Mechanism of Anti-Salmonella Rabbit Immunoglobulin Adsorption on Polymer Particles
Abstract
:1. Introduction
2. Materials and Methods
2.1. Materials
2.2. Experimental Methods
3. Results and Discussion
3.1. Physicochemical Characteristics of Polystyrene Particles and Immunoglobulin Molecules
3.2. Immunoglobulin Adsorption on Polystyrene Microparticles
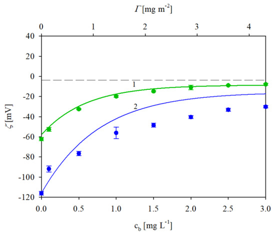
3.3. Stability and Electrokinetic Characteristics of the IgGaR Immunolatex
4. Conclusions
Author Contributions
Funding
Institutional Review Board Statement
Informed Consent Statement
Data Availability Statement
Acknowledgments
Conflicts of Interest
References
- Monopoli, M.P.; Aberg, C.h.; Salvati, A.; Dawson, K.A. Biomolecular coronas provide the biological identity of nanosized materials. Nat. Nanotechnol. 2012, 7, 779–786. [Google Scholar] [CrossRef] [PubMed]
- Milani, S.; Bombelli, F.B.; Pitek, A.S.; Dawson, K.A.; Radler, J. Reversible versus irreversible binding of transferrin to polystyrene nanoparticles: Soft and hard coronas. ACS Nano 2012, 6, 2432–2541. [Google Scholar] [CrossRef] [PubMed]
- Winzen, S.; Schoettler, S.; Baier, G.; Rosenauer, C.; Mailaender, V.; Landfestera, K.; Mohr, K. Complementary analysis of the hard and soft protein corona: Sample preparation critically effects corona composition. Nanoscale 2015, 7, 2882–3001. [Google Scholar] [CrossRef] [PubMed]
- Lee, Y.K.; Choi, E.J.; Webster, T.J.; Kim, S.H.; Khang, D. Effect of the protein corona on nanoparticles for modulating cytotoxicity and immunotoxicity. Int. J. Nanomed. 2015, 10, 97–113. [Google Scholar]
- Marichal, L.; Giraudon-Colas, G.; Cousin, F.; Thill, A.; Labarre, J.; Boulard, Y.; Aude, J.C.; Pin, S.; Renault, J.P. Protein-nanoparticle interactions: What are the protein-corona thickness and organization? Langmuir 2019, 35, 10831–10837. [Google Scholar] [CrossRef]
- Zeng, L.; Gao, J.; Liu, Y.; Gao, J.; Yao, L.; Yang, X.; Liu, X.; He, B.; Hu, L.; Shi, J.; et al. Role of protein corona in the biological effect on nanomaterials: Investigating methods. Trends Anal. Chem. 2019, 118, 30–314. [Google Scholar] [CrossRef]
- Martin-Rodriguez, A.; Ortega-Vinuesa, J.L.; Hidalgo-Alvarez, R. Electrokinetics of protein-coated latex particles. Int. Electrokinet. Electrophor. Surf. Sci. Ser. 2002, 106, 641–670. [Google Scholar]
- Kawaguchi, H. Latex Diagnosis. In Encyclopedia of Biocolloid and Biointerface Science 2V Set, 1st ed.; Ohshima, H., Ed.; John Wiley& Sons Inc.: Hoboken, NJ, USA, 2016; Volume 2, Chapter 50. [Google Scholar]
- Luz, D.; Shiga, E.A.; Chen, G.; Quintilio, W.; Andrade, F.B.; Maranhão, A.Q.; Caetano, B.A.; Mitsunari, T.; Silva, M.A.; Rocha, L.B.; et al. Structural Changes in Stx1 Engineering Monoclonal Antibody Improves Its Functionality as Diagnostic Tool for a Rapid Latex Agglutination Test. Antibodies 2018, 7, 9. [Google Scholar] [CrossRef]
- Silva, M.A.; Santos, A.R.R.; Rocha, L.B.; Caetano, B.A.; Mitsunari, T.; Santos, L.I.; Polatto, J.M.; Horton, D.S.P.Q.; Guth, B.E.C.; Dos Santos, L.F.; et al. Development and Validation of Shiga Toxin-Producing Escherichia coli Immunodiagnostic Assay. Microorganisms 2019, 7, 276. [Google Scholar] [CrossRef]
- Piazza, R.M.; Caetano, B.A.; Henrique, C.P.; Luz, D.; Munhoz, D.D.; Polatto, J.M.; Rocha, L.B.; Silva, M.A.; Mitsunari, T. Chapter 6—Immunological tests for diarrhoea caused by diarrhoeagenic Escherichia coli targeting their main virulence factors. In Methods in Microbiology; Charles, S., Gurtler, P.V., Eds.; Academic Press: Cambridge, MA, USA, 2020; Volume 47, pp. 151–207. [Google Scholar]
- Starkey, C.A.; Yen-Lieberman, B.; Proffitt, M.R. Evaluation of the recombigen HIV-1 latex agglutination test. J. Clin. Microbiol. 1990, 28, 819–822. [Google Scholar] [CrossRef]
- Matter, L.; Germann, D. Detection of human immunodeficiency virus (HIV) type 1 antibodies by new automated microparticle enzyme immunoassay for HIV types 1 and 2. J. Clin. Microbiol. 1995, 33, 2338–2341. [Google Scholar] [CrossRef] [PubMed]
- Shiga, E.A.; Guth, B.E.C.; Piazza, R.M.F.; Luz, D. Comparative analysis of rapid agglutination latex test using single-chain antibody fragments (scFv) versus the gold standard Vero cell assay for Shiga toxin (Stx) detection. J. Microbiol. Methods 2020, 175, 105965. [Google Scholar] [CrossRef] [PubMed]
- Esmail, S.; Knauer, M.J.; Abdoh, H.; Voss, C.; Chin-Yee, B.; Stogios, P.; Seitova, A.; Hutchinson, A.; Yusifov, F.; Skarina, T.; et al. Rapid and accurate agglutination-based testing for SARS-CoV-2 antibodies. Cell Rep. Methods 2021, 21, 100011. [Google Scholar] [CrossRef] [PubMed]
- Whitman, J.D.; Hiatt, J.; Mowery, C.T.; Shy, B.R.; Yu, R.; Yamamoto, T.N.; Rathore, U.; Goldgof, G.M.; Whitty, C.; Woo, J.M.; et al. Test performance evaluation of SARS-CoV-2 serological assays. medRxiv 2020, 17. [Google Scholar]
- Li, Z.; Yi, Y.; Luo, X.; Xiong, N.; Liu, Y.; Li, S.; Sun, R.; Wang, Y.; Hu, B.; Chen, W.; et al. Development and clinical application of a rapid IgM-IgG combined antibody test for SARS-CoV-2 infection diagnosis. J. Med. Virol. 2020, 92, 1518–1524. [Google Scholar] [CrossRef]
- Peeling, R.W.; Wedderburn, C.J.; Garcia, P.J.; Boeras, D.; Fongwen, N.; Nkengasong, J.; Sall, A.; Tanuri, A.; Heymann, D.L. Serology testing in the COVID-19 pandemic response. Lancet Infect. Dis. 2020, 20, 245–249. [Google Scholar] [CrossRef]
- Peng, R.; Pan, Y.; Li, Z.; Qin, Z.; Rini, J.M.; Liu, X. SPEEDS: A portable serological testing platform for rapid electrochemical detection of SARS-CoV-2 antibodies. Biosens. Bioelectron. 2022, 197, 113762. [Google Scholar] [CrossRef]
- Serra, J.; Puig, J.; Martin, A.; Galisteo, F.; Galvez, M.J.; Hidalgo-Alvarez, R. On the adsorption of IgG onto polystyrene particles: Electrophoretic mobility and critical coagulation concentration. Colloid Polym. Sci. 1992, 270, 574–583. [Google Scholar] [CrossRef]
- Galisteo-Gonzalez, F.; Puig, J.; Martin-Rodriguez, A.; Serra-Domenech, J.; Hidalgo-Alvarez, R. Influence of electrostatic forces on IgG adsorption onto polystyrene beads. Colloids Surf. B 1994, 2, 435–441. [Google Scholar] [CrossRef]
- Sofińska, K.; Adamczyk, Z.; Barbasz, J. Mechanism of immunoglobulin G adsorption on polystyrene microspheres. Colloids Surf. B 2015, 137, 183–190. [Google Scholar] [CrossRef]
- Żeliszewska, P.; Wasilewska, M.; Adamczyk, Z. Monolayers of immunoglobulin G on polystyrene microparticles and their interaction with human serum albumin. J. Colloid Interface Sci. 2017, 490, 587–597. [Google Scholar] [CrossRef] [PubMed]
- Żeliszewska, P.; Szych, J.; Wasilewska, M.; Adamczyk, Z. Kinetics of immunolatex deposition at abiotic surfaces under flow conditions: Towards quantitative agglutination assays. Int. J. Mol. Sci. 2023, 24, 692. [Google Scholar] [CrossRef] [PubMed]
- Goodwin, J.; Hearn, J.; Ho, C.C.; Otewill, R.H. Studies on the preparation and characterisation of monodisperse polystyrene laticee. Colloid Polym. Sci. 1974, 252, 464–471. [Google Scholar] [CrossRef]
- Hückel, E. Die Kataphorese der Kugel. Phys. Z. 1924, 25, 204–210. [Google Scholar]
- Henry, D.C.; Lapworth, A. The cataphoresis of suspended particles. Part I. The equation of cataphoresis. Proc. R. Soc. London Ser. A Contain. Pap. Math. Phys. Character 1931, 133, 106–129. [Google Scholar]
- Smoluchowski, M. Contribution a la theorie de l’endosome electrique et de quelques phenomenes correlatifs. (Bull l’Academie des Sci Cracovie. 1903, 182–199). J. Phys. Theor. Appl. 1904, 3, 912. [Google Scholar]
- Wasilewska, M.; Adamczyk, Z. Fibrinogen adsorption on mica studied by AFM and in situ streaming potential measurements. Langmuir 2010, 27, 686–696. [Google Scholar] [CrossRef]
- Dąbkowska, M.; Adamczyk, Z. Human serum albumin monolayers on mica: Electrokinetic characteristics. Langmuir 2012, 28, 15663–15673. [Google Scholar] [CrossRef]
- Rojas, O. Adsorption of polyelectrolytes on mica. In Encyclopedia of Surface and Colloid Science; Marcel Dekker: New York, NY, USA, 2002; p. 517. [Google Scholar]
- Bratek-Skicki, A.; Żeliszewska, P.; Adamczyk, Z. Human fibrinogen adsorption on latex particles at pH 7.4 studied by electrophoretic mobility and AFM measurements. Curr. Top. Med. Chem. 2014, 14, 640–648. [Google Scholar] [CrossRef]
- Kujda, M.; Adamczyk, Z.; Cieśla, M. Monolayers of the HSA dimer on polymeric microparticles—Electrokinetic characteristics. Colloid Surf. B 2016, 148, 229–237. [Google Scholar] [CrossRef]
- Żeliszewska, P.; Wasilewska, M.; Cieśla, M.; Adamczyk, Z. Deposition of polymer particles with fibrinogen corona at abiotic surfaces under flow conditions. Molecules 2021, 26, 6299. [Google Scholar] [CrossRef]
- Adamczyk, Z.; Sadlej, K.; Wajnryb, E.; Nattich, M.; Ekiel-Jeżewska, M.; Bławzdziewicz, J. Streaming potential studies of colloid, polyelectrolytes and protein deposition. Adv. Colloid Interface Sci. 2010, 153, 1–29. [Google Scholar] [CrossRef]
- Ekiel-Jeżewska, M.L.; Adamczyk, Z.; Bławzdziewicz, J. Streaming Current and Effective zeta potential for Particle-Covered Surfaces with Random Particle Distributions. J. Phys. Chem. 2019, 123, 3517–3531. [Google Scholar]
- Carrasco, B.; de la Torre, J.G.; Davis, K.G.; Jones, S.; Athwal, D.; Walters, C.; Burton, D.R.; Harding, S.E. Crystallohydrodynamics for solving the hydration problem for multi-domain proteins: Open physiological conformations for human IgG. Biophys. Chem. 2001, 93, 181–196. [Google Scholar] [CrossRef]
- Boswell, C.; Tesar, D.; Mukhyala, K.; Theil, F.; Fielder, P.; Khawli, L. Effects of chargé on antibody tissue distribution and pharmacokinetics. Bioconjugate Chem. 2010, 21, 2153–2163. [Google Scholar] [CrossRef] [PubMed]
- Yang, D.; Kroe-Barrett, R.; Singh, S.; Laue, T. IgG charge: Practical and biological implications. Antibodies 2019, 8, 24. [Google Scholar] [CrossRef]
- Lunkad, R.; Barroso da Silva, F.L.; Košovan, P. Both Charge-Regulation and Charge-Patch Distribution Can Drive Adsorption on the Wrong Side of the Isoelectric Point. J. Am. Chem. Soc. 2022, 44, 1813–1825. [Google Scholar] [CrossRef] [PubMed]
- Caetano, D.L.Z.; Metzler, R.; Cherstvy, A.G.; Carvalho, S.J. Adsorption of lysozyme into a charged confining pore. Phys. Chem. Chem. Phys. 2021, 23, 27195–27206. [Google Scholar] [CrossRef] [PubMed]








| pH | NaCl Concentration [mM] | Polystyrene Microparticles | Immunoglobulin IgaR | |||
|---|---|---|---|---|---|---|
| µe [µm cm/Vs] | ζi [mV] | σ0 [e nm−2] | µe [µm cm/Vs] | ζp [mV] | ||
| 3.5 | 10 | −7.8 ± 0.2 | −100 ± 3 −101 ± 3 * | −0.26 | 1.4 ± 0.1 | 26 ± 1 * |
| 150 | −4.2 ± 0.1 | −54 ±1 −54 ± 1 * | −0.36 | 0.59 ± 0.1 | 10 ± 2 * | |
| 7.4 | 10 | −9.0 ± 0.3 | −116 ± 2 −117 ± 2 * | −0.34 | −1.1 ± 0.2 | −20 ± 3 * |
| 150 | −4.5 ± 0.2 | −57 ± 2 −58 ± 2 * | −0.39 | −0.52 ± 0.2 | −10 ± 1 * | |
Disclaimer/Publisher’s Note: The statements, opinions and data contained in all publications are solely those of the individual author(s) and contributor(s) and not of MDPI and/or the editor(s). MDPI and/or the editor(s) disclaim responsibility for any injury to people or property resulting from any ideas, methods, instructions or products referred to in the content. |
© 2023 by the authors. Licensee MDPI, Basel, Switzerland. This article is an open access article distributed under the terms and conditions of the Creative Commons Attribution (CC BY) license (https://creativecommons.org/licenses/by/4.0/).
Share and Cite
Żeliszewska, P.; Wasilewska, M.; Szych, J.; Adamczyk, Z. Mechanism of Anti-Salmonella Rabbit Immunoglobulin Adsorption on Polymer Particles. Biomolecules 2023, 13, 1390. https://doi.org/10.3390/biom13091390
Żeliszewska P, Wasilewska M, Szych J, Adamczyk Z. Mechanism of Anti-Salmonella Rabbit Immunoglobulin Adsorption on Polymer Particles. Biomolecules. 2023; 13(9):1390. https://doi.org/10.3390/biom13091390
Chicago/Turabian StyleŻeliszewska, Paulina, Monika Wasilewska, Jolanta Szych, and Zbigniew Adamczyk. 2023. "Mechanism of Anti-Salmonella Rabbit Immunoglobulin Adsorption on Polymer Particles" Biomolecules 13, no. 9: 1390. https://doi.org/10.3390/biom13091390
APA StyleŻeliszewska, P., Wasilewska, M., Szych, J., & Adamczyk, Z. (2023). Mechanism of Anti-Salmonella Rabbit Immunoglobulin Adsorption on Polymer Particles. Biomolecules, 13(9), 1390. https://doi.org/10.3390/biom13091390

