Active Peptides from Crayfish Shell: Isolation, Purification, Identification and Cytoprotective Function on Cells Damaged by H2O2
Abstract
1. Introduction
2. Materials and Methods
2.1. Materials
2.2. Preparation of Crayfish Shell Protein Hydrolysate (CSPH)
2.3. Peptide Separation via Ultrafiltration and Gel Permeation Chromatograph
2.4. Bioactivity of Active Peptides
2.4.1. Antioxidant Activity
2.4.2. ACE Inhibitory Activity
2.5. Determination of Factors Affecting the Stability of CSPH2
2.5.1. Temperature
2.5.2. pH
2.5.3. Simulation of Gastrointestinal Tract Environment In Vitro
2.6. Low-Pressure Gel Filtration Chromatography
2.7. Amino Acid Sequence Analysis of the Purified Peptide
2.8. Investigation of the Anti-Hypertension Effects of the Purified Peptide in Huvecs
2.8.1. Cell Culture and Viability Assay
2.8.2. Effects of the Purified Peptide on Huvecs
2.8.3. Determination of the Content of NO
2.8.4. Determination of the Content of ET-1
2.8.5. Determination of Intracellular ROS Generation
2.9. Cellular Antioxidant Activities of CSPH
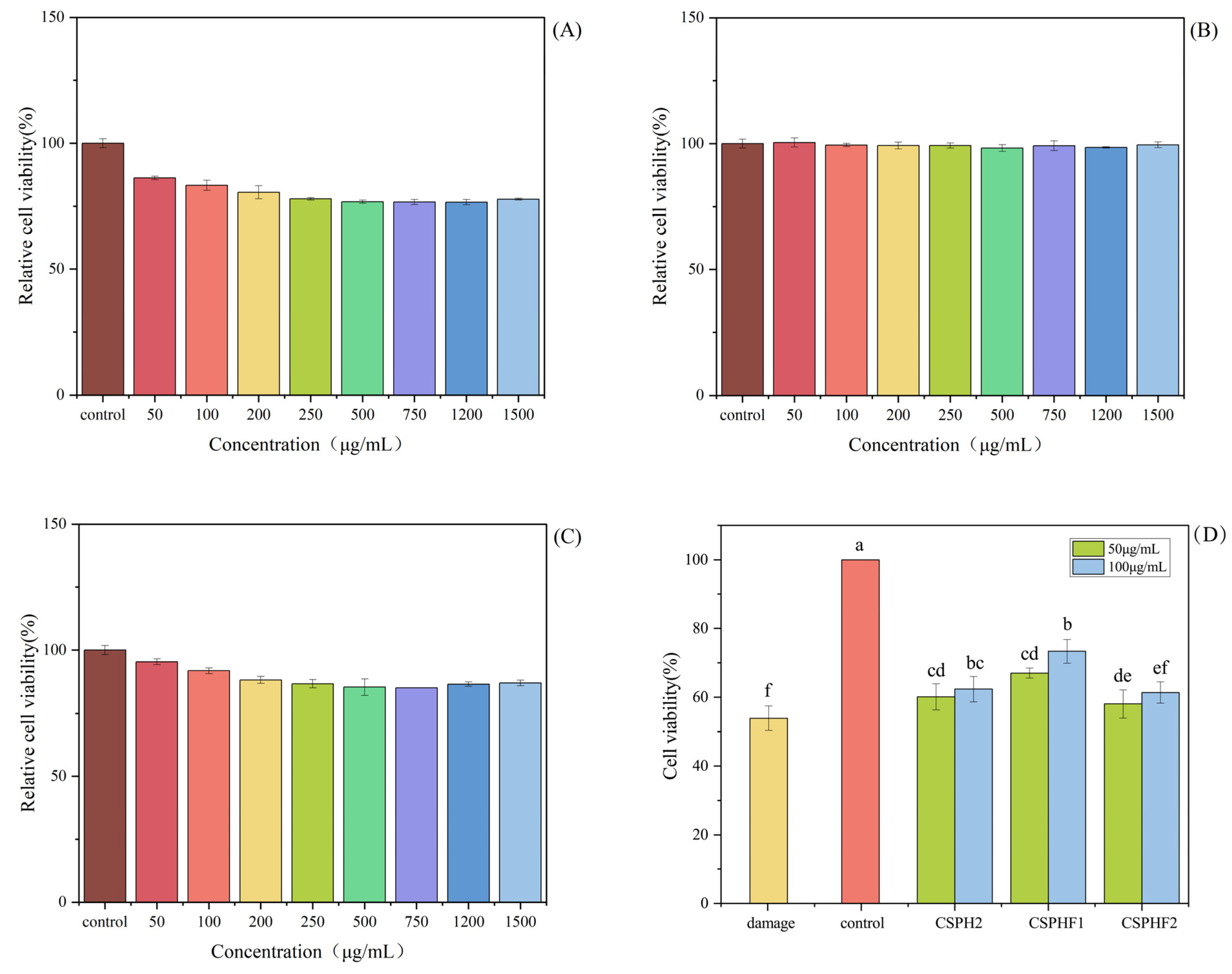
2.9.1. Effect of CSPH on the Cell Culture and the Viability of HepG2 Cells
2.9.2. Establishment of H2O2 Oxidative Damage Model
2.9.3. The Protective Effect of CSPH on HepG2 Cells Damaged by H2O2
3. Statistical Analysis
4. Results
4.1. Ultrafiltration and Bioactivity
4.2. Stability Analysis
4.3. Gel Filtration Chromatography of CSPH2
4.4. Identification of Antioxidant and Ace Inhibition Peptide
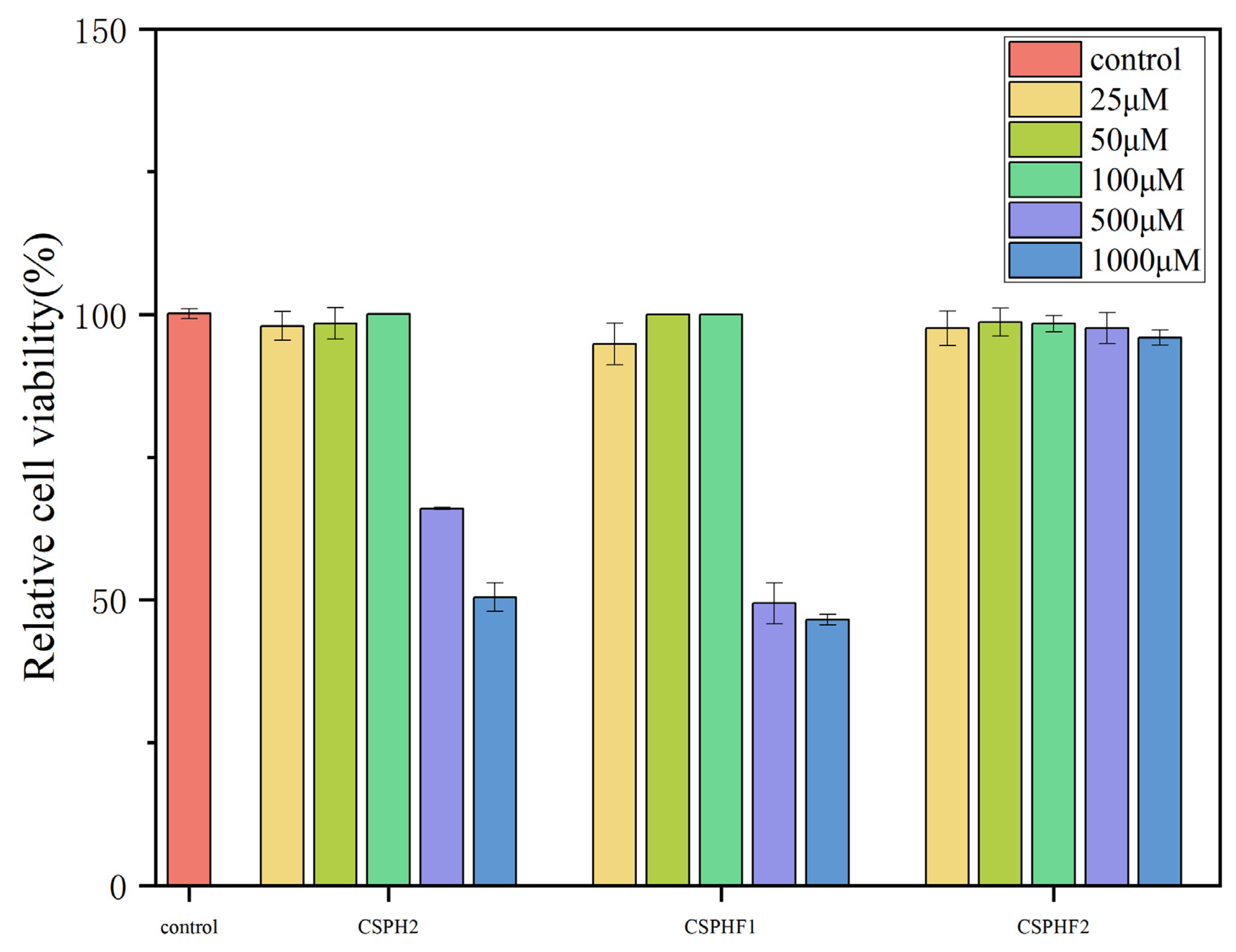
4.5. Cytotoxicity of CSPH2,CSPHF1 and CSPHF2 on Huvecs
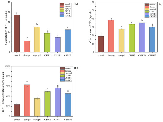
4.6. Effects of CSPH2, CSPHF1 and CSPHF2 on NO, ET-1, and ROS Scavenging in HUVECs
4.7. Establish of Oxidative Damaged Model of HepG2 Cells
4.8. Cytoprotective Effects of Peptides on Oxidative Damaged Model of HepG2 Cells
5. Discussion
5.1. Purification, Identification and Digestive Stability of Csph
5.2. Anti-Hypertension and Anti-Oxidation Effects of the Purified Peptide on Huvecs and HEPG2 Cells
6. Conclusions
Author Contributions
Funding
Institutional Review Board Statement
Informed Consent Statement
Data Availability Statement
Conflicts of Interest
References
- Altieri, M.A. Linking Ecologists and Traditional Farmers in the Search for Sustainable Agriculture. Front. Ecol. Environ. 2004, 2, 35–42. [Google Scholar] [CrossRef]
- Jiang, Y.; Cao, C. Crayfish–rice integrated system of production: An agriculture success story in China. A Review. Agron. Sustain. Dev. 2021, 41, 68. [Google Scholar] [CrossRef]
- Tian, X.; Yuan, X.; He, Z.; Li, W.; Li, J.; He, Y.; Deng, S.; Guo, J.; Fang, M.; Wang, D. Construction of the Red Swamp Crayfish (Procambarus clarkii) Family Selection Population and Whole Genome Sequencing to Screen WIPFI Candidate Genes Related to Growth. Genes 2025, 16, 174. [Google Scholar] [CrossRef] [PubMed]
- Cai, S.Y.; Wang, Y.M.; Zhao, Y.Q.; Chi, C.F.; Wang, B. Cytoprotective Effect of Antioxidant Pentapeptides from the Protein Hydrolysate of Swim Bladders of Miiuy Croaker (Miichthys miiuy) against H2O2-Mediated Human Umbilical Vein Endothelial Cell (HUVEC) Injury. Int. J. Mol. Sci. 2019, 20, 5425. [Google Scholar] [CrossRef] [PubMed]
- Sila, A.; Bougatef, A. Antioxidant peptides from marine by-products: Isolation, identification and application in food systems. A review. J. Funct. Foods 2016, 21, 10–26. [Google Scholar] [CrossRef]
- Vercruysse, L.; Smagghe, G.; Beckers, T.; Camp, J.V. Antioxidative and ACE inhibitory activities in enzymatic hydrolysates of the cotton leafworm, Spodoptera littoralis. Food Chem. 2009, 114, 38–43. [Google Scholar] [CrossRef]
- Yathisha, U.G.; Vaidya, S.; Sheshappa, M.B. Functional Properties of Protein Hydrolyzate from Ribbon Fish (Lepturacanthus Savala) as Prepared by Enzymatic hydrolysis. Int. J. Food Prop. 2022, 25, 187–203. [Google Scholar] [CrossRef]
- Hu, Y.; Lu, S.; Li, Y.; Wang, H.; Shi, Y.; Zhang, L.; Tu, Z. Protective effect of antioxidant peptides from grass carp scale gelatin on the H2O2-mediated oxidative injured HepG2 cells. Food Chem. 2022, 373, 131539. [Google Scholar] [CrossRef]
- Nguyen, T.T.; Zhang, W.; Barber, A.R.; Su, P.; He, S. Microwave-Intensified Enzymatic Deproteinization of Australian Rock Lobster Shells (Jasus edwardsii) for the Efficient Recovery of Protein Hydrolysate as Food Functional Nutrients. Food Bioprocess. Tech. 2016, 9, 628–636. [Google Scholar] [CrossRef]
- Sierra, L.; Fan, H.; Zapata, J.; Wu, J. Antioxidant peptides derived from hydrolysates of red tilapia (Oreochromis sp.) scale. Lwt 2021, 146, 111631. [Google Scholar] [CrossRef]
- Chen, J.; Yu, X.; Huang, W.; Wang, C.; He, Q. A novel angiotensin-converting enzyme inhibitory peptide from rabbit meat protein hydrolysate: Identification, molecular mechanism, and antihypertensive effect in vivo. Food Funct. 2021, 12, 12077–12086. [Google Scholar] [CrossRef]
- Fan, H.; Yu, W.; Liao, W.; Wu, J. Spent Hen Protein Hydrolysate with Good Gastrointestinal Stability and Permeability in Caco-2 Cells Shows Antihypertensive Activity in SHR. Foods 2020, 9, 1384. [Google Scholar] [CrossRef]
- Peng, L.; Kong, X.; Wang, Z.; Ai-lati, A.; Ji, Z.; Mao, J. Baijiu vinasse as a new source of bioactive peptides with antioxidant and anti-inflammatory activity. Food Chem. 2021, 339, 128159. [Google Scholar] [CrossRef]
- Chen, Y.; Gao, X.; Wei, Y.; Liu, Q.; Jiang, Y.; Zhao, L.; Ulaah, S. Isolation, purification and the anti-hypertensive effect of a novel angiotensin I-converting enzyme (ACE) inhibitory peptide from Ruditapes philippinarum fermented with Bacillus natto. Food Funct. 2018, 9, 5230–5237. [Google Scholar] [CrossRef]
- Jemil, I.; Jridi, M.; Nasri, R.; Ktari, N.; Ben Slama-Ben Salem, R.; Mehiri, M.; Hajji, M.; Nasri, M. Functional, antioxidant and antibacterial properties of protein hydrolysates prepared from fish meat fermented by Bacillus subtilis A26. Process Biochem. 2014, 49, 963–972. [Google Scholar] [CrossRef]
- Zhang, X.; Noisa, P.; Yongsawatdigul, J. Chemical and Cellular Antioxidant Activities of In Vitro Digesta of Tilapia Protein and Its Hydrolysates. Foods 2020, 9, 833. [Google Scholar] [CrossRef] [PubMed]
- Geng, F.; He, Y.; Yang, L.; Wang, Z. A rapid assay for angiotensin-converting enzyme activity using ultra-performance liquid chromatography–mass spectrometry. Biomed. Chromatogr. 2009, 24, 312–317. [Google Scholar] [CrossRef] [PubMed]
- Lai, X.F.; Pan, S.S.; Zhang, W.J.; Sun, L.L.; Li, Q.H.; Chen, R.H.; Sun, S.L. Properties of ACE inhibitory peptide prepared from protein in green tea residue and evaluation of its anti-hypertensive activity. Process Biochem. 2020, 92, 277–287. [Google Scholar] [CrossRef]
- Zheng, Y.; Li, Y.; Zhang, Y.; Zhao, S. Purification, characterization and synthesis of antioxidant peptides from enzymatic hydrolysates of coconut (Cocos nucifera L.) cake protein isolates. Rsc Adv. 2016, 6, 54346–54356. [Google Scholar] [CrossRef]
- Wang, Y.; Li, X.; Wang, J.; He, Y.; Chi, C.; Wang, B. Antioxidant peptides from protein hydrolysate of skipjack tuna milt: Purification, identification, and cytoprotection on H2O2 damaged human umbilical vein endothelial cells. Process Biochem. 2022, 113, 258–269. [Google Scholar] [CrossRef]
- Felice, D.L.; Sun, J.; Liu, R.H. A modified methylene blue assay for accurate cell counting. J. Funct. Foods 2008, 1, 109–118. [Google Scholar] [CrossRef]
- Wen, C.; Zhang, J.; Feng, Y.; Duan, Y.; Ma, H.; Zhang, H. Purification and identification of novel antioxidant peptides from watermelon seed protein hydrolysates and their cytoprotective effects on H2O2-induced oxidative stress. Food Chem. 2020, 327, 127–159. [Google Scholar] [CrossRef] [PubMed]
- Zhou, C.; Hu, J.; Ma, H.; Yagoub, A.E.A.; Yu, X.; Owusu, J.; Ma, H.; Qin, X. Antioxidant peptides from corn gluten meal: Orthogonal design evaluation. Food Chem. 2015, 187, 270–278. [Google Scholar] [CrossRef] [PubMed]
- Nourmohammadi, E.; SadeghiMahoonak, A.; Alami, M.; Ghorbani, M. Amino acid composition and antioxidative properties of hydrolysed pumpkin (Cucurbita pepo L.) oil cake protein. Int. J. Food Prop. 2017, 20, 3244–3255. [Google Scholar] [CrossRef]
- Kaprasob, R.; Khongdetch, J.; Laohakunjit, N.; Selamassakul, O.; Kaisangsri, N. Isolation and characterization, antioxidant, and antihypertensive activity of novel bioactive peptides derived from hydrolysis of King Boletus mushroom. LWT 2022, 160, 113287. [Google Scholar] [CrossRef]
- Wong, F.X.J.G. Identification and characterization of antioxidant peptides from hydrolysate of blue-spotted stingray and their stability against thermal, pH and simulated gastrointestinal digestion treatments. Food Chem. 2018, 271, 614–622. [Google Scholar] [CrossRef]
- Tavares, T.; Contreras, M.D.M.; Amorim, M.; Pintado, M.; Recio, I.; Malcata, F.X. Novel whey-derived peptides with inhibitory effect against angiotensin-converting enzyme: In vitro effect and stability to gastrointestinal enzymes. Peptides 2011, 32, 1013–1019. [Google Scholar] [CrossRef]
- Sontakke, S.B.; Jung, J.; Piao, Z.; Chung, H.J. Orally Available Collagen Tripeptide: Enzymatic Stability, Intestinal Permeability, and Absorption of Gly-Pro-Hyp and Pro-Hyp. J. Agric. Food Chem. 2016, 64, 7127–7133. [Google Scholar] [CrossRef]
- Li, Y.; Li, B.; He, J.; Qian, P. Quantitative structure–activity relationship study of antioxidative peptide by using different sets of amino acids descriptors. J. Mol. Struct. 2011, 998, 53–61. [Google Scholar] [CrossRef]
- Obaroakpo, J.U.; Liu, L.; Zhang, S.; Lu, J.; Pang, X.; Lv, J. α-Glucosidase and ACE dual inhibitory protein hydrolysates and peptide fractions of sprouted quinoa yoghurt beverages inoculated with Lactobacillus casei. Food Chem. 2019, 299, 124985. [Google Scholar] [CrossRef]
- Zaharuddin, N.D.; Barkia, I.; Wan Ibadullah, W.Z.; Zarei, M.; Saari, N. Identification, molecular docking, and kinetic studies of six novel angiotensin-I-converting enzyme (ACE) inhibitory peptides derived from Kenaf (Hibiscus cannabinus L.) seed. Int. J. Biol. Macromol. 2022, 220, 1512–1522. [Google Scholar] [CrossRef] [PubMed]
- Ding, Q.; Sheikh, A.R.; Chen, Q.; Hu, Y.; Sun, N.; Su, X.; Luo, L.; Ma, H.; He, R. Understanding the Mechanism for the Structure-Activity Relationship of Food-Derived ACEI Peptides. Food Rev. Int. 2023, 39, 1751–1769. [Google Scholar] [CrossRef]
- Manoharan, S.; Shuib, A.S.; Abdullah, N. Structural Characteristics and Antihypertensive Effects of Angiotensin-Iconverting Enzyme Inhibitory Peptides in the Renin-Angiotensin and Kallikrein Kinin Systems. Afr. J. Tradit. Complement. Altern. Med. 2017, 14, 383–406. [Google Scholar] [CrossRef]
- Li, Z.; He, Y.; He, H.; Zhou, W.; Li, M.; Lu, A.; Che, T.; Shen, S. Purification identification and function analysis of ACE inhibitory peptide from Ulva prolifera protein. Food Chem. 2023, 401, 134127. [Google Scholar] [CrossRef]
- Ghassem, M.; Arihara, K.; Babji, A.S.; Said, M.; Ibrahim, S. Purification and identification of ACE inhibitory peptides from Haruan (Channa striatus) myofibrillar protein hydrolysate using HPLC–ESI-TOF MS/MS. Food Chem. 2011, 129, 1770–1777. [Google Scholar] [CrossRef]
- López, C.M.; Bru, E.; Vignolo, G.M.; Fadda, S.G. Identification of small peptides arising from hydrolysis of meat proteins in dry fermented sausages. Meat Sci. 2015, 104, 20–29. [Google Scholar] [CrossRef]
- Nakamura, Y.; Yamamoto, N.; Sakai, K.; Okubo, A.; Yamazaki, S.; Takano, T. Purification and Characterization of Angiotensin I-Converting Enzyme Inhibitors from Sour Milk. J. Dairy. Sci. 1995, 78, 777–783. [Google Scholar] [CrossRef]
- Minkiewicz, P.; Dziuba, J.; Iwaniak, A.; Dziuba, M.; Darewicz, M. BIOPEP database and other programs for processing bioactive peptide sequences. J. AOAC Int. 2008, 91, 965–980. [Google Scholar] [CrossRef]
- Singh, A.; Kadam, D.; Gautam, A.R.; Rengasamy, K.R.R.; Aluko, R.E.; Benjakul, S. Angiotensin-I-converting enzyme and renin inhibitions by antioxidant shrimp shell protein hydrolysate and ultrafiltration peptide fractions. Food Biosci. 2024, 60, 104524. [Google Scholar] [CrossRef]
- Zhou, J.; Han, Q.; Koyama, T.; Ishizaki, S. Preparation, purification and characterization of antibacterial and ACE inhibitory peptides from head protein hydrolysate of kuruma shrimp, Marsupenaeus japonicus. Molecules 2023, 28, 894. [Google Scholar] [CrossRef] [PubMed]
- Mejri, L.; Vásquez-Villanueva, R.; Hassouna, M.; Marina, M.L.; García, M.C. Identification of peptides with antioxidant and antihypertensive capacities by RP-HPLC-Q-TOF-MS in dry fermented camel sausages inoculated with different starter cultures and ripening times. Food Res. Int. 2017, 100, 708–716. [Google Scholar] [CrossRef]
- Puchalska, P.; Marina Alegre, M.L.; García López, M.C. Isolation and characterization of peptides with antihypertensive activity in foodstuffs. Crit. Rev. Food Sci. 2014, 55, 521–551. [Google Scholar] [CrossRef]
- Zhao, Y.; Zhang, L.; Tao, J.; Chi, C.; Wang, B. Eight antihypertensive peptides from the protein hydrolysate of Antarctic krill (Euphausia superba): Isolation, identification, and activity evaluation on human umbilical vein endothelial cells (HUVECs). Food Res. Int. 2019, 121, 197–204. [Google Scholar] [CrossRef]
- Huang, Y.; Jia, F.; Zhao, J.; Hou, Y.; Hu, S. Novel ACE Inhibitory peptides derived from yeast hydrolysates: Screening, inhibition mechanisms and effects on HUVECs. J. Agric. Food Chem. 2021, 69, 2412–2421. [Google Scholar] [CrossRef]
- Li, L.; Li, H.; Li, Y.; Feng, J.; Guan, D.; Zhang, Y.; Fu, Y.; Li, S.; Li, C. Ferritinophagy-mediated ROS production contributed to proliferation inhibition, apoptosis, and ferroptosis induction in action of mechanism of 2-Pyridylhydrazone dithiocarbamate acetate. Oxid. Med. Cell Longev. 2021, 2021, 5594059. [Google Scholar] [CrossRef]
- Wong, F.; Xiao, J.; Wang, S.; Ee, K.; Chai, T. Advances on the antioxidant peptides from edible plant sources. Trends Food Sci. Tech. 2020, 99, 44–57. [Google Scholar] [CrossRef]
- Asoodeh, A.; Homayouni-Tabrizi, M.; Shabestarian, H.; Emtenani, S.; Emtenani, S. Biochemical characterization of a novel antioxidant and angiotensin I-converting enzyme inhibitory peptide from Struthio camelus egg white protein hydrolysis. J. Food Drug Anal. 2016, 24, 332–342. [Google Scholar] [CrossRef]
- Kadam, S.U.; Alvarez, C.; Tiwari, B.K.; O’Donnell, C.P. Extraction and characterization of protein from Irish brown seaweed Ascophyllum nodosum. Food Res. Int. 2017, 99, 1021–1027. [Google Scholar] [CrossRef] [PubMed]
- Chi, C.; Wang, B.; Wang, Y.; Zhang, B.; Deng, S. Isolation and characterization of three antioxidant peptides from protein hydrolysate of bluefin leatherjacket (Navodon septentrionalis) heads. J. Funct. Foods 2015, 12, 1–10. [Google Scholar] [CrossRef]
- Wang, W.Y.; Zhao, Y.Q.; Zhao, G.X.; Chi, C.F.; Wang, B. Antioxidant peptides from collagen hydrolysate of redlip croaker (Pseudosciaena polyactis) scales: Preparation, characterization, and cytoprotective effects on H2O2-damaged HepG2 Cells. Mar. Drugs 2020, 18, 156. [Google Scholar] [CrossRef] [PubMed]
- Wu, D.; Li, M.; Ding, J.; Zheng, J.; Zhu, B.; Lin, S. Structure-activity relationship and pathway of antioxidant shrimp peptides in a PC12 cell model. J. Funct. Foods 2020, 70, 103978. [Google Scholar] [CrossRef]






| Sample | Sequence | MW | Sequence Length | Protein Accession IDs | Score |
|---|---|---|---|---|---|
| CSPH2 | QGPDDPLIPIM | 1194.5955 | 11 | QGC85410.1 | 117.4 |
| APAPLPPPAP | 926.52255 | 10 | XP_045598893.1 | 100 | |
| CSPHF1 | MPPPVPPF | 880.4517 | 8 | XP_045590478.1 | 114.5 |
| YGPPPPGPPPAPPMR | 1526.7704 | 15 | XP_045600860.1 | 117.31 | |
| LPPLEPFPF | 1055.5692 | 9 | XP_045612887.1 | 103 | |
| SPFDKPGPPIGPF | 1354.6921 | 13 | XP_045612887.1 | 1283 | |
| APAPLPPPAPVLPSPPR | 1672.9665 | 17 | XP_045598893.1 | 158.3 | |
| APAPLPPPAP | 926.52255 | 10 | XP_045598893.1 | 100 | |
| PAAPIPPAFN | 993.52837 | 10 | XP_045618911.1 | 105.3 | |
| CSPHF2 | GPPGGPPGGPPGPPPFGR | 1593.8052 | 18 | XP_045605857.1 | 2383 |
| MPPPVPPF | 880.4517 | 8 | XP_045590478.1 | 134 | |
| YGPPPPGPPPAPPMR | 1526.7704 | 15 | XP_045600860.1 | 117 | |
| QGPDDPLIPIM | 1194.5955 | 11 | QGC85410.1 | 117 | |
| APAPLPPPAPVLPSPPR | 1672.9665 | 17 | XP_045598893.1 | 158 | |
| APAPLPPPAP | 926.52255 | 10 | XP_045598893.1 | 100 | |
| PAAPIPPAFN | 993.52837 | 10 | XP_045618911.1 | 105 | |
| PAPAPVPAPIFA | 1146.6437 | 12 | XP_045620911.1 | 100 | |
| HAPVFPGAPF | 1038.5287 | 10 | XP_045592091.1 | 110 | |
| APHDPIVFPR | 1147.6138 | 10 | XP_045613622.1 | 98 |
Disclaimer/Publisher’s Note: The statements, opinions and data contained in all publications are solely those of the individual author(s) and contributor(s) and not of MDPI and/or the editor(s). MDPI and/or the editor(s) disclaim responsibility for any injury to people or property resulting from any ideas, methods, instructions or products referred to in the content. |
© 2025 by the authors. Licensee MDPI, Basel, Switzerland. This article is an open access article distributed under the terms and conditions of the Creative Commons Attribution (CC BY) license (https://creativecommons.org/licenses/by/4.0/).
Share and Cite
Bai, C.; Wang, W.; Huang, G.; Wang, Y.; Zu, X.; Qiu, L.; Tu, Z.; Yu, W.; Liao, T. Active Peptides from Crayfish Shell: Isolation, Purification, Identification and Cytoprotective Function on Cells Damaged by H2O2. Biomolecules 2025, 15, 1225. https://doi.org/10.3390/biom15091225
Bai C, Wang W, Huang G, Wang Y, Zu X, Qiu L, Tu Z, Yu W, Liao T. Active Peptides from Crayfish Shell: Isolation, Purification, Identification and Cytoprotective Function on Cells Damaged by H2O2. Biomolecules. 2025; 15(9):1225. https://doi.org/10.3390/biom15091225
Chicago/Turabian StyleBai, Chan, Wenqing Wang, Guowei Huang, Ya Wang, Xiaoyan Zu, Liang Qiu, Ziyi Tu, Wei Yu, and Tao Liao. 2025. "Active Peptides from Crayfish Shell: Isolation, Purification, Identification and Cytoprotective Function on Cells Damaged by H2O2" Biomolecules 15, no. 9: 1225. https://doi.org/10.3390/biom15091225
APA StyleBai, C., Wang, W., Huang, G., Wang, Y., Zu, X., Qiu, L., Tu, Z., Yu, W., & Liao, T. (2025). Active Peptides from Crayfish Shell: Isolation, Purification, Identification and Cytoprotective Function on Cells Damaged by H2O2. Biomolecules, 15(9), 1225. https://doi.org/10.3390/biom15091225
