Nostocyclopeptides as New Inhibitors of 20S Proteasome
Abstract
1. Introduction
2. Materials and Methods
2.1. Organism, Extraction, and Isolation of Compounds
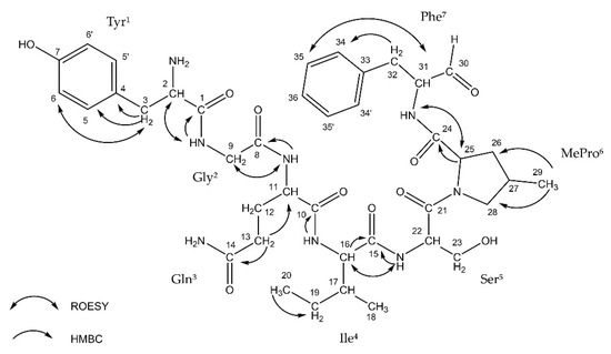
2.2. NMR Analysis
2.3. Human 20S Inhibition Assay
3. Results and Discussion
4. Conclusions
Supplementary Materials
Author Contributions
Funding
Institutional Review Board Statement
Informed Consent Statement
Data Availability Statement
Conflicts of Interest
References
- Kisselev, A.F.; Callard, A.; Goldberg, A. Importance of the different proteolytic sites of the proteasome and the efficacy of inhibitors varies with the protein substrate. J. Biol. Chem. 2006, 281, 8582–8590. [Google Scholar] [CrossRef]
- Adams, J. The proteasome: Structure, function, and role in the cell. Cancer Treat. Rev. 2003, 29, 3–9. [Google Scholar] [CrossRef]
- Deshmukh, F.K.; Yaffe, D.; Olsshina, M.A.; Ben-Nissan, G.; Sharon, M. The contribution of the 20S proteasome to proteostasis. Biomolecules 2019, 9, 190. [Google Scholar] [CrossRef]
- Sherman, D.J.; Li, J. Proteasome inhibitors: Harnessing proteostasis to combat disease. Molecules 2020, 25, 671. [Google Scholar] [CrossRef] [PubMed]
- Ciechanover, A.; Brundin, P. The ubiquitin proteasome system in neurodegenerative diseases: Sometimes the chicken, sometimes the egg. Neuron 2003, 40, 427–446. [Google Scholar] [CrossRef]
- Ciechanover, A. Proteolysis: From the lysosome to ubiquitin and the proteasome. Nat. Rev. 2005, 6, 79–86. [Google Scholar] [CrossRef]
- Bedford, L.; Paine, S.; Sheppard, P.W.; Mayer, R.J.; Roelofs, J. Assembly, structure and function of the 26S proteasome. Trends Cell Biol. 2010, 20, 391–401. [Google Scholar] [CrossRef] [PubMed]
- Orlowski, M.; Wilk, S. Ubiquitin-independent proteolytic functions of the proteasome. Arch. Biochem. Biophys. 2003, 415, 1–5. [Google Scholar] [CrossRef]
- Hwang, J.; Winkler, L.; Kalejta, R.F. Ubiquitin-independent proteasomal degradation during oncogenic viral infections. Biochim. Biophys. Acta 2011, 1816, 147–157. [Google Scholar] [CrossRef][Green Version]
- Tundo, G.R.; Sbardella, D.; Santoro, A.M.; Coletta, A.; Oddone, F.; Grasso, G.; Milardi, D.; Lacal, P.M.; Marini, S.; Purrello, L.; et al. The proteasome as a druggable target with multiple therapeutic potentialities: Cutting and non-cutting edges. Pharmacor. Ther. 2020, 213, 107579. [Google Scholar] [CrossRef] [PubMed]
- Verbrugge, S.E.; Scheper, R.J.; Lems, W.F.; de Gruijl, T.D.; Jansen, G. Proteasome inhibitors as experimental therapeutics of autoimmune diseases. Arthritis Res. Ther. 2015, 17, 17. [Google Scholar] [CrossRef]
- Cao, Y.; Zhu, H.; He, R.; Kong, L.; Shao, J.; Zhuang, R.; Xi, J.; Zhang, J. Proteasome, a promising therapeutic target for multiple diseases beyond cancer. Drug Des. Devel. Ther. 2020, 14, 4327–4342. [Google Scholar] [CrossRef]
- de Bettignies, G.; Coux, O. Proteasome inhibitors: Dozens of molecules and still counting. Biochimie 2010, 92, 1530–1545. [Google Scholar] [CrossRef]
- Ma, Y.; Xu, B.; Fang, Y.; Yang, Z.; Cui, J.; Zhang, L.; Zhang, L. Synthesis and SAR study of novel peptide aldehydes as inhibitors of 20S proteasome. Molecules 2011, 16, 7551–7564. [Google Scholar] [CrossRef]
- Harer, S.L.; Bhatia, M.S.; Bhatia, N.M. Proteasome inhibitors mechanism; source for design of newer therapeutic agents. J. Antibiot. 2012, 65, 279–288. [Google Scholar] [CrossRef]
- Oerlemans, R.; Berkers, C.; Assaraf, Y.G.; Scheffer, G.L.; Peters, G.J.; Verbrugge, S.E.; Cloos, J.; Slootstra, J.; Meloen, R.H.; Shoemaker, R.H.; et al. Proteasome inhibition and mechanism of resistance to a synthetic, library-based hexapeptide. Investig. New Drugs 2018, 36, 797–809. [Google Scholar] [CrossRef]
- Momose, I.; Sekizawa, R.; Hashizume, H.; Kinoshita, N.; Homma, Y.; Hamada, M.; Iinuma, H.; Takeuchi, T. Tyropeptins A and B, new proteasome inhibitors produced by Kitasatospora sp. MK993-dF2. J. Antibiot. 2001, 54, 997–1003. [Google Scholar] [CrossRef]
- Momose, I.; Sekizawa, R.; Iinuma, H.; Takeuchi, T. Inhibition of proteasome activity by tyropeptin A in PC12 cells. Biosci. Biotechnol. Biochem. 2002, 66, 2256–2258. [Google Scholar] [CrossRef][Green Version]
- Hines, J.; Groll, M.; Fahnestock, M.; Crews, C.M. Proteasome inhibition by fellutamide B induces nerve growth factor synthesis. Chem. Biol. 2008, 15, 501–512. [Google Scholar] [CrossRef]
- Golakoti, T.; Yoshida, W.; Chaganty, S.; Moore, R. Isolation and structure determination of nostocyclopeptides A1 and A2 from the terrestrial cyanobacterium Nostoc sp. ATCC53789. J. Nat. Prod. 2001, 64, 54–59. [Google Scholar] [CrossRef]
- Lee, W.; Belkhiri, A.; Lockhart, A.C.; Merchant, N.; Glaeser, H.; Harris, E.I.; Washington, M.K.; Brunt, E.M.; Zaika, A.; Kim, R.B.; et al. Overexpression of OATP1B3 confers apoptotic resistance in colon cancer. Cancer Res. 2008, 68, 10315–10323. [Google Scholar] [CrossRef]
- Svoboda, M.; Wleck, K.; Taferner, B.; Hering, S.; Stieger, B.; Tong, D.; Zeillinger, R.; Thalhammer, T.; Jäger, W. Expression of organic anion-transporting polypeptides 1B1 and 1B3 in ovarian cancer cells: Relevance for paclitaxel transport. Biomed. Pharmacother. 2011, 65, 417–426. [Google Scholar] [CrossRef]
- Jokela, J.; Herfindal, L.; Wahlsten, M.; Permi, P.; Selheim, F.; Vasconçelos, V.; Døskeland, S.; Sivonen, K. A novel cyanobacterial nostocyklopeptide is a potent antitoxin against Microcystis. ChemBioChem 2010, 11, 1594–1599. [Google Scholar] [CrossRef]
- Herfindal, L.; Myhren, L.; Kleppe, R.; Krakstad, C.; Selheim, F.; Jokela, J.; Sivonen, K.; Døskeland, S. Nostocyclopeptide-M1: A potent, nontoxic inhibitor of the hepatocyte drug trasporters OATP1B3 and OATP1B1. Mol. Pharm. 2011, 8, 360–367. [Google Scholar] [CrossRef]
- Kotai, J. Introduction for Preparation of Modified Nutrient Solution Z8 for Algae; Norwegian Institute for Water Research Publication: Oslo, Norway, 1972. [Google Scholar]
- Mazur-Marzec, H.; Fidor, A.; Cegłowska, M.; Wieczerzak, E.; Kropidłowska, M.; Goua, M.; Macaskill, J.; Edwards, C. Cyanopeptolins with trypsin and chymotrypsin inhibitory activity from the cyanobacterium Nostoc edaphicum CCNP1411. Mar. Drugs 2018, 16, 220. [Google Scholar] [CrossRef]
- Czerwonka, A.; Fiołka, M.J.; Jędrzejewska, K.; Jankowska, E.; Zając, A.; Rzeski, W. Pro-apoptotic action of protein-carbohydrate fraction isolated from coelomic fluid of the earthworm Dendrobaena veneta against human colon adenocarcinoma cells. Biomed. Pharmacother. 2020, 126, 110035. [Google Scholar] [CrossRef]
- Gaczyńska, M.; Osmulski, P.A.; Gao, Y.; Post, M.J.; Simons, M. Proline- and arginine-rich peptides constitute a novel class of allosteric inhibitors of proteasome activity. Biochemistry 2003, 42, 8663–8670. [Google Scholar] [CrossRef]
- Nowruzi, B.; Khavari-Nejad, R.; Sivonen, K.; Kazemi, B.; Najafi, F.; Nejadsattari, T. Identification and toxigenic potential of Nostoc sp. Algae 2012, 27, 303–313. [Google Scholar] [CrossRef]
- Liamer, A.; Jensen, J.; Dittman, E. A genetic and chemical perspective on symbiotic recruitment of cyanobacteria of the genus Nostoc into the host plant Blasia pusilla L. Front. Microbiol. 2016, 7, 1963. [Google Scholar] [CrossRef]
- Fidor, A.; Grabski, M.; Gawor, J.; Gromadka, R.; Węgrzyn, G.; Mazur-Marzec, H. Nostoc edaphicum CCNP1411 from the Baltic Sea—a new producer of nostocyclopeptides. Mar. Drugs 2020, 18, 442. [Google Scholar] [CrossRef]
- Guo, N.; Zhilan, P. MG 132, a proteasome inhibitor, induces apoptosis in tumor cells. Asia Pac. J. Clin. Oncol. 2013, 9, 6–11. [Google Scholar] [CrossRef]
- Zhang, L.; Hu, J.J.; Gong, F. MG 132 inhibition of proteasome blocks apoptosis induced by severe DNA damage. Cell Cycle 2011, 10, 3515–3518. [Google Scholar] [CrossRef][Green Version]
- Hasegawa, M.; Kinoshita, K.; Nishimura, C.; Matsumura, U.; Shionyu, M.; Ikeda, S.; Mizukami, T. Affinity labeling of the proteasome by a belactosin A derived inhibitor. Bioorg. Med. Chem. Lett. 2008, 18, 5668–5671. [Google Scholar] [CrossRef]
- Kisselev, A.F.; van der Linden, W.A.; Overkleeft, H.S. Proteasome inhibitors: An expanding army attacking a unique target. Chem. Biol. 2012, 19, 99–115. [Google Scholar] [CrossRef]
- Kisselev, A.F.; Goldberg, A. Proteasome inhibitors: From research tools to drug candidates. Chem. Biol. 2001, 8, 739–758. [Google Scholar] [CrossRef]
- Pereira, A.R.; Kale, A.J.; Fenley, A.T.; Byrum, T.; Debonsi, H.M.; Gilson, M.K.; Valeriote, F.A.; Moore, B.S.; Gerwick, W.H. The carmaphycins: New proteasome inhibitors exhibiting an α,β-epoxyketone warhead from a marine cyanobacterium. ChemBioChem 2012, 13, 810–817. [Google Scholar] [CrossRef]
- Shim, S.H.; Chlipala, G.; Orjala, J. Isolation and structure determination of a proteasome inhibitory metabolite from a culture of Scytonema hofmanni. J. Microbiol. Biotechnol. 2008, 18, 1655–1658. [Google Scholar]
- Krunic, A.; Vallat, A.; Mo, S.; Lantvit, D.D.; Swanson, S.M.; Orjala, J. Scytonemides A and B, cyclic peptides with 20S proteasome inhibitory activity from the cultured cyanobacterium Scytonema hofmanii. J. Nat. Prod. 2010, 29, 1927–1932. [Google Scholar] [CrossRef]
- Chlipala, G.E.; Sturdy, M.; Krunic, A.; Lantvit, D.D.; Shen, Q.; Porter, K.; Swanson, S.M.; Orjala, J. Cylindrocyclophanes with proteasome inhibitory activity from the cyanobacterium Nostoc sp. J. Nat. Prod. 2010, 73, 1529–1537. [Google Scholar] [CrossRef]
- Field-Smith, A.; Morgan, G.J.; Davies, F.E. Bortezomib (VelcadeTM) in the treatment of multiple myeloma. Ther. Clin. Risk Manag. 2006, 2, 271–279. [Google Scholar] [CrossRef]
- Herndon, T.M.; Deisseroth, A.; Kaminskas, E.; Kane, R.C.; Koti, K.M.; Rothmann, M.D.; Habtemariam, B.; Bullock, J.; Bray, J.D.; Hawes, J.; et al. Food and Drug Administration approval: Carfilzomib for the treatment of multiple myeloma. Clin. Cancer Res. 2013, 19, 4559–4563. [Google Scholar] [CrossRef]
- Shirley, M. Ixazomib: First global approval. Drugs 2016, 76, 405–411. [Google Scholar] [CrossRef] [PubMed]
- Bai, Y.; Su, X. Updates to the drug-resistant mechanism of proteasome inhibitors in multiple myeloma. Asia-Pac. J. Clin. Oncol. 2021, 17, 29–35. [Google Scholar] [CrossRef]
- Kim, K.B. Proteasomal adaptations to FDA-approved proteasome inhibitors: A potential mechanism for drug resistance. Cancer Drug Resist. 2021, 4, 634–645. [Google Scholar]
- Moreau, P.; Richardson, P.G.; Cavo, M.; Orlowski, R.Z.; Sam Miguel, J.F.; Palumbo, A.; Harousseau, J.-L. Proteasome inhibitors in multiple myeloma: 10 years later. Blood 2012, 120, 947–959. [Google Scholar] [CrossRef]
- Pancheri, E.; Guglielmi, V.; Wilczynski, G.M.; Malatesta, M.; Tonin, P.; Tomelleri, G.; Nowis, D.; Vattemi, G. Non-hematologic toxicity of bortezomib in multiple myeloma: The neuromuscular and cardiovascular adverse effects. Cancers 2020, 12, 2540. [Google Scholar] [CrossRef]
- Cromm, P.M.; Crews, C.M. The proteasome in modern drug discovery: Second life of highly valuable drug target. ACS Cent. Sci. 2017, 3, 830–838. [Google Scholar] [CrossRef] [PubMed]
- Mofers, A.; Selvaraju, K.; Gubat, J.; D’Arcy, P.; Linder, S. Identification of proteasome inhibitors using analysis of gene. Eur. J. Pharmacol. 2020, 889, 173709. [Google Scholar] [CrossRef]
- Shen, X.; Wu, C.; Lei, M.; Yan, Q.; Zhang, H.; Zhang, L.; Wang, X.; Yang, Y.; Li, J.; Zhu, Y.; et al. Anti-tumor activity of a novel proteasome inhibitor D395 against multiple myeloma and its lower cardiotoxicity compared with carfilzomib. Cell Death Dis. 2021, 12, 429. [Google Scholar] [CrossRef]



| Peptide Name | Molecular Mass | Structure |
|---|---|---|
| Ncp-A1 | 756 | [Tyr1+Gly2+Gln3+Ile4+Ser5+MePro6+Leu7] |
| Ncp-A2 | 790 | [Tyr1+Gly2+Gln3+Ile4+Ser5+MePro6+Phe7] |
| Ncp-A2-L | 808 | Tyr1+Gly2+Gln3+Ile4+Ser5+MePro6+Phe-H7 |
| Ncp-E2 | 742 | [Tyr1+Gly2+Gln3+Ile4+Ser5+Pro6+Leu7] |
| Ncp-E2-L | 760 | Tyr1+Gly2+Gln3+Ile4+Ser5+Pro6+Leu-H7 |
| Ncp-E4-L | 676 | Tyr1+Gly2+Gln3+Ile4+Ser5+MePro6 |
| Residue | Position | δC, type | δH (J in Hz) | ROESY | HMBC a |
|---|---|---|---|---|---|
| Tyr | 1 | ||||
| 2 | 169.9, C | ||||
| 3 | 54.6, CH | 4.13, t (6.9, 6.9) | NH(1), 6 | ||
| 4 | 36.0, CH2 | 3.04, dd (7.3, 12.9) | 6 | ||
| 5/5′ | 125.5, C | ||||
| 6/6′ | 130.9, CH | 6.78, d (8.0) | 2, 4, 5 | ||
| 7 | 115.9, CH | 7.04, d (8.0) | 2, 3 | ||
| NH2 | 155.3, C | ||||
| OH | |||||
| Gly | 8 | 170.7, C | |||
| 9 | 42.4, CH2 | 3.84, m | NH(2) | ||
| NH(1) | 8.46, t (5.6, 5.6) | 2 | 1 | ||
| Gln | 10 | ||||
| 11 | 173.1, C | NH(3) | |||
| 12a | 53.2, CH | 4.30, m | 10 | ||
| 12b | 27.2, CH2 | 1.88, m | |||
| 13 | 1.99, m | ||||
| 14 | 31.1, CH2 | 2.26, t (7.3, 7.3) | 11, 12, 14 | ||
| NH(2) | 178.0, C | 9 | |||
| NH2 | 8.25, d (7.6) | 8 | |||
| Ile | 15 | 173.4, C | |||
| 16 | 58.2, CH | 4.09, t (8.1, 8.1) | NH(4) | 17 | |
| 17 | 36.0, CH | 1.77, m | |||
| 18 | 14.7, CH3 | 1.08, d (6.6) | |||
| 19 | 24.6, CH2 | 1.32, m | |||
| 20 | 10.0, CH3 | 0.79, t (7.3, 7.3) | 22 | 17, 19 | |
| NH(3) | 8.21, d (6.8) | 11 | 10 | ||
| Ser | 21 | ||||
| 22 | n.o. | ||||
| 23a | n.o. | 4.59, m | 20 | ||
| 23b | 61.0, CH2 | 3.69, m | |||
| NH(4) | 3.77, m | ||||
| OH | 8.31, d (5.1) | 16 | 15 | ||
| MePro | 24 | 173.8, C | |||
| 25 | 61.3, CH | 4.15, dd (8.1, 9.3) | 24 | ||
| 26 | 37.3, CH2 | 2.13, m | |||
| 27 | 33.1, CH | 2.04, m | |||
| 28a | 55.0, CH2 | 2.84, t (10.5, 10.5) | NH(5) | ||
| 28b | 3.86, m | 26 | |||
| 29 | 15.2, CH3 | 0.82, d (6.6) | 26, 28 | ||
| Phe-H | 30 | 9.46, s | |||
| 31 | n.o. | 4.01, m | 35 | ||
| 32a | 55.5, CH | 2.57, dd (10.6, 14.0) | 34 | 34/34′ | |
| 32b | 34.2, CH2 | 2.98, dd (4.0, 14.5) | |||
| 33 | 32 | ||||
| 34/34′ | 137.9, C | 7.26, m | |||
| 35/35′ | 129.5, CH | 7.15, d (7.2) | 31 | ||
| 36 | 128.7, CH | 7.18, m | |||
| NH(5) | 126.6, CH | 7.46, d (9.3) | 25 | 24 |
Publisher’s Note: MDPI stays neutral with regard to jurisdictional claims in published maps and institutional affiliations. |
© 2021 by the authors. Licensee MDPI, Basel, Switzerland. This article is an open access article distributed under the terms and conditions of the Creative Commons Attribution (CC BY) license (https://creativecommons.org/licenses/by/4.0/).
Share and Cite
Fidor, A.; Cekała, K.; Wieczerzak, E.; Cegłowska, M.; Kasprzykowski, F.; Edwards, C.; Mazur-Marzec, H. Nostocyclopeptides as New Inhibitors of 20S Proteasome. Biomolecules 2021, 11, 1483. https://doi.org/10.3390/biom11101483
Fidor A, Cekała K, Wieczerzak E, Cegłowska M, Kasprzykowski F, Edwards C, Mazur-Marzec H. Nostocyclopeptides as New Inhibitors of 20S Proteasome. Biomolecules. 2021; 11(10):1483. https://doi.org/10.3390/biom11101483
Chicago/Turabian StyleFidor, Anna, Katarzyna Cekała, Ewa Wieczerzak, Marta Cegłowska, Franciszek Kasprzykowski, Christine Edwards, and Hanna Mazur-Marzec. 2021. "Nostocyclopeptides as New Inhibitors of 20S Proteasome" Biomolecules 11, no. 10: 1483. https://doi.org/10.3390/biom11101483
APA StyleFidor, A., Cekała, K., Wieczerzak, E., Cegłowska, M., Kasprzykowski, F., Edwards, C., & Mazur-Marzec, H. (2021). Nostocyclopeptides as New Inhibitors of 20S Proteasome. Biomolecules, 11(10), 1483. https://doi.org/10.3390/biom11101483

