Abstract
Electron impact excitation collision strengths are calculated for all transitions among 113 levels of the 2s2p, 2s2p, 2s2p3ℓ, 2s2p3ℓ, and 2p3ℓ configurations of F-like W LXVI. For this purpose, Dirac Atomic R-matrix Code (DARC) has been adopted and results are listed over a wide energy range of 1000 to 6000 Ryd. For comparison purposes, analogous calculations have also been performed with the Flexible Atomic Code (FAC), and the results obtained are comparable with those from DARC.
1. Introduction
Tungsten (W) is a very important constituent of fusion reactor walls because of its materialistic characteristics. Additionally, it radiates at almost all ionisation stages, and, therefore, atomic data (namely energy levels, radiative rates, and collision strengths) are required for many of its ions. These data are required for modelling and diagnosing fusion plasmas for the elemental density, temperature, and chemical composition determination. Realising this, there have been many experimental and theoretical efforts to obtain atomic data for W ions. Experimentally, only level energies have been determined for many of the W ions, as compiled and assessed by Kramida and Shirai [1], and updated by Kramida [2]. Their recommended energies are also available on the NIST (National Institute of Standards and Technology) website—see [1] and references therein. However, for most ions, the measured energies are available for only a few levels and there are no corresponding measurements for other parameters, i.e., radiative rates (A-values) and collision strengths (Ω). For this reason, it becomes necessary to calculate data for the desired atomic parameters.
Theoretically, energy levels and A-values have been determined by many workers [3,4,5,6,7] for several W ions. We too have calculated these parameters for a few W ions, such as W XL [8], W LVIII [9], and W LIX to W LXVI [10]. Here, we focus our attention on F-like W LXVI. Additionally, for the other W ions, we have only reported energy levels and A-values, but here we also calculate results for Ω.
Earlier calculations have been performed by Sampson et al. [11] for F-like ions with 22 ≤ Z ≤ 92, including W LXVI. They adopted a relativistic atomic structure code to calculate oscillator strengths (f-values) and the distorted-wave (DW) method for the determination of Ω. However, they presented only limited results for transitions from the lowest three levels of 2s2p and 2s2p to higher excited 110 levels of the 2s2p3ℓ, 2s2p3ℓ, and 2p3ℓ configurations. Additionally, they reported values of Ω at only six energies, approximately in the 140–4400 Ryd range, depending on the transition because their results are in terms of excited energies. Furthermore, the format adopted by them is not straightforward to understand and apply their data. Therefore, recently S. Aggarwal [12] (henceforth, to be referred to as SA) has reported results for energy levels, f-values, A-values, line strengths (S-values), and lifetimes (τ) for the lowest 60 levels of the 2s2p, 2s2p, and 2s2p3ℓ configurations of W LXVI. For his calculations, he adopted the modified version of the GRASP (general-purpose relativistic atomic structure package) code, known as GRASP0. It is a fully relativistic code, is based on the coupling scheme, and includes two-body relativistic corrections arising from the Breit interaction and QED (quantum electrodynamics) effects.
Unfortunately, the calculations of SA (apart from being very limited in range) are found to be erroneous and unreliable, particularly for τ, as recently discussed and demonstrated by us [13]. Nevertheless, his calculations were extended to all 113 levels of the 2s2p, 2s2p, 2s2p3ℓ, 2s2p3ℓ, and 2p3ℓ configurations by Goyal et al. [14], who also calculated Ω but at only four energies in the 1000–1600 Ryd range for the resonant forbidden transitions alone. This is because they included only a limited range of partial waves with angular momentum 9, insufficient for the convergence of Ω for most allowed (and some forbidden) transitions. Therefore, in this work, we extend the range of partial waves to 50 and energy to ≤ 6400 Ryd, so that Ω can be determined for all transitions and over a wide energy range.
As by Goyal et al. [14], we adopt the Dirac atomic R-matrix code (DARC) and include the same 113 levels of the 2s2p, 2s2p, 2s2p3ℓ, 2s2p3ℓ, and 2p3ℓ configurations. Since results for energy levels and A-values (for four types of transitions, namely electric dipole (E1), electric quadrupole (E2), magnetic dipole (M1), and magnetic quadrupole (M2)) have already been reported by us [10], we focus here only on the Ω data.
2. Calculations
The 113 levels of the 2s2p, 2s2p, 2s2p3ℓ, 2s2p3ℓ, and 2p3ℓ configurations are listed in Table 1 along with our calculated energies with the GRASP code. These energies are comparable to those listed by Goyal et al. [14], and their accuracy has already been discussed in our earlier work [13]. However, we note that the energies obtained by Goyal et al., with the corresponding FAC code and listed in their Table 1, are incorrect, particularly for the highest 20 levels. These energies are in clear error, by up to ∼60 Ryd. For this reason, in Table 1, we have also listed the ‘correct’ energies obtained with the FAC code. There is a satisfactory agreement between the GRASP and FAC energies, and the discrepancies are below 0.6 Ryd. Similarly, the orderings are nearly the same between the two calculations, although there are a few minor differences (see, for example, levels 10–12, 17–18, and 43–44).
Table 1.
Comparison of GRASP and FAC energies (in Ryd) for the levels of W LXVI, and collision strengths (Ω) for the resonance transitions at an energy of 1600 Ryd. .
For consistency, we employ the same DARC code for the calculations of Ω, as by Goyal et al. [14]. It is based on the coupling scheme, and uses the Dirac–Coulomb Hamiltonian in the R-matrix approach. The R-matrix radius adopted for W LXVI is 0.66 au, and 25 continuum orbitals have been included for each channel angular momentum in the expansion of the wavefunction, allowing us to compute Ω up to an energy of 6400 Ryd, i.e., ∼5500 Ryd above the highest threshold. This energy range is sufficient to calculate values of effective collision strength (Y) up to T = 3 × 10 K, well above what may be required for application to fusion plasmas where high temperatures prevail. The maximum number of channels for a partial wave is 512, and the corresponding size of the Hamiltonian matrix is 12,816. To obtain convergence of Ω for all transitions and at all energies, we have included all partial waves with angular momentum 50. Furthermore, to account for higher neglected partial waves, we have included a top-up, based on the Coulomb–Bethe approximation [15] for allowed transitions and geometric series for others.
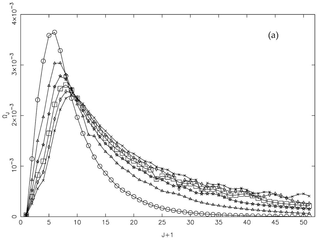
Table 1 also lists our calculated Ω for all resonance transitions at an energy of 1600 Ryd, the highest energy considered by Goyal et al. [14]. For a ready comparison, their corresponding results are also listed at this energy. Their results are restricted to only a few (not all) forbidden transitions, as they did not calculate Ω for the allowed ones, because the partial waves range was restricted to 9. As a result of this, for a few transitions, such as 1–8 (2s2p P–2s2p3p D), 1–12 (2s2p P–2s2p3p D), 1–41 (2s2p P–2s2p3p F), 1–73 (2s2p P–2s2p3d F), and 1–79 (2s2p P–2s2p3d D), their values of Ω are underestimated, by up to 25%. The reason for this is clearly apparent from Figure 1a–c, in which we show the variation of Ω with J, at six energies of 1000, 2000, 3000, 4000, 5000, and 6000 Ryd, and for three transitions, namely 1–3 (2s2p P–2s2p S), 1–8 (2s2p P–2s2p3p D), and 2–3 (2s2p P–2s2p S). The 1–3 and 2–3 transitions are allowed, and, therefore, they converge slowly with J. In fact, a slightly longer range of J would have been preferable to have fully converged Ω for such transitions. However, due to computational limitations, it is not possible, and, therefore, a ‘top-up’ has been included for the additional contributing partial waves, based on the Coulomb–Bethe approximation of Burgess and Sheorey [15], as already stated. On the other hand, the 1–8 (see Figure 1b) is a forbidden transition but 9 are not sufficient for the convergence of Ω, even at an energy of 1000 Ryd. Therefore, the reported Ω of Goyal et al. [14] are clearly underestimated, apart from being limited in the energy range as well as the (number of) transitions.

Figure 1.
Partial collision strengths for the (a) 1–3 (2s2p P–2s2p S), (b) 1–8 (2s2p P–2s2p3p D), and (c) 2–3 (2s2p P–2s2p S) transitions of W LXVI, at six energies of: 1000 Ryd (circles), 2000 Ryd (triangles), 3000 Ryd (stars), 4000 Ryd (squares), 5000 Ryd (diamonds), and 6000 Ryd (crosses).
In Table 2, we list our calculated Ω at 10 energies (1000, 1200, 1400, 1600, 1800, 2000, 3000, 4000, 5000, and 6000 Ryd) for all transitions from the lowest three to the higher excited levels. The corresponding results for all other remaining transitions may be obtained on request from the author. For the same transitions as listed in Table 2, Sampson et al. [11] have also reported Ω, but only in a limited energy range, as already stated. In Figure 2, we compare our results with them, in the common energy range (below 4000 Ryd) for the same three transitions (1–3, 1–8, and 2–3), as shown in Figure 1. The agreement between the two calculations is fully satisfactory, and there is no (significant) discrepancy for these three (and other) transitions of W LXVI.
Table 2.
Collision strengths (Ω) for transitions from the lowest three to higher excited levels of W LXVI in the energy range 1000 to 6000 Ryd. .
Figure 2.
Comparison of collision strengths for the 1–3 (2s2p P–2s2p S: circles), 1–8 (2s2p P–2s2p3p D: triangles), and 2–3 (2s2p P–2s2p S: stars) transitions of W LXVI. Continuous curves: present results, broken curves: results of Sampson et al. [11].
Finally, in Figure 3, we compare our results of Ω from DARC with the corresponding calculations from FAC for three transitions, namely 4–16 (2s2p3s P–2s2p3d D), 5–18 (2s2p3s P–2s2p3d F), and 8–10 (2s2p3p D–2s2p3p P), all of which are forbidden but have comparatively larger magnitude. Both sets of Ω agree well (within 20%), which is highly satisfactory and confirms, once again, that there is no (major) discrepancy among the two present calculations with DARC and FAC, and the earlier one by Sampson et al. [11]. However, we will like to emphasise here the importance of including a large range of partial waves in order to have accurate determination of Ω.
Figure 3.
Comparison of collision strengths for the 4–16 (2s2p3s P–2s2p3d D: circles), 5–18 (2s2p3s P–2s2p3d F: triangles), and 8–10 (2s2p3p D–2s2p3p P: stars) transitions of W LXVI. Continuous curves: present results from DARC, broken curves: present results from FAC.
In Figure 4, we show the variation of Ω for the same three transitions (as shown in Figure 3) with a “top-up" performed at J = 30, 40, and 50. It is a standard practice to top-up the values of Ω with a geometric series for the forbidden transitions. It is clear from this figure that the results topped-up at J = 30 can be overestimated by up to a factor of two, in comparison to those at J = 50. Similarly, Ω obtained with a top-up at J = 40 can be overestimated by up to ∼25%, particularly towards the higher end of the energy range. For this reason, there is scope to slightly further improve the accuracy of Ω at high end of the energy range, by further extending the J range. However, it is not possible due to computational limitations. In conclusion, the accuracy of our calculated Ω is comparatively higher (within 20%) for energies up to ∼5000 Ryd, but may be lower at higher energies. However, it is clearly apparent that the partial waves range (≤ 9) included by Goyal et al. [14] is grossly inadequate for the determination of accurate Ω values.
Figure 4.
Comparison of collision strengths for the 4–16 (2s2p3s P–2s2p3d D: circles), 5–18 (2s2p3s P–2s2p3d F: triangles), and 8–10 (2s2p3p D–2s2p3p P: stars) transitions of W LXVI. Continuous curves: with top-up at J = 50, broken curves: at J = 40, and dotted curves: at J = 30.
3. Conclusions
In this work, we have reported values of Ω over a wide range of energy, for transitions among the lowest 113 levels of F-like W LXVI. For the calculations, we have adopted a fully relativistic scattering code DARC, and have included a wide range of partial waves with up to J = 50, generally sufficient for the convergence of Ω for most transitions and at most energies. Nevertheless, to further improve the accuracy of our calculated Ω, a top-up has also been included to account for the contribution of higher neglected partial waves. Comparisons of Ω have been made with the present and earlier [11] DW calculations and no (major) discrepancy has been noted. Based on these comparisons, the accuracy of our calculated Ω is within 20%, for most transitions and at energies up to ∼5000 Ryd.
A more useful parameter, not considered in the present paper, is effective collision strength (Y), which is obtained by integrating Ω values over a wide energy range and with a suitable electron velocity distribution function, generally Maxwellian. However, Ω in the thresholds region does not vary as smoothly as shown in Figure 2 and Figure 3, or in Table 2. Because of the Feshbach (closed channel) resonances, it is a highly varying function of energy, and, therefore, the resonances need to be resolved in a fine energy mesh to accurately determine the values of Y. With the computational resources presently available to us, such calculations will take several months to conclude, but will be more useful for plasma modelling applications.
Conflicts of Interest
The author declares no conflict of interest.
References
- Kramida, A.E.; Shirai, T. Energy levels and spectral lines of tungsten, W III through W LXXIV. At. Data Nucl. Data Tables 2009, 95, 305–474. [Google Scholar] [CrossRef]
- Kramida, A. Recent progress in spectroscopy of tungsten. Can. J. Phys. 2011, 89, 551–570. [Google Scholar] [CrossRef]
- Fournier, K. Atomic data and spectral line intensities for highly ionized tungsten (Co-like W47+ to Rb-like W37+) in a high-temperature, low-density plasma. At. Data Nucl. Data Tables 1998, 68, 1–48. [Google Scholar] [CrossRef]
- Vilkas, M.J.; López-Encarnación, J.M.; Ishikawa, Y. Relativistic multireference Møller–Plesset perturbation theory calculations of the energy levels and transition probabilities in Ne-like xenon, tungsten, and uranium ions. At. Data Nucl. Data Tables 2008, 94, 50–70. [Google Scholar] [CrossRef]
- Safronova, U.I.; Safronova, A.S.; Beiersdorfer, P. Excitation energies, radiative and autoionization rates, dielectronic satellite lines, and dielectronic recombination rates for excited states of Na-like W from Ne-like W. At. Data Nucl. Data Tables 2009, 95, 751–785. [Google Scholar] [CrossRef]
- Safronova, U.I.; Safronova, A.S. Wavelengths and transition rates for nl–n’l’ transitions in Be-, B-, Mg-, Al-, Ca-, Zn-, Ag- and Yb-like tungsten ions. J. Phys. B: At. Mol. Opt. Phys. 2010, 43, 074026. [Google Scholar] [CrossRef]
- Quinet, P. Dirac-Fock calculations of forbidden transitions within the 3pk and 3dk ground configurations of highly charged tungsten ions (W47+–W61+). J. Phys. B: At. Mol. Opt. Phys. 2011, 44, 195007. [Google Scholar] [CrossRef]
- Aggarwal, K.M.; Keenan, F.P. Energy levels, radiative rates, and lifetimes for transitions in W XL. At. Data Nucl. Data Tables 2014, 100, 1399–1518. [Google Scholar] [CrossRef]
- Aggarwal, K.M.; Keenan, F.P. Energy levels, radiative rates, and lifetimes for transitions in W LVIII. At. Data Nucl. Data Tables 2014, 100, 1603–1767. [Google Scholar] [CrossRef]
- Aggarwal, K.M.; Keenan, F.P. Radiative rates for E1, E2, M1, and M2 transitions in S-like to F-like tungsten ions (W LIX to W LXVI). At. Data Nucl. Data Tables 2016, 111–112, 187–279. [Google Scholar] [CrossRef]
- Sampson, D.H.; Zhang, H.L.; Fontes, C.J. Relativistic distorted-wave collision strengths and oscillator strengths for F-like ions with 22 ≤ Z ≤ 92. At. Data Nucl. Data Tables 1991, 48, 25–90. [Google Scholar] [CrossRef]
- Aggarwal, S. Atomic structure calculations for F-like tungsten. Chin. Phys. B 2014, 23, 093203. [Google Scholar] [CrossRef]
- Aggarwal, K.M. Comment on “Atomic structure calculations for F-like tungsten by S. Aggarwal [Chin. Phys B 23 (2014) 093203]”. Chin. Phys. B 2016, 25, 043201. [Google Scholar] [CrossRef]
- Goyal, A.; Khatri, I.; Aggarwal, S.; Singh, A.K.; Sharma, R.; Mohan, M. Collisional excitation of fluorine like tungsten using relativistic Dirac atomic R-matrix method. J. At. Mol. Cond. Nano Phys. 2015, 2, 1–14. [Google Scholar]
- Burgess, A.; Sheorey, V.B. Electron impact excitation of the resonance lines of alkali-like positive ions. J. Phys. B: At. Mol. Opt. Phys. 1974, 7, 2403–2416. [Google Scholar] [CrossRef]
© 2016 by the author; licensee MDPI, Basel, Switzerland. This article is an open access article distributed under the terms and conditions of the Creative Commons Attribution (CC-BY) license (http://creativecommons.org/licenses/by/4.0/).




