Skeletal Muscle Transcriptome Analysis of Hanzhong Ma Duck at Different Growth Stages Using RNA-Seq
Abstract
1. Introduction
2. Materials and Methods
2.1. Animal and Tissue Collection
2.2. Library Construction and Sequencing
2.3. Mapping of the Reads to Reference Genome
2.4. Analysis of SNP/InDel
2.5. Identification of AS Events
2.6. Analysis of Differentially Expressed Genes (DEGs)
2.7. Analysis of GO Enrichment and KEGG Pathway Enrichment
2.8. qPCR Verification
3. Results
3.1. Analysis of RNA-Seq Data
3.2. Annotation and Classification of SNP/InDel
3.3. Prediction of AS events
3.4. Gene Functional Annotation and Classification
3.5. Analysis of Differential Expressed Genes
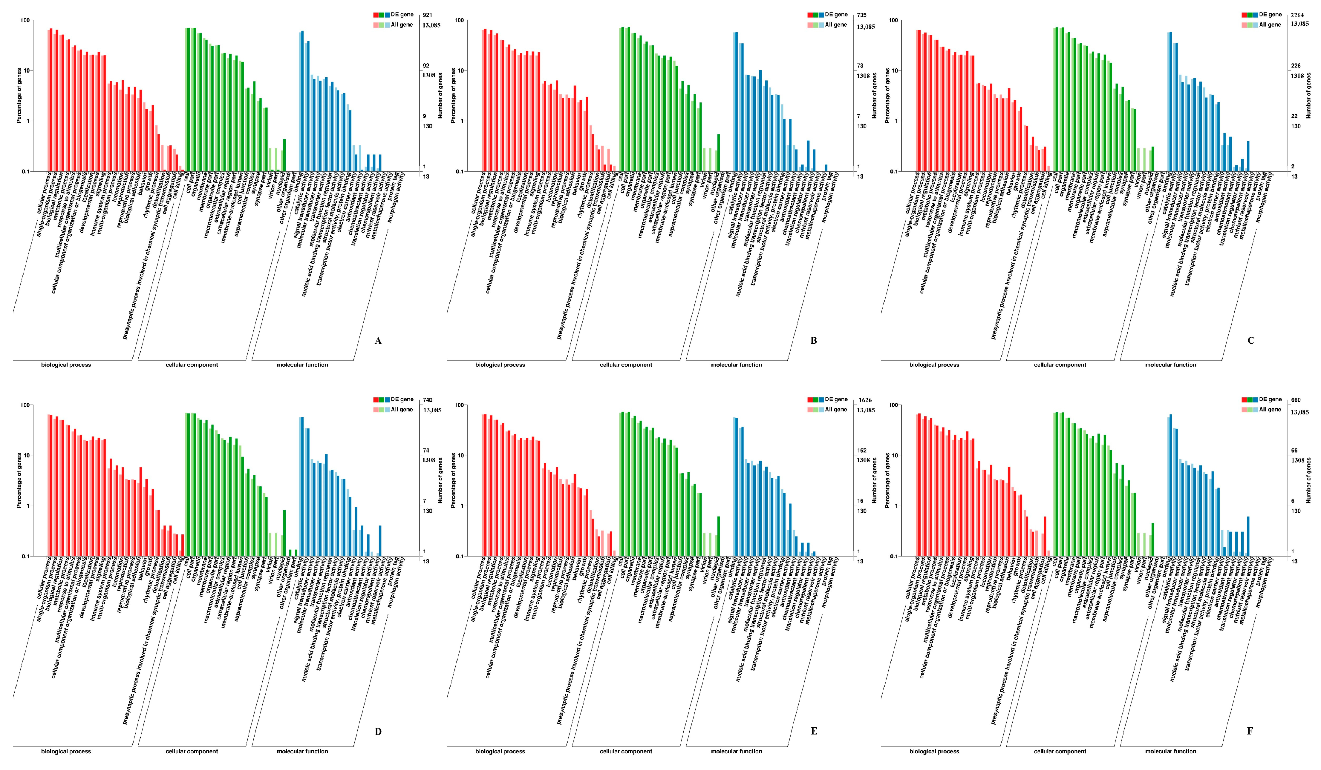
3.6. GO Annotation and KEGG Pathway Analysis
3.7. Validation of RNA-Seq Results
4. Discussion
4.1. Annotation and Classification of SNP/InDel in Skeletal Muscle Developmental Process
4.2. AS Events in Skeletal Muscle Developmental Process
4.3. DEGs Analyzed at All Time Points
4.4. Analysis of GO and KEGG Pathway
5. Conclusions
Supplementary Materials
Author Contributions
Funding
Institutional Review Board Statement
Informed Consent Statement
Data Availability Statement
Conflicts of Interest
References
- Mitchell, P.O.; Mills, S.T.; Pavlath, G.K. Calcineurin differentially regulates maintenance and, growth of phenotypically distinct muscles. Am. J. Physiol. Cell. Physiol. 2002, 282, C984–C992. [Google Scholar] [CrossRef]
- Guller, I.; Russell, A.P. MicroRNAs in skeletal muscle: Their role and regulation in development, disease and function. J. Physiol. 2010, 588, 4075–4087. [Google Scholar] [CrossRef] [PubMed]
- Bi, P.P.; Ramirez-Martinez, A.; Li, H.; Cannavino, J.; McAnally, J.R.; Shelton, J.M.; Sánchez-Ortiz, E.; Bassel-Duby, R.; Olson, E.N. Control of muscle formation by the fusogenic micropeptide myomixer. Science 2017, 356, 323–327. [Google Scholar] [CrossRef]
- Velleman, S.G. Muscle development in the embryo and hatchling. Poult. Sci. 2007, 86, 1050–1054. [Google Scholar] [CrossRef]
- Tang, Z.L.; Yang, Y.L.; Wang, Z.S.; Zhao, S.P.; Mu, Y.L.; Li, K. Integrated analysis of miRNA and mRNA paired expression profiling of prenatal skeletal muscle development in three genotype pigs. Sci. Rep. 2015, 5, 15544. [Google Scholar] [CrossRef] [PubMed]
- Neguembor, M.V.; Jothi, M.; Gabellini, D. Long noncoding RNAs, emerging players in muscle differentiation and disease. Skelet. Muscle 2014, 4, 8. [Google Scholar] [CrossRef]
- Xue, Q.; Zhang, G.X.; Li, T.T.; Ling, J.J.; Zhang, X.Q.; Wang, J.Y. Transcriptomic profile of leg muscle during early growth in chicken. PLoS ONE 2017, 12, e0173824. [Google Scholar] [CrossRef]
- Wu, P.F.; Dai, G.J.; Chen, F.X.; Chen, L.; Zhang, T.; Xie, K.Z.; Wang, J.Y.; Zhang, G.X. Transcriptome profile analysis of leg muscle tissues between slow- and fast-growing chickens. PLoS ONE 2018, 13, e0206131. [Google Scholar] [CrossRef] [PubMed]
- Ye, P.F.; Ge, K.; Li, M.; Yang, L.; Jin, S.H.; Zhang, C.; Chen, X.Y.; Geng, Z.Y. Egg-laying and brooding stage-specific hormonal response and transcriptional regulation in pituitary of Muscovy duck (Cairina moschata). Poult. Sci. 2019, 98, 5287–5296. [Google Scholar] [CrossRef]
- Yang, J.; Qu, Y.H.; Huang, Y.; Lei, F.M. Dynamic transcriptome profiling towards understanding the morphogenesis and development of diverse feather in domestic duck. BMC Genomics 2018, 19, 391. [Google Scholar] [CrossRef]
- Yang, Y.L.; Liang, G.M.; Niu, G.L.; Zhang, Y.Y.; Zhou, R.; Wang, Y.F.; Mu, Y.L.; Tang, Z.L.; Li, K. Comparative analysis of DNA methylome and transcriptome of skeletal muscle in lean-, obese-, and mini-type pigs. Sci. Rep. 2017, 7, 39883. [Google Scholar] [CrossRef]
- Guo, B.; Greenwood, P.L.; Cafe, L.M.; Zhou, G.H.; Zhang, W.G.; Dalrymple, B.P. Transcriptome analysis of cattle muscle identifies potential markers for skeletal muscle growth rate and major cell types. BMC Genomics 2015, 16, 177. [Google Scholar] [CrossRef]
- Sun, L.M.; Bai, M.; Xiang, L.J.; Zhang, G.S.; Ma, W.; Jiang, H.Z. Comparative transcriptome profiling of longissimus muscle tissues from Qianhua Mutton Merino and Small Tail Han sheep. Sci. Rep. 2016, 6, 33586. [Google Scholar] [CrossRef]
- Ropka-Molik, K.; Pawlina-Tyszko, K.; Żukowski, K.; Piórkowska, K.; Żak, G.; Gurgul, A.; Derebecka, N.; Wesoły, J. Examining the Genetic Background of Porcine Muscle Growth and Development Based on Transcriptome and miRNAome Data. Int. J. Mol. Sci. 2018, 19, 1208. [Google Scholar] [CrossRef]
- Zhang, Z.R.; Du, H.R.; Yang, C.W.; Li, Q.Y.; Qiu, M.H.; Song, X.Y.; Yu, C.L.; Jiang, X.Y.; Liu, L.; Hu, C.M.; et al. Comparative transcriptome analysis reveals regulators mediating breast muscle growth and development in three chicken breeds. Anim. Biotechnol. 2019, 30, 233–241. [Google Scholar] [CrossRef]
- Zhu, C.H.; Song, W.T.; Tao, Z.Y.; Liu, H.X.; Xu, W.J.; Zhang, S.J.; Li, H.F. Deep RNA sequencing of pectoralis muscle transcriptomes during late-term embryonic to neonatal development in indigenous Chinese duck breeds. PLoS ONE 2017, 12, e0180403. [Google Scholar] [CrossRef] [PubMed]
- Tang, J.; Shen, X.; Ouyang, H.J.; Luo, W.; Huang, Y.M.; Tian, Y.B.; Zhang, X.Q. Transcriptome analysis of pituitary gland revealed candidate genes and gene networks regulating the growth and development in goose. Anim. Biotechnol. 2020, 2, 1–11. [Google Scholar] [CrossRef] [PubMed]
- Liu, H.X.; Hu, Y.; Ji, G.G.; Li, H.F. Rapid-Sexing Poultries via a New Pair of Universal Primers. J. Agr. Biotechnol. 2014, 22, 1567–1574. (In Chinese) [Google Scholar]
- Silva-Vignato, B.; Coutinho, L.L.; Cesar, A.S.M.; Poleti, M.D.; Regitano, L.C.A.; Balieiro, J.C.C. Comparative muscle transcriptome associated with carcass traits of Nellore cattle. BMC Genomics 2017, 18, 506. [Google Scholar] [CrossRef] [PubMed]
- Norring, M.; Valros, A.; Valaja, J.; Sihvo, H.K.; Immonen, K.; Puolanne, E. Wooden breast myopathy links with poorer gait in broiler chickens. Animal 2019, 13, 1690–1695. [Google Scholar] [CrossRef]
- Glass, D.J. Signalling pathways that mediate skeletal muscle hypertrophy and atrophy. Nat. Cell. Biol. 2003, 5, 87–90. [Google Scholar] [CrossRef] [PubMed]
- Deries, M.; Thorsteinsdóttir, S. Axial and limb muscle development: Dialogue with the neighbourhood. Cell. Mol. Life Sci. 2016, 73, 4415–4431. [Google Scholar] [CrossRef] [PubMed]
- Scaal, M.; Marcelle, C. Chick muscle development. Int. J. Dev. Biol. 2018, 62, 127–136. [Google Scholar] [CrossRef]
- Wiggans, G.R.; Cole, J.B.; Hubbard, S.M.; Sonstegard, T.S. Genomic Selection in Dairy Cattle: The USDA Experience. Annu. Rev. Anim. Biosci. 2017, 5, 309–327. [Google Scholar] [CrossRef]
- Li, X.P.; Lu, Y.L.; Liu, X.F.; Xie, X.L.; Wang, K.; Yu, D.B. Identification of chicken FSHR gene promoter and the correlations between polymorphisms and egg production in Chinese native hens. Reprod. Domest. Anim. 2019, 54, 702–711. [Google Scholar] [CrossRef] [PubMed]
- Hawkins, J.A.; Jones, S.K., Jr.; Finkelstein, I.J.; Press, W.H. Indel-correcting DNA barcodes for high-throughput sequencing. Proc. Nctl. Acad. Sci. USA 2018, 115, E6217–E6226. [Google Scholar] [CrossRef] [PubMed]
- Nilsen, T.W.; Graveley, B.R. Expansion of the eukaryotic proteome by alternative splicing. Nature 2010, 463, 457–463. [Google Scholar] [CrossRef] [PubMed]
- Black, D.L. Protein diversity from alternative splicing: A challenge for bioinformatics and post-genome biology. Cell 2000, 103, 367–370. [Google Scholar] [CrossRef]
- Bhadra, M.; Howell, P.; Dutta, S.; Heintz, C.; Mair, W.B. Alternative splicing in aging and longevity. Hum. Genet. 2020, 139, 357–369. [Google Scholar] [CrossRef]
- Braunschweig, U.; Gueroussov, S.; Plocik, A.M.; Graveley, B.R.; Blencowe, B.J. Dynamic integration of splicing within gene regulatory pathways. Cell 2013, 152, 1252–1269. [Google Scholar] [CrossRef]
- Fiszbein, A.; Kornblihtt, A.R. Alternative splicing switches: Important players in cell differentiation. Bioessays 2017, 39, 1600157. [Google Scholar] [CrossRef]
- Ayuso, M.; Fernández, A.; Núñez, Y.; Benítez, R.; Isabel, B.; Fernández, A.I.; Rey, A.I.; González-Bulnes, A.; Medrano, J.F.; Cánovas, Á.; et al. Developmental Stage, Muscle and Genetic Type Modify Muscle Transcriptome in Pigs: Effects on Gene Expression and Regulatory Factors Involved in Growth and Metabolism. PLoS ONE 2016, 11, e0167858. [Google Scholar] [CrossRef]
- Thomson, D.M.; Herway, S.T.; Fillmore, N.; Kim, H.; Brown, J.D.; Barrow, J.R.; Winder, W.W. AMP-activated protein kinase phosphorylates transcription factors of the CREB family. J. Appl. Physiol. 2008, 104, 429–438. [Google Scholar] [CrossRef]
- Altarejos, J.Y.; Montminy, M. CREB and the CRTC co-activators: Sensors for hormonal and metabolic signals. Nat. Rev. Mol. Cell. Biol. 2011, 12, 141–151. [Google Scholar] [CrossRef] [PubMed]
- Dronadula, N.; Rizvi, F.; Blaskova, E.; Li, Q.; Rao, G.N. Involvement of cAMP-response element binding protein-1 in arachidonic acid-induced vascular smooth muscle cell motility. J. Lipid. Res. 2006, 47, 767–777. [Google Scholar] [CrossRef] [PubMed]
- Pugazhenthi, S.; Miller, E.; Sable, C.; Young, P.; Heidenreich, K.A.; Boxer, L.M.; Reusch, J.E. Insulin-like Growth Factor-I Induces bcl-2 Promoter through the Transcription Factor cAMP-Response Element-binding Protein. J. Biol. Chem. 1999, 274, 27529–27535. [Google Scholar] [CrossRef]
- Tiebe, M.; Lutz, M.; Tiebe, D.S.; Teleman, A.A. Crebl2 regulates cell metabolism in muscle and liver cells. Sci. Rep. 2019, 9, 19869. [Google Scholar] [CrossRef]
- Heard, J.J.; Fong, V.; Bathaie, S.Z.; Tamanoi, F. Recent progress in the study of the Rheb family GTPases. Cell Signal. 2014, 26, 1950–1957. [Google Scholar] [CrossRef]
- Laplante, M.; Sabatini, D.M. mTOR signaling in growth control and disease. Cell 2012, 149, 274–293. [Google Scholar] [CrossRef] [PubMed]
- Mahoney, S.J.; Narayan, S.; Molz, L.; Berstler, L.A.; Kang, S.A.; Vlasuk, G.P.; Saiah, E. A small molecule inhibitor of Rheb selectively targets mTORC1 signaling. Nat. Commun. 2018, 9, 548. [Google Scholar] [CrossRef]
- Ge, Y.J.; Yoon, M.S.; Chen, J. Raptor and Rheb Negatively Regulate Skeletal Myogenesis through Suppression of Insulin Receptor Substrate 1 (IRS1). J. Biol. Chem. 2011, 286, 35675–35682. [Google Scholar] [CrossRef]
- Suryawan, A.; Davis, T.A. Amino Acid- and Insulin-Induced Activation of mTORC1 in Neonatal Piglet Skeletal Muscle Involves Sestrin2-GATOR2, Rag A/C-mTOR, and RHEB-mTOR Complex Formation. J. Nutr. 2018, 148, 825–833. [Google Scholar] [CrossRef] [PubMed]
- MacLea, K.S.; Abuhagr, A.M.; Pitts, N.L.; Covi, J.A.; Bader, B.D.; Chang, E.S.; Mykles, D.L. Rheb, an activator of target of rapamycin, in the blackback land crab, Gecarcinus lateralis: Cloning and effects of molting and unweighting on expression in skeletal muscle. J. Exp. Biol. 2012, 215, 590–604. [Google Scholar] [CrossRef] [PubMed]
- Portnoy, M.E.; McDermott, H.J.; Antonellis, A.; Margulies, E.H.; Prasad, A.B.; NISC Comparative Sequencing Program; Kingsley, D.M.; Green, E.D.; Mortlock, D.P. Detection of potential GDF6 regulatory elements by multispecies sequence comparisons and identification of a skeletal joint enhancer. Genomics 2005, 86, 295–305. [Google Scholar] [CrossRef] [PubMed]
- Mikic, B.; Rossmeier, K.; Bierwert, L. Identification of a tendon phenotype in GDF6 deficient mice. Anat. Rec. 2009, 292, 396–400. [Google Scholar] [CrossRef]
- Furushima, K.; Yamamoto, A.; Nagano, T.; Shibata, M.; Miyachi, H.; Abe, T.; Ohshima, N.; Kiyonari, H.; Aizawa, S. Mouse homologues of Shisa antagonistic to Wnt and Fgf signalings. Dev. Biol. 2007, 306, 480–492. [Google Scholar] [CrossRef]
- Nagano, T.; Takehara, S.; Takahashi, M.; Aizawa, S.; Yamamoto, A. Shisa2 promotes the maturation of somitic precursors and transition to the segmental fate in Xenopus embryos. Development 2006, 133, 4643–4654. [Google Scholar] [CrossRef]
- Hedge, T.A.; Mason, I. Expression of Shisa2, a modulator of both Wnt and Fgf signaling, in the chick embryo. Int. J. Dev. Biol. 2008, 52, 81–85. [Google Scholar] [CrossRef]
- Liu, Z.J.; Wang, C.; Liu, X.Q.; Kuang, S.H. Shisa2 regulates the fusion of muscle progenitors. Stem Cell Res. 2018, 31, 31–41. [Google Scholar] [CrossRef]
- Soung, Y.H.; Lee, J.W.; Kim, S.Y.; Nam, S.W.; Park, W.S.; Lee, J.Y.; Yoo, N.J.; Lee, S.H. Mutational analysis of the kinase domain of MYLK2 gene in common human cancers. Pathol. Res. Pract. 2006, 202, 137–140. [Google Scholar] [CrossRef]
- Kamm, K.E.; Stull, J.T. Dedicated myosin light chain kinases with diverse cellular functions. J. Biol. Chem. 2001, 276, 4527–4530. [Google Scholar] [CrossRef] [PubMed]
- Stelzer, J.E.; Patel, J.R.; Moss, R.L. Acceleration of stretch activation in murine myocardium due to phosphorylation of myosin regulatory light chain. J. Gen. Physiol. 2006, 128, 261–272. [Google Scholar] [CrossRef]
- Moss, R.L.; Fitzsimons, D.P. Myosin light chain 2 into the mainstream of cardiac development and contractility. Circ. Res. 2006, 99, 225–227. [Google Scholar] [CrossRef] [PubMed]
- Mukhina, S.; Wang, Y.L.; Murata-Hori, M. Alpha-actinin is required for tightly regulated remodeling of the actin cortical network during cytokinesis. Dev. Cell. 2007, 13, 554–565. [Google Scholar] [CrossRef]
- Edlund, M.; Lotano, M.A.; Otey, C.A. Dynamics of alpha-actinin in focal adhesions and stress fibers visualized with alpha-actiningreen fluorescent protein. Cell. Motil. Cytoskeleton. 2001, 48, 190–200. [Google Scholar] [CrossRef]
- Naumanen, P.; Lappalainen, P.; Hotulainen, P. Mechanisms of actin stress fibre assembly. J. Microsc. 2008, 231, 446–454. [Google Scholar] [CrossRef] [PubMed]
- Hotulainen, P.; Lappalainen, P. Stress fibers are generated by two distinct actin assembly mechanisms in motile cells. J. Cell. Biol. 2006, 173, 383–394. [Google Scholar] [CrossRef]
- Zhang, X.M.; Cai, S.F.; Chen, L.X.; Yuan, R.Q.; Nie, Y.P.; Ding, S.Y.; Fang, Y.; Zhu, Q.; Chen, K.R.; Wei, H.; et al. Integrated miRNA-mRNA transcriptomic analysis reveals epigenetic-mediated embryonic muscle growth differences between Wuzhishan and Landrace pig. J. Anim. Sci. 2019, 97, 1967–1978. [Google Scholar] [CrossRef]
- Beggs, A.H.; Byers, T.J.; Knoll, J.H.; Boyce, F.M.; Bruns, G.A.; Kunkel, L.M. Cloning and characterization of two human skeletal muscle alpha-actinin genes located on chromosomes 1 and 11. J. Biol. Chem. 1992, 267, 9281–9288. [Google Scholar] [CrossRef]
- MacArthur, D.G.; Seto, J.T.; Raftery, J.M.; Quinlan, K.G.; Huttley, G.A.; Hook, J.W.; Lemckert, F.A.; Kee, A.J.; Edwards, M.R.; Berman, Y.; et al. Loss of ACTN3 gene function alters mouse muscle metabolism and shows evidence of positive selection in humans. Nat. Genet. 2007, 39, 1261–1265. [Google Scholar] [CrossRef]
- Holterhoff, C.K.; Saunders, R.H.; Brito, E.E.; Wagner, D.S. Sequence and expression of the zebrafish alpha-actinin gene family reveals conservation and diversification among vertebrates. Dev. Dyn. 2009, 238, 2936–2947. [Google Scholar] [CrossRef]
- Franzini-Armstrong, C.; Protasi, F. Ryanodine receptors of striated muscles: A complex channel capable of multiple interactions. Physiol. Rev. 1997, 77, 699–729. [Google Scholar] [CrossRef] [PubMed]
- Meissner, G. The structural basis of ryanodine receptor ion channel function. J. Gen. Physiol. 2017, 149, 1065–1089. [Google Scholar] [CrossRef] [PubMed]
- Ward, C.W.; Schneider, M.F.; Castillo, D.; Protasi, F.; Wang, Y.; Chen, S.R.; Allen, P.D. Expression of ryanodine receptor RyR3 produces Ca2+ sparks in dyspedic myotubes. J. Physiol. 2000, 525, 91–103. [Google Scholar] [CrossRef]
- Essin, K.; Maik Gollasch, M. Role of Ryanodine Receptor Subtypes in Initiation and Formation of Calcium Sparks in Arterial Smooth Muscle: Comparison with Striated Muscle. J. Biomed. Biotechnol. 2009, 2009, 135249. [Google Scholar] [CrossRef]
- Perni, S.; Marsden, K.C.; Escobar, M.; Hollingworth, S.; Baylor, S.M.; Franzini-Armstron, C. Structural and functional properties of ryanodine receptor type 3 in zebrafish tail muscle. J. Gen. Physiol. 2015, 145, 173–184. [Google Scholar] [CrossRef]
- Percival, A.L.; Williams, A.J.; Kenyon, J.L.; Grinsell, M.M.; Airey, J.A.; Sutko, J.L. Chicken skeletal muscle ryanodine receptor isoforms: Ion channel properties. Biophys. J. 1994, 67, 1834–1850. [Google Scholar] [CrossRef]
- Rubin, C.I.; Atweh, G.F. Role of stathmin in regulation of cell cycle. J. Cell. Biochem. 2004, 93, 242–250. [Google Scholar] [CrossRef]
- Hu, X.Q.; Zhang, H.P.; Zheng, X.D.; Lin, Z.M.; Feng, G.F.; Chen, Y.M.; Pan, Q.H.; Ni, F.F. STMN1 and MKI67 Are Upregulated in Uterine Leiomyosarcoma and Are Potential Biomarkers for its Diagnosis. Med. Sci. Monit. 2020, 26, e923749. [Google Scholar] [CrossRef]
- Balogh, A.; Mège, R.M.; Sobel, A. Growth and Cell Density-Dependent Expression of Stathmin in C2 Myoblasts in Culture. Exp. Cell. Res. 1996, 224, 8–15. [Google Scholar] [CrossRef]
- Villalón, E.; Kline, R.A.; Smith, C.E.; Lorson, Z.C.; Osman, E.Y.; O’Day, S.; Murray, L.M.; Lorson, C.L. AAV9-Stathmin1 gene delivery improves disease phenotype in an intermediatemouse model of spinal muscular atrophy. Hum. Mol. Genet. 2019, 28, 3742–3754. [Google Scholar] [CrossRef] [PubMed]
- Zhao, Y.Q.; Li, J.; Liu, H.J.; Xi, Y.; Xue, M.; Liu, W.H.; Zhuang, Z.H.; Lei, M.G. Dynamic transcriptome profiles of skeletal muscle tissue across 11 developmental stages for both Tongcheng and Yorkshire pigs. BMC Genomics 2015, 16, 377. [Google Scholar] [CrossRef]
- Wu, P.F.; Zhang, X.C.; Zhang, G.X.; Chen, F.X.; He, M.L.; Zhang, T.; Wang, J.Y.; Xie, K.Z.; Dai, G.J. Transcriptome for the breast muscle of Jinghai yellow chicken at early growth stages. Peer. J. 2020, 8, e8950. [Google Scholar] [CrossRef] [PubMed]
- Hirata, H.; Sokabe, M.; Lim, C.T. Molecular Mechanisms Underlying the Force-Dependent Regulation of Actin-to-ECM Linkage at the Focal Adhesions. Prog. Mol. Biol. Transl. Sci. 2014, 126, 135–154. [Google Scholar] [CrossRef] [PubMed]
- Burridge, K.; Guilluy, C. Focal adhesions, stress fibers and mechanical tension. Exp. Cell. Res. 2016, 343, 14–20. [Google Scholar] [CrossRef] [PubMed]
- Gupton, S.L.; Waterman-Storer, C.M. Spatiotemporal feedback between actomyosin and focal-adhesion systems optimizes rapid cell migration. Cell 2006, 125, 1361–1374. [Google Scholar] [CrossRef]
- Mitra, S.K.; Hanson, D.A.; Schlaepfer, D.D. Focal adhesion kinase: In command and control of cell motility. Nat. Rev. Mol. Cell. Biol. 2005, 6, 56–68. [Google Scholar] [CrossRef] [PubMed]
- Fluck, M.; Carson, J.A.; Gordon, S.E.; Ziemiecki, A.; Booth, F.W. Focal adhesion proteins FAK and paxillin increase in hypertrophied skeletal muscle. Am. J. Physiol. 1999, 277, C152–C162. [Google Scholar] [CrossRef]
- Quach, N.L.; Rando, T.A. Focal adhesion kinase is essential for costamerogenesis in cultured skeletal muscle cells. Dev. Biol. 2006, 293, 38–52. [Google Scholar] [CrossRef]
- Wang, D.; Gao, C.Q.; Chen, R.Q.; Jin, C.L.; Li, H.C.; Yan, H.C.; Wang, X.Q. Focal adhesion kinase and paxillin promote migration and adhesion to fibronectin by swine skeletal muscle satellite cells. Oncotarget 2016, 7, 30845–30854. [Google Scholar] [CrossRef]
- Pollard, T.D.; Borisy, G.G. Cellular motility driven by assembly and disassembly of actin filaments. Cell 2003, 112, 453–465. [Google Scholar] [CrossRef]
- Ridley, A.J.; Schwartz, M.A.; Burridge, K.; Firtel, R.A.; Ginsberg, M.H.; Borisy, G.; Parsons, J.T.; Horwitz, A.R. Cell migration: Integrating signals from front to back. Science 2003, 302, 1704–1709. [Google Scholar] [CrossRef]
- Charras, G.; Brieher, W.M. Regulation and integrated functions of the actin cytoskeleton. Mol. Biol. Cell. 2016, 27, 881. [Google Scholar] [CrossRef] [PubMed][Green Version]
- Sweeney, H.L.; Hammers, D.W. Muscle Contraction. Cold Spring Harb. Perspect. Biol. 2018, 10, a023200. [Google Scholar] [CrossRef]
- Johnson, B.D.; Scheuer, T.; Catterall, W.A. Convergent regulation of skeletal muscle Ca2+ channels by dystrophin, the actin cytoskeleton, and cAMP-dependent protein kinase. Proc. Natl. Acad. Sci. USA 2005, 102, 4191–4196. [Google Scholar] [CrossRef]
- Gunning, P.; O’Neill, G.; Edna Hardeman, E. Tropomyosin-Based Regulation of the Actin Cytoskeleton in Time and Space. Physiol. Rev. 2008, 88, 1–35. [Google Scholar] [CrossRef]
- Rodgers, L.S.; Fanning, A.S. Regulation of Epithelial Permeability by the Actin Cytoskeleton. Cytoskeleton (Hoboken) 2011, 68, 653–660. [Google Scholar] [CrossRef] [PubMed]
- Fiorenza, M.; Lemminger, A.K.; Marker, M.; Eibye, K.; Iaia, F.M.; Bangsbo, J.; Hostrup, M. High-intensity exercise training enhances mitochondrial oxidative phosphorylation efficiency in a temperaturedependent manner in human skeletal muscle: Implications for exercise performance. FASEB J. 2019, 33, 8976–8989. [Google Scholar] [CrossRef] [PubMed]
- Korzeniewski, B. The modeling of oxidative phosphorylation in skeletal muscle. Jpn. J. Physiol. 2004, 54, 511–516. [Google Scholar] [CrossRef]
- Wilson, D.F. Oxidative phosphorylation: Unique regulatory mechanism and role in metabolic homeostasis. J. Appl. Physiol. 2017, 122, 611–619. [Google Scholar] [CrossRef] [PubMed]
- Sin, J.; Andres, A.M.; Taylor, D.J.R.; Weston, T.; Hiraumi, Y.; Stotland, A.; Kim, B.J.; Huang, C.Q.; Doran, K.S.; Gottlieb, R.A. Mitophagy is required for mitochondrial biogenesis and myogenic differentiation of C2C12 myoblasts. Autophagy 2016, 12, 369–380. [Google Scholar] [CrossRef] [PubMed]
- Kunz, W.S. Control of oxidative phosphorylation in skeletal muscle. Biochim. Biophys. Acta 2001, 1504, 12–19. [Google Scholar] [CrossRef]
- Schiaffino, S.; Reggiani, C. Fiber types in mammalian skeletal muscles. Physiol. Rev. 2011, 91, 1447–1531. [Google Scholar] [CrossRef] [PubMed]
- Glancy, B.; Willis, W.T.; Chess, D.J.; Balaban, R.S. Effect of Calcium on the Oxidative Phosphorylation Cascade in Skeletal Muscle Mitochondria. Biochemistry 2013, 52, 2793–2809. [Google Scholar] [CrossRef] [PubMed]
- Vinnakota, K.C.; Singhal, A.; Van den Bergh, F.; Bagher-Oskouei, M.; Wiseman, R.W.; Beard, D.A. Open-Loop Control of Oxidative Phosphorylation in Skeletal and Cardiac Muscle Mitochondria by Ca2+. Biophys. J. 2016, 110, 954–961. [Google Scholar] [CrossRef] [PubMed]







| Groups | Primer Name | Primer Sequence (5′-3′) | Size | Regulated |
|---|---|---|---|---|
| gCHD | F: TGCAGAAGCAATATTACAAGT | Male: 467 bp | ||
| R: AATTCATTATCATCTGGTGG | Female: 467 bp, 326 bp | |||
| HZE17B_vs_HZE21B | ERN2 | F:GCTACCTCACCTTCCACTCG | 144 bp | UP |
| R:CCAGTGAGGTCAAGGCGTAG | ||||
| HZE21B_vs_ HZE27B | SHISA2 | F:AACTCTGTCTCTTGGCGGAC | 140 bp | DOWN |
| R:GAAGTCGCAGCACAACCTTC | ||||
| HZE27B_vs_ HZM6B | D2HGDH | F:CTACGGCCACTTGGGAGATG | 138 bp | UP |
| R:CCATGCTCGGCACTGATACT | ||||
| HZE17L_vs_ HZE21L | PIEZO2 | F:GAGGGAGTTCGTGAGTGGTG | 153 bp | DOWN |
| R:CGATGCGTACAGTCCCATGA | ||||
| HZE21L_vs_ HZE27L | KLHL31 | F:AACCAGTGCGTGACAGTGAT | 171 bp | UP |
| R:GCTGAAGTGGGTACGCTTCT | ||||
| HZE27L_vs_ HZM6L | ALKBH4 | F:CTTGCTCTGTGCTAGGTGGT | 156 bp | UP |
| R:TGGAGAGCACGGTGTTTGAG | ||||
| β-actin | F: CCCTGTATGCCTCTGGTCG | 194 bp | ||
| R: CTCGGCTGTGGTGGTGAAG |
| Samples | Clean Reads | Clean Bases | GC Content | Q30 Value |
|---|---|---|---|---|
| HZE17B1 | 21,762,267 | 6,501,302,702 | 51.05% | 93.11% |
| HZE17B2 | 27,394,948 | 8,181,272,166 | 50.72% | 93.71% |
| HZE17B3 | 29,162,348 | 8,705,985,402 | 51.30% | 93.06% |
| HZE17L1 | 27,479,839 | 8,207,191,364 | 51.34% | 92.90% |
| HZE17L2 | 27,736,375 | 8,286,040,228 | 50.92% | 93.27% |
| HZE17L3 | 24,349,210 | 7,267,672,312 | 51.27% | 93.04% |
| HZE21B1 | 26,420,707 | 7,891,652,864 | 51.40% | 92.56% |
| HZE21B2 | 28,097,657 | 8,385,363,516 | 51.13% | 93.00% |
| HZE21B3 | 27,589,171 | 8,240,063,270 | 51.19% | 92.73% |
| HZE21L1 | 26,743,965 | 7,984,802,282 | 51.25% | 93.27% |
| HZE21L2 | 22,304,168 | 6,655,180,216 | 51.39% | 93.03% |
| HZE21L3 | 29,933,693 | 8,920,698,448 | 51.09% | 92.93% |
| HZE27B1 | 30,600,812 | 9,149,184,640 | 52.14% | 92.99% |
| HZE27B2 | 25,569,769 | 7,639,778,632 | 51.34% | 92.58% |
| HZE27B3 | 27,794,014 | 8,301,392,200 | 51.66% | 92.72% |
| HZE27L1 | 26,774,058 | 7,994,219,756 | 51.77% | 93.02% |
| HZE27L2 | 27,147,241 | 8,098,721,002 | 52.00% | 93.29% |
| HZE27L3 | 27,135,496 | 8,108,815,318 | 52.42% | 92.97% |
| HZM6B1 | 20,948,194 | 6,261,607,884 | 55.32% | 93.28% |
| HZM6B2 | 28,678,868 | 8,557,762,996 | 54.45% | 93.16% |
| HZM6B3 | 22,067,559 | 6,594,491,658 | 53.08% | 93.25% |
| HZM6L1 | 25,190,674 | 7,526,783,110 | 54.01% | 93.18% |
| HZM6L2 | 27,248,765 | 8,136,824,248 | 52.27% | 93.05% |
| HZM6L3 | 26,563,485 | 7,931,120,332 | 54.16% | 92.96% |
| Sample | A->G | G->A | C->T | T->C | A->C | C->A | A->T | T->A | C->G | G->C | G->T | T->G |
|---|---|---|---|---|---|---|---|---|---|---|---|---|
| HZE17B1 | 22,365 | 23,409 | 23,406 | 22,291 | 3902 | 4103 | 3284 | 3258 | 3810 | 3774 | 3952 | 3955 |
| HZE17B2 | 23,579 | 24,692 | 24,688 | 23,381 | 4229 | 4342 | 3393 | 3473 | 4009 | 3980 | 4124 | 4263 |
| HZE17B3 | 25,022 | 26,021 | 26,262 | 25,165 | 4530 | 4626 | 3643 | 3755 | 4257 | 4312 | 4451 | 4568 |
| HZE17L1 | 23,222 | 24,485 | 24,837 | 23,694 | 4132 | 4398 | 3413 | 3404 | 4115 | 3934 | 4160 | 4200 |
| HZE17L2 | 25,603 | 26,918 | 26,759 | 25,514 | 4713 | 4804 | 3770 | 3793 | 4454 | 4419 | 4550 | 4692 |
| HZE17L3 | 20,922 | 21,871 | 22,038 | 20,657 | 3651 | 3664 | 2953 | 3046 | 3545 | 3503 | 3710 | 3644 |
| HZE21B1 | 25,318 | 26,301 | 26,223 | 24,981 | 4599 | 4627 | 3768 | 3792 | 4332 | 4305 | 4558 | 4565 |
| HZE21B2 | 29,584 | 30,912 | 30,895 | 29,527 | 5437 | 5481 | 4561 | 4514 | 5129 | 5147 | 5465 | 5602 |
| HZE21B3 | 23,938 | 24,986 | 24,785 | 23,657 | 4362 | 4392 | 3559 | 3586 | 4089 | 4138 | 4289 | 4440 |
| HZE21L1 | 20,592 | 21,845 | 21,750 | 20,480 | 3677 | 3779 | 2921 | 3052 | 3547 | 3462 | 3659 | 3633 |
| HZE21L2 | 17,187 | 18,200 | 18,172 | 17,303 | 2909 | 2978 | 2377 | 2385 | 2843 | 2743 | 3021 | 2993 |
| HZE21L3 | 20,918 | 22,245 | 22,658 | 21,283 | 3654 | 3811 | 3070 | 3130 | 3603 | 3630 | 3754 | 3836 |
| HZE27B1 | 21,716 | 22,786 | 22,936 | 21,570 | 3837 | 3885 | 3126 | 3095 | 3670 | 3597 | 3848 | 3847 |
| HZE27B2 | 24,859 | 25,867 | 25,853 | 24,937 | 4571 | 4601 | 3837 | 3772 | 4178 | 4276 | 4596 | 4602 |
| HZE27B3 | 18,307 | 19,263 | 19,446 | 18,163 | 3217 | 3223 | 2591 | 2650 | 3056 | 2965 | 3231 | 3255 |
| HZE27L1 | 12,356 | 13,325 | 13,428 | 12,510 | 2031 | 2029 | 1657 | 1693 | 1970 | 1914 | 2001 | 2034 |
| HZE27L2 | 15,727 | 16,779 | 16,715 | 15,626 | 2644 | 2676 | 2125 | 2204 | 2644 | 2531 | 2735 | 2719 |
| HZE27L3 | 13,577 | 14,624 | 14,728 | 13,583 | 2162 | 2250 | 1821 | 1772 | 2207 | 2149 | 2232 | 2187 |
| HZM6B1 | 10,199 | 11,011 | 11,094 | 10,541 | 1627 | 1665 | 1318 | 1380 | 1582 | 1547 | 1667 | 1693 |
| HZM6B2 | 13,446 | 14,322 | 14,200 | 13,523 | 2222 | 2248 | 1862 | 1903 | 2166 | 2167 | 2265 | 2254 |
| HZM6B3 | 12,499 | 13,708 | 13,539 | 12,882 | 2129 | 2164 | 1753 | 1732 | 2080 | 1987 | 2047 | 2112 |
| HZM6L1 | 10,989 | 11,662 | 11,732 | 10,975 | 1779 | 1794 | 1461 | 1464 | 1704 | 1660 | 1741 | 1779 |
| HZM6L2 | 15,108 | 16,062 | 15,937 | 14,998 | 2510 | 2595 | 2073 | 2169 | 2522 | 2452 | 2583 | 2583 |
| HZM6L3 | 11,394 | 12,207 | 12,301 | 11,403 | 1837 | 1860 | 1521 | 1511 | 1808 | 1783 | 1817 | 1815 |
| DEG Set | Total | COG | GO | KEGG | KOG | NR | Pfam | Swiss-Prot | eggNOG |
|---|---|---|---|---|---|---|---|---|---|
| HZE17B_vs_HZE21B | 1190 | 381 | 922 | 787 | 813 | 1186 | 1044 | 863 | 1123 |
| HZE21B_vs_HZE27B | 919 | 292 | 736 | 613 | 637 | 916 | 847 | 628 | 881 |
| HZE27B_vs_HZM6B | 2801 | 965 | 2266 | 1889 | 2041 | 2784 | 2581 | 1992 | 2728 |
| HZE17L_vs_HZE21L | 917 | 304 | 741 | 619 | 615 | 912 | 853 | 678 | 894 |
| HZE21L_vs_HZE27L | 1950 | 710 | 1627 | 1398 | 1430 | 1939 | 1843 | 1407 | 1915 |
| HZE27L_vs_ HZM6L | 825 | 277 | 660 | 579 | 589 | 820 | 777 | 627 | 808 |
Publisher’s Note: MDPI stays neutral with regard to jurisdictional claims in published maps and institutional affiliations. |
© 2021 by the authors. Licensee MDPI, Basel, Switzerland. This article is an open access article distributed under the terms and conditions of the Creative Commons Attribution (CC BY) license (http://creativecommons.org/licenses/by/4.0/).
Share and Cite
Hu, Z.; Cao, J.; Zhang, J.; Ge, L.; Zhang, H.; Liu, X. Skeletal Muscle Transcriptome Analysis of Hanzhong Ma Duck at Different Growth Stages Using RNA-Seq. Biomolecules 2021, 11, 315. https://doi.org/10.3390/biom11020315
Hu Z, Cao J, Zhang J, Ge L, Zhang H, Liu X. Skeletal Muscle Transcriptome Analysis of Hanzhong Ma Duck at Different Growth Stages Using RNA-Seq. Biomolecules. 2021; 11(2):315. https://doi.org/10.3390/biom11020315
Chicago/Turabian StyleHu, Zhigang, Junting Cao, Jianqin Zhang, Liyan Ge, Huilin Zhang, and Xiaolin Liu. 2021. "Skeletal Muscle Transcriptome Analysis of Hanzhong Ma Duck at Different Growth Stages Using RNA-Seq" Biomolecules 11, no. 2: 315. https://doi.org/10.3390/biom11020315
APA StyleHu, Z., Cao, J., Zhang, J., Ge, L., Zhang, H., & Liu, X. (2021). Skeletal Muscle Transcriptome Analysis of Hanzhong Ma Duck at Different Growth Stages Using RNA-Seq. Biomolecules, 11(2), 315. https://doi.org/10.3390/biom11020315

