Computing the Structural Dynamics of RVFV L Protein Domain in Aqueous Glycerol Solutions
Abstract
:1. Introduction
2. Materials and Methods
2.1. Methodology for the All-Atom MD Simulation of Aqueous Glycerol Solutions
2.2. Methodology Associated with All-Atom MD Simulation of RVFV L Protein Domain in Solvent
3. Results and Discussion
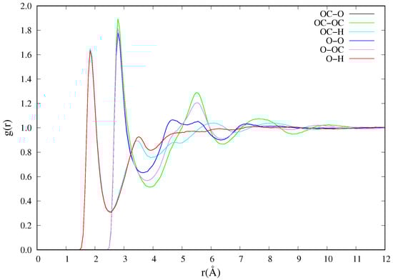
3.1. Properties of All-Atom MD Simulated Solvents
3.2. Energetic Evaluation of RVFV L Protein Domain
3.3. Properties of RVFV L Protein Domain in the Solvents
3.4. Secondary Structure Analysis of the RVFV L Protein Domain
3.5. Investigating the Linear Relationship between and with Cluster Analysis
4. Conclusions
Supplementary Materials
Author Contributions
Funding
Institutional Review Board Statement
Informed Consent Statement
Data Availability Statement
Acknowledgments
Conflicts of Interest
Abbreviations
| RMSD | Root-Mean-Squared-Deviation |
| RMSF | Root-Mean-Squared-Fluctuation |
| MD | Molecular Dynamics |
| PDB | Protein Data Bank |
| RVFV | Rift Valley Fever Virus |
References
- Bird, B.H.; Nichol, S.T. Breaking the chain: Rift Valley fever virus control via livestock vaccination. Curr. Opin. Virol. 2012, 2, 315–323. [Google Scholar] [CrossRef]
- Ikegami, T.; Makino, S. The pathogenesis of Rift Valley fever. Viruses 2011, 3, 493–519. [Google Scholar] [CrossRef] [PubMed] [Green Version]
- Mehand, M.S.; Al-Shorbaji, F.; Millett, P.; Murgue, B. The WHO R&D Blueprint: 2018 review of emerging infectious diseases requiring urgent research and development efforts. Antivir. Res. 2018, 159, 63–67. [Google Scholar] [PubMed]
- Bouloy, M.; Weber, F. Molecular biology of Rift Valley fever virus. Open Virol. J. 2010, 4, 8. [Google Scholar] [CrossRef]
- Gogovi, G.K.; Almsned, F.; Bracci, N.; Kehn-Hall, K.; Shehu, A.; Blaisten-Barojas, E. Modeling the Tertiary Structure of the Rift Valley Fever Virus L Protein. Molecules 2019, 24, 1768. [Google Scholar] [CrossRef] [PubMed] [Green Version]
- Gogrefe, N.; Reindl, S.; Günther, S.; Rosenthal, M. Structure of a functional cap-binding domain in Rift Valley fever virus L protein. PLoS Pathog. 2019, 15, e1007829. [Google Scholar] [CrossRef] [Green Version]
- Majumdar, A.B.; Kim, I.J.; Na, H. Effect of solvent on protein structure and dynamics. Phys. Biol. 2020, 17, 036006. [Google Scholar] [CrossRef] [PubMed]
- Hinsen, K.; Kneller, G.R. Solvent effects in the slow dynamics of proteins. Proteins Struct. Funct. Bioinform. 2008, 70, 1235–1242. [Google Scholar] [CrossRef]
- Kitao, A.; Hirata, F.; Gō, N. The effects of solvent on the conformation and the collective motions of protein: Normal mode analysis and molecular dynamics simulations of melittin in water and in vacuum. Chem. Phys. 1991, 158, 447–472. [Google Scholar] [CrossRef]
- Lamm, G.; Szabo, A. Langevin modes of macromolecules. J. Chem. Phys. 1986, 85, 7334–7348. [Google Scholar] [CrossRef]
- ben Avraham, D.; Tirion, M.M. Normal modes analyses of macromolecules. Phys. A Stat. Mech. Appl. 1998, 249, 415–423. [Google Scholar] [CrossRef]
- Tirion, M.M.; ben Avraham, D. Normal mode analysis of G-actin. J. Mol. Biol. 1993, 230, 186–195. [Google Scholar] [CrossRef] [PubMed]
- Bahar, I.; Rader, A. Coarse-grained normal mode analysis in structural biology. Curr. Opin. Struct. Biol. 2005, 15, 586–592. [Google Scholar] [CrossRef] [PubMed] [Green Version]
- Lucena, D.; Mauri, M.; Schmidt, F.; Eckhardt, B.; Graumann, P.L. Microdomain formation is a general property of bacterial membrane proteins and induces heterogeneity of diffusion patterns. BMC Biol. 2018, 16, 1–17. [Google Scholar] [CrossRef]
- Gekko, K.; Timasheff, S.N. Mechanism of protein stabilization by glycerol: Preferential hydration in glycerol-water mixtures. Biochemistry 1981, 20, 4667–4676. [Google Scholar] [CrossRef] [PubMed]
- Sinibaldi, R.; Ortore, M.G.; Spinozzi, F.; Carsughi, F.; Frielinghaus, H.; Cinelli, S.; Onori, G.; Mariani, P. Preferential hydration of lysozyme in water/glycerol mixtures: A small-angle neutron scattering study. J. Chem. Phys. 2007, 126, 06B609. [Google Scholar] [CrossRef] [Green Version]
- Betting, H.; Häckel, M.; Hinz, H.J.; Stockhausen, M. Spectroscopic evidence for the preferential hydration of RNase a in glycerol–water mixtures: Dielectric relaxation studies. Phys. Chem. Chem. Phys. 2001, 3, 1688–1692. [Google Scholar] [CrossRef]
- Loveridge, E.J.; Tey, L.H.; Allemann, R.K. Solvent effects on catalysis by Escherichia coli dihydrofolate reductase. J. Am. Chem. Soc. 2010, 132, 1137–1143. [Google Scholar] [CrossRef]
- Canchi, D.R.; García, A.E. Cosolvent effects on protein stability. Annu. Rev. Phys. Chem. 2013, 64, 273–293. [Google Scholar] [CrossRef]
- Chéron, N.; Naepels, M.; Pluharova, E.; Laage, D. Protein preferential solvation in water: Glycerol mixtures. J. Phys. Chem. B 2020, 124, 1424–1437. [Google Scholar] [CrossRef]
- Vagenende, V.; Trout, B.L. Quantitative characterization of local protein solvation to predict solvent effects on protein structure. Biophys. J. 2012, 103, 1354–1362. [Google Scholar] [CrossRef] [Green Version]
- Morris, G.J.; Goodrich, M.; Acton, E.; Fonseca, F. The high viscosity encountered during freezing in glycerol solutions: Effects on cryopreservation. Cryobiology 2006, 52, 323–334. [Google Scholar] [CrossRef] [PubMed]
- Hubalek, Z. Protectants used in the cryopreservation of microorganisms. Cryobiology 2003, 46, 205–229. [Google Scholar] [CrossRef]
- Dirama, T.E.; Carri, G.A.; Sokolov, A.P. Role of hydrogen bonds in the fast dynamics of binary glasses of trehalose and glycerol: A molecular dynamics simulation study. J. Chem. Phys. 2005, 122, 114505. [Google Scholar] [CrossRef] [Green Version]
- Ou, W.; Park, Y.; Meng, F.; Zhou, H. Effects of glycerol in the refolding and unfolding of creatine kinase. Tsinghua Sci. Technol. 2002, 7, 352–362. [Google Scholar]
- Rariy, R.V.; Klibanov, A.M. Correct protein folding in glycerol. Proc. Natl. Acad. Sci. USA 1997, 94, 13520–13523. [Google Scholar] [CrossRef] [Green Version]
- Farnum, M.; Zukoski, C. Effect of glycerol on the interactions and solubility of bovine pancreatic trypsin inhibitor. Biophys. J. 1999, 76, 2716–2726. [Google Scholar] [CrossRef] [Green Version]
- Mehrnejad, F.; Ghahremanpour, M.M.; Khadem-Maaref, M.; Doustdar, F. Effects of osmolytes on the helical conformation of model peptide: Molecular dynamics simulation. J. Chem. Phys. 2011, 134, 01B620. [Google Scholar] [CrossRef] [PubMed]
- Caroline, A.L.; Powell, D.S.; Bethel, L.M.; Oury, T.D.; Reed, D.S.; Hartman, A.L. Broad spectrum antiviral activity of favipiravir (T-705): Protection from highly lethal inhalational Rift Valley Fever. PLoS Neglected Trop. Dis. 2014, 8, e2790. [Google Scholar] [CrossRef] [Green Version]
- Vagenende, V.; Yap, M.G.; Trout, B.L. Mechanisms of protein stabilization and prevention of protein aggregation by glycerol. Biochemistry 2009, 48, 11084–11096. [Google Scholar] [CrossRef]
- Case, D.; Ben-Shalom, I.; Brozell, S.; Cerutti, D.; Cheatham, T., III; Cruzeiro, V.; Darden, T.; Duke, R.; Ghoreishi, D.; Gilson, M.; et al. AMBER 2018; University of California: San Francisco, CA, USA, 2018. [Google Scholar]
- Bayly, C.I.; Cieplak, P.; Cornell, W.; Kollman, P.A. A well-behaved electrostatic potential based method using charge restraints for deriving atomic charges: The RESP model. J. Phys. Chem. 1993, 97, 10269–10280. [Google Scholar] [CrossRef]
- Tomasi, J.; Mennucci, B.; Cammi, R. Quantum mechanical continuum solvation models. Chem. Rev. 2005, 105, 2999–3094. [Google Scholar] [CrossRef] [PubMed]
- Singh, U.C.; Kollman, P.A. An approach to computing electrostatic charges for molecules. J. Comput. Chem. 1984, 5, 129–145. [Google Scholar] [CrossRef]
- Besler, B.H.; Merz Jr, K.M.; Kollman, P.A. Atomic charges derived from semiempirical methods. J. Comput. Chem. 1990, 11, 431–439. [Google Scholar] [CrossRef]
- Trucks, G.; Schlegel, H.; Scuseria, G.; Robb, M.; Cheeseman, J.; Scalmani, G.; Barone, V.; Mennucci, B.; Petersson, G.; Nakatsuji, H.; et al. Gaussian 09, Revision d. 01, Gaussian; Gaussian Inc.: Wallingford, CT, USA, 2009. [Google Scholar]
- Berendsen, H.; Grigera, J.; Straatsma, T. The missing term in effective pair potentials. J. Phys. Chem. 1987, 91, 6269–6271. [Google Scholar] [CrossRef]
- Gogovi, G.K. Structural Exploration of Rift Valley Fever Virus L Protein Domain in Implicit and Explicit Solvents by Molecular Dynamics. In Advances in Computer Vision and Computational Biology; Springer: Berlin/Heidelberg, Germany, 2021; pp. 759–774. [Google Scholar]
- Yeh, I.C.; Hummer, G. System-size dependence of diffusion coefficients and viscosities from molecular dynamics simulations with periodic boundary conditions. J. Phys. Chem. B 2004, 108, 15873–15879. [Google Scholar] [CrossRef]
- Schröter, K.; Donth, E. Viscosity and shear response at the dynamic glass transition of glycerol. J. Chem. Phys. 2000, 113, 9101–9108. [Google Scholar] [CrossRef]
- Maier, J.A.; Martinez, C.; Kasavajhala, K.; Wickstrom, L.; Hauser, K.E.; Simmerling, C. ff14SB: Improving the accuracy of protein side chain and backbone parameters from ff99SB. J. Chem. Theory Comput. 2015, 11, 3696–3713. [Google Scholar] [CrossRef] [Green Version]
- Kabsch, W.; Sander, C. Dictionary of protein secondary structure: Pattern recognition of hydrogen-bonded and geometrical features. Biopolym. Orig. Res. Biomol. 1983, 22, 2577–2637. [Google Scholar] [CrossRef] [PubMed]
- Roe, D.R.; Cheatham, T.E., III. PTRAJ and CPPTRAJ: Software for processing and analysis of molecular dynamics trajectory data. J. Chem. Theory Comput. 2013, 9, 3084–3095. [Google Scholar] [CrossRef] [PubMed]
- Egorov, G.I.; Makarov, D.M.; Kolker, A.M. Volume properties of liquid mixture of water+ glycerol over the temperature range from 278.15 to 348.15 K at atmospheric pressure. Thermochim. Acta 2013, 570, 16–26. [Google Scholar] [CrossRef]
- Akinkunmi, F.O.; Jahn, D.A.; Giovambattista, N. Effects of temperature on the thermodynamic and dynamical properties of glycerol–water mixtures: A computer simulation study of three different force fields. J. Phys. Chem. B 2015, 119, 6250–6261. [Google Scholar] [CrossRef]
- Towey, J.; Soper, A.; Dougan, L. The structure of glycerol in the liquid state: A neutron diffraction study. Phys. Chem. Chem. Phys. 2011, 13, 9397–9406. [Google Scholar] [CrossRef]
- D’Errico, G.; Ortona, O.; Capuano, F.; Vitagliano, V. Diffusion coefficients for the binary system glycerol+ water at 25 C. A velocity correlation study. J. Chem. Eng. Data 2004, 49, 1665–1670. [Google Scholar] [CrossRef]
- Jahn, D.A.; Akinkunmi, F.O.; Giovambattista, N. Effects of temperature on the properties of glycerol: A computer simulation study of five different force fields. J. Phys. Chem. B 2014, 118, 11284–11294. [Google Scholar] [CrossRef]
- Tomlinson, D. Temperature dependent self-diffusion coefficient measurements of glycerol by the pulsed NMR technique. Mol. Phys. 1973, 25, 735–738. [Google Scholar] [CrossRef]
- Stepišnik, J.; Mattea, C.; Stapf, S.; Mohorič, A. Molecular velocity auto-correlations in glycerol/water mixtures studied by NMR MGSE method. Phys. A Stat. Mech. Appl. 2020, 553, 124171. [Google Scholar] [CrossRef]
- Mehrnejad, F.; Naderi-Manesh, H.; Ranjbar, B. The structural properties of magainin in water, TFE/water, and aqueous urea solutions: Molecular dynamics simulations. Proteins Struct. Funct. Bioinform. 2007, 67, 931–940. [Google Scholar] [CrossRef]
- Kandasamy, S.K.; Larson, R.G. Binding and insertion of α-helical anti-microbial peptides in POPC bilayers studied by molecular dynamics simulations. Chem. Phys. Lipids 2004, 132, 113–132. [Google Scholar] [CrossRef] [PubMed]
- Choy, W.Y.; Mulder, F.A.; Crowhurst, K.A.; Muhandiram, D.; Millett, I.S.; Doniach, S.; Forman-Kay, J.D.; Kay, L.E. Distribution of molecular size within an unfolded state ensemble using small-angle X-ray scattering and pulse field gradient NMR techniques. J. Mol. Biol. 2002, 316, 101–112. [Google Scholar] [CrossRef] [PubMed] [Green Version]
- Burchard, W.; Schmidt, M.; Stockmayer, W. Information on polydispersity and branching from combined quasi-elastic and intergrated scattering. Macromolecules 1980, 13, 1265–1272. [Google Scholar] [CrossRef]
- Oono, Y.; Kohmoto, M. Renormalization group theory of transport properties of polymer solutions. I. Dilute solutions. J. Chem. Phys. 1983, 78, 520–528. [Google Scholar] [CrossRef]
- Lindorff-Larsen, K.; Kristjansdottir, S.; Teilum, K.; Fieber, W.; Dobson, C.M.; Poulsen, F.M.; Vendruscolo, M. Determination of an ensemble of structures representing the denatured state of the bovine acyl-coenzyme a binding protein. J. Am. Chem. Soc. 2004, 126, 3291–3299. [Google Scholar] [CrossRef] [PubMed]
- Nygaard, M.; Kragelund, B.B.; Papaleo, E.; Lindorff-Larsen, K. An efficient method for estimating the hydrodynamic radius of disordered protein conformations. Biophys. J. 2017, 113, 550–557. [Google Scholar] [CrossRef] [PubMed] [Green Version]
- Ash, W.L.; Zlomislic, M.R.; Oloo, E.O.; Tieleman, D.P. Computer simulations of membrane proteins. Biochim. Biophys. Acta (BBA)-Biomembr. 2004, 1666, 158–189. [Google Scholar] [CrossRef] [PubMed] [Green Version]
- Bragg, W.L.; Kendrew, J.C.; Perutz, M.F. Polypeptide chain configurations in crystalline proteins. Proc. R. Soc. London. Ser. A Math. Phys. Sci. 1950, 203, 321–357. [Google Scholar]
- Creighton, T.E. Proteins: Structures and Molecular Properties; Macmillan: New York, NY, USA, 1993. [Google Scholar]
- Baker, E.; Hubbard, R. Hydrogen bonding in globular proteins. Prog. Biophys. Mol. Biol. 1984, 44, 97–179. [Google Scholar] [CrossRef]
- Cormack, R.M. A review of classification. J. R. Stat. Soc. Ser. A General 1971, 134, 321–353. [Google Scholar] [CrossRef]
- Jain, A.K.; Murty, M.N.; Flynn, P.J. Data clustering: A review. ACM Comput. Surv. CSUR 1999, 31, 264–323. [Google Scholar] [CrossRef]
- Karpen, M.E.; Tobias, D.J.; Brooks, C.L., III. Statistical clustering techniques for the analysis of long molecular dynamics trajectories: Analysis of 2.2-ns trajectories of YPGDV. Biochemistry 1993, 32, 412–420. [Google Scholar] [CrossRef]
- Shenkin, P.S.; McDonald, D.Q. Cluster analysis of molecular conformations. J. Comput. Chem. 1994, 15, 899–916. [Google Scholar] [CrossRef]
- Torda, A.E.; van Gunsteren, W.F. Algorithms for clustering molecular dynamics configurations. J. Comput. Chem. 1994, 15, 1331–1340. [Google Scholar] [CrossRef]
- Gabarro-Arpa, J.; Revilla, R. Clustering of a molecular dynamics trajectory with a Hamming distance. Comput. Chem. 2000, 24, 693–698. [Google Scholar] [CrossRef]
- Lee, M.C.; Deng, J.; Briggs, J.M.; Duan, Y. Large-scale conformational dynamics of the HIV-1 integrase core domain and its catalytic loop mutants. Biophys. J. 2005, 88, 3133–3146. [Google Scholar] [CrossRef] [PubMed] [Green Version]
- Singh, S.K.; Bejagam, K.K.; An, Y.; Deshmukh, S.A. Machine-learning based stacked ensemble model for accurate analysis of molecular dynamics simulations. J. Phys. Chem. A 2019, 123, 5190–5198. [Google Scholar] [CrossRef] [PubMed]
- Whitfield, T.W.; Ragland, D.A.; Zeldovich, K.B.; Schiffer, C.A. Characterizing protein–ligand binding using atomistic simulation and machine learning: Application to drug resistance in HIV-1 protease. J. Chem. Theory Comput. 2019, 16, 1284–1299. [Google Scholar] [CrossRef]
- Poncin, M.; Hartmann, B.; Lavery, R. Conformational sub-states in B-DNA. J. Mol. Biol. 1992, 226, 775–794. [Google Scholar] [CrossRef]
- Kollman, P.A.; Massova, I.; Reyes, C.; Kuhn, B.; Huo, S.; Chong, L.; Lee, M.; Lee, T.; Duan, Y.; Wang, W.; et al. Calculating structures and free energies of complex molecules: Combining molecular mechanics and continuum models. Accounts Chem. Res. 2000, 33, 889–897. [Google Scholar] [CrossRef]






| : | (kJ mol) | PE (kJ mol) |
|---|---|---|
| 100:00 | −87,045 ± 1465 | −835 ± 155 |
| 90:10 | −205,431 ± 6910 | −1272 ± 179 |
| 80:20 | −395,309 ± 2395 | −1705 ± 185 |
| 70:30 | −462,843 ± 3344 | −2541 ± 176 |
| 60:40 | −513,576 ± 1553 | −2714 ± 273 |
| 50:50 | −552,467 ± 876 | −2252 ± 215 |
| 40:60 | −589,103 ± 920 | −2751 ± 213 |
| 30:70 | −621,278 ± 900 | −3078 ± 246 |
| 20:80 | −659,920 ± 824 | −3702 ± 231 |
| 10:90 | −694,648 ± 808 | −4397 ± 219 |
| 6QHG | −8227.469 |
Publisher’s Note: MDPI stays neutral with regard to jurisdictional claims in published maps and institutional affiliations. |
© 2021 by the authors. Licensee MDPI, Basel, Switzerland. This article is an open access article distributed under the terms and conditions of the Creative Commons Attribution (CC BY) license (https://creativecommons.org/licenses/by/4.0/).
Share and Cite
Gogovi, G.K.; Silayi, S.; Shehu, A. Computing the Structural Dynamics of RVFV L Protein Domain in Aqueous Glycerol Solutions. Biomolecules 2021, 11, 1427. https://doi.org/10.3390/biom11101427
Gogovi GK, Silayi S, Shehu A. Computing the Structural Dynamics of RVFV L Protein Domain in Aqueous Glycerol Solutions. Biomolecules. 2021; 11(10):1427. https://doi.org/10.3390/biom11101427
Chicago/Turabian StyleGogovi, Gideon K., Swabir Silayi, and Amarda Shehu. 2021. "Computing the Structural Dynamics of RVFV L Protein Domain in Aqueous Glycerol Solutions" Biomolecules 11, no. 10: 1427. https://doi.org/10.3390/biom11101427
APA StyleGogovi, G. K., Silayi, S., & Shehu, A. (2021). Computing the Structural Dynamics of RVFV L Protein Domain in Aqueous Glycerol Solutions. Biomolecules, 11(10), 1427. https://doi.org/10.3390/biom11101427

