LC-HRMS and GC-MS Profiling of Urine Free Cortisol, Cortisone, 6Β-, and 18-Hydroxycortisol for the Evaluation of Glucocorticoid and Mineralocorticoid Disorders
Abstract
1. Introduction
2. Materials and Methods
2.1. Chemicals Reagents
2.2. Preparation of Stock Solutions, Working Solutions, Calibrators, and Quality Control Samples
2.3. GC-MS
2.3.1. Sample Preparation
2.3.2. Instrumentation
2.4. LC-HRMS
2.4.1. Sample Preparation
2.4.2. Instrumentation
2.5. Method Validation
2.5.1. Linearity of the Calibration Curves
2.5.2. Accuracy and Imprecision
2.5.3. The Selectivity, Carry-Over, and Stability of the Extracts and Comparison between Methods
2.6. Process Efficiency
2.7. Cross-Reactivity with Two Common Cortisol Immunoassays
2.8. Method Application
3. Results
3.1. Linearity of the Calibration Curves
3.2. Accuracy and Imprecision
3.3. Selectivity, Carry-Over, and Stability of the Extracts and Method Comparison
3.4. Process Efficiency
3.5. Cross-Reactivity of Two Common Cortisol Immunoassays
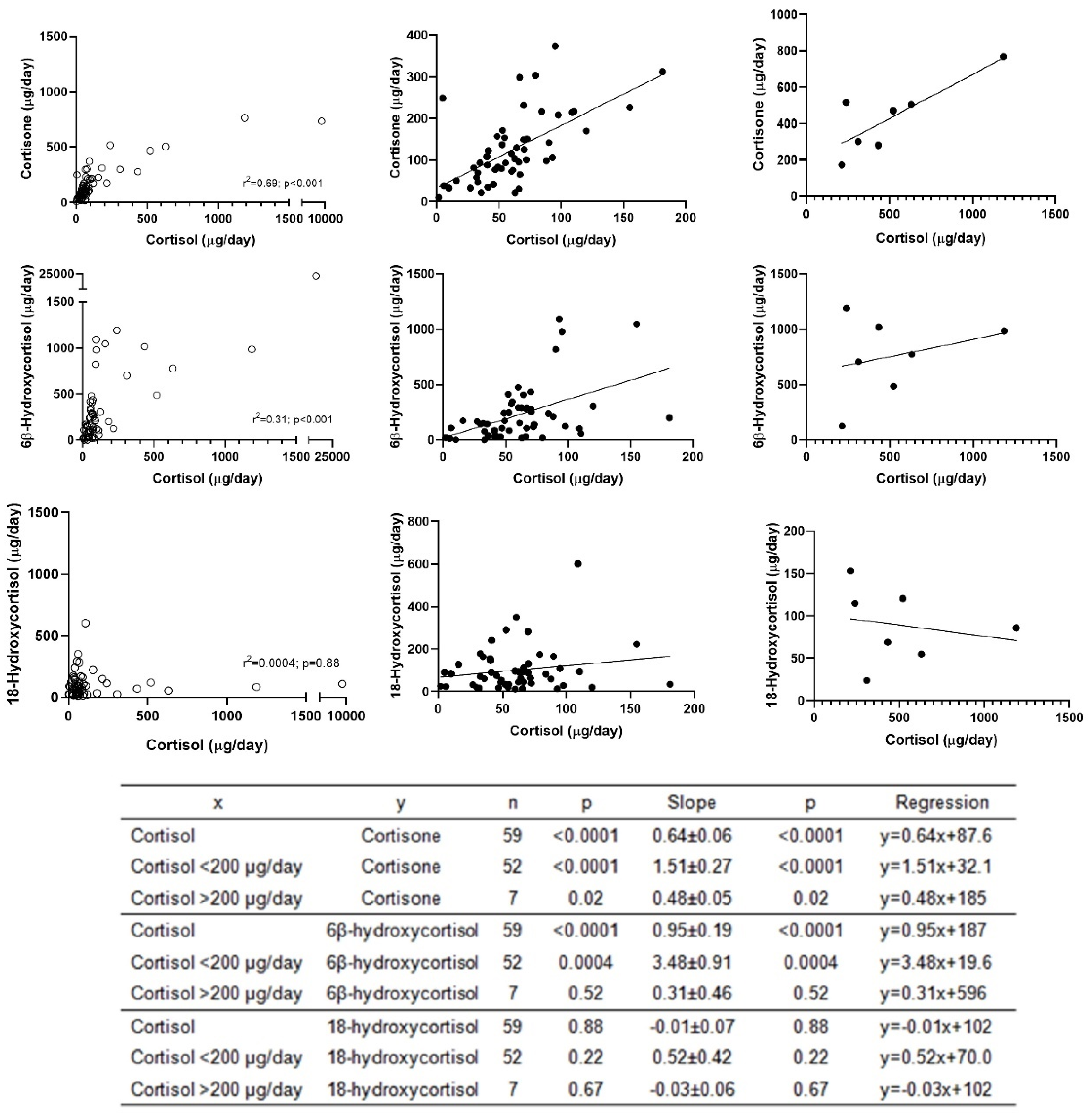
3.6. Method Application
4. Discussion
5. Conclusions
Supplementary Materials
Author Contributions
Funding
Institutional Review Board Statement
Informed Consent Statement
Data Availability Statement
Conflicts of Interest
References
- Murphy, B.E.P. How much “UFC” is really cortisol? Clin Chem. 2000, 46, 793–794. [Google Scholar] [CrossRef] [PubMed]
- Turpeinen, U.; Hämäläinen, E. Determination of cortisol in serum, saliva and urine. Best. Pract. Res. Clin. Endocrinol. Metab. 2013, 27, 795–801. [Google Scholar] [CrossRef]
- Galm, B.P.; Qiao, N.; Klibanski, A.; Biller, B.M.; Tritos, N.A. Accuracy of Laboratory Tests for the Diagnosis of Cushing Syndrome. J. Clin. Endocrinol. Metab. 2020, 105, 2081–2094. [Google Scholar] [CrossRef]
- Petersenn, S. Biochemical diagnosis of Cushing’s disease: Screening and confirmatory testing. Best. Pr. Res. Clin. Endocrinol. Metab. 2021, 35, 101519. [Google Scholar] [CrossRef]
- Grund, B.; Marvin, L.; Rochat, B. Quantitative performance of a quadrupole-orbitrap-MS in targeted LC–MS determinations of small molecules. J. Pharm. Biomed. Anal. 2016, 124, 48–56. [Google Scholar] [CrossRef] [PubMed]
- Maurer, H.H. Hyphenated high-resolution mass spectrometry-the “all-in-one” device in analytical toxicology? Anal. Bioanal. Chem. 2021, 413, 2303–2309. [Google Scholar] [CrossRef]
- Rochat, B. From targeted quantification to untargeted metabolomics: Why LC-high-resolution-MS will become a key instrument in clinical labs. TrAC Trends Anal. Chem. 2016, 84, 151–164. [Google Scholar] [CrossRef]
- Cerqueira, L.B.; Fachi, M.M.; Kawagushi, W.H.; Pontes, F.L.D.; de Campos, M.L.; Pontarolo, R. New Validated Method. for Quantification of Glycated Hemoglobin by LC-QToF-MS: Is. HRMS Able to Quantify Clinical Samples? J. Am. Soc. Mass. Spectrom. 2020, 31, 1172–1179. [Google Scholar] [CrossRef] [PubMed]
- Kritmetapak, K.; Losbanos, L.A.; Hines, J.M.; O’Grady, K.L.; Ulmer, C.Z.; Vesper, H.W.; Enders, F.T.; Singh, R.J.; Kumar, R. Chemical Characterization and Quantification of Circulating Intact PTH and PTH Fragments by High-Resolution Mass Spectrometry in Chronic Renal Failure. Clin. Chem. 2021, 67, 843–853. [Google Scholar] [CrossRef]
- Storbeck, K.-H.; Schiffer, L.; Baranowski, E.S.; Chortis, V.; Prete, A.; Barnard, L.; Gilligan, L.C.; Taylor, A.E.; Idkowiak, J.; Arlt, W.; et al. Steroid Metabolome Analysis in Disorders of Adrenal Steroid Biosynthesis and Metabolism. Endocr. Rev. 2019, 40, 1605–1625. [Google Scholar] [CrossRef]
- Ceccato, F.; Trementino, L.; Barbot, M.; Antonelli, G.; Plebani, M.; Denaro, L.; Regazzo, D.; Rea, F.; Frigo, A.C.; Concettoni, C.; et al. Diagnostic accuracy of increased urinary cortisol/cortisone ratio to differentiate ACTH-dependent Cushing’s syndrome. Clin. Endocrinol. 2017, 87, 500–507. [Google Scholar] [CrossRef] [PubMed]
- Ohno, M.; Yamaguchi, I.; Saiki, K.; Yamamoto, I.; Azuma, J. Specific determination of urinary 6beta-hydroxycortisol and cortisol by liquid chromatography-atmospheric pressure chemical ionization mass spectrometry. J. Chromatogr. B Biomed. Sci. Appl. 2000, 746, 95–101. [Google Scholar] [CrossRef] [PubMed]
- Barrett, Y.C.; Akinsanya, B.; Chang, S.-Y.; Vesterqvist, O. Automated on-line SPE LC–MS/MS method to quantitate 6beta-hydroxycortisol and cortisol in human urine: Use of the 6beta-hydroxycortisol to cortisol ratio as an indicator of CYP3A4 activity. J. Chromatogr. B 2005, 821, 159–165. [Google Scholar] [CrossRef] [PubMed]
- Lutz, U.; Bittner, N.; Ufer, M.; Lutz, W.K. Quantification of cortisol and 6 beta-hydroxycortisol in human urine by LC-MS/MS, and gender-specific evaluation of the metabolic ratio as biomarker of CYP3A activity. J. Chromatogr. B 2010, 878, 97–101. [Google Scholar] [CrossRef] [PubMed]
- Benzi, J.R.L.; Moreira, F.L.; Marques, M.P.; Duarte, G.; Suarez-Kurtz, G.; Lanchote, V.L. A background subtraction approach for determination of endogenous cortisol and 6β-hydroxycortisol in urine by UPLC-MS/MS with application in a within-day variability study in HIV-infected pregnant women. J. Chromatogr. B Analyt Technol. Biomed. Life Sci. 2020, 1144, 122074. [Google Scholar] [CrossRef]
- Lenders, J.W.M.; Williams, T.A.; Reincke, M.; Gomez-Sanchez, C.E. Diagnosis of endocrine disease: 18-Oxocortisol and 18-hydroxycortisol: Is there clinical utility of these steroids? Eur. J. Endocrinol. 2018, 178, R1–R9. [Google Scholar] [CrossRef]
- Taylor, R.L.; Machacek, D.; Singh, R.J. Validation of a High-Throughput Liquid Chromatography–Tandem Mass Spectrometry Method for Urinary Cortisol and Cortisone. Clin. Chem. 2002, 48, 1511–1519. [Google Scholar] [CrossRef]
- Fong, B.M.-W.; Tam, S.; Leung, K.S.-Y. Improved liquid chromatography–tandem mass spectrometry method in clinical utility for the diagnosis of Cushing’s syndrome. Anal. Bioanal. Chem. 2009, 396, 783–790. [Google Scholar] [CrossRef]
- Marcos, J.; Renau, N.; Casals, G.; Segura, J.; Ventura, R.; Pozo, O.J. Investigation of endogenous corticosteroids profiles in human urine based on liquid chromatography tandem mass spectrometry. Anal. Chim. Acta 2014, 812, 92–104. [Google Scholar] [CrossRef]
- Cuzzola, A.; Mazzini, F.; Petri, A. A comprehensive study for the validation of a LC–MS/MS method for the determination of free and total forms of urinary cortisol and its metabolites. J. Pharm. Biomed. Anal. 2014, 94, 203–209. [Google Scholar] [CrossRef]
- Antonelli, G.; Artusi, C.; Marinova, M.; Brugnolo, L.; Zaninotto, M.; Scaroni, C.; Gatti, R.; Mantero, F.; Plebani, M. Cortisol and cortisone ratio in urine: LC-MS/MS method validation and preliminary clinical application. Clin. Chem. Lab. Med. 2013, 52, 213–220. [Google Scholar] [CrossRef] [PubMed]
- Zhai, X.; Chen, F.; Zhu, C.; Lu, Y. A simple LC–MS/MS method for the determination of cortisol, cortisone and tetrahydro-metabolites in human urine: Assay development, validation and application in depression patients. J. Pharm. Biomed. Anal. 2015, 107, 450–455. [Google Scholar] [CrossRef] [PubMed]
- Kosicka, K.; Siemiątkowska, A.; Pałka, D.; Szpera-Goździewicz, A.; Bręborowicz, G.H.; Główka, F.K. Detailed analysis of cortisol, cortisone and their tetrahydro- and allo-tetrahydrometabolites in human urine by LC-MS/MS. J. Pharm. Biomed. Anal. 2017, 140, 174–181. [Google Scholar] [CrossRef] [PubMed]
- Dasenaki, M.; Papatzani, M.; Gounari, E.; Magnisali, P.; Papadopoulou-Marketou, N.; Kanaka-Gantenbein, C.; Moutsatsou, P. Thomaidis NS. Simultaneous determination of free cortisol, cortisone and their tetrahydrometabolites in urine by single solvent extraction and liquid chromatography–tandem mass spectrometry. Anal. Lett. 2019, 52, 2764–2781. [Google Scholar] [CrossRef]
- Li, Z.M.; Kannan, K. Determination of 19 Steroid Hormones in Human Serum and Urine Using Liquid Chromatography-Tandem Mass Spectrometry. Toxics 2022, 10, 687. [Google Scholar] [CrossRef]
- Ray, J.A.; Kish-Trier, E.; Johnson, L.M. Measurement of Urinary Free Cortisol and Cortisone by LC-MS/MS. Methods Mol. Biol. 2022, 2546, 119–128. [Google Scholar] [PubMed]
- Jin, S.; Wada, N.; Takahashi, Y.; Hui, S.P.; Sakurai, T.; Fuda, H.; Takeda, S.; Fujikawa, M.; Yanagisawa, K.; Ikegawa, S.; et al. Quantification of urinary 18-hydroxycortisol using LC-MS/MS. Ann. Clin. Biochem. 2013, 50, 450–456. [Google Scholar] [CrossRef] [PubMed]
- Zhao, B.; Bian, J.; Rao, M.; She, X.; Lou, Y.; Cai, J.; Ma, W. A dilute-and-shoot liquid chromatography-tandem mass spectrometry method for urinary 18-hydroxycortisol quantification and its application in establishing reference intervals. J. Clin. Lab. Anal. 2022, 36, e24580. [Google Scholar] [CrossRef] [PubMed]
- Wang, Y.; Fujioka, N.; Xing, C. Quantitative profiling of cortisol metabolites in human urine by high-resolution accurate-mass MS. Bioanalysis 2018, 10, 2015–2026. [Google Scholar] [CrossRef] [PubMed]
- Arioli, F.; Gamberini, M.C.; Pavlovic, R.; Di Cesare, F.; Draghi, S.; Bussei, G.; Mungiguerra, F.; Casati, A.; Fidani, M. Quantification of cortisol and its metabolites in human urine by LC-MSn: Applications in clinical diagnosis and anti-doping control. Anal. Bioanal. Chem. 2022, 414, 6841–6853. [Google Scholar] [CrossRef]
- Palermo, M.; Gomez-Sanchez, C.; Roitman, E.; Shackleton, C.H. Quantitation of cortisol and related 3-oxo-4-ene steroids in urine using gas chromatography/mass spectrometry with stable isotope-labeled internal standards. Steroids 1996, 61, 583–589. [Google Scholar] [CrossRef] [PubMed]
- European Medicines Agency. European Medicines Agency, Guideline on Bioanalytical Method Validation; European Medicines Agency: Amsterdam, The Netherlands, 2011. [Google Scholar]
- Sharma, S.T.; Nieman, L.K.; Feelders, R.A. Cushing’s syndrome: Epidemiology and developments in disease management. Clin. Epidemiol. 2015, 7, 281–293. [Google Scholar] [PubMed]
- Casals, G.; Marcos, J.; Pozo, O.J.; Alcaraz, J.; Martínez de Osaba, M.J.; Jiménez, W. Microwave-assisted derivatization: Application to steroid profiling by gas chromatography/mass spectrometry. J. Chromatogr. B Analyt Technol. Biomed. Life Sci. 2014, 960, 8–13. [Google Scholar] [CrossRef] [PubMed]
- McCann, S.J.; Gillingwater, S.; Keevil, B.G. Measurement of urinary free cortisol using liquid chromatography-tandem mass spectrometry: Comparison with the urine adapted ACS:180 serum cortisol chemiluminescent immunoassay and development of a new reference range. Ann. Clin. Biochem. 2005, 42, 112–118. [Google Scholar] [CrossRef] [PubMed]
- Wood, L.; Ducroq, D.H.; Fraser, H.L.; Gillingwater, S.; Evans, C.; Pickett, A.J.; Rees, D.W.; John, R.; Turkes, A. Measurement of urinary free cortisol by tandem mass spectrometry and comparison with results obtained by gas chromatography-mass spectrometry and two commercial immunoassays. Ann. Clin. Biochem. 2008, 45, 380–388. [Google Scholar] [CrossRef] [PubMed]
- Aranda, G.; Careaga, M.; Hanzu, F.A.; Patrascioiu, I.; Ríos, P.; Mora, M.; Morales-Romero, B.; Jiménez, W.; Halperin, I.; Casals, G. Accuracy of immunoassay and mass spectrometry urinary free cortisol in the diagnosis of Cushing’s syndrome. Pituitary 2016, 19, 496–502. [Google Scholar] [CrossRef] [PubMed]
- Palermo, M.; Shackleton, C.H.; Mantero, F.; Stewart, P.M. Urinary free cortisone and the assessment of 11 beta-hydroxysteroid dehydrogenase activity in man. Clin. Endocrinol. 1996, 45, 605–611. [Google Scholar] [CrossRef]
- Vega-Beyhart, A.; Laguna-Moreno, J.; Díaz-Catalán, D.; Boswell, L.; Mora, M.; Halperin, I.; Casals, G.; Hanzu, F.A. Ketoconazole- and Metyrapone-Induced Reductions on Urinary Steroid Metabolites Alter the Urinary Free Cortisol Immunoassay Reliability in Cushing Syndrome. Front. Endocrinol. 2022, 13, 833644. [Google Scholar] [CrossRef]





| GC-MS method | ||||||||
| Cortisone | Cortisol | 6β-Hydroxycortisol | 18-Hydroxycortisol | |||||
| µg/L | A (%) | RSD (%) | A (%) | RSD (%) | A (%) | RSD (%) | A (%) | RSD (%) |
| 12.5 | 98.1 | 4.8 | 92.8 | 6.1 | 93.0 | 6.4 | 95.5 | 5.4 |
| 50 | 100.3 | 2.2 | 95.4 | 2.2 | 98.5 | 5.0 | 97.7 | 2.2 |
| 100 | 102.4 | 1.8 | 103.3 | 2.5 | 103.8 | 4.3 | 105.4 | 1.8 |
| 250 | 99.2 | 2.1 | 102.1 | 2.3 | 101.2 | 2.6 | 100.8 | 1.7 |
| 500 | 100.8 | 1.6 | 97.5 | 1.4 | 97.3 | 2.7 | 101.4 | 0.6 |
| 1000 | 100.3 | 1.5 | 98.8 | 1.8 | 101.7 | 2.3 | 101.1 | 0.8 |
| LC-MS method | ||||||||
| Cortisone | Cortisol | 6β-Hydroxycortisol | 18-Hydroxycortisol | |||||
| µg/L | A (%) | RSD (%) | A (%) | RSD (%) | A (%) | RSD (%) | A (%) | RSD (%) |
| 12.5 | 97.2 | 5.9 | 104.2 | 6.1 | 106.8 | 6.8 | 105.3 | 4.2 |
| 50 | 102.5 | 4.3 | 98.3 | 5.4 | 95.6 | 4.1 | 96.2 | 3.3 |
| 100 | 104.3 | 2.7 | 103.0 | 4.1 | 99.1 | 2.2 | 101.8 | 1.9 |
| 250 | 98.5 | 2.2 | 98.6 | 1.2 | 99.7 | 2.7 | 101.3 | 3.2 |
| 500 | 100.5 | 1.8 | 101.2 | 2.5 | 101.0 | 2.1 | 99.5 | 1.6 |
| 1000 | 100.2 | 0.8 | 99.1 | 1.0 | 100.5 | 2.1 | 100.7 | 1.8 |
| GC-MS | |||
| µg/L | A (%) | RSD (%) | |
| Cortisol | |||
| QC | 25 | 103.2 | 3.2 |
| QC | 125 | 112.7 | 5.1 |
| Urine | 58 | - | 4.2 |
| Urine | 184 | - | 3.7 |
| Cortisone | |||
| QC1 | 25 | 100.0 | 5.1 |
| QC2 | 125 | 106.5 | 5.1 |
| Urine | 67 | - | 6.3 |
| Urine | 193 | - | 4.6 |
| 6β-hydroxycortisol | |||
| QC1 | 25 | 100.8 | 3.9 |
| QC2 | 125 | 108.2 | 4.5 |
| Urine | 219 | - | 6.2 |
| Urine | 353 | - | 8.3 |
| 18-hydroxycortisol | |||
| QC1 | 25 | 99.6 | 4.8 |
| QC2 | 125 | 109.5 | 5.2 |
| Urine | 52 | - | 7.6 |
| Urine | 175 | - | 5.1 |
| LC-HRMS | |||
| µg/L | A (%) | RSD (%) | |
| Cortisol | |||
| QC | 80 | 98.9 | 4.0 |
| QC | 160 | 95.8 | 4.7 |
| Urine | 18 | - | 9.7 |
| Urine | 106 | - | 3.0 |
| Cortisone | |||
| QC | 80 | 99.1 | 4.3 |
| QC | 160 | 97.3 | 4.2 |
| Urine | 40 | - | 5.6 |
| Urine | 126 | - | 4.4 |
| 6β-hydroxycortisol | |||
| QC | 80 | 98.0 | 4.2 |
| QC | 160 | 96.2 | 3.8 |
| Urine | 86 | - | 5.1 |
| Urine | 168 | - | 2.8 |
| 18-hydroxycortisol | |||
| QC | 80 | 95.8 | 7.0 |
| QC | 160 | 93.8 | 4.7 |
| Urine 1 | 40 | - | 10.5 |
| Urine 2 | 112 | - | 5.5 |
Disclaimer/Publisher’s Note: The statements, opinions and data contained in all publications are solely those of the individual author(s) and contributor(s) and not of MDPI and/or the editor(s). MDPI and/or the editor(s) disclaim responsibility for any injury to people or property resulting from any ideas, methods, instructions or products referred to in the content. |
© 2024 by the authors. Licensee MDPI, Basel, Switzerland. This article is an open access article distributed under the terms and conditions of the Creative Commons Attribution (CC BY) license (https://creativecommons.org/licenses/by/4.0/).
Share and Cite
Casals, G.; Ballesteros, M.A.; Zamora, A.; Martínez, I.; Fernández-Varo, G.; Mora, M.; Hanzu, F.A.; Morales-Ruiz, M. LC-HRMS and GC-MS Profiling of Urine Free Cortisol, Cortisone, 6Β-, and 18-Hydroxycortisol for the Evaluation of Glucocorticoid and Mineralocorticoid Disorders. Biomolecules 2024, 14, 558. https://doi.org/10.3390/biom14050558
Casals G, Ballesteros MA, Zamora A, Martínez I, Fernández-Varo G, Mora M, Hanzu FA, Morales-Ruiz M. LC-HRMS and GC-MS Profiling of Urine Free Cortisol, Cortisone, 6Β-, and 18-Hydroxycortisol for the Evaluation of Glucocorticoid and Mineralocorticoid Disorders. Biomolecules. 2024; 14(5):558. https://doi.org/10.3390/biom14050558
Chicago/Turabian StyleCasals, Gregori, María Antonieta Ballesteros, Angielys Zamora, Irene Martínez, Guillermo Fernández-Varo, Mireia Mora, Felicia A. Hanzu, and Manuel Morales-Ruiz. 2024. "LC-HRMS and GC-MS Profiling of Urine Free Cortisol, Cortisone, 6Β-, and 18-Hydroxycortisol for the Evaluation of Glucocorticoid and Mineralocorticoid Disorders" Biomolecules 14, no. 5: 558. https://doi.org/10.3390/biom14050558
APA StyleCasals, G., Ballesteros, M. A., Zamora, A., Martínez, I., Fernández-Varo, G., Mora, M., Hanzu, F. A., & Morales-Ruiz, M. (2024). LC-HRMS and GC-MS Profiling of Urine Free Cortisol, Cortisone, 6Β-, and 18-Hydroxycortisol for the Evaluation of Glucocorticoid and Mineralocorticoid Disorders. Biomolecules, 14(5), 558. https://doi.org/10.3390/biom14050558

