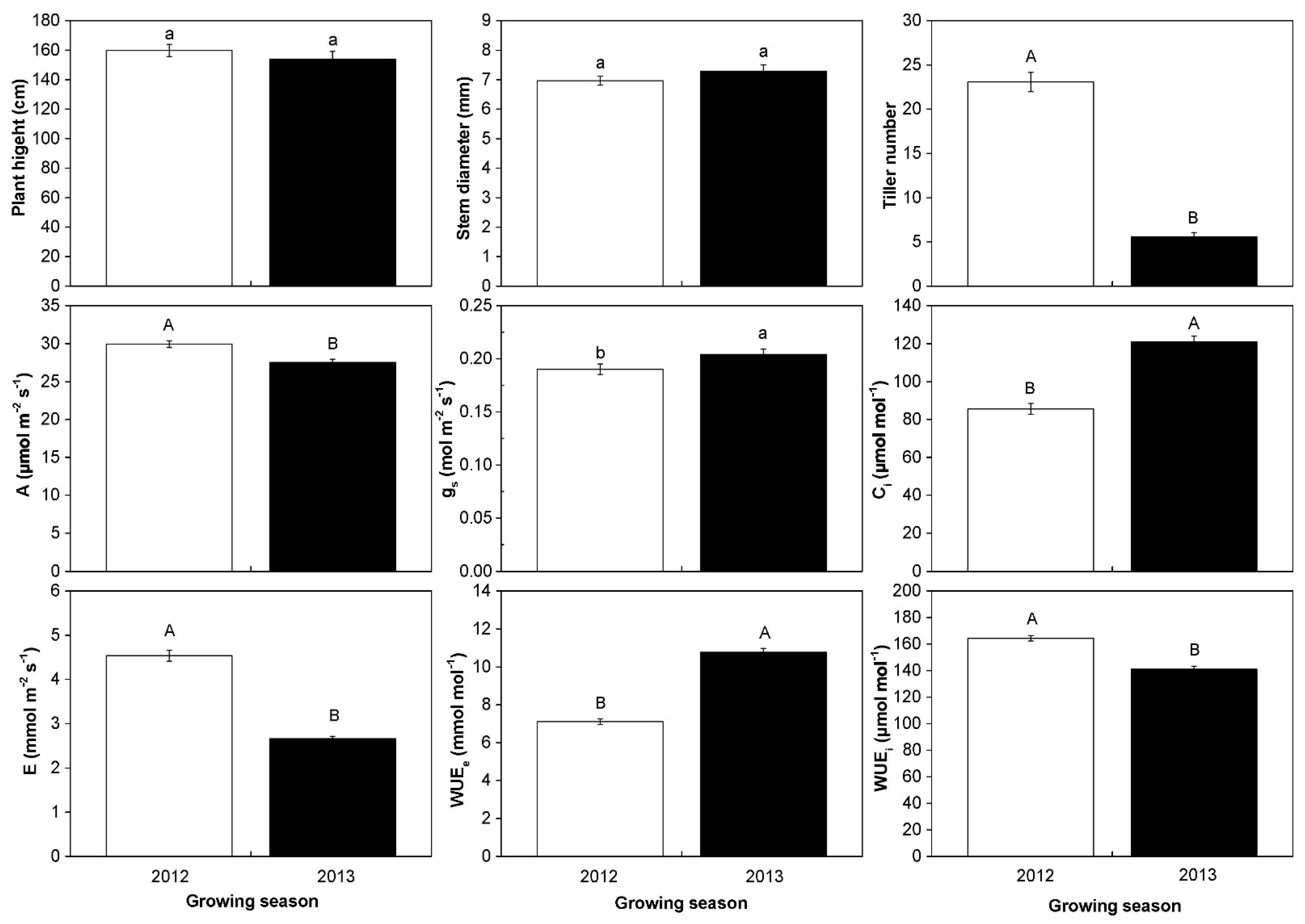
2.3. The Phenotypic and Physiological Changes of M. lutarioriparius Survived in Two Growing Seasons
2.4. Correlation Properties and Individual Classifications of Surviving M. Lutarioriparius in Arid and Cold Environments
3. Discussion
4. Materials and Methods
4.1. The Basic Situations of the Experimental Site
4.2. Plant Materials and Experiment Design
4.3. Growth Traits Measurement
4.4. Photosynthetic Parameters Measurement
4.5. Data Analysis
5. Conclusions
Supplementary Materials
Author Contributions
Funding
Institutional Review Board Statement
Informed Consent Statement
Data Availability Statement
Conflicts of Interest
References
- Cai, K.F.; Chen, X.H.; Han, Z.G.; Wu, X.J.; Zhang, S.; Li, Q.; Nazir, M.M.; Zhang, G.P.; Zeng, F.R. Screening of worldwide barley collection for drought tolerance: The assessment of various physiological measures as the selection criteria. Front. Plant Sci. 2020, 11, 16. [Google Scholar] [CrossRef]
- Malinowska, M.; Donnison, I.; Robson, P. Morphological and physiological traits that explain yield response to drought stress in Miscanthus. Agronomy 2020, 10, 1194. [Google Scholar] [CrossRef]
- Raza, A.; Razzaq, A.; Mehmood, S.S.; Zou, X.L.; Zhang, X.K.; Lv, Y.; Xu, J.S. Impact of climate change on crops adaptation and strategies to tackle its outcome: A review. Plants 2019, 8, 34. [Google Scholar] [CrossRef]
- Sambatti, J.B.M.; Caylor, K.K. When is breeding for drought tolerance optimal if drought is random? New Phytol. 2007, 175, 70–80. [Google Scholar] [CrossRef]
- Cattivelli, L.; Rizza, F.; Badeck, F.W.; Mazzucotelli, E.; Mastrangelo, A.M.; Francia, E.; Mare, C.; Tondelli, A.; Stanca, A.M. Drought tolerance improvement in crop plants: An integrated view from breeding to genomics. Field Crop Res. 2008, 105, 1–14. [Google Scholar] [CrossRef]
- Malinowska, M.; Donnison, I.S.; Robson, P.R.H. Phenomics analysis of drought responses in Miscanthus collected from different geographical locations. GCB Bioenergy 2017, 9, 78–91. [Google Scholar] [CrossRef]
- Van der Weijde, T.; Huxley, L.M.; Hawkins, S.; Sembiring, E.H.; Farrar, K.; Dolstra, O.; Visser, R.G.F.; Trindade, L.M. Impact of drought stress on growth and quality of Miscanthus for biofuel production. GCB Bioenergy 2017, 9, 770–782. [Google Scholar] [CrossRef]
- Yan, J.; Chen, W.L.; Luo, F.; Ma, H.Z.; Meng, A.P.; Li, X.W.; Zhu, M.; Li, S.S.; Zhou, H.F.; Zhu, W.X.; et al. Variability and adaptability of Miscanthus species evaluated for energy crop domestication. GCB Bioenergy 2012, 4, 49–60. [Google Scholar] [CrossRef]
- Liu, W.; Kang, L.F.; Xu, Q.; Tao, C.C.; Yan, J.; Sang, T. Increased expression diversity buffers the loss of adaptive potential caused by reduction of genetic diversity in new unfavourable environments. Biol. Lett. 2019, 15, 20180583. [Google Scholar] [CrossRef] [PubMed]
- Fang, Y.J.; Xiong, L.Z. General mechanisms of drought response and their application in drought resistance improvement in plants. Cell. Mol. Life Sci. 2015, 72, 673–689. [Google Scholar] [CrossRef] [PubMed]
- Swann, A.L.S. Plants and drought in a changing climate. Curr. Clim. Chang. Rep. 2018, 4, 192–201. [Google Scholar] [CrossRef]
- Farooq, M.; Wahid, A.; Kobayashi, N.; Fujita, D.; Basra, S.M.A. Plant drought stress: Effects, mechanisms and management. Agron. Sustain. Dev. 2009, 29, 185–212. [Google Scholar] [CrossRef]
- Liu, C.C.; He, N.P.; Zhang, J.H.; Li, Y.; Wang, Q.F.; Sack, L.; Yu, G.R. Variation of stomatal traits from cold temperate to tropical forests and association with water use efficiency. Funct. Ecol. 2018, 32, 20–28. [Google Scholar] [CrossRef]
- Djemel, A.; Alvarez-Iglesias, L.; Santiago, R.; Malvar, R.A.; Pedrol, N.; Revilla, P. Algerian maize populations from the Sahara desert as potential sources of drought tolerance. Acta Physiol. Plant 2019, 41, 12. [Google Scholar] [CrossRef]
- Lewandowski, I.; Clifton-Brown, J.; Kiesel, A.; Hastings, A.; Iqbal, Y. Miscanthus. In Perennial Grasses for Bioenergy and Bioproducts; Alexopoulou, E., Ed.; Elsevier Inc.: Attikis, Greece, 2018; pp. 35–59. [Google Scholar]
- Sacks, E.J.; Juvik, J.A.; Lin, Q.; Stewart, J.R.; Yamada, T. The gene pool of Miscanthus species and its improvement. In Genomics of the Saccharinae, 1st ed.; Paterson, A.H., Ed.; Springer: New York, NY, USA, 2013; Volume 11, pp. 73–101. [Google Scholar]
- Dong, H.X.; Clark, L.V.; Lipka, A.E.; Brummer, J.E.; Glowacka, K.; Hall, M.C.; Heo, K.; Jin, X.L.; Peng, J.H.; Yamada, T.; et al. Winter hardiness of Miscanthus (III): Genome-wide association and genomic prediction for overwintering ability in Miscanthus sinensis. GCB Bioenergy 2019, 11, 930–955. [Google Scholar]
- Dong, H.X.; Green, S.V.; Nishiwaki, A.; Yamada, T.; Stewart, J.R.; Deuter, M.; Sacks, E.J. Winter hardiness of Miscanthus (I): Overwintering ability and yield of new Miscanthus × giganteus genotypes in Illinois and Arkansas. GCB Bioenergy 2019, 11, 691–705. [Google Scholar] [CrossRef]
- Peixoto, M.D.M.; Friesen, P.C.; Sage, R.F. Winter cold-tolerance thresholds in field-grown Miscanthus hybrid rhizomes. J. Exp. Bot. 2015, 66, 4415–4425. [Google Scholar] [CrossRef] [PubMed]
- Naidu, S.L. Cold tolerance of C4 photosynthesis in Miscanthus × giganteus: Adaptation in amounts and sequence of C4 photosynthetic enzymes. Plant Physiol. 2003, 132, 1688–1697. [Google Scholar] [CrossRef]
- Clifton-Brown, J.C.; Lewandowski, I. Screening Miscanthus genotypes in field trials to optimise biomass yield and quality in Southern Germany. Eur. J. Agron. 2002, 16, 97–110. [Google Scholar] [CrossRef]
- Heaton, E.A.; Dohleman, F.G.; Long, S.P. Meeting US biofuel goals with less land: The potential of Miscanthus. Glob. Change Biol. 2008, 14, 2000–2014. [Google Scholar] [CrossRef]
- Korup, K.; Laerke, P.E.; Baadsgaard, H.; Andersen, M.N.; Kristensen, K.; Munnich, C.; Didion, T.; Jensen, E.S.; Martensson, L.M.; Jorgensen, U. Biomass production and water use efficiency in perennial grasses during and after drought stress. GCB Bioenergy 2018, 10, 12–27. [Google Scholar] [CrossRef]
- Bilska-Kos, A.; Panek, P.; Szulc-Glaz, A.; Ochodzki, P.; Cislo, A.; Zebrowski, J. Chilling-induced physiological, anatomical and biochemical responses in the leaves of Miscanthus × giganteus and maize (Zea mays L.). J. Plant Physiol. 2018, 228, 178–188. [Google Scholar] [CrossRef] [PubMed]
- Fonteyne, S.; Muylle, H.; Lootens, P.; Kerchev, P.; Van den Ende, W.; Staelens, A.; Reheul, D.; Roldan-Ruiz, I. Physiological basis of chilling tolerance and early-season growth in Miscanthus. Ann. Bot. 2018, 121, 281–295. [Google Scholar] [CrossRef] [PubMed]
- Yan, J.; Zhu, M.D.; Liu, W.; Xu, Q.; Zhu, C.Y.; Li, J.Q.; Sang, T. Genetic variation and bidirectional gene flow in the riparian plant Miscanthus lutarioriparius, across its endemic range: Implications for adaptive potential. GCB Bioenergy 2016, 8, 764–776. [Google Scholar] [CrossRef]
- Zhang, Y.W.; Wang, W.G. Observed changes of drought/wetness episodes in the middle and lower reaches of the Yangtze River, China. Appl. Mech. Mater. 2012, 212–213, 765–771. [Google Scholar] [CrossRef]
- Peng, W.; Nie, J.; Wang, Z.; Qiang, X.; Garzanti, E.; Pfaff, K.; Song, Y.; Stevens, T. A major change in precipitation gradient on the Chinese Loess Plateau at the Pliocene-Quaternary boundary. J. Asian Earth Sci. 2018, 155, S1367912017306053. [Google Scholar] [CrossRef]
- Fan, Y.Y.; Wang, Q.; Kang, L.F.; Liu, W.; Xu, Q.; Xing, S.L.; Tao, C.C.; Song, Z.H.; Zhu, C.Y.; Lin, C.; et al. Transcriptome-wide characterization of candidate genes for improving the water use efficiency of energy crops grown on semiarid land. J. Exp. Bot. 2015, 66, 6415–6429. [Google Scholar] [CrossRef]
- Yan, J.; Zhu, C.Y.; Liu, W.; Luo, F.; Mi, J.; Ren, Y.J.; Li, J.Q.; Sang, T. High photosynthetic rate and water use efficiency of Miscanthus lutarioriparius characterize an energy crop in the semiarid temperate region. GCB Bioenergy 2015, 7, 207–218. [Google Scholar] [CrossRef]
- Yan, J.; Song, Z.H.; Xu, Q.; Kang, L.F.; Zhu, C.Y.; Xing, S.L.; Liu, W.; Greimler, J.; Zust, T.; Li, J.Q.; et al. Population transcriptomic characterization of the genetic and expression variation of a candidate progenitor of Miscanthus energy crops. Mol. Ecol. 2017, 26, 5911–5922. [Google Scholar] [CrossRef] [PubMed]
- Morales, F.; Ancin, M.; Fakhet, D.; Gonzalez-Torralba, J.; Gamez, A.L.; Seminario, A.; Soba, D.; Ben Mariem, S.; Garriga, M.; Aranjuelo, I. Photosynthetic metabolism under stressful growth conditions as a bases for crop breeding and yield improvement. Plants 2020, 9, 88. [Google Scholar] [CrossRef] [PubMed]
- Mohamed, I.A.A.; Shalby, N.; Bai, C.Y.; Qin, M.; Agami, R.A.; Jie, K.; Wang, B.; Zhou, G.S. Stomatal and photosynthetic traits are associated with investigating sodium chloride tolerance of Brassica napus L. cultivars. Plants 2020, 9, 62. [Google Scholar] [CrossRef] [PubMed]
- Allwright, M.R.; Taylors, G. Molecular breeding for improved second generation bioenergy crops. Trends Plant Sci. 2016, 21, 43–54. [Google Scholar] [CrossRef] [PubMed]
- Beer, C.; Ciais, P.; Reichstein, M.; Baldocchi, D.; Law, B.E.; Papale, D.; Soussana, J.F.; Ammann, C.; Buchmann, N.; Frank, D.; et al. Temporal and among-site variability of inherent water use efficiency at the ecosystem level. Glob. Biogeoch. 2009, 23, 13. [Google Scholar] [CrossRef]
- Araus, J.L.; Slafer, G.A.; Reynolds, M.P.; Royo, C. Plant breeding and drought in C3 cereals: What should we breed for? Ann. Bot. 2002, 89, 925–940. [Google Scholar] [CrossRef] [PubMed]
- Ghannoum, O. C4 photosynthesis and water stress. Ann. Bot. 2009, 103, 635–644. [Google Scholar] [CrossRef]
- Taylor, S.H.; Franks, P.J.; Hulme, S.P.; Spriggs, E.; Christin, P.A.; Edwards, E.J.; Woodward, F.I.; Osborne, C.P. Photosynthetic pathway and ecological adaptation explain stomatal trait diversity amongst grasses. New Phytol. 2012, 193, 387–396. [Google Scholar] [CrossRef]
- McDowell, N.; Pockman, W.T.; Allen, C.D.; Breshears, D.D.; Cobb, N.; Kolb, T.; Plaut, J.; Sperry, J.; West, A.; Williams, D.G. Mechanisms of plant survival and mortality during drought: Why do some plants survive while others succumb to drought? New Phytol. 2008, 178, 719–739. [Google Scholar] [CrossRef]
- Davies, M.J.; Longbottom, H.; Atkinson, C.J. Changes in duration of rhizome cold storage and manipulation of the growing environment to promote field establishment of Miscanthus giganteus. Biomass Bioenerg. 2011, 35, 4268–4279. [Google Scholar] [CrossRef]
- Zhang, Z.; Zhao, M.; Lu, H.; Faiia, A.M. Lower temperature as the main cause of C4 plant declines during the glacial periods on the Chinese Loess Plateau. Earth Planet. Sci. Lett. 2003, 214, 467–481. [Google Scholar] [CrossRef]
- Clifton-Brown, J.; Lewandowski, I. Overwintering problems of newly established Miscanthus plantations can be overcome by identifying genotypes with improved rhizome cold tolerance. New Phytol. 2000, 148, 287–294. [Google Scholar] [CrossRef]
- Weiwei, L.U.; Xinxiao, Y.U.; Guodong, J.I.A.; Hanzhi, L.I.; Ziqiang, L.I.U. Responses of intrinsic water use efficiency and tree growth to climate change in semi-arid areas of North China. Sci. Rep. 2018, 8, 308. [Google Scholar] [CrossRef] [PubMed]
- Leakey, A.D.B. Rising atmospheric carbon dioxide concentration and the future of C4 crops for food and fuel. Proc. R. Soc. B Biol. Sci. 2009, 276, 2333–2343. [Google Scholar] [CrossRef] [PubMed]
- Zheng, H.F.; Zhang, X.; Ma, W.J.; Song, J.Y.; Rahman, S.U.; Wang, J.H.; Zhang, Y. Morphological and physiological responses to cyclic drought in two contrasting genotypes of Catalpa bungei. Environ. Exp. Bot. 2017, 138, 77–87. [Google Scholar] [CrossRef]
- Alou, I.N.; Steyn, J.M.; Annandale, J.G.; van der Laan, M. Growth, phenological, and yield response of upland rice (Oryza sativa L. cv. Nerica 4 (R)) to water stress during different growth stages. Agric. Water Manag. 2018, 198, 39–52. [Google Scholar] [CrossRef]
- Gassmann, A.J. Effect of photosynthetic efficiency and water availability on tolerance of leaf removal in Amaranthus hybridus. J. Ecol. 2004, 92, 882–892. [Google Scholar] [CrossRef]
- Monclus, R.; Dreyer, E.; Villar, M.; Delmotte, F.M.; Delay, D.; Petit, J.M.; Barbaroux, C.; Thiec, D.; Brechet, C.; Brignolas, F. Impact of drought on productivity and water use efficiency in 29 genotypes of Populus deltoides × Populus nigra. New Phytol. 2006, 169, 765–777. [Google Scholar] [CrossRef] [PubMed]
- Ma, Y.Q.; An, Y.; Shui, J.F.; Sun, Z.J. Adaptability evaluation of switchgrass (Panicum virgatum L.) cultivars on the Loess Plateau of China. Plant Sci. 2011, 181, 638–643. [Google Scholar] [CrossRef]
- Morgan, J.A.; Lecain, D.R. Leaf gas exchange and related leaf traits among 15 winter wheat genotypes. Crop Sci. 1991, 31, 443–448. [Google Scholar] [CrossRef]
- Bhagsari, A.S.; Brown, R.H. Leaf photosynthesis and its correlation with leaf area. Crop Sci. 1986, 26, 127–132. [Google Scholar] [CrossRef]
- Lecain, D.R.; Morgan, J.A.; Zerbi, G. Leaf anatomy and gas exchange in nearly isogenic semidwarf and tall winter wheat. Crop Sci. 1989, 29, 1246–1251. [Google Scholar] [CrossRef]
- Polley, H.W. Implications of atmospheric and climatic change for crop yield and water use efficiency. Crop Sci. 2002, 42, 131–140. [Google Scholar] [CrossRef] [PubMed]






| Traits | Source of Variation | df | MS | F | p |
|---|---|---|---|---|---|
| PH | Year | 1 | 1912 | 1.19 | 0.28 |
| Pop | 22 | 24,766 | 15.37 | <0.001 | |
| Year × Pop | 22 | 1862 | 1.16 | 0.29 | |
| SD | Year | 1 | 9.01 | 2.77 | 0.1 |
| Pop | 22 | 28.99 | 8.92 | <0.001 | |
| Year × Pop | 22 | 6.55 | 2.01 | 0.01 | |
| TN | Year | 1 | 24,591 | 261.13 | <0.001 |
| Pop | 22 | 324 | 3.42 | <0.001 | |
| Year × Pop | 22 | 164 | 1.74 | 0.02 | |
| A | Year | 1 | 278.1 | 11.89 | 0.001 |
| Pop | 22 | 74.88 | 3.2 | <0.001 | |
| Year × Pop | 22 | 56.23 | 2.4 | 0.001 | |
| gs | Year | 1 | 0.02 | 4.48 | 0.035 |
| Pop | 22 | 0.01 | 1.88 | 0.011 | |
| Year × Pop | 22 | 0.01 | 1.54 | 0.06 | |
| Ci | Year | 1 | 79,849.47 | 64.85 | <0.001 |
| Pop | 22 | 2722.37 | 2.21 | 0.002 | |
| Year × Pop | 22 | 1671.63 | 1.36 | 0.135 | |
| E | Year | 1 | 199.27 | 280.58 | <0.001 |
| Pop | 22 | 5.83 | 8.21 | <0.001 | |
| Year × Pop | 22 | 5.38 | 7.57 | <0.001 | |
| WUEe | Year | 1 | 833.34 | 562.32 | <0.001 |
| Pop | 22 | 26.33 | 17.77 | <0.001 | |
| Year × Pop | 22 | 23.15 | 15.62 | <0.001 | |
| WUEi | Year | 1 | 32,015.11 | 55.42 | <0.001 |
| Pop | 22 | 956.74 | 1.66 | 0.035 | |
| Year × Pop | 22 | 1053.36 | 1.82 | 0.015 |
| Traits | PH | SD | TN | A | gs | Ci | E | WUEe |
|---|---|---|---|---|---|---|---|---|
| SD | 0.74 ** | |||||||
| TN | 0.11 | 0.01 | ||||||
| A | 0.29 ** | 0.23 ** | 0.24 ** | |||||
| gs | 0.15 ** | 0.13 * | −0.01 | 0.80 ** | ||||
| Ci | −0.20 ** | −0.12 * | −0.30 ** | 0.19 ** | 0.69 ** | |||
| E | 0.09 | −0.07 | 0.49 ** | 0.52 ** | 0.39 ** | 0.05 | ||
| WUEe | 0.14 * | 0.24 ** | −0.44 ** | −0.06 | −0.02 | 0.03 | −0.80 ** | |
| WUEi | 0.06 | 0.02 | 0.26 ** | −0.35 ** | −0.80 ** | −0.97 ** | −0.14 * | −0.01 |
Publisher’s Note: MDPI stays neutral with regard to jurisdictional claims in published maps and institutional affiliations. |
© 2021 by the authors. Licensee MDPI, Basel, Switzerland. This article is an open access article distributed under the terms and conditions of the Creative Commons Attribution (CC BY) license (http://creativecommons.org/licenses/by/4.0/).
Share and Cite
Zhao, X.; Kang, L.; Wang, Q.; Lin, C.; Liu, W.; Chen, W.; Sang, T.; Yan, J. Water Use Efficiency and Stress Tolerance of the Potential Energy Crop Miscanthus lutarioriparius Grown on the Loess Plateau of China. Plants 2021, 10, 544. https://doi.org/10.3390/plants10030544
Zhao X, Kang L, Wang Q, Lin C, Liu W, Chen W, Sang T, Yan J. Water Use Efficiency and Stress Tolerance of the Potential Energy Crop Miscanthus lutarioriparius Grown on the Loess Plateau of China. Plants. 2021; 10(3):544. https://doi.org/10.3390/plants10030544
Chicago/Turabian StyleZhao, Xuhong, Lifang Kang, Qian Wang, Cong Lin, Wei Liu, Wenli Chen, Tao Sang, and Juan Yan. 2021. "Water Use Efficiency and Stress Tolerance of the Potential Energy Crop Miscanthus lutarioriparius Grown on the Loess Plateau of China" Plants 10, no. 3: 544. https://doi.org/10.3390/plants10030544
APA StyleZhao, X., Kang, L., Wang, Q., Lin, C., Liu, W., Chen, W., Sang, T., & Yan, J. (2021). Water Use Efficiency and Stress Tolerance of the Potential Energy Crop Miscanthus lutarioriparius Grown on the Loess Plateau of China. Plants, 10(3), 544. https://doi.org/10.3390/plants10030544

