Abstract
The identification of robust circulating biomarkers of stroke may improve outcomes. We conducted a systematic review and meta-analysis of serum concentrations of ischaemia-modified albumin (IMA) in subjects with or without acute ischaemic stroke (AIS), intracerebral haemorrhage (ICH), and subarachnoid haemorrhage (SAH). We searched PubMed, Web of Science, Scopus, and Google Scholar from inception to March 2022. Risk of bias and certainty of evidence were assessed using the Joanna Briggs Institute Critical Appraisal Checklist and GRADE, respectively. In 17 studies, IMA concentrations were significantly higher in patients with AIS (standard mean difference, SMD = 2.52, 95% CI 1.92 to 3.12; p < 0.001), ICH (SMD = 3.13, 95% CI 1.00 to 5.25; p = 0.004), and SAH (SMD = 4.50, 95% CI 0.91 to 7.01; p = 0.014) vs. controls (very low certainty of evidence). In AIS, the effect size was associated with the male gender, and was relatively larger in studies conducted in Egypt and India and those using enzyme-linked immunosorbent assays. IMA concentrations were progressively higher, by direct comparison, in SAH, ICH, and AIS. In sensitivity analysis, the pooled SMDs were not altered when individual studies were sequentially removed. Our meta-analysis suggests that IMA concentrations might be useful to diagnose stroke and discriminate between AIS, ICH, and SAH (PROSPERO registration number: CRD42021320535).
1. Introduction
Stroke represents the acute neurological injury that results from brain ischaemia, particularly acute ischaemic stroke (AIS), and brain haemorrhage secondary to intracerebral haemorrhage (ICH) or subarachnoid haemorrhage (SAH). AIS, ICH, and SAH account for 62%, 28%, and 10% of strokes worldwide, respectively [1,2]. Despite significant advances in diagnosis and management, stroke remains the second leading cause of mortality and disability globally, and accounts for 3–7% of the total healthcare costs in developed countries with an estimated cost per person of USD 140,048 [3,4]. A critical determinant of clinical outcomes is the early diagnosis of the specific stroke subtype, which allows the prompt institution of reperfusion therapies (AIS), treatment of specific haemodynamic parameters (AIS, ICH, and SAH), or surgical intervention (AIS and SAH) [5,6,7,8]. A correct diagnosis, primarily using brain imaging, is also important as different stroke sub-types share common risk factors, e.g., hypertension and diabetes, and their clinical presentation may mimic other neurological disorders such as migraine, epilepsy, and brain tumours [5,6,7,8]. However, rapid access to imaging facilities can be challenging in remote areas, low-income countries, or when the clinical presentation is particularly subtle. This has prompted the search for additional biomarkers for the diagnosis of stroke. Ideally, such biomarkers should be easily measurable and interpretable, accurate, reproducible, and, if possible, guide appropriate management strategies [9].
Several blood proteins have been investigated for their potential use as stroke biomarkers in view of their ability to reflect specific pathophysiological processes occurring in the brain, e.g., glial activation, neuronal injury, altered haemostasis, endothelial dysfunction, inflammation, and apoptosis [10,11,12]. Albumin, one of the most abundant circulating proteins, undergoes chemical modifications of the N-terminal sequence during ischaemic conditions, which lead to the generation of ischaemia-modified albumin (IMA). Such modifications are thought to be the result of a state of oxidative stress, increased production of reactive oxygen species, and acidosis, typically associated with ischaemia [13]. Compared to parent albumin, IMA exhibits a reduced binding capacity for metals, particularly copper, nickel, and cobalt [13]. Serum concentrations of IMA increase within 24 h in AIS and then gradually decrease over the following week [14,15]. Similar increases, albeit of a smaller magnitude, have also been observed in ICH and SAH [16], suggesting the potential role of IMA as a biomarker of stroke as well as a tool to differentiate between AIS, ICH, and SAH. We sought to investigate this issue by conducting a systematic review and meta-analysis of serum IMA concentrations in subjects with or without AIS, ICH, and SAH. The primary hypothesis was to demonstrate the presence of significant differences in IMA concentrations between patients with AIS, ICH, or SAH and non-stroke controls. In addition, we sought to determine the presence of differences in IMA concentrations between AIS, ICH, and SAH patients.
2. Materials and Methods
2.1. Literature Search and Study Selection
A systematic literature search was conducted in PubMed, Web of Science, Scopus and Google Scholar, from inception to March 2022, using the following terms: “acute ischaemic stroke” or “intracerebral haemorrhage” or “brain haemorrhage” or “subarachnoid haemorrhage” and “ischaemia-modified albumin”. Abstracts were independently screened by two investigators. If relevant, the full text was reviewed. Eligibility criteria were: (i) assessment of ischaemia-modified albumin in serum; (ii) comparison of subjects with or without AIS, ICH, and SAH (case-control design); (iii) sample size ≥10 participants; (iv) English language, and (v) full-text available. The references of the retrieved articles were also searched for additional studies. Any disagreement between the reviewers was resolved by a third investigator. The risk of bias was assessed using the Joanna Briggs Institute (JBI) Critical Appraisal Checklist for analytical studies (low, moderate, and high risk was indicated by a score of ≥5, 4, and <4, respectively) [17]. The certainty of evidence was assessed using the Grades of Recommendation, Assessment, Development and Evaluation (GRADE) Working Group system, which considers the study design, the risk of bias, the presence of unexplained heterogeneity, the indirectness of evidence, the imprecision of the results, the effect size [18], and the probability of publication bias [19]. The study complied with the Preferred Reporting Items for Systematic reviews and Meta-Analyses (PRISMA) 2020 statement (Supplementary Tables S1 and S2) [20]. The protocol was registered in the International Prospective Register of Systematic Reviews (PROSPERO, CRD42021320535).
2.2. Statistical Analysis
As different units of measurement (U/mL, absorbance units, pg/mL, or g/dL) were used to express IMA concentrations, standardised mean differences (SMDs) and 95% confidence intervals (CIs) were used to build forest plots of continuous data and to evaluate differences in serum IMA concentrations between participants with and without AIS, ICH, and SAH (significance level at p < 0.05). If necessary, means and standard deviations were extrapolated from medians and interquartile ranges [21]. Heterogeneity of SMD across studies was tested using the Q statistic (significance level at p < 0.10). An I2 value < 30% indicated no or slight heterogeneity whereas I2 ≥ 30% indicated moderate or substantial heterogeneity [22]. A random-effect model based on the inverse-variance method was used in the presence of moderate or substantial heterogeneity [22]. Sensitivity analysis was performed to investigate the influence of each study on the overall risk estimate [23]. Begg’s adjusted rank correlation test and Egger’s regression asymmetry test were used to assess publication bias (significance level at p < 0.05) [24,25]. The Duval and Tweedie “trim and fill” procedure was performed to further test and eventually correct the occurrence of publication bias. This method ‘trims’ (removes) smaller studies, causing funnel plot asymmetry, uses the trimmed funnel plot to estimate the true ‘centre’ of the funnel, then replaces the omitted studies and their missing ‘counterparts’ around the centre (filling). Besides providing an estimate of the number of missing studies, an adjusted intervention effect is derived by performing a meta-analysis including the filled studies [26]. Univariate meta-regression analyses were conducted to investigate associations between effect size and the following study and patient characteristics: age, the proportion of males, history of diabetes and hypertension, year of publication, sample size, and the country where the study was conducted. Statistical analyses were performed using Stata 14 (STATA Corp., College Station, TX, USA).
3. Results
3.1. Systematic Research
We identified 337 studies. A total of 316 were excluded after the initial screening because they were either duplicates or irrelevant. After a full-text review of the remaining 21 articles, four were further excluded because they did not fulfil the inclusion criteria or presented duplicate data. Thus, 17 studies were included in the final analysis (Figure 1 and Table 1) [15,16,27,28,29,30,31,32,33,34,35,36,37,38,39,40,41]. In all studies, the diagnosis of AIS, ICH, or SAH was made according to current professional recommendations and serum IMA was measured within 24 h of symptom onset. Most studies, 15 out of 17, were conducted in Turkey (n = 6), China (n = 3), India (n = 4), and Egypt (n = 2).
Figure 1.
PRISMA 2020 flow diagram.
Table 1.
Study characteristics.
3.2. Acute Ischaemic Stroke
3.2.1. Studies Selected
Seventeen studies reported IMA concentrations in 1136 AIS patients and 988 controls (Table 1).
3.2.2. Risk of Bias
The risk of bias was low in all studies (Table 2).
Table 2.
The Joanna Briggs Institute critical appraisal checklist.
3.2.3. Results of Individual Studies and Syntheses
The forest plot of IMA concentrations in AIS patients and control subjects is shown in Figure 2. IMA concentrations were higher in AIS patients in all studies (mean difference range, 0.36 to 7.54) although the difference was not significant in two [28,35]. A random-effects model was used in view of the substantial heterogeneity observed (I2 = 96.5%, p < 0.001). Pooled results showed that IMA concentrations were significantly higher in AIS (SMD = 2.52, 95% CI 1.92 to 3.12; p < 0.001). In sensitivity analysis, the corresponding pooled SMD values were not substantially altered when each study was sequentially omitted (effect size range, between 2.35 and 2.65; Figure 3).
Figure 2.
Forest plot of studies examining ischaemia-modified albumin in patients with acute ischaemic stroke and controls.
Figure 3.
Sensitivity analysis of the association between ischaemia-modified albumin and acute ischaemic stroke. For each study, the effect size (hollow circles) corresponds to an overall effect derived from a meta-analysis excluding that study.
3.2.4. Publication Bias
There was a significant publication bias according to the Begg’s (p = 0.004) and Egger’s test (p = 0.002). Accordingly, the “trim-and-fill” method identified five potential missing studies to be added to the left of the funnel plot to ensure symmetry (Figure 4). This resulted in a reduced, albeit significant, effect size (SMD = 1.51, 95% CI 0.80–2.21; p < 0.001).
Figure 4.
Funnel plot of ischaemia-modified albumin concentrations in patients with acute ischaemic stroke and controls after “trimming-and-filling”. Dummy studies and genuine studies are represented by enclosed circles and free circles, respectively.
3.2.5. Meta-Regression and Subgroup Analysis
In univariate meta-regression, there were no significant associations between effect size and age (t = −0.67, p = 0.52), publication year (t = 0.85, p = 0.41), sample size (t = −0.97, p = 0.37), or hypertension (t = −0.40, p = 0.70). By contrast, there was a significant association with the proportion of males (t = 3.40, p = 0.005) and a non-significant trend with diabetes (t = 1.91, p = 0.086) (Figure 5). In sub-group analysis (Figure 6), the effect size was relatively larger in studies conducted in Egypt (SMD = 6.44, 95% CI 4.21 to 8.67) and India (SMD = 3.34, 95% CI 2.01 to 4.67; p < 0.001) when compared to China (SMD = 2.35, 95% CI 1.33 to 3.38; p < 0.001) or Turkey (SMD = 1.37, 95% CI 0.81 to 1.92; p < 0.001). Heterogeneity remained substantial, between 86.9% and 97.1%, in all sub-groups. Furthermore, the effect size was relatively larger in studies using enzyme-linked immunosorbent assays (SMD = 6.13, 95% CI 3.41 to 8.85) compared to albumin cobalt-binding spectrophotometric assays (SMD = 2.32, 95% CI 1.55 to 3.10) or automatic analysers (SMD = 1.48, 95% CI 1.16 to 1.80), with substantial heterogeneity in all sub-groups, between 77.3% and 95.3% (Figure 7). In meta-regression analysis, there was a significant difference between albumin cobalt -binding spectrophotometric assays and enzyme-linked immunosorbent assays (p = 0.012), and between automatic analysers and enzyme-linked immunosorbent assays (p = 0.006), but not between albumin cobalt-binding spectrophotometric assays and automatic analysers (p = 0.32)
Figure 5.
Univariate meta-regression analysis between effect size, proportion of males (A) and diabetes (B).
Figure 6.
Forest plot of studies examining ischaemia-modified albumin in acute ischaemic stroke according to the country where the study was conducted.
Figure 7.
Forest plot of studies examining ischaemia-modified albumin in acute ischaemic stroke according to the assay method.
3.2.6. Certainty of Evidence
The initial level of certainty for IMA SMD values was considered low because of the cross-sectional nature of the studies (rating 2, ⊕⊕⊝⊝). After considering the low risk of bias in all studies (no rating change required), the extreme and unexplained heterogeneity (downgrade one level), the lack of indirectness (no rating change required), the relatively low imprecision (relatively narrow confidence intervals without threshold crossing, no rating change required), the large effect size (SMD = 2.52, upgrade one level), and the presence of publication bias (downgrade one level), the overall level of certainty was downgraded to very low (rating 1, ⊕⊝⊝⊝).
3.3. Intracerebral Haemorrhage
3.3.1. Studies Selected
Six studies reported IMA concentrations in 132 ICH patients and 291 controls [16,27,28,30,34,35].
3.3.2. Risk of Bias
The risk of bias was low in all studies (Table 2).
3.3.3. Results of Individual Studies and Syntheses
The forest plot of IMA concentrations in ICH patients and controls is shown in Figure 8. In all studies, ICH patients had higher IMA concentrations (mean difference range, 0.30 to 6.73) although the difference was not significant in two [28,35]. A random-effects model was used given the substantial heterogeneity observed (I2 = 97.8%, p < 0.001). Pooled results showed that IMA concentrations were significantly higher in ICH patients than controls (SMD = 3.13, 95% CI 1.00 to 5.25; p = 0.004). In sensitivity analysis, the corresponding pooled SMD values were not substantially altered when individual studies were sequentially omitted (effect size range, between 2.41 and 3.69; Figure 9). There was a non-significant trend toward lower IMA concentrations in ICH versus AIS patients (SMD = −0.48, 95% CI −0.98 to 0.01; p = 0.056; I2 = 79.5%, p < 0.001) (Figure 10).
Figure 8.
Forest plot of studies examining ischaemia-modified albumin in patients with intracerebral haemorrhage and controls.
Figure 9.
Sensitivity analysis of the association between serum ischaemia-modified albumin and intracerebral haemorrhage. For each study, the displayed effect size (hollow circles) corresponds to an overall effect calculated from a meta-analysis excluding that study.
Figure 10.
Forest plot of studies examining ischaemia-modified albumin in patients with intracerebral haemorrhage and acute ischaemic stroke.
3.3.4. Publication Bias
The assessment of publication bias could not be performed because of the small number of studies.
3.3.5. Meta-Regression and Sub-Group Analysis
Meta-regression and sub-group analyses could not be performed because of the small number of studies.
3.3.6. Certainty of Evidence
The initial level of certainty for IMA SMD values was considered low because of the cross-sectional nature of the studies (rating 2, ⊕⊕⊝⊝). After considering the low risk of bias in all studies (no rating change required), the extreme and unexplained heterogeneity (downgrade one level), the lack of indirectness (no rating change required), the relatively low imprecision (relatively narrow confidence intervals without threshold crossing, no rating change required), the large effect size (SMD = 3.13, upgrade one level), and the lack of assessment of publication bias (downgrade one level), the overall level of certainty was downgraded to very low (rating 1, ⊕⊝⊝⊝).
3.4. Subarachonid Haemorrhage
3.4.1. Studies Selected
Three studies reported IMA concentrations in 90 SAH patients and 218 controls [16,27,30].
3.4.2. Risk of Bias
The risk of bias was low in all studies (Table 2).
3.4.3. Results of Individual Studies and Syntheses
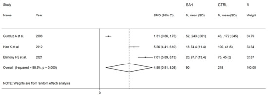
The forest plot of IMA concentrations in SAH patients and controls is shown in Figure 11. In all studies, SAH patients had significantly higher IMA concentrations (mean difference range, 1.31 to 7.01). Substantial heterogeneity between studies was observed (I2 = 98.5%, p < 0.001), which justified the use of a random-effects model. Pooled results showed that IMA concentrations were significantly higher in SAH patients than controls (SMD = 4.50, 95% CI 0.91 to 7.01; p = 0.014). In sensitivity analysis, the direction of pooled SMD values was not modified when each study was in turn removed (effect size range, between 3.3 and 6.1; Figure 12). IMA concentrations in SAH patients were significantly lower than AIS patients (SMD = −0.60, 95% CI −0.93 to −0.27; p < 0.001; I2 = 0.0%, p = 0.979; Figure 13) but not significantly lower than ICH patients (SMD = −0.30, 95% CI −0.64 to 0.04; p = 0.086; I2 = 0.0%, p = 0.631; Figure 14).
Figure 11.
Forest plot of studies examining ischaemia-modified albumin in patients with subarachnoid haemorrhage and controls.
Figure 12.
Sensitivity analysis of the association between serum ischaemia-modified albumin and subarachonid haemorrhage. For each study, the displayed effect size (hollow circles) corresponds to an overall effect calculated from a meta-analysis excluding that study.
Figure 13.
Forest plot of studies examining ischaemia-modified albumin in patients with subarachnoid haemorrhage and acute ischaemic stroke.
Figure 14.
Forest plot of studies examining ischaemia-modified albumin values in patients with subarachnoid haemorrhage and intracerebral haemorrhage.
3.4.4. Publication Bias
The assessment of publication bias was not possible because of the small number of studies.
3.4.5. Meta-Regression and Subgroup Analysis
Meta-regression and subgroup analyses could not be conducted because of the small number of studies.
3.4.6. Certainty of Evidence
The initial level of certainty for IMA SMD values was considered low because of the cross-sectional nature of the studies (rating 2, ⊕⊕⊝⊝). After considering the low risk of bias in all studies (no rating change required), the extreme and unexplained heterogeneity (downgrade one level), the lack of indirectness (no rating change required), the relatively low imprecision (relatively narrow confidence intervals without threshold crossing, no rating change required), the large effect size (SMD = 4.50, upgrade one level), and the lack of assessment of publication bias (downgrade one level), the overall level of certainty was downgraded to very low (rating 1, ⊕⊝⊝⊝).
4. Discussion
In our systematic review and meta-analysis, serum IMA concentrations within 24 h of symptom onset were significantly higher in patients with AIS, ICH, and SAH, diagnosed according to current guidelines, when compared to non-stroke controls. In studies investigating AIS, meta-regression analysis showed a significant association between effect size and proportion of males but not with other patient or study characteristics. Furthermore, in sub-group analysis, the effect size was relatively larger in studies conducted in Egypt and India when compared to China or Turkey. The relatively small number of studies investigating ICH and SAH did not allow conducting meta-regression or subgroup analyses. Notably, in studies performing direct comparisons between different stroke subtypes, serum IMA concentrations were progressively higher in SAH, ICH, and AIS. Therefore, the results of our study suggest that IMA could be a useful biomarker for the early diagnosis of stroke and to differentiate between SAH, ICH, and AIS, particularly when rapid access to imaging facilities is delayed or not possible.
Albumin undergoes modifications during ischaemic conditions that are associated with a pro-oxidative state, the increased generation of reactive oxygen species, and an acidic environment [42,43,44]. Although the exact chemical reactions involved in such modifications are not fully established, the resulting variant, IMA, has been shown to be transient as it generally reverts to albumin after an ischaemic event. For example, a significant increase in serum IMA concentrations occurred within 10 min of balloon occlusion during a percutaneous coronary intervention and persisted for up to 12 h before returning to baseline after a further 12 h [45]. The magnitude of such changes seems to depend on the duration of the ischaemic process being more prominent after prolonged ischaemia [13].
Several colorimetric and immunochemical methods have been developed to measure circulating IMA concentrations. Whilst some of them are relatively simple and have high sensitivity and specificity, particularly the albumin copper-binding assay, the enzyme-linked immunosorbent assay, and the surface plasmon resonance immunosensor, their use is currently limited to small-scale research studies [13]. In our systematic review and meta-analysis, the majority of studies measured IMA using the albumin cobalt-binding method based on the measurement of the binding of cobalt to albumin in serum [46]. Known concentrations of cobalt are added to a serum sample that binds to normal albumin but not to IMA. The unbound cobalt ions react with dithiothreitol, a colourising reagent, to form coloured complexes that can be quantified spectrophotometrically. Whilst extensively used for measuring IMA, this method is not exempt from limitations as conformational changes in albumin due to fluctuations in pH or the presence of denaturing agents, chemicals, or medications, can lead to inaccurate results [13]. Another issue is with regard to the lack of standardization. Most authors express the results as absorbance units, which might depend on investigator experience and/or sensitivity of the equipment [13]. Furthermore, some investigators have used IMA internal standards obtained in their laboratories [13]. Such limitations might account, at least partly, for the between-study variance observed in our meta-analysis, although lack of consensus regarding the exact mechanisms involved in the generation of IMA should also be emphasised in this context. To address these issues, methods for assessing IMA concentrations in biological fluids based on immunological reactions using antibodies to modified albumin have been proposed, although their use remains relatively limited. In our analyses, the use of enzyme-linked immunosorbent assays was associated with a significantly larger effect size when compared to albumin copper-binding spectrophotometric assays or automatic analysers. However, in the selected studies, no information was provided regarding the type of assay used in automatic analysers, which might be theoretically based on modified protocols of the albumin copper-binding assay. This proposition would explain the absence of significant differences in effect size between studies using albumin copper-binding assays and those using automatic analysers.
The role of IMA as a diagnostic biomarker has primarily been investigated in clinically overt ischaemic states, e.g., acute coronary syndrome and AIS. However, a significant increase in serum IMA concentrations has also been reported in other conditions such as heart failure [47], neurodegenerative disorders [48], diabetes [49], pregnancy disorders [50,51,52], and cancer [53]. The results of these studies, together with the evidence of increased IMA concentrations in ICH and SAH [16,27,28,30,34,35], suggest that the likely common denominator for the acute increase in IMA accompanying a wide range of conditions is a state of oxidative stress rather than ischaemia per se [54,55]. In the context of stroke, for example, increasing evidence suggests a critical role of oxidative stress in the pathophysiology and clinical progress of ICH and SAH, which might also account for the increased generation of IMA [56,57,58,59].
A previous systematic review and meta-analysis investigated the diagnostic accuracy of IMA in six studies of AIS, reporting a sensitivity of 0.80 (95% CI 0.69 to 0.88), a specificity of 0.80 (95% CI 0.71 to 0.87), and an area under the receiver operating characteristic curve of 0.86 (95% CI 0.83 to 0.89). The control group was represented by subjects without stroke in four studies and various combination of non-stroke, ICH, and SAH participants in the remaining two [60]. Unlike this study, we separately meta-analysed the SMDs of IMA concentrations in patients with AIS, ICH, and SAH vs. non-stroke controls and investigated possible differences in IMA concentrations between stroke subtypes. The mechanisms underlying the reported association, in meta-regression analysis, between effect size and proportion of males require further investigation as a recent study failed to report significant differences in serum IMA concentrations between males ≥45 years (representative of the patients in the studies selected, Table 1) and fertile and post-menopausal females [61]. However, it is also important to emphasise that several studies have reported the presence of gender-associated differences in oxidative stress, with females exhibiting a reduced susceptibility to oxidative stress [62,63]. Furthermore, the relatively larger effect size, in sub-group analysis, in studies conducted in Egypt and India when compared to China or Turkey, suggests possible differences in IMA generation between specific ethnic groups. This proposition is supported by the results of studies reporting significant differences in IMA concentrations between Africans and Caucasians [64,65]. Alike gender, further research is warranted to determine whether possible ethnic-related differences in IMA changes during stroke reflect underlying differences in oxidative stress responses to brain insults [66,67]. Finally, the observation of the relatively higher IMA concentrations in AIS when compared to ICH and SAH, whilst suggesting the potential utility of IMA in discriminating between specific stroke subtypes, require further confirmatory studies given the significant differences in the management of patients with ischaemic vs. haemorrhagic stroke.
The strengths of our study include the conduct of separate meta-analyses for AIS, ICH, and SAH, the investigation, when possible, of associations between the effect size and several patient and study characteristics using meta-regression and subgroup analysis, and the assessment of the certainty of evidence using GRADE. One important limitation is represented by the substantial between-study heterogeneity. However, it is also important to emphasise that in sensitivity analysis, the effect size was not substantially affected when individual studies were in turn removed.
5. Conclusions
Our systematic review and meta-analysis have shown the presence of significant differences in serum IMA concentrations between patients with specific stroke subtypes and non-stroke controls. Additional research is warranted to investigate the relationships between IMA generation and the extent of brain damage, clinical progress, long-term outcomes, and specific patient characteristics such as gender and ethnicity. Only then can the clinical utility of routine IMA measurements be appropriately determined.
Supplementary Materials
The following are available online at https://www.mdpi.com/article/10.3390/biom12050653/s1, Table S1: PRISMA 2020 abstract checklist; Table S2: PRISMA 2020 manuscript checklist.
Author Contributions
A.A.M. and A.Z. designed the study, screened the articles, assessed the risk of bias, extracted the data, analysed, and interpreted the data. A.A.M. wrote the first draft of the manuscript. A.A.M. and A.Z. reviewed the subsequent versions and the final draft. All authors have read and agreed to the published version of the manuscript.
Funding
This research was supported by grants from “Fondo di Ateneo per la Ricerca–annualità 2019”.
Institutional Review Board Statement
Not required as this was a systematic review and meta-analysis of published studies.
Informed Consent Statement
Not required as this was a systematic review and meta-analysis of published studies.
Data Availability Statement
The data that support the findings of this systematic review and meta-analysis are available from the corresponding author, A.Z., upon reasonable request.
Conflicts of Interest
The authors declare no conflict of interest.
References
- Krishnamurthi, R.V.; Feigin, V.L.; Forouzanfar, M.H.; Mensah, G.A.; Connor, M.; Bennett, D.A.; Moran, A.E.; Sacco, R.L.; Anderson, L.M.; Truelsen, T.; et al. Global and regional burden of first-ever ischaemic and haemorrhagic stroke during 1990–2010: Findings from the Global Burden of Disease Study 2010. Lancet Glob. Health 2013, 1, e259–e281. [Google Scholar] [CrossRef]
- Collaborators, G.B.D.S. Global, regional, and national burden of stroke and its risk factors, 1990–2019: A systematic analysis for the Global Burden of Disease Study 2019. Lancet Neurol. 2021, 20, 795–820. [Google Scholar] [CrossRef]
- Katan, M.; Luft, A. Global Burden of Stroke. Semin Neurol. 2018, 38, 208–211. [Google Scholar] [CrossRef] [PubMed]
- GBD 2016 Neurology Collaborators. Global, regional, and national burden of neurological disorders, 1990–2016: A systematic analysis for the Global Burden of Disease Study 2016. Lancet Neurol. 2019, 18, 459–480. [Google Scholar] [CrossRef]
- Demaerschalk, B.M.; Kleindorfer, D.O.; Adeoye, O.M.; Demchuk, A.M.; Fugate, J.E.; Grotta, J.C.; Khalessi, A.A.; Levy, E.I.; Palesch, Y.Y.; Prabhakaran, S.; et al. Scientific Rationale for the Inclusion and Exclusion Criteria for Intravenous Alteplase in Acute Ischemic Stroke: A Statement for Healthcare Professionals From the American Heart Association/American Stroke Association. Stroke 2016, 47, 581–641. [Google Scholar] [CrossRef]
- Powers, W.J.; Rabinstein, A.A.; Ackerson, T.; Adeoye, O.M.; Bambakidis, N.C.; Becker, K.; Biller, J.; Brown, M.; Demaerschalk, B.M.; Hoh, B.; et al. Guidelines for the Early Management of Patients With Acute Ischemic Stroke: 2019 Update to the 2018 Guidelines for the Early Management of Acute Ischemic Stroke: A Guideline for Healthcare Professionals From the American Heart Association/American Stroke Association. Stroke 2019, 50, e344–e418. [Google Scholar] [CrossRef]
- Hemphill, J.C., 3rd; Greenberg, S.M.; Anderson, C.S.; Becker, K.; Bendok, B.R.; Cushman, M.; Fung, G.L.; Goldstein, J.N.; Macdonald, R.L.; Mitchell, P.H.; et al. Guidelines for the Management of Spontaneous Intracerebral Hemorrhage: A Guideline for Healthcare Professionals From the American Heart Association/American Stroke Association. Stroke 2015, 46, 2032–2060. [Google Scholar] [CrossRef]
- Lawton, M.T.; Vates, G.E. Subarachnoid Hemorrhage. N. Engl. J. Med. 2017, 377, 257–266. [Google Scholar] [CrossRef]
- Vasan, R.S. Biomarkers of cardiovascular disease: Molecular basis and practical considerations. Circulation 2006, 113, 2335–2362. [Google Scholar] [CrossRef]
- Kamtchum-Tatuene, J.; Jickling, G.C. Blood Biomarkers for Stroke Diagnosis and Management. Neuromolecular. Med. 2019, 21, 344–368. [Google Scholar] [CrossRef]
- Makris, K.; Haliassos, A.; Chondrogianni, M.; Tsivgoulis, G. Blood biomarkers in ischemic stroke: Potential role and challenges in clinical practice and research. Crit. Rev. Clin. Lab. Sci. 2018, 55, 294–328. [Google Scholar] [CrossRef] [PubMed]
- Ng, G.J.L.; Quek, A.M.L.; Cheung, C.; Arumugam, T.V.; Seet, R.C.S. Stroke biomarkers in clinical practice: A critical appraisal. Neurochem. Int. 2017, 107, 11–22. [Google Scholar] [CrossRef] [PubMed]
- Shevtsova, A.; Gordiienko, I.; Tkachenko, V.; Ushakova, G. Ischemia-Modified Albumin: Origins and Clinical Implications. Dis. Markers 2021, 2021, 9945424. [Google Scholar] [CrossRef] [PubMed]
- Abboud, H.; Labreuche, J.; Meseguer, E.; Lavallee, P.C.; Simon, O.; Olivot, J.M.; Mazighi, M.; Dehoux, M.; Benessiano, J.; Steg, P.G.; et al. Ischemia-modified albumin in acute stroke. Cerebrovasc. Dis. 2007, 23, 216–220. [Google Scholar] [CrossRef]
- Menon, B.; Ramalingam, K.; Krishna, V. Study of Ischemia Modified Albumin as a Biomarker in Acute Ischaemic Stroke. Ann. Neurosci. 2018, 25, 187–190. [Google Scholar] [CrossRef]
- Elshony, H.S.; Okda, M.A.; El-Kabany, R.A. Ischemia-modified albumin and fibulin-5 as diagnostic and prognostic markers for acute cerebrovascular disease. Egypt. J. Neurol. Psychiatry Neurosurg. 2021, 57, 12. [Google Scholar] [CrossRef]
- Moola, S.; Munn, Z.; Tufanaru, C.; Aromataris, E.; Sears, K.; Sfetcu, R.; Currie, M.; Qureshi, R.; Mattis, P.; Lisy, K.; et al. Systematic reviews of etiology and risk. In Joanna Briggs Institute Reviewer’s Manual; Aromataris, E., Munn, Z., Eds.; Johanna Briggs Institute: Adelaide, Australia, 2017. [Google Scholar]
- Cohen, J. Statistical Power Analysis for the Behavioral Sciences, 2nd ed.; Erlbaum: Hillsdale, NJ, USA, 1988. [Google Scholar]
- Hultcrantz, M.; Rind, D.; Akl, E.A.; Treweek, S.; Mustafa, R.A.; Iorio, A.; Alper, B.S.; Meerpohl, J.J.; Murad, M.H.; Ansari, M.T.; et al. The GRADE Working Group clarifies the construct of certainty of evidence. J Clin. Epidemiol. 2017, 87, 4–13. [Google Scholar] [CrossRef]
- Page, M.J.; McKenzie, J.E.; Bossuyt, P.M.; Boutron, I.; Hoffmann, T.C.; Mulrow, C.D.; Shamseer, L.; Tetzlaff, J.M.; Akl, E.A.; Brennan, S.E.; et al. The PRISMA 2020 statement: An updated guideline for reporting systematic reviews. BMJ 2021, 372, n71. [Google Scholar] [CrossRef]
- Wan, X.; Wang, W.; Liu, J.; Tong, T. Estimating the sample mean and standard deviation from the sample size, median, range and/or interquartile range. BMC Med. Res. Methodol. 2014, 14, 135. [Google Scholar] [CrossRef]
- Deeks, J.J.; Higgins, J.P.T.; Altman, D.G. Analysing data and undertaking meta-analyses. In Cochrane handbook for systematic reviews of interventions; Higgins, J.P.T., Thomas, J., Chandler, J., Cumpston, M., Li, T., Page, M.J., Welch, V.A., Eds.; John Wiley & Sons: Chichester, UK, 2021. [Google Scholar]
- Tobias, A. Assessing the influence of a single study in the meta-analysis estimate. Stata Tech. Bull. 1999, 47, 15–17. [Google Scholar]
- Begg, C.B.; Mazumdar, M. Operating characteristics of a rank correlation test for publication bias. Biometrics 1994, 50, 1088–1101. [Google Scholar] [CrossRef] [PubMed]
- Sterne, J.A.; Egger, M. Funnel plots for detecting bias in meta-analysis: Guidelines on choice of axis. J. Clin. Epidemiol. 2001, 54, 1046–1055. [Google Scholar] [CrossRef]
- Duval, S.; Tweedie, R. Trim and fill: A simple funnel-plot-based method of testing and adjusting for publication bias in meta-analysis. Biometrics 2000, 56, 455–463. [Google Scholar] [CrossRef] [PubMed]
- Gunduz, A.; Turedi, S.; Mentese, A.; Altunayoglu, V.; Turan, I.; Karahan, S.C.; Topbas, M.; Aydin, M.; Eraydin, I.; Akcan, B. Ischemia-modified albumin levels in cerebrovascular accidents. Am. J. Emerg. Med. 2008, 26, 874–878. [Google Scholar] [CrossRef]
- Herisson, F.; Delaroche, O.; Auffray-Calvier, E.; Duport, B.D.; Guillon, B. Ischemia-modified albumin and heart fatty acid-binding protein: Could early ischemic cardiac biomarkers be used in acute stroke management? J Stroke Cerebrovasc. Dis. 2010, 19, 279–282. [Google Scholar] [CrossRef]
- Ahn, J.H.; Choi, S.C.; Lee, W.G.; Jung, Y.S. The usefulness of albumin-adjusted ischemia-modified albumin index as early detecting marker for ischemic stroke. Neurol. Sci. 2011, 32, 133–138. [Google Scholar] [CrossRef]
- Han, K.; Jia, N.; Yang, L.; Min, L.Q. Correlation between ischemia-modified albumin and lipid levels in patients with acute cerebrovascular disease. Mol. Med. Rep. 2012, 6, 621–624. [Google Scholar] [CrossRef][Green Version]
- Ertekin, B.; Koçak, S.; Dündar, Z.D.; Girişgin, S.; Cander, B.; Gül, M.; Döşeyici, S.; Mehmetoğlu, İ.; Şahin, T.K. Diagnostic value of ischemia-modified albumin in acute coronary syndrome and acute ischemic stroke. Pak. J. Med. Sci. 2013, 29, 1003–1007. [Google Scholar] [CrossRef]
- Altunayoglu Cakmak, V.; Gunduz, A.; Karaca, Y.; Alioglu, Z.; Mentese, A.; Topbas, M. Diagnostic Significance of Ischemia-Modified Albumin, S100b, and Neuron-Specific Enolase in Acute Ischemic Stroke. J. Acad. Emerg. Med. 2014, 13, 112–117. [Google Scholar] [CrossRef]
- Can, S.; Akdur, O.; Yildirim, A.; Adam, G.; Cakir, D.U.; Karaman, H.I. Myelin basic protein and ischemia modified albumin levels in acute ischemic stroke cases. Pak. J. Med. Sci. 2015, 31, 1110–1114. [Google Scholar] [CrossRef]
- Gad, M.S.; Zakaria, N.H.E.-D.; Elgayar, N.H.A.A.-M. Evaluation of the role of ischemia modified albumin as a new biochemical marker for differentiation between ischemic and hemorrhagic stroke. Alex. J. Med. 2019, 51, 213–217. [Google Scholar] [CrossRef][Green Version]
- Atik, I.; Kozaci, N.; Beydilli, I.; Avci, M.; Ellidag, H.; Kesapli, M. Investigation of oxidant and antioxidant levels in patients with acute stroke in the emergency service. Am. J. Emerg. Med. 2016, 34, 2379–2383. [Google Scholar] [CrossRef] [PubMed]
- Kumar, A.; Kalasker, V.; Pratibha, K.; Rao, K.S.; Bhat, H. Prognostic significance of Ischemia Modified Albumin and role of high sensitive Creactive protein levels in acute ischemic stroke patients. Int. J. Clin. Biochem. Res. 2016, 3, 262–266. [Google Scholar] [CrossRef]
- Gudi, J.; Malleshappa, A.; Naik, K. Correlation of serum albumin with ischemia modified albumin in acute stroke patients with or without diabetes mellitus. Indian J. Health Sci. Biomed. Res. (KLEU) 2017, 10, 29–53. [Google Scholar] [CrossRef]
- Jena, I.; Nayak, S.R.; Behera, S.; Singh, B.; Ray, S.; Jena, D.; Singh, S.; Sahoo, S.K. Evaluation of ischemia-modified albumin, oxidative stress, and antioxidant status in acute ischemic stroke patients. J. Nat. Sci. Biol. Med. 2017, 8, 110–113. [Google Scholar] [CrossRef]
- Yilmaz, A.B.; Gokhan, S.; Sener, A.; Erel, O. Analysis of Neutrophil/Lymphocyte ratio and Thiol/Disulfide homeostasis parameters in patients admitted to the emergency department with ischemic stroke. Pak. J. Med. Sci. 2018, 34, 1418–1423. [Google Scholar] [CrossRef]
- Ma, J.; Shen, L.; Bao, L.; Yuan, H.; Wang, Y.; Liu, H.; Wang, Q. A novel prognosis prediction model, including cytotoxic T lymphocyte-associated antigen-4, ischemia-modified albumin, lipoprotein-associated phospholipase A2, glial fibrillary acidic protein, and homocysteine, for ischemic stroke in the Chinese hypertensive population. J. Clin. Lab. Anal. 2021, 35, e23756. [Google Scholar] [CrossRef]
- Zhong, C.; Chen, T.; Shen, Y.; Zhang, Y.; Liu, Y.; Ning, L. The effects of serum ischemia modified albumin on diagnosis of cerebral infarction and vertebral basilar artery stenosis. Brain INJ 2021, 35, 1457–1461. [Google Scholar] [CrossRef]
- Lee, P.; Wu, X. Review: Modifications of human serum albumin and their binding effect. Curr. Pharm. Des. 2015, 21, 1862–1865. [Google Scholar] [CrossRef]
- Levine, R.L. Ischemia: From acidosis to oxidation. FASEB J. 1993, 7, 1242–1246. [Google Scholar] [CrossRef]
- Roy, D.; Quiles, J.; Gaze, D.C.; Collinson, P.; Kaski, J.C.; Baxter, G.F. Role of reactive oxygen species on the formation of the novel diagnostic marker ischaemia modified albumin. Heart 2006, 92, 113–114. [Google Scholar] [CrossRef] [PubMed]
- Sinha, M.K.; Vazquez, J.M.; Calvino, R.; Gaze, D.C.; Collinson, P.O.; Kaski, J.C. Effects of balloon occlusion during percutaneous coronary intervention on circulating Ischemia Modified Albumin and transmyocardial lactate extraction. Heart 2006, 92, 1852–1853. [Google Scholar] [CrossRef] [PubMed]
- Bar-Or, D.; Lau, E.; Winkler, J.V. A novel assay for cobalt-albumin binding and its potential as a marker for myocardial ischemia-a preliminary report. J. Emerg. Med. 2000, 19, 311–315. [Google Scholar] [CrossRef]
- Ellidag, H.Y.; Eren, E.; Yilmaz, N.; Cekin, Y. Oxidative stress and ischemia-modified albumin in chronic ischemic heart failure. Redox Rep. 2014, 19, 118–123. [Google Scholar] [CrossRef] [PubMed]
- Altunoglu, E.; Guntas, G.; Erdenen, F.; Akkaya, E.; Topac, I.; Irmak, H.; Derici, H.; Yavuzer, H.; Gelisgen, R.; Uzun, H. Ischemia-modified albumin and advanced oxidation protein products as potential biomarkers of protein oxidation in Alzheimer’s disease. Geriatr. Gerontol. Int. 2015, 15, 872–880. [Google Scholar] [CrossRef] [PubMed]
- Ghosh, K.; Muddeshwar, M.G.; Ghosh, K. Ischemia Modified Albumin Test to Detect Early Diabetic Complications. Am. J. Med. Sci. 2017, 354, 467–470. [Google Scholar] [CrossRef]
- Papageorghiou, A.T.; Prefumo, F.; Leslie, K.; Gaze, D.C.; Collinson, P.O.; Thilaganathan, B. Defective endovascular trophoblast invasion in the first trimester is associated with increased maternal serum ischemia-modified albumin. Hum. Reprod. 2008, 23, 803–806. [Google Scholar] [CrossRef]
- Ozdemir, S.; Kiyici, A.; Balci, O.; Goktepe, H.; Cicekler, H.; Celik, C. Assessment of ischemia-modified albumin level in patients with recurrent pregnancy loss during the first trimester. Eur. J. Obstet. Gynecol. Reprod. Biol. 2011, 155, 209–212. [Google Scholar] [CrossRef]
- Rossi, A.; Bortolotti, N.; Vescovo, S.; Romanello, I.; Forzano, L.; Londero, A.P.; Ambrosini, G.; Marchesoni, D.; Curcio, F. Ischemia-modified albumin in pregnancy. Eur. J. Obstet. Gynecol. Reprod. Biol. 2013, 170, 348–351. [Google Scholar] [CrossRef]
- Kundaktepe, B.P.; Sozer, V.; Durmus, S.; Kocael, P.C.; Kundaktepe, F.O.; Papila, C.; Gelisgen, R.; Uzun, H. The evaluation of oxidative stress parameters in breast and colon cancer. Medicine 2021, 100, e25104. [Google Scholar] [CrossRef]
- Liguori, I.; Russo, G.; Curcio, F.; Bulli, G.; Aran, L.; Della-Morte, D.; Gargiulo, G.; Testa, G.; Cacciatore, F.; Bonaduce, D.; et al. Oxidative stress, aging, and diseases. Clin. Interv. Aging 2018, 13, 757–772. [Google Scholar] [CrossRef] [PubMed]
- Hajam, Y.A.; Rani, R.; Ganie, S.Y.; Sheikh, T.A.; Javaid, D.; Qadri, S.S.; Pramodh, S.; Alsulimani, A.; Alkhanani, M.F.; Harakeh, S.; et al. Oxidative Stress in Human Pathology and Aging: Molecular Mechanisms and Perspectives. Cells 2022, 11, 552. [Google Scholar] [CrossRef] [PubMed]
- Duan, X.; Wen, Z.; Shen, H.; Shen, M.; Chen, G. Intracerebral Hemorrhage, Oxidative Stress, and Antioxidant Therapy. Oxid. Med. Cell Longev. 2016, 2016, 1203285. [Google Scholar] [CrossRef] [PubMed]
- Zhang, Y.; Khan, S.; Liu, Y.; Wu, G.; Yong, V.W.; Xue, M. Oxidative Stress Following Intracerebral Hemorrhage: From Molecular Mechanisms to Therapeutic Targets. Front. Immunol. 2022, 13, 847246. [Google Scholar] [CrossRef] [PubMed]
- Wu, F.; Liu, Z.; Li, G.; Zhou, L.; Huang, K.; Wu, Z.; Zhan, R.; Shen, J. Inflammation and Oxidative Stress: Potential Targets for Improving Prognosis After Subarachnoid Hemorrhage. Front. Cell. Neurosci. 2021, 15, 739506. [Google Scholar] [CrossRef]
- Jelinek, M.; Jurajda, M.; Duris, K.; Ostrowski, R. The Role of Oxidative Stress in Early Brain Injury after Subarachnoid Hemorrhage. Oxidative Med. Cell. Longev. 2020, 2020, 8877116. [Google Scholar] [CrossRef]
- Shi, W.; Tang, G.; Zhou, X.; Ye, Y. Appraising the Accuracy of Ischaemia-Modified Albumin in Diagnosing Stroke: A Systematic Review and Meta-Analysis. Cerebrovasc. Dis. 2021, 50, 365–370. [Google Scholar] [CrossRef]
- Stea, S.; Pasquale, D.; Beraudi, A.; Catalani, S.; Amabile, M.; Bracci, G.; Toni, A. Ischemia-Modified Albumin Expression: Is there a Difference between Male and Female Subjects? Clin. Lab. 2019, 65. [Google Scholar] [CrossRef]
- Kander, M.C.; Cui, Y.; Liu, Z. Gender difference in oxidative stress: A new look at the mechanisms for cardiovascular diseases. J. Cell. Mol. Med. 2017, 21, 1024–1032. [Google Scholar] [CrossRef]
- Miller, A.A.; De Silva, T.M.; Jackman, K.A.; Sobey, C.G. Effect of gender and sex hormones on vascular oxidative stress. Clin. Exp. Pharmacol. Physiol. 2007, 34, 1037–1043. [Google Scholar] [CrossRef]
- Montagnana, M.; Lippi, G.; Salvagno, G.L.; Guidi, G.C. Reference ranges and diagnostic thresholds of laboratory markers of cardiac damage and dysfunction in a population of apparently healthy black Africans. Clin. Chem. Lab. Med. 2008, 46, 714–716. [Google Scholar] [CrossRef] [PubMed]
- Govender, R.; De Greef, J.; Delport, R.; Becker, P.J.; Vermaak, W.J. Biological variation of ischaemia-modified albumin in healthy subjects. Cardiovasc. J. Afr. 2008, 19, 141–144. [Google Scholar] [PubMed]
- Morris, A.A.; Zhao, L.; Patel, R.S.; Jones, D.P.; Ahmed, Y.; Stoyanova, N.; Gibbons, G.H.; Vaccarino, V.; Din-Dzietham, R.; Quyyumi, A.A. Differences in systemic oxidative stress based on race and the metabolic syndrome: The Morehouse and Emory Team up to Eliminate Health Disparities (META-Health) study. Metab. Syndr. Relat. Disord. 2012, 10, 252–259. [Google Scholar] [CrossRef] [PubMed]
- Feairheller, D.L.; Park, J.Y.; Sturgeon, K.M.; Williamson, S.T.; Diaz, K.M.; Veerabhadrappa, P.; Brown, M.D. Racial differences in oxidative stress and inflammation: In vitro and in vivo. Clin. Transl. Sci. 2011, 4, 32–37. [Google Scholar] [CrossRef]
Publisher’s Note: MDPI stays neutral with regard to jurisdictional claims in published maps and institutional affiliations. |
© 2022 by the authors. Licensee MDPI, Basel, Switzerland. This article is an open access article distributed under the terms and conditions of the Creative Commons Attribution (CC BY) license (https://creativecommons.org/licenses/by/4.0/).













