Simultaneous Biochemical and Physiological Responses of the Roots and Leaves of Pancratium maritimum (Amaryllidaceae) to Mild Salt Stress
Abstract
1. Introduction
2. Results
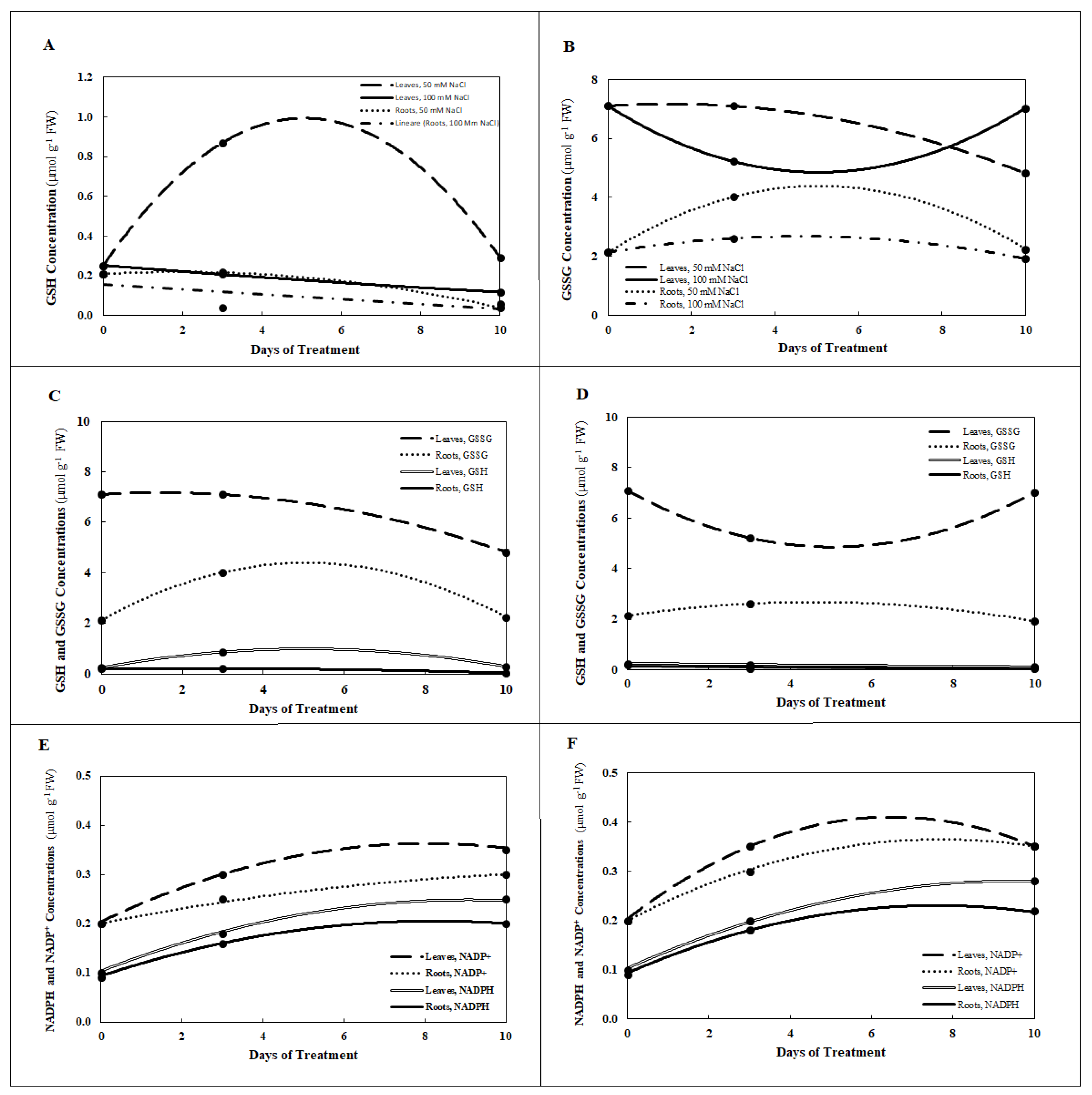
2.1. Concentrations of Pyridine Nucleotides and Glutathione
2.2. OAS-TL Activity and Concentration of Protein
2.3. Concentrations of Minerals in Leaves and Roots
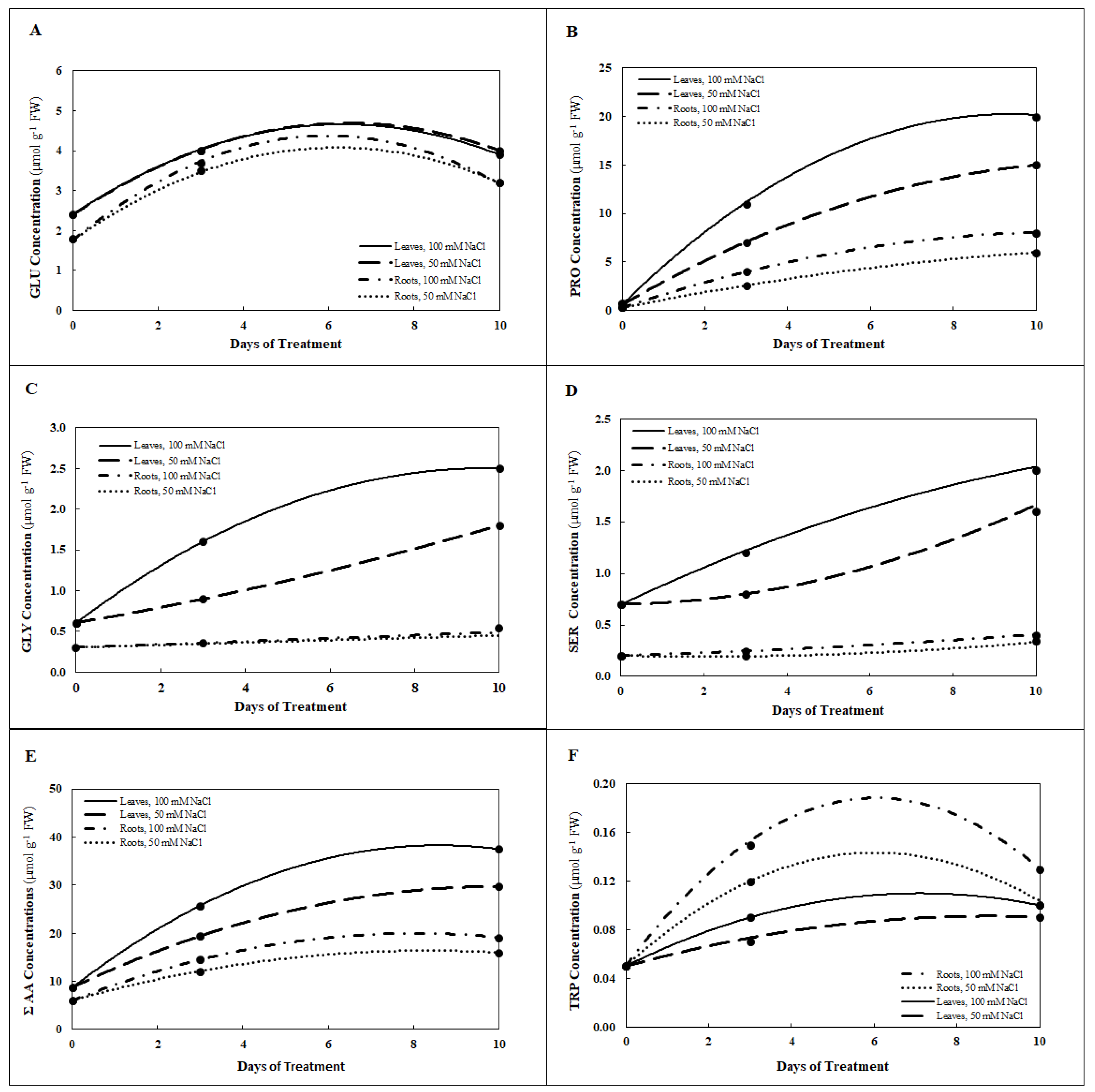
2.4. Concentrations of Free Amino Acids, Proline, and Glycine Betaine
2.5. Principal Component Analysis
3. Discussion
4. Materials and Methods
4.1. Plant Growth and Treatment
4.2. Analyses of Amino Acids, Proline, Glycine Betaine, Pyridine Nucleotides
4.3. Glutathione Determination
4.4. O-acetyl-l-serine(thiol)lyase (OAS-TL) Enzymatic Activities and Protein Determination
4.5. Plant Mineralization and Mineral Element Analysis
4.6. Statistical Analysis
4.7. Modelling of Dynamic Concentrations with Regression Analysis
5. Conclusions
Supplementary Materials
Author Contributions
Funding
Institutional Review Board Statement
Informed Consent Statement
Data Availability Statement
Conflicts of Interest
References
- Isayenkov, S.V.; Maathuis, F.J.M. Plant salinity stress: Many unanswered questions remain. Front. Plant Sci. 2019, 10, 80. [Google Scholar] [CrossRef]
- Boyer, J.S. Plant productivity and environment. Science 1982, 218, 443–448. [Google Scholar] [CrossRef]
- Owens, S. Salt of the earth. Genetic engineering may help to reclaim agricultural land lost due to salinisation. EMBO Rep. 2001, 2, 877–879. [Google Scholar] [CrossRef]
- Mishra, A.; Tanna, B. Halophytes: Potential resources for salt stress tolerance genes and promoters. Front. Plant Sci. 2017, 18, 829. [Google Scholar] [CrossRef] [PubMed]
- Flowers, T.J.; Colmer, T.D. Salinity tolerance in halophytes. N. Phytol. 2008, 179, 945–963. [Google Scholar] [CrossRef]
- Katschnig, D.; Broekman, R.; Rozema, J. Salt tolerance in the halophyte Salicornia dolichostachya Moss: Growth, morphology and physiology. Environ. Exp. Bot. 2013, 92, 32–42. [Google Scholar] [CrossRef]
- Fan, C. Genetic mechanisms of salt stress responses in halophytes. Plant Signal. Behav. 2020, 15, 1. [Google Scholar] [CrossRef] [PubMed]
- De Castro, O.; Di Maio, A.; Di Febbraro, M.; Imparato, G.; Innangi, M.; Véla, E.; Menale, B. A multi-faceted approach to analyse the effects of environmental variables on geographic range and genetic structure of a perennial psammophilous geophyte: The case of the sea daffodil Pancratium maritimum L. in the Mediterranean Basin. PLoS ONE 2016, 11, e0164816. [Google Scholar] [CrossRef]
- De Castro, O.; Innangi, M.; Menale, B. Message in a bottle: The Mediterranean Sea currents acted as protagonists in shaping the distribution of the sea daffodil (Pancratium maritimum, Amaryllidaceae). Bot. J. Linn. Soc. 2020, 194, 207–220. [Google Scholar] [CrossRef]
- Pouris, J.; Meletiou-Christou, M.S.; Chimona, C.; Rhizopoulou, S. Seasonal functional partitioning of carbohydrates and proline among plant parts of the sand daffodil. Agronomy 2020, 10, 539. [Google Scholar] [CrossRef]
- Glenn, E.P.; Brown, J.J.; Blumwald, E. Salt tolerance and crop potential of halophytes. Critical Rev. Plant Sci. 1999, 18, 227–255. [Google Scholar] [CrossRef]
- Khan, N.A.; Khan, M.I.R.; Asgher, M.; Fatma, M.; Masood, A.; Syeed, S. Salinity tolerance in plants: Revisiting the role of sulfur metabolites. J. Plant Biochem. Physiol. 2014, 2, 120. [Google Scholar]
- Manchanda, G.; Garg, N. Salinity and its effect on the functional biology of legumes. Acta Physiol. Plant. 2008, 30, 595–618. [Google Scholar] [CrossRef]
- Nazar, R.; Iqbal, N.; Syeed, S.; Khan, N.A. Salicylic acid alleviates decreases in photosynthesis under salt stress by enhancing nitrogen and sulfur assimilation and antioxidant metabolism differentially in two mungbean cultivars. J. Plant Physiol. 2011, 168, 807–815. [Google Scholar] [CrossRef]
- Leustek, T. Sulfate metabolism. Arab. Book 2002, 1, e0017. [Google Scholar] [CrossRef]
- Salbitani, G.; Vona, V.; Bottone, C.; Petriccione, M.; Carfagna, S. Sulfur deprivation results in oxidative perturbation in Chlorella sorokiniana (211/8k). Plant Cell Physiol. 2015, 56, 897–905. [Google Scholar] [CrossRef] [PubMed]
- Carfagna, S.; Bottone, C.; Cataletto, P.R.; Petriccione, M.; Pinto, G.; Salbitani, G.; Vona, V.; Pollio, A.; Ciniglia, C. Impact of sulfur starvation in autotrophic and heterotrophic cultures of the Extremophilic Microalga Galdieria phlegrea (Cyanidiophyceae). Plant Cell Physiol. 2016, 57, 1890–1898. [Google Scholar] [CrossRef]
- Cao, M.J.; Wang, Z.; Zhao, Q.; Mao, J.L.; Speiser, A.; Wirtz, M.; Hell, R.; Zhu, J.K.; Xiang, C.B. Sulfate availability affects ABA levels and germination response to ABA and salt stress in Arabidopsis thaliana. Plant J. 2014, 77, 604–615. [Google Scholar] [CrossRef] [PubMed]
- Fediuc, E.; Lips, S.H.; Erdei, L. O-acetylserine(thiol)lyase activity in Phragmites and Typha plants under cadmium and NaCl stress conditions and the involvement of ABA in the stress response. J. Plant Physiol. 2005, 162, 865–872. [Google Scholar] [CrossRef]
- Carfagna, S.; Vona, V.; Di Martino, V.; Esposito, S.; Rigano, C. Nitrogen assimilation and cysteine biosynthesis in barley: Evidence for root sulphur assimilation upon recovery from N deprivation. Environ. Exp. Bot. 2011, 71, 18–24. [Google Scholar] [CrossRef]
- Speiser, A.; Haberland, S.; Watanabe, M.; Wirtz, M.; Dietz, K.J.; Saito, K.; Hell, R. The significance of cysteine synthesis for acclimation to high light conditions. Front. Plant Sci. 2015, 5, 776. [Google Scholar] [CrossRef]
- Dumanović, J.; Nepovimova, E.; Natić, M.; Kuča, K.; Jaćevic, V. The significance of reactive oxygen species and antioxidant defense system in plants: A concise overview. Front. Plant Sci. 2021, 11, 552969. [Google Scholar] [CrossRef] [PubMed]
- Ma, B.; Suo, Y.; Zhang, J.; Xing, N.; Gao, Z.; Lin, X.; Zheng, L.; Wang, Y. Glutaredoxin like protein (RtGRL1) regulates H2O2 and Na+ accumulation by maintaining the glutathione pool during abiotic stress. Plant Physiol. Biochem. 2021, 159, 135–147. [Google Scholar] [CrossRef]
- Schaedle, M.; Bassham, J.A. Chloroplast glutathione reductase. Plant Physiol. 1977, 59, 1011–1012. [Google Scholar] [CrossRef]
- Connell, J.P.; Mullet, J.E. Pea chloroplast glutathione reductase: Purification and characterization. Plant Physiol. 1986, 82, 351–356. [Google Scholar] [CrossRef] [PubMed]
- Chen, Y.P.; Xing, L.P.; Wu, G.J.; Wang, H.Z.; Wang, X.E.; Cao, A.Z.; Chen, P.D. Plastidial glutathione reductase from Haynaldia villosa is an enhancer of powdery mildew resistance in wheat (Triticum aestivum). Plant Cell Physiol. 2007, 48, 1702–1712. [Google Scholar]
- Carfagna, S.; Vona, V.; Salbitani, G.; Sorbo, S.; Lanza, N.; Conte, B.; Di Martino-Rigano, V.; Castaldo-Cobianchi, R.; Golia, B.; Basile, A. Cysteine synthesis in Scorpiurum circinatum as a suitable biomarker in air pollution monitoring. Int. J. Environ. Health 2011, 5, 93–105. [Google Scholar] [CrossRef]
- Salbitani, G.; Hell, R.; Wirtz, M.; Carfagna, S. Affinity purification of O-acetylserine(thiol)lyase from Chlorella sorokiniana by recombinant proteins from Arabidopsis thaliana. Metabolites 2014, 4, 629–639. [Google Scholar] [CrossRef]
- De Castro, O.; Innangi, M.; Menale, B.; Carfagna, S. O-acetylserine(thio)lyase (OAS-TL) molecular expression in Pancratium maritimum L. (Amaryllidaceae) under salt stress. Planta 2018, 247, 773–777. [Google Scholar] [CrossRef] [PubMed]
- Mittler, R. Oxidative stress, antioxidants and stress tolerance. Trends Plant Sci. 2002, 7, 405–410. [Google Scholar] [CrossRef]
- Doganlar, Z.B.; Demir, K.; Basak, H.; Gul, I. Effects of salt stress on pigment and total soluble protein contents of three different tomato cultivars. Afr. J. Agric. Res. 2010, 5, 2056–2065. [Google Scholar]
- Morant-Avice, A.; Pradier, E.; Houchi, R. Osmotic adjustment in triticales grown in presence of NaCl. Biol. Plant. 1998, 41, 227–234. [Google Scholar] [CrossRef]
- Wu, H.; Zhang, X.; Giraldo, J.P.; Sergey, S. It is not all about sodium: Revealing tissue specificity and signalling roles of potassium in plant responses to salt stress. Plant Soil 2018, 431, 1–17. [Google Scholar] [CrossRef]
- Rozov, A.; Khusainov, I.; El Omari, K.; Duman, R.; Mykhaylyk, V.; Yusupov, M.; Westhof, E.; Wagner, A.; Yusupova, G. Importance of potassium ions for ribosome structure and function revealed by long-wavelength X-ray diffraction. Nat. Commun. 2019, 10, 2519. [Google Scholar] [CrossRef]
- Di Martino, C.; Delfine, S.; Pizzuto, R.; Loreto, F.; Fuggi, A. Free amino acids and glycine betaine in leaf osmoregulation of spinach responding to increasing salt stress. New Phyt. 2003, 158, 455–463. [Google Scholar] [CrossRef]
- Loupassaki, M.H.; Chartzoulakis, K.S.; Digalaki, N.B.; Androulakis, I.I. Effects of salt stress on concentration of nitrogen, Phosphorus Potassium, Calcium, Magnesium and sodium in leaves, shoots and roots of six olive cultivars. J. Plant Nut. 2002, 25, 2457–2482. [Google Scholar] [CrossRef]
- Wallace, A.; Mueller, R.T. Calcium uptake and distribution in plants. J. Plant Nut. 1980, 2, 247–256. [Google Scholar] [CrossRef]
- Sonnevelt, C.; van den Ende, J. The effects of some salts on head weight and tipburn of lettuce and on fruit production and blossom end rot of tomatoes. Neth. J. Agric. Sci. 1975, 23, 192–201. [Google Scholar]
- Munns, R.; Tester, M. Mechanisms of salinity tolerance. Annu. Rev. Plant Biol. 2008, 59, 651–681. [Google Scholar] [CrossRef] [PubMed]
- Tavakkoli, E.; Fatehi, F.; Coventry, S.; Rengasamy, P.; McDonald, G. Additive effects of Na+ and Cl– ions on barley growth under salinity stress. J. Exp. Bot. 2011, 62, 2189–2203. [Google Scholar] [CrossRef]
- Dhaliwal, S.; Naresh, R.K.; Mandal, A.; Singh, R.; Dhaliwal, M.K. Dynamics and transformations of micronutrients in agricultural soils as influenced by organic matter build-up: A review. Environ. Sustain. Indic. 2019, 1, 100007. [Google Scholar] [CrossRef]
- Curie, C.; Briat, J.F. Iron transport and signaling in plants. Annu. Rev. Plant Biol. 2003, 54, 183–206. [Google Scholar] [CrossRef]
- Babaeian, M.; Esmaeilian, Y.; Tavassoli, A.; Asgharzade, A.; Sadeghi, M. The effects of water stress, manure and chemical fertilizer on grain yield and grain nutrient content in barley. SRE 2011, 6, 3697–3701. [Google Scholar]
- Tanveer, M.; Ahmed, H.A.I. ROS signalling in modulating salinity stress tolerance in plants. In Salt and Drought Stress Tolerance in Plants—Signaling and Communication in Plants; Hasanuzzaman, M., Tanveer, M., Eds.; Springer: Cham, Switzerland, 2020. [Google Scholar]
- Ribba, T.; Garrido-Vargas, F.; O’Brien, J.A. Auxin-mediated responses under salt stress: From developmental regulation to biotechnological applications. J. Exp. Bot. 2020, 71, 3843–3853. [Google Scholar] [CrossRef] [PubMed]
- Verbruggen, N.; Hermans, C. Proline accumulation in plants: A review. Amino Acids 2008, 35, 753–759. [Google Scholar] [CrossRef]
- Ashraf, M.; Harris, P.J.C. Potential biochemical indicators of salinity tolerance in plants. Plant Sci. 2004, 166, 3–16. [Google Scholar] [CrossRef]
- Verslues, P.E.; Sharma, S. Proline metabolism and its implications for plant-environment interaction. Arab. Book 2010, 8, e0140. [Google Scholar] [CrossRef]
- Carfagna, S.; Salbitani, G.; Vona, V.; Esposito, S. Changes in cysteine and O-acetyl-L-serine levels in the microalga Chlorella sorokiniana in response to the S-nutritional status. J. Plant Physiol. 2011, 168, 2188–2195. [Google Scholar] [CrossRef]
- Hoagland, D.R.; Arnon, D.I. The water-culture method for growing plants without soil. Calif. Agric. Exp. Stn. Circ. 1950, 347, 1–32. [Google Scholar]
- Di Martino, C.; Pallotta, M.L. Mitochondria-localized NAD biosynthesis by nicotinamide mononucleotide adenylyltransferase in Jerusalem artichoke (Helianthus tuberosus L.) heterotrophic tissues. Planta 2011, 234, 657–670. [Google Scholar] [CrossRef]
- Bradford, M.M. Rapid and sensitive method for the quantitation of microgram quantities of protein utilizing the principle of protein-dye binding. Anal. Biochem. 1976, 72, 248–254. [Google Scholar] [CrossRef]








| Control | 50 mM | NaCl | 100 mM | NaCl | |
|---|---|---|---|---|---|
| Days | 0 | 3 | 10 | 3 | 10 |
| Roots (µmol g−1FW) | |||||
| NADP+ | 0.20 ± 0.03Aa | 0.25 ± 0.04Aa | 0.30 ± 0.04Aa | 0.30 ± 0.03Aa | 0.35 ± 0.04Aa |
| NADPH | 0.09 ± 0.03Aa | 0.16 ± 0.03Bb | 0.20 ± 0.03Bb | 0.18 ± 0.02Bb | 0.22 ± 0.04Bb |
| NAD+ | 0.40 ± 0.03Aa | 0.55 ± 0.04Ab | 0.60 ± 0.04Ab | 0.55 ± 0.04Ab | 0.65 ± 0.04Ab |
| NADH | 0.15 ± 0.02Aa | 0.30 ± 0.03Bb | 0.40 ± 0.03Bb | 0.32 ± 0.03Bb | 0.50 ± 0.04Bc |
| Leaves (µmol g−1FW) | |||||
| NADP+ | 0.20 ± 0.03Aa | 0.30 ± 0.03Ab | 0.35 ± 0.02Ab | 0.35 ± 0.03Ab | 0.35 ± 0.02Ab |
| NADPH | 0.10 ± 0.03Aa | 0.18 ± 0.03Ab | 0.25 ± 0.003Ac | 0.20 ± 0.02Ab | 0.28 ± 0.03Ac |
| NAD+ | 0.40 ± 0.06Aa | 0.60 ± 0.03Ab | 0.55 ± 0.03Ab | 0.50 ± 0.02Ab | 0.50 ± 0.03Ab |
| NADH | 0.18 ± 0.03Aa | 0.40 ± 0.02Ab | 0.35 ± 0.03Ab | 0.38 ± 0.03Ab | 0.42 ± 0.03Ab |
| Ca | Na | K | Mg | Cu | Zn | Fe | Mn | |
|---|---|---|---|---|---|---|---|---|
| Roots (µmol g−1DW) | ||||||||
| Control | 50 ± 4Bb | 240 ± 15Dd | 400 ± 25Aa | 165 ± 11Aa | 0.95 ± 0.06Cc | 2.50 ± 0.2Cc | 25 ± 3Cc | 6.5 ± 0.5Bb |
| 50 mM 3d | 45 ± 5Bb | 380 ± 10Ee | 350 ± 28Ab | 150 ± 11Aa | 0.90 ± 0.04Cc | 2.80 ± 0.3Cc | 22 ± 2Cc | 7.1 ± 0.6Bb |
| 50 mM 10 d | 45 ± 6Bb | 510 ± 18Ff | 300 ± 32Ab | 135 ± 11Ab | 0.85 ± 0.05Cc | 3.00 ± 0.2Cc | 20 ± 2Cc | 7.6 ± 0.7Bb |
| 100 mM 3 d | 40 ± 6Bb | 524 ± 19Gg | 280 ± 29Ab | 130 ± 7Ab | 0.88 ± 0.04Cc | 3.10 ± 0.2Cc | 21 ± 2Cc | 7.5 ± 0.8Bb |
| 100 mM 10d | 29 ± 4Cc | 890 ± 28Hh | 170 ± 21Cc | 110 ± 8Ab | 0.65 ± 0.06D | 3.50 ± 0.3Cd | 17 ± 1Cd | 8.5 ± 0.7Bc |
| Leaves (µmol g−1DW) | ||||||||
| Control | 130 ± 6Aa | 47 ± 5Aa | 450 ± 28Aa | 182 ± 20Aa | 0.45 ± 0.07Aa | 0.84 ± 0.05Aa | 90 ± 5Aa | 2.5 ± 0.2Aa |
| 50 mM 3 d | 120 ± 4Aa | 63 ± 6Bb | 430 ± 25Aa | 175 ± 18Aa | 0.40 ± 0.03Aa | 0.90 ± 0.05Aa | 85 ± 4Aa | 2.7 ± 0.2Aa |
| 50 mM 10d | 100 ± 4Ab | 80 ± 7Bb | 420 ± 25Aa | 155 ± 17Aa | 0.35 ± 0.04Ab | 0.96 ± 0.05Aa | 80 ± 7Aa | 3.0 ± 0.3Aa |
| 100 mM 3d | 110 ± 6Aa | 75 ± 5Bb | 425 ± 31Aa | 160 ± 11Aa | 0.40 ± 0.04Aa | 0.98 ± 0.05Aa | 80 ± 8Aa | 3.2 ± 0.3Aa |
| 100 mM 10d | 90 ± 4Ab | 110 ± 6Cc | 400 ± 35Aa | 130 ± 11Ab | 0.30 ± 0.04Ab | 1.30 ± 0.05Bc | 70 ± 7Ab | 3.5 ± 0.3Ab |
| Control | 50 mM NaCl | 100 mM NaCl | |||
|---|---|---|---|---|---|
| Days | 0 | 3 | 10 | 3 | 10 |
| Roots (µmol g−1 FW) | |||||
| Glycine | 0.30 ± 0.03Aa | 0.35 ± 0.03Aa | 0.45 ± 0.03Ab | 0.35 ± 0.02Aa | 0.50 ± 0.05Ab |
| Serine | 0.20 ± 0.03Aa | 0.20 ± 0.03Aa | 0.35 ± 0.03Ab | 0.25 ± 0.05Aa | 0.40 ± 0.05Ab |
| Aspartate | 1.00 ± 0.30Aa | 1.50 ± 0.30Aa | 1.50 ± 0.40Aa | 1.40 ± 0.40Aa | 1.70 ± 0.40Aa |
| Glutamate | 1.80 ± 0.40Aa | 3.50 ± 0.50Ab | 3.20 ± 0.30Ab | 3.70 ± 0.50Ab | 3.20 ± 0.40Ab |
| Asparagine | 0.25 ± 0.06Aa | 0.50 ± 0.07Ab | 0.50 ± 0.06Ab | 0.50 ± 0.07Ab | 0.70 ± 0.07Ac |
| Treonine | 0.04 ± 0.005Aa | 0.08 ± 0.01Ab | 0.07 ± 0.01Ab | 0.10 ± 0.02Ab | 0.10 ± 0.02Ab |
| Arginine | 0.40 ± 0.08Aa | 0.60 ± 0.10Ab | 0.60 ± 0.07Ab | 0.50 ± 0.08Aa | 0.60 ± 0.10Ab |
| Glutamine | 1.00 ± 0.20Aa | 2.00 ± 0.20Ab | 2.20 ± 0.30Ab | 2.50 ± 0.40Ab | 2.40 ± 0.60Ab |
| Alanine | 0.30 ± 0.05Aa | 0.50 ± 0.06Ab | 0.60 ± 0.10Ab | 0.80 ± 0.09Ab | 0.80 ± 0.10Ab |
| Tryptophan | 0.05 ± 0.01Aa | 0.12 ± 0.01Ab | 0.10 ± 0.01Ab | 0.15 ± 0.02Ab | 0.13 ± 0.02Ab |
| Valine | 0.04 ± 0.01Aa | 0.07 ± 0.01Ab | 0.08 ± 0.01Ab | 0.10 ± 0.02Ab | 0.10 ± 0.02Ab |
| Isoleucine | 0.02 ± 0.004Aa | 0.05 ± 0.01Ab | 0.07 ± 0.01Ab | 0.07 ± 0.01Ab | 0.08 ± 0.01Ab |
| Leucine | 0.04 ± 0.01Aa | 0.08 ± 0.01Ab | 0.08 ± 0.01Ab | 0.10 ± 0.02Ab | 0.09 ± 0.02Ab |
| Lysine | 0.05 ± 0.01Aa | 0.09 ± 0.03Ab | 0.08 ± 0.02Ab | 0.10 ± 0.02Ab | 0.10 ± 0.02Ab |
| Citrulline | 0.20 ± 0.04Aa | 0.25 ± 0.03Aa | 0.20 ± 0.03Aa | 0.35 ± 0.02Aa | 0.25 ± 0.02Aa |
| Proline | 0.30 ± 0.05Aa | 2.60 ± 0.40Bb | 6.00 ± 1.00Cc | 4.00 ± 0.70Bb | 8.00 ± 0.60Cc |
| Σ AA | 5.99 ± 0.70Aa | 12.4 ± 1.50Bb | 16.0 ± 0.80Bc | 14.6 ± 1.20Bc | 19.0 ± 1.50Bd |
| Glycine betaine | 1.00 ± 0.17Aa | 1.00 ± 0.02Aa | 4.00 ± 0.7Bb | 1.30 ± 0.30Aa | 6.00 ± 0.70Bc |
| Leaves (µmol g−1 FW) | |||||
| Glycine | 0.60 ± 0.06Aa | 0.90 ± 0.08Bb | 1.80 ± 0.40Cc | 1.60 ± 0.30Cc | 2.50 ± 0.30Dd |
| Serine | 0.70 ± 0.10Aa | 0.80 ± 0.1.0Aa | 1.60 ± 0.30Bb | 1.20 ± 0.20Bb | 2.00 ± 0.30Cc |
| Aspartate | 0.80 ± 0.20Aa | 1.00 ± 0.04Aa | 1.00 ± 0.08Aa | 1.30 ± 0.05Aa | 1.20 ± 0.03Aa |
| Glutamate | 2.40 ± 0.30Aa | 4.00 ± 0.70Bb | 4.00 ± 1.00Bb | 4.50 ± 0.20Bb | 4.00 ± 0.90Bb |
| Asparagine | 0.45 ± 0.03Aa | 0.60 ± 0.10Ab | 0.65 ± 0.02Ab | 0.65 ± 0.02Ab | 0.65 ± 0.03Ab |
| Treonine | 0.05 ± 0.01Aa | 0.07 ± 0.01Aa | 0.08 ± 0.02Aa | 0.09 ± 0.02Aa | 0.10 ± 0.02Aa |
| Arginine | 0.60 ± 0.10Aa | 0.90 ± 0.10Ab | 1.00 ± 0.20Ab | 0.80 ± 0.10Ab | 1.10 ± 0.10Ab |
| Glutamine | 1.50 ± 0.25Aa | 3.00 ± 0.70Bb | 2.80 ± 0.20Bb | 3.20 ± 0.33Bb | 3.00 ± 0.20Bb |
| Alanine | 0.50 ± 0.08Aa | 0.70 ± 0.08Aa | 0.90 ± 0.10Aa | 0.90 ± 0.20Aa | 1.20 ± 0.30Aa |
| Tryptophan | 0.05 ± 0.01Aa | 0.07 ± 0.02Aa | 0.09 ± 0.01Aa | 0.09 ± 0.01Aa | 0.10 ± 0.02Aa |
| Valine | 0.04 ± 0.01Aa | 0.07 ± 0.01Ab | 0.08 ± 0.01Ab | 0.07 ± 0.01Aa | 0.07 ± 0.01Ab |
| Isoleucine | 0.04 ± 0.01Aa | 0.07 ± 0.02Ab | 0.08 ± 0.08Ab | 0.07 ± 0.07Ab | 0.09 ± 0.01Ab |
| Leucine | 0.05 ± 0.01Aa | 0.08 ± 0.02Aa | 0.07 ± 0.01Aa | 0.09 ± 0.01Aa | 0.06 ± 0.01Ab |
| Lysine | 0.06 ± 0.01Aa | 0.10 ± 0.02Ab | 0.12 ± 0.01Ab | 0.12 ± 0.01Ab | 0.14 ± 0.01Ab |
| Citrulline | 0.20 ± 0.05Aa | 0.35 ± 0.03Ab | 0.45 ± 0.05Ab | 0.30 ± 0.05Ab | 0.40 ± 0.06Ab |
| Proline | 0.70 ± 0.10Aa | 7.00 ± 0.8Bb | 15.0 ± 0.80Cc | 11.0 ± 1.50Bd | 20.0 ± 2.00De |
| Σ AA | 8.70 ± 0.70Aa | 19.4 ± 1.40Bb | 29.7 ± 1.90Cc | 25.7 ± 1.60Cd | 37.5 ± 1.70De |
| Glycine betaine | 1.50 ± 0.20Aa | 1.70 ± 0.10Aa | 5.00 ± 0.80Ab | 1.60 ± 0.05Aa | 6.50 ± 1.00Ab |
Publisher’s Note: MDPI stays neutral with regard to jurisdictional claims in published maps and institutional affiliations. |
© 2021 by the authors. Licensee MDPI, Basel, Switzerland. This article is an open access article distributed under the terms and conditions of the Creative Commons Attribution (CC BY) license (http://creativecommons.org/licenses/by/4.0/).
Share and Cite
Carfagna, S.; Salbitani, G.; Innangi, M.; Menale, B.; De Castro, O.; Di Martino, C.; Crawford, T.W., Jr. Simultaneous Biochemical and Physiological Responses of the Roots and Leaves of Pancratium maritimum (Amaryllidaceae) to Mild Salt Stress. Plants 2021, 10, 345. https://doi.org/10.3390/plants10020345
Carfagna S, Salbitani G, Innangi M, Menale B, De Castro O, Di Martino C, Crawford TW Jr. Simultaneous Biochemical and Physiological Responses of the Roots and Leaves of Pancratium maritimum (Amaryllidaceae) to Mild Salt Stress. Plants. 2021; 10(2):345. https://doi.org/10.3390/plants10020345
Chicago/Turabian StyleCarfagna, Simona, Giovanna Salbitani, Michele Innangi, Bruno Menale, Olga De Castro, Catello Di Martino, and Thomas W. Crawford, Jr. 2021. "Simultaneous Biochemical and Physiological Responses of the Roots and Leaves of Pancratium maritimum (Amaryllidaceae) to Mild Salt Stress" Plants 10, no. 2: 345. https://doi.org/10.3390/plants10020345
APA StyleCarfagna, S., Salbitani, G., Innangi, M., Menale, B., De Castro, O., Di Martino, C., & Crawford, T. W., Jr. (2021). Simultaneous Biochemical and Physiological Responses of the Roots and Leaves of Pancratium maritimum (Amaryllidaceae) to Mild Salt Stress. Plants, 10(2), 345. https://doi.org/10.3390/plants10020345

