Monoterpene Enrichments Have Positive Impacts on Soil Bacterial Communities and the Potential of Application in Bioremediation
Abstract
:1. Introduction
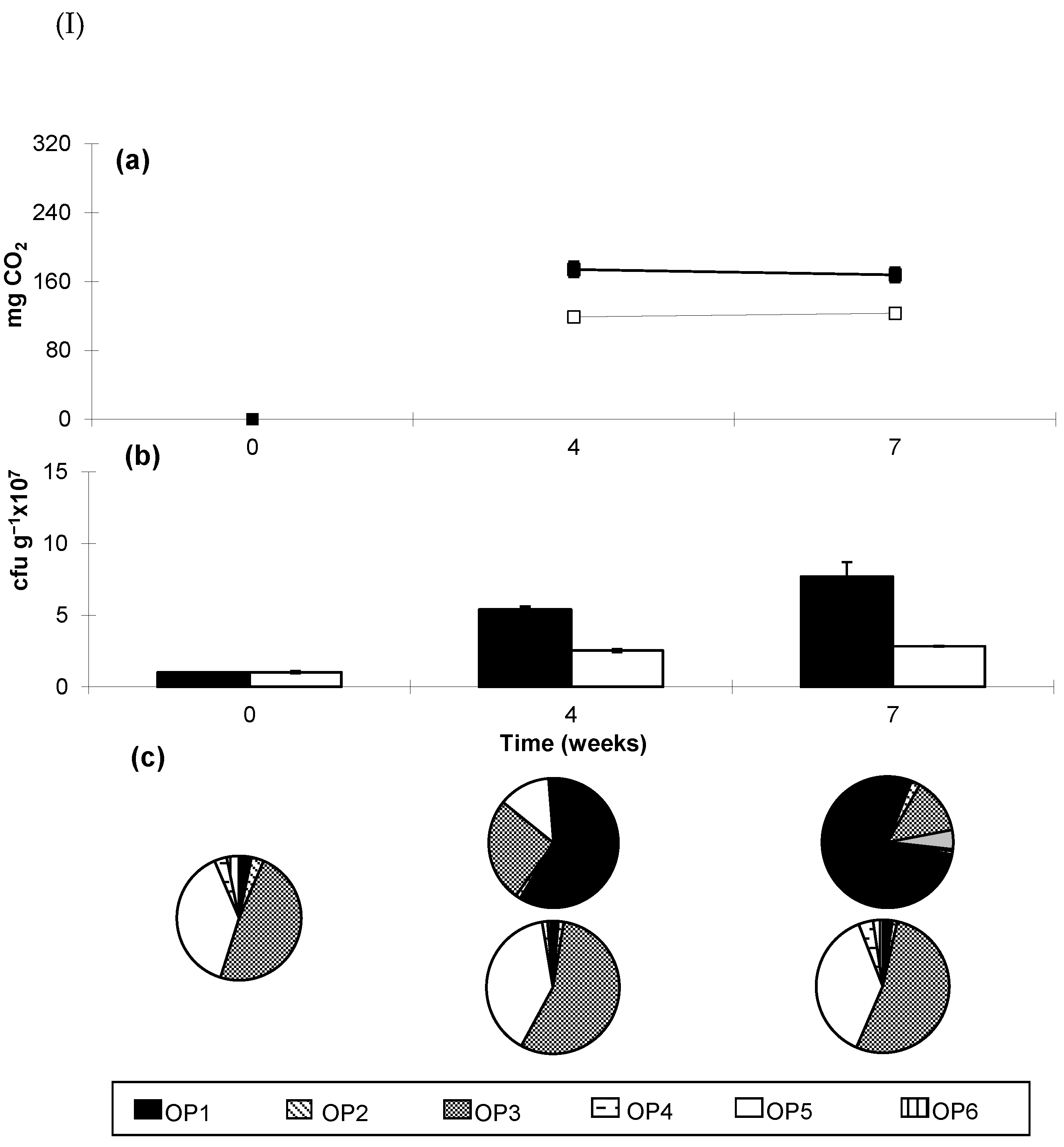
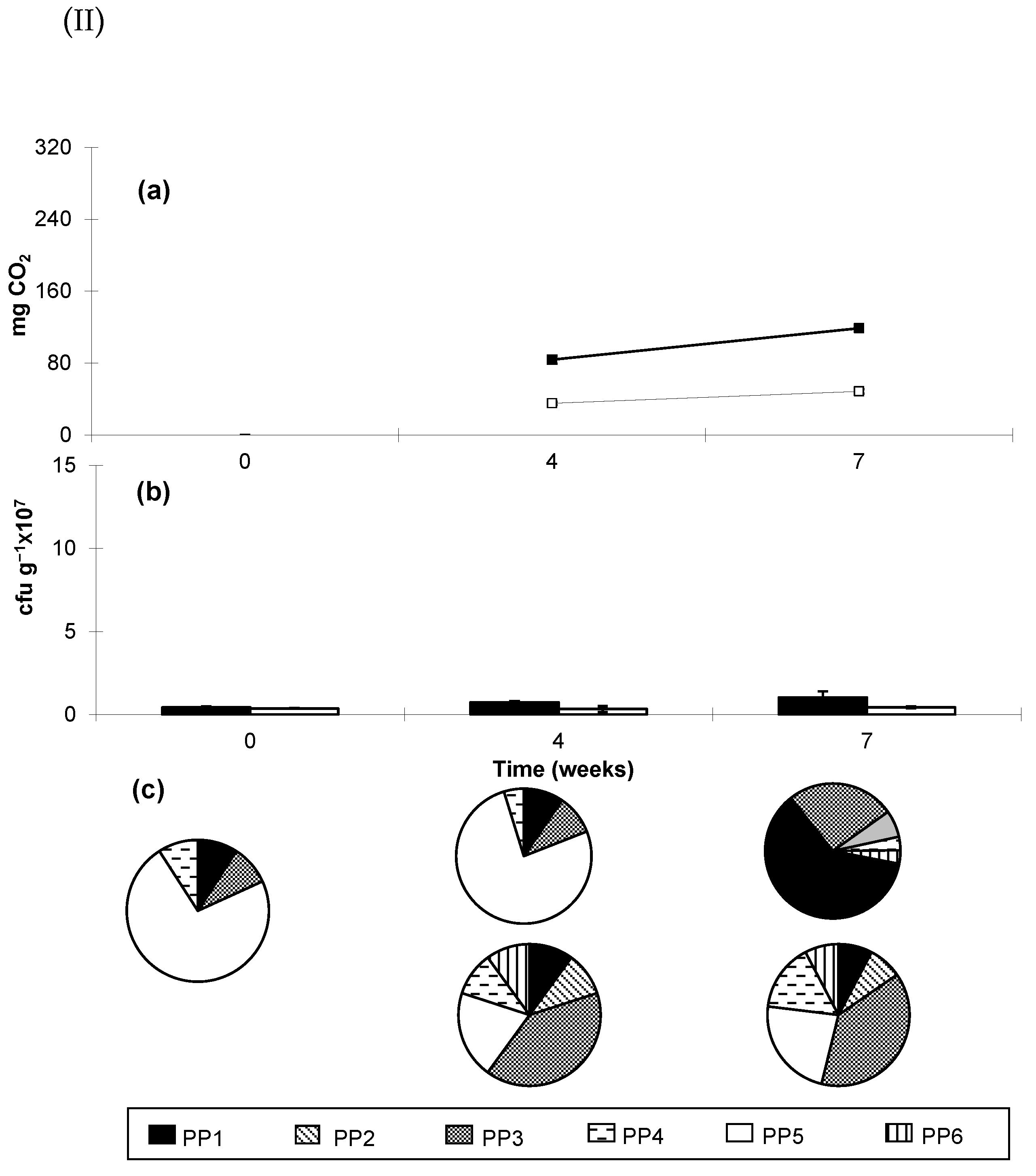
2. Results
3. Discussion
4. Materials and Methods
4.1. Soil Samples
4.2. Carbon and Nitrogen Analyses
4.3. Essential Oil Constituents
4.4. Experimental Design and Conditions
4.4.1. Soil Respiration
4.4.2. Abundance of the Culturable Part of the Soil Bacterial Community
4.4.3. Structural Features of the Soil Bacterial Community (Relative Participation of the Main Culturable Strains)
4.4.4. Resistance to Essential Oil Constituents
4.4.5. Utilization of Essential Oil Constituents as Substrates of Growth
4.5. Utilization of Organic Pollutants as Substrates of Growth
4.6. Data Analysis
5. Conclusions
Supplementary Materials
Author Contributions
Funding
Institutional Review Board Statement
Informed Consent Statement
Data Availability Statement
Acknowledgments
Conflicts of Interest
References
- Torsvik, V.; Øvreås, L. Microbial diversity and function in soil: From genes to ecosystems. Curr. Opin. Microbiol. 2002, 5, 240–245. [Google Scholar] [CrossRef]
- Fierer, N.; Jackson, R.B. The diversity and biogeography of soil bacterial communities. Proc. Natl. Acad. Sci. USA 2006, 103, 626–631. [Google Scholar] [CrossRef] [PubMed] [Green Version]
- Horner-Devine, M.C.; Carney, K.M.; Bohannan, J.M. An ecological perspective on bacterial biodiversity. Proc. R. Soc. Lond. B 2004, 271, 113–122. [Google Scholar] [CrossRef] [PubMed] [Green Version]
- Rodrigues, J.L.M.; Pellizari, V.H.; Mueller, R.; Baek, K.; da C. Jesus, E.; Paula, F.S.; Mirza, B.; Hamaoui, G.S.; Tsai, S.M.; Feigl, B.; et al. Conversion of the Amazon rainforest to agriculture results in biotic homogenization of soil bacterial communities. Proc. Natl. Acad. Sci. USA 2012, 110, 988–993. [Google Scholar] [CrossRef] [Green Version]
- Hermans, S.M.; Buckley, H.L.; Case, B.S.; Curran-Cournane, F.; Taylor, M.; Lear, G. Bacteria as emerging indicators of soil condition. Appl. Environ. Microbiol. 2017, 83, e02826-16. [Google Scholar] [CrossRef] [Green Version]
- Van Der Heijden, M.G.A.; Bardgett, R.D.; Van Straalen, N.M. The unseen majority: Soil microbes as drivers of plant diversity and productivity in terrestrial ecosystems. Ecol. Lett. 2008, 11, 296–310. [Google Scholar] [CrossRef]
- Pérez-Valera, E.; Goberna, M.; Verdú, M. Fire modulates ecosystem functioning through the phylogenetic structure of soil bacterial communities. Soil Biol. Biochem. 2019, 129, 80–89. [Google Scholar] [CrossRef] [Green Version]
- Rashid, M.I.; Mujawar, L.H.; Shahzad, T.; Almeelbi, T.; Ismail, I.M.I.; Oves, M. Bacteria and fungi can contribute to nutrients bioavailability and aggregate formation in degraded soils. Microbiol. Res. 2016, 183, 26–41. [Google Scholar] [CrossRef]
- Rodríguez, H.; Fraga, R. Phosphate solubilizing bacteria and their role in plant growth promotion. Biotechnol. Adv. 1999, 17, 319–339. [Google Scholar] [CrossRef]
- Kaur, G.; Reddy, M.S. Influence of P-solubilizing bacteria on crop yield and soil fertility at multilocational sites. Eur. J. Soil Biol. 2014, 61, 35–40. [Google Scholar] [CrossRef]
- Aelion, C.M.; Bradley, P.M. Aerobic biodegradation potential of subsurface microorganisms from a jet fuel-contaminated aquifer. Appl. Environ. Microbiol. 1991, 57, 57–63. [Google Scholar] [CrossRef] [PubMed] [Green Version]
- McLoughlin, E.; Rhodes, A.H.; Owen, S.M.; Semple, K.T. Biogenic volatile organic compounds as a potential stimulator for organic contaminant degradation by soil microorganisms. Environ. Pollut. 2009, 157, 86–94. [Google Scholar] [CrossRef] [Green Version]
- Naveed, M.; Mustafa, A.; Majeed, S.; Naseem, Z.; Saeed, Q.; Khan, A.; Nawaz, A.; Baig, K.S.; Chen, J.T. Enhancing cadmium tolerance and pea plant health through Enterobacter sp. MN17 inoculation together with biochar and gravel sand. Plants 2020, 9, 530. [Google Scholar] [CrossRef] [PubMed] [Green Version]
- Compant, S.; Duffy, B.; Nowak, J.; Clément, C.; Barka, A.A. Use of plant growth-promoting bacteria for biocontrol of plant diseases: Principles, mechanisms of action and future prospects. Appl. Environ. Microbiol. 2005, 71, 4951–4959. [Google Scholar] [CrossRef] [PubMed] [Green Version]
- Hayat, R.; Ali, S.; Amara, U.; Khalid, R.; Ahmed, I. Soil beneficial bacteria and their role in plant growth promotion: A review. Ann. Microbiol. 2010, 60, 579–598. [Google Scholar] [CrossRef]
- Leontidou, K.; Genitsaris, S.; Papadopoulou, A.; Kamou, N.; Bosmali, I.; Matsi, T.; Madesis, P.; Vokou, D.; Karamanoli, K.; Mellidou, I. Plant growth promoting rhizobacteria isolated from halophytes and drought-tolerant plants: Genomic characterisation and exploration of phyto-beneficial traits. Sci. Rep. 2020, 10, 14857. [Google Scholar] [CrossRef] [PubMed]
- Falkowski, P.G.; Fenchel, T.; Delong, E.F. The microbial engines that drive Earth’s biogeochemical cycles. Science 2008, 320, 1034–1039. [Google Scholar] [CrossRef] [Green Version]
- Singh, B.; Bardgett, R.; Smith, P.; Reay, S. Microorganisms and climate change: Terrestrial feedbacks and mitigation options. Nat. Rev. Microbiol. 2010, 8, 779–790. [Google Scholar] [CrossRef]
- Aislabie, J.; Deslippe, J.R. Soil microbes and their contribution to soil services. In Ecosystem Services in New Zealand—Conditions and Trends; Dymond, J.R., Ed.; Manaaki Whenua Press: Lincoln, New Zealand, 2013; pp. 143–161. [Google Scholar]
- Jacoby, R.; Peukert, M.; Succurro, A.; Koprivova, A.; Kopriva, S. The role of soil microorganisms in plant mineral nutrition-current knowledge and future directions. Front. Plant Sci. 2017, 8, 1617. [Google Scholar] [CrossRef] [Green Version]
- Grayston, S.J.; Vaughan, D.; Jones, D. Rhizosphere carbon flow in trees, in comparison with annual plants: The importance of root exudation and its impact on microbial activity and nutrient availability. Appl. Soil Ecol. 1997, 5, 29–56. [Google Scholar] [CrossRef]
- Berg, G.; Smalla, K. Plant species and soil type cooperatively shape the structure and function of microbial communities in the rhizosphere. FEMS Microbiol. Ecol. 2009, 68, 1–13. [Google Scholar] [CrossRef] [PubMed] [Green Version]
- Dennis, P.G.; Miller, A.J.; Hirsch, P.R. Are root exudates more important than other sources of rhizodeposits in structuring rhizosphere bacterial communities? FEMS Microbiol. Ecol. 2010, 72, 313–327. [Google Scholar] [CrossRef] [Green Version]
- Peñuelas, J.; Asensio, D.; Tholl, D.; Wenke, K.; Rosenkranz, M.; Piechulla, B.; Schnitzler, J.P. Biogenic volatile emissions from the soil. Plant Cell Environ. 2014, 37, 1866–1891. [Google Scholar] [CrossRef]
- Lieth, H. Measurement of caloric values. In Primary Productivity of the Biosphere; Lieth, H., Whittaker, R., Eds.; Springer: New York, NY, USA, 1975; pp. 119–129. [Google Scholar] [CrossRef]
- Vokou, D.; Margaris, N.S. Variation of volatile oil concentration of Mediterranean aromatic shrubs, Thymus capitatus Hoffmag et Link, Satureja thymbra L., Teucrium polium L., and Rosmarinus officinalis L. Int. J. Biometeorol. 1986, 30, 147–156. [Google Scholar] [CrossRef]
- Karamanoli, K.; Ainalidou, A.; Bouzoukla, F.; Vokou, D. Decomposition profiles of leaf essential oils in the soil environment. Ind. Crop. Prod. 2018, 124, 397–401. [Google Scholar] [CrossRef]
- Marmulla, R.; Harder, J. Microbial monoterpene transformations—A review. Front. Microbiol. 2014, 5, 346. [Google Scholar] [CrossRef] [PubMed] [Green Version]
- Bakkali, F.; Averbeck, S.; Averbeck, D.; Idaomar, M. Biological effects of essential oils—A review. Food Chem. Toxicol. 2008, 46, 446–475. [Google Scholar] [CrossRef]
- Vokou, D. Allelochemicals, allelopathy and essential oils: A field in search of definitions and structure. Allelopathy J. 2007, 19, 119–135. [Google Scholar]
- Junker, R.R.; Tholl, D. Volatile organic compound mediated interactions at the plant-microbe interface. J. Chem. Ecol. 2013, 39, 810–825. [Google Scholar] [CrossRef]
- Miresmailli, S.; Isman, M.B. Botanical insecticides inspired by plant–herbivore chemical interactions. Trends Plant Sci. 2014, 19, 29–35. [Google Scholar] [CrossRef]
- Inderjit; Weiner, J. Plant allelochemical interference or soil chemical ecology? Perspect. Plant Ecol. 2001, 4, 3–12. [Google Scholar] [CrossRef] [Green Version]
- Hammer, K.A.; Carson, C.F.; Riley, T.V. Antimicrobial activity of essential oils and other plant extracts. J. Appl. Microbiol. 1999, 86, 985–990. [Google Scholar] [CrossRef] [Green Version]
- Sivropoulou, A.; Kokkini, S.; Lanaras, T.; Arsenakis, M. Antimicrobial activity of mint essential oils. J. Agric. Food Chem. 1995, 43, 2384–2388. [Google Scholar] [CrossRef]
- Karamanoli, K.; Vokou, D.; Menkissoglu, U.; Constantinidou, H.-I. Bacterial colonization of the phyllosphere of Mediterranean aromatic plants. J. Chem. Ecol. 2000, 26, 2035–2048. [Google Scholar] [CrossRef]
- Vokou, D.; Margaris, N.S. Decomposition of terpenes by soil microorganisms. Pedobiologia 1988, 31, 413–419. [Google Scholar]
- Vokou, D.; Liotiri, S. Stimulation of soil microbial activity by essential oils. Chemoecology 1999, 9, 41–45. [Google Scholar] [CrossRef]
- Vokou, D.; Chalkos, D.; Karamanlidou, G.; Yiangou, M. Activation of soil respiration and shift of the microbial population balance in soil as a response to Lavandula stoechas essential oil. J. Chem. Ecol. 2002, 28, 755–768. [Google Scholar] [CrossRef]
- Konstantinou, S.; Monokrousos, N.; Kapagianni, P.; Menkissoglu-Spiroudi, U.; Gwynn-Jones, D.; Stamou, G.P.; Papatheodorou, E.M. Instantaneous responses of microbial communities to stress in soils pretreated with Mentha spicata essential oil and/or inoculated with arbuscular mycorrhizal fungus. Ecol. Res. 2019, 34, 701–710. [Google Scholar] [CrossRef]
- Papatheodorou, E.M.; Margariti, C.; Vokou, D. Effects of the two carvone enantiomers on soil enzymes involved in the C, P, and N cycles. J. Biol. Res.-Thessalon. 2014, 21, 7. [Google Scholar] [CrossRef] [PubMed] [Green Version]
- Stamou, G.P.; Konstadinou, S.; Monokrousos, N.; Mastrogianni, A.; Orfanoudakis, M.; Hassiotis, C.; Menkissoglu-Spiroudi, U.; Vokou, D.; Papatheodorou, E.M. The effects of arbuscular mycorrhizal fungi and essential oil on soil microbial community and N-related enzymes during the fungal early colonization phase. AIMS Microbiol. 2017, 3, 938–959. [Google Scholar] [CrossRef]
- Vokou, D.; Margaris, N.S.; Lynch, J.M. Effects of volatile oils from aromatic shrubs on soil microorganisms. Soil Biol. Biochem. 1984, 16, 509–513. [Google Scholar] [CrossRef]
- Misra, G.; Pavlostathis, S.G.; Perdue, E.M.; Araujo, R. Aerobic biodegradation of selected monoterpenes. Appl. Microbiol. Biotechnol. 1996, 45, 831–838. [Google Scholar] [CrossRef]
- Misra, G.; Pavlostathis, S.G. Biodegradation kinetics of monoterpenes in liquid and soil-slurry systems. Appl. Microbiol. Biotechnol. 1997, 47, 572–577. [Google Scholar] [CrossRef]
- de Carvalho, C.C.C.R.M.; da Fonseca, M.R. Biotransformation of terpenes. Biotechnol. Adv. 2006, 24, 134–142. [Google Scholar] [CrossRef]
- Singer, A.C.; Crowley, D.E.; Thompson, I.P. Secondary plant metabolites in phytoremediation and biotransformation. Trends Biotechnol. 2003, 21, 123–130. [Google Scholar] [CrossRef]
- Tsao, C.W.; Song, H.G.; Bartha, R. Metabolism of benzene, toluene, and xylene hydrocarbons in soil. Appl. Environ. Microbiol. 1998, 64, 4924–4929. [Google Scholar] [CrossRef] [Green Version]
- Tsiri, D.; Graikou, K.; Pobłocka-Olech, L.; Krauze-Baranowska, M.; Spyropoulos, C.; Chinou, I. Chemosystematic value of the essential oil composition of Thuja species cultivated in Poland—Antimicrobial activity. Molecules 2009, 14, 4707–4715. [Google Scholar] [CrossRef] [Green Version]
- Miraldi, E. Comparison of the essential oils from ten Foeniculum vulgare Miller samples of fruits of different origin. Flavour Fragr. J. 1999, 14, 379–382. [Google Scholar] [CrossRef]
- Kotan, R.; Kordali, S.; Cakir, A. Screening of antibacterial activities of twenty-one oxygenated monoterpenes. Z. Naturforsch. C J. Biosci. 2007, 62, 507–513. [Google Scholar] [CrossRef] [PubMed]
- Bouzouita, N.; Kachouri, F.; Hamdi, M.; Chaabouni, M. Antimicrobial activity of essential oils from Tunisian aromatic plants. Flavor Frag. J. 2003, 18, 380–383. [Google Scholar] [CrossRef]
- Mothana, R.A.; Al-Rehaily, A.J.; Schultze, W. Chemical analysis and biological activity of the essential oils of two endemic Soqotri commiphora species. Molecules 2010, 15, 689–698. [Google Scholar] [CrossRef] [Green Version]
- Sebei, K.; Sakouhi, F.; Herchi, W.; Khouja, M.L.; Boukhchina, S. Chemical composition and antibacterial activities of seven Eucalyptus species essential oils leaves. Biol. Res. 2015, 48, 7. [Google Scholar] [CrossRef] [Green Version]
- Wang, W.; Li, N.; Luo, M.; Zu, Y.; Efferth, T. Antibacterial activity and anticancer activity of Rosmarinus officinalis L. essential oil compared to that of its main components. Molecules 2012, 17, 2704–2713. [Google Scholar] [CrossRef] [Green Version]
- Karousou, R.; Vokou, D.; Kokkini, S. Variation of Salvia fruticosa essential oils on the island of Crete (Greece). Bot. Acta 1998, 111, 250–254. [Google Scholar] [CrossRef]
- Soković, M.; Glamočlija, J.; Marin, P.D.; Brkić, D.; van Griensven, L.J.L.D. Antibacterial effects of the essential oils of commonly consumed medicinal herbs using an in vitro model. Molecules 2010, 15, 7532–7546. [Google Scholar] [CrossRef] [PubMed] [Green Version]
- Silva, A.C.R.d.; Lopes, P.M.; Azevedo, M.M.B.d.; Costa, D.C.M.; Alviano, C.S.; Alviano, D.S. Biological activities of a-pinene and β-pinene enantiomers. Molecules 2012, 17, 6305–6316. [Google Scholar] [CrossRef] [Green Version]
- Ojeda-Sana, A.M.; van Baren, C.M.; Elechosa, M.A.; Juárez, M.A.; Moreno, S. New insights into antibacterial and antioxidant activities of rosemary essential oils and their main components. Food Control 2013, 31, 189–195. [Google Scholar] [CrossRef]
- Kubeczka, K.H.; Schultze, W. Biology and chemistry of conifer oils. Flavor Fragr. J. 1987, 2, 137–148. [Google Scholar] [CrossRef]
- Koukos, P.K.; Papadopoulou, Κ.I.; Papagiannopoulos, A.D.; Patiaka, D.T. Essential oils of the twigs of some conifers grown in Greece. Holz Roh-und Werkstoff 2001, 58, 437–438. [Google Scholar] [CrossRef]
- Schulz, H.; Özkan, G.; Baranska, M.; Krüger, H.; Özcan, M. Characterisation of essential oil plants from Turkey by IR and Raman spectroscopy. Vib. Spectrosc. 2005, 39, 249–256. [Google Scholar] [CrossRef]
- Chung-Yi, W.; Yu-Wei, C.; Chih-Yao, H. Antioxidant and antibacterial activity of seven predominant terpenoids. Int. J. Food Prop. 2019, 22, 230–238. [Google Scholar] [CrossRef] [Green Version]
- Vokou, D.; Kokkini, S.; Bessière, J.M. Origanum onites (Lamiaceae) in Greece: Distribution, volatile oil yield, and composition. Econ. Bot. 1988, 42, 407–412. [Google Scholar] [CrossRef]
- Savithiry, N.; Gage, D.; Fu, W.; Oriel, P. Degradation of pinene by Bacillus pallidus BR425. Biodegradation 1998, 9, 337–341. [Google Scholar] [CrossRef]
- Wright, S.J.; Caunt, P.; Carter, D.; Baker, P.B. Microbial oxidation of alpha-pinene by Serratia marcescens. Appl. Microbiol. Biotechnol. 1986, 23, 224–227. [Google Scholar] [CrossRef]
- Llusia, J.; Peñuelas, J.; Seco, R.; Filella, I. Seasonal changes in the daily emission rates of terpenes by Quercus ilex and the atmospheric concentrations of terpenes in the natural park of Montseny, NE Spain. J. Atmos. Chem. 2012, 69, 215–230. [Google Scholar] [CrossRef]
- Sharkey, T.D.; Wiberley, A.E.; Donohue, A.R. Isoprene emission from plants: Why and how. Ann. Bot. 2008, 101, 5–18. [Google Scholar] [CrossRef] [Green Version]
- Cleveland, C.C.; Yavitt, J.B. Microbial consumption of atmospheric isoprene in a temperate forest soil. Appl. Environ. Microbiol. 1998, 64, 172–177. [Google Scholar] [CrossRef] [PubMed] [Green Version]
- Carrión, O.; Larke-Mejía, N.L.; Gibson, L.; Ul Haque, M.F.; García, J.R.; McGenity, T.J.; Murrell, J.C. Gene probing reveals the widespread distribution, diversity and abundance of isoprene-degrading bacteria in the environment. Microbiome 2018, 6, 219. [Google Scholar] [CrossRef]
- Larke-Mejía, N.L.; Crombie, A.T.; Pratscher, J.; McGenity, T.J.; Murrell, J.C. Novel isoprene-degrading proteobacteria from soil and leaves identified by cultivation and metagenomics analysis of stable isotope probing experiments. Front. Microbiol. 2019, 10, 2700. [Google Scholar] [CrossRef]
- Johnson, G.; Olsen, R.H. Multiple pathways for toluene degradation in Burkholderia sp. strain JS150. Appl. Environ. Microbiol. 1997, 63, 4047–4052. [Google Scholar] [CrossRef] [Green Version]
- Hernandez, B.S.; Koh, S.; Chial, M.; Focht, D.D. Terpene-utilizing isolates and their relevance to enhanced biotransformation of PCBs in soil. Biodegradation 1997, 8, 153–158. [Google Scholar] [CrossRef]
- Jha, P.; Panwar, J.; Jha, P.N. Secondary plant metabolites and root exudates: Guiding tools for polychlorinated biphenyl biodegradation. Int. J. Environ. Sci. Technol. 2015, 12, 789–802. [Google Scholar] [CrossRef]
- Ite, A.E.; Ibok, U.J. Role of plants and microbes in bioremediation of petroleum hydrocarbons contaminated soils. Int. J. Environ. Bioremediat. Biodegrad. 2019, 7, 1–19. [Google Scholar] [CrossRef]
- Campos, E.V.R.; Proença, P.L.F.; Oliveira, J.L.; Bakshi, M.; Abhilash, P.C.; Fraceto, L.F. Use of botanical insecticides for sustainable agriculture: Future perspectives. Ecol. Indic. 2019, 105, 483–495. [Google Scholar] [CrossRef] [Green Version]
- Bouyoucos, G.H. A recalibration of the hydrometer for making mechanical analysis of soils. Agron. J. 1951, 43, 434–438. [Google Scholar] [CrossRef] [Green Version]
- Allison, L.E. Organic carbon. In Methods of Soil Analysis; Part 2: Chemical and Microbiological Properties; Norman, A.G., Ed.; American Society of Agronomy Inc.: Madison, WI, USA, 1965; pp. 1367–1378. [Google Scholar] [CrossRef]
- Bremner, J. Determination of nitrogen in soil by the Kjeldahl method. J. Agric. Sci. 1960, 55, 11–33. [Google Scholar] [CrossRef]
- Holt, J.G.; Krieg, N.R.; Sneath, P.H.; Staley, J.T.; Williams, S.T. Bergey’s Manual of Determinative Bacteriology, 9th ed.; Lippincott Williams & Wilkins: Philadelphia, PA, USA, 2000. [Google Scholar]
- Garland, J.L.; Mills, A.L. Classification and characterization of heterotrophic microbial communities on the basis of patterns of community-level sole-carbon-source utilization. Appl. Environ. Microbiol. 1991, 57, 2351–2359. [Google Scholar] [CrossRef] [Green Version]
- Biolog. MicroStationTM System MicroLog Version 4.2. User Guide; Biolog: Hayward, CA, USA, 2007. [Google Scholar]






| Coordinates/Altitude of the Sampling Sites | Ecosystem Type (Abbreviation) | Soil Texture | Total Organic Carbon (%) | Total Nitrogen (%) |
|---|---|---|---|---|
| 40°25′52″ N, 23°33′51″ E/767 m | Oak forest (O) | Clay loam | 8.20 ± 0.12 | 0.35 ± 0.08 |
| 40°25′26″ N, 23°23′13″ E/590 m | Mixed deciduous forest (M) | Sandy clay loam | 4.10 ± 0.15 | 0.15 ± 0.04 |
| 40°26′27″ N, 23°24′13″ E/508 m | Riparian forest (R) | Sandy clay | 3.90 ± 0.10 | 0.10 ± 0.05 |
| 37°03′06″ N, 25°22′43″ E/52 m | Phrygana (P) | Sandy clay | 0.70 ± 0.05 | 0.05 ± 0.02 |
| 39°08′57″ N, 23°24′16″ E/2 m | Sandy shore (S) | Sandy | 0.70 ± 0.05 | 0.03 ± 0.01 |
| 25°04′33″ N, 55°15′18″ E/30 m | Desert (D) | Sandy | 0.60 ± 0.03 | 0.02 ± 0.01 |
| Occurrence and Coding of the Bacteria Isolated and Identified | Identified Taxa 2 | Resistance to Essential Oil Constituents | Use as Growth Substrates of | ||||
|---|---|---|---|---|---|---|---|
| Essential Oil Constituents | Aromatic Hydrocarbons | ||||||
| Mixed deciduous forest: MF3, MC3, MP3 | Brevibacterium mcbrellneri | Fenchone: 1,8-Cineol: α-Pinene: | full moderate full | Fenchone: 1,8-Cineol: α-Pinene: | - - + | Toluene: p-Xylene: | - - |
| Phrygana: PF4, PC4, PP4 | Burkholderia gladioli | Fenchone: 1,8-Cineol: α-Pinene: | low moderate full | Fenchone: 1,8-Cineol: α-Pinene: | - - - | ||
| Mixed deciduous forest: MF1, MC1, MP1; Riparian forest: RF1, RC1, RP1; Phrygana: PF5, PC5, PP5 | Burkholderia glumae | Fenchone: 1,8-Cineol: α-Pinene: | full full full | Fenchone: 1,8-Cineol: α-Pinene: | ++ ++ - | Toluene p-Xylene | - ++ |
| Desert: DF5, DC5, DP5 | Buttiauxella gaviniae | Fenchone: 1,8-Cineol: α-Pinene: | moderate low full | Fenchone: 1,8-Cineol: α-Pinene: | - - - | ||
| Desert: DF2, DC2, DP2 | Corynebacterium lypophylophlavum | Fenchone: 1,8-Cineol: α-Pinene: | full full full | Fenchone: 1,8-Cineol: α-Pinene: | ++ ++ - | Toluene p-Xylene | - - |
| Phrygana: PF1, PC1, PP1 | Corynebacterium nitrilophilus | Fenchone: 1,8-Cineol: α-Pinene: | full full full | Fenchone: 1,8-Cineol: α-Pinene: | + + ++ | Toluene p-Xylene | + ++ |
| Mixed deciduous forest: MF2, MC2, MP2; Oak forest: OF2, OC2, OP2 | Micrococcus diversus | Fenchone: 1,8-Cineol: α-Pinene: | full full full | Fenchone: 1,8-Cineol: α-Pinene: | + + - | Toluene p-Xylene | - ++ |
| Riparian forest: RF3, RC3, RP3 | Microccocus luteus | Fenchone: 1,8-Cineol: α-Pinene: | moderate low full | Fenchone: 1,8-Cineol: α-Pinene: | - - + | Toluene p-Xylene | - - |
| Sandy shore: SF4, SC4, SP4 | Neisseria canis | Fenchone: 1,8-Cineol: α-Pinene: | full low full | Fenchone: 1,8-Cineol: α-Pinene: | + - - | Toluene p-Xylene | - - |
| Sandy shore: SF2, SC2, SP2 | Pantoea stewartii stewartii | Fenchone: 1,8-Cineol: α-Pinene: | full full full | Fenchone: 1,8-Cineol: α-Pinene: | + + + | Toluene p-Xylene | + ++ |
| Mixed deciduous forest: MF6, MC5, MP5; Oak forest: OF5, OC5, OP5; Riparian forest: RF5, RC5, RP5 | Pseudomonas caricapapayae | Fenchone: 1,8-Cineol: α-Pinene: | No resistance No resistance full | Fenchone: 1,8-Cineol: α-Pinene: | - - - | ||
| Desert: DF1, DC1, DP1 | Rhizobium rhizogenes | Fenchone: 1,8-Cineol: α-Pinene: | low low full | Fenchone: 1,8-Cineol: α-Pinene: | - - ++ | Toluene p-Xylene | + + |
| Oak forest: OF1, OC1, OP1 | Rhodococcus ruber | Fenchone: 1,8-Cineol: α-Pinene: | full full full | Fenchone: 1,8-Cineol: α-Pinene: | ++ + ++ | Toluene p-Xylene | - + |
| Oak forest: OF3, OC3, OP3; Desert: DF3, DC3, DP3; Sandy shore: SF3, SC3, SP3; Phrygana: PF3, PC3, PP3 | Tsukamurella inchonensis | Fenchone: 1,8-Cineol: α-Pinene: | low moderate full | Fenchone: 1,8-Cineol: α-Pinene: | - - - | ||
| Riparian forest: RF2, RC2, RP2 | Variovorax paradoxus | Fenchone: 1,8-Cineol: α-Pinene: | full low full | Fenchone: 1,8-Cineol: α-Pinene: | + -- | Toluene p-Xylene | - - |
Publisher’s Note: MDPI stays neutral with regard to jurisdictional claims in published maps and institutional affiliations. |
© 2021 by the authors. Licensee MDPI, Basel, Switzerland. This article is an open access article distributed under the terms and conditions of the Creative Commons Attribution (CC BY) license (https://creativecommons.org/licenses/by/4.0/).
Share and Cite
Chalkos, D.; Karamanoli, K.; Vokou, D. Monoterpene Enrichments Have Positive Impacts on Soil Bacterial Communities and the Potential of Application in Bioremediation. Plants 2021, 10, 2536. https://doi.org/10.3390/plants10112536
Chalkos D, Karamanoli K, Vokou D. Monoterpene Enrichments Have Positive Impacts on Soil Bacterial Communities and the Potential of Application in Bioremediation. Plants. 2021; 10(11):2536. https://doi.org/10.3390/plants10112536
Chicago/Turabian StyleChalkos, Dimitris, Katerina Karamanoli, and Despoina Vokou. 2021. "Monoterpene Enrichments Have Positive Impacts on Soil Bacterial Communities and the Potential of Application in Bioremediation" Plants 10, no. 11: 2536. https://doi.org/10.3390/plants10112536
APA StyleChalkos, D., Karamanoli, K., & Vokou, D. (2021). Monoterpene Enrichments Have Positive Impacts on Soil Bacterial Communities and the Potential of Application in Bioremediation. Plants, 10(11), 2536. https://doi.org/10.3390/plants10112536
