Abstract
Electron impact excitation of highly charged tungsten ions in the framework of a fully relativistic distorted wave approach is considered in this paper. Calculations of electron impact excitation cross-sections for the M- and L-shell transitions in the tungsten ions Wn+ (n = 44–66) and polarization of the decay of photons from the excited tungsten ions are briefly reviewed and discussed. New calculations in the wide range of incident electron energies are presented for M-shell transitions in the K-like through Ne-like tungsten ions.
1. Introduction
Special physical properties of tungsten such as its highest melting point and lowest metal pressure amongst metals make it a potential candidate in fusion engineering where tungsten can be used as a potential plasma facing material. Various charge species of tungsten are predicted to be present in the high-temperature and low-density divertor plasma of the International Thermonuclear Experiment Reactor (ITER) tokomak [1,2,3]. Tungsten ions, which move into a tokomak will not be completely ionized even in the hot core, thus causing strong X-ray emission over a wide range of temperatures. Since electron induced processes are anticipated to be among the dominant ones, it is likelihood that tungsten ions will get excited by collision with plasma electrons and will decay by emitting radiation. Thus information on the electron impact excitation cross-sections as well as the polarization of the radiation emitted due to decay of the excited state will facilitate a thorough understanding of the spectra for plasma diagnostics. For example, the ion temperature of the ITER core plasma can be assessed with the help of such diagnostics. Polarization studies play an important role in understanding the plasma properties, as X-ray polarization spectroscopy is a useful diagnostic tool for measuring the velocity distribution of hot electrons propagating in plasma created with a high intensity laser pulse [4]. It has also been employed to measure the energy component associated with the cyclotron motion of the beam electrons in the Livermore electron beam ion trap (EBIT) [5].
The understanding and modeling of such a plasma rely on the knowledge of accurate atomic data for ion species encountered in the plasma [6]. The International Atomic Energy Agency (IAEA) has constituted a committee consisting of leading scientists from all over the world in order to encourage the production and exchange of a variety of tungsten data required to facilitate the growth of ITER and other fusion applications. One of the authors, R.S. has been a member of this committee. The initiative taken by IAEA has led to extensive experimental and theoretical investigations related to emission spectra, energy levels, transition rates, ionization, excitation, radiative recombination and dielectronic recombination etc., of highly charged tungsten ions [7]. As a coordinated effort to cater the need of atomic data of various ionic stages of tungsten, thereby assisting in the design and development of ITER, we have undertaken the present project to provide reliable cross-section data for excitation of ions by electron impact.
X-ray spectroscopy utilizing emissions from L-shell as well as M-shell tungsten ions is an attractive option for tokomak plasma diagnostics [8,9,10,11,12,13,14,15,16,17,18,19,20,21,22]. The temperature of the ITER core will be sufficiently high to produce the L-shell tungsten ionic charged states. Emissions from the L-shell ionic charged states are proposed to be the main diagnostics of the ITER plasma using a core imaging X-ray spectrometer (CIXS) [23]. There has also been interest in the study of emissions from M-shell charged states of tungsten, which will be present in considerable amount in the ITER core under ohmic plasma operations. In this context, we have performed fully relativistic distorted wave (RDW) calculations to obtain cross-sections for various M- and L-shell transitions due to electron impact excitation of highly charged tungsten ions Wn+ where n varies from 44 to 66. This work is undertaken in the light of recent measurements in an electron beam ion trap at the Lawrence Livermore National Laboratory reported by Beiersdorfer and his co-workers [19,20,21,22] in which they identified a number of intense lines in the L- and M-shell spectra of various tungsten ions. The electron excitation processes corresponding to these lines are studied in detail due to the importance of the cross-section data to identify and interpret the spectroscopic data of the tungsten ions. Also anticipating the importance of information about the polarization [24] of the subsequent emission arising from electron impact anisotropically excited states of tungsten ions, results are obtained for polarization of the photon emissions utilizing the calculated magnetic sublevel excitation cross-sections. It should be noted here that in the present work we have considered only the electron impact inner L- and M-shell excitations to specifically selected excited states which lead to X-ray emissions on its decay back to the initial state [25,26,27]. No attempt has been made to take into account the population of such selected excited states from other lower lying excited states or from the radiative decay of the upper lying excited states. These later effects along with other excitations and various possible processes can be incorporated when one does the complete plasma modeling separately through a suitable collisional radiative model [28]. It is worth mentioning here that there are no reports on the direct experimental measurements of electron impact excitation cross-sections for these tungsten ions and thus, theoretical predictions are of prime importance.
The article is organized as follows. In Section 2 we give necessary details of the theoretical method employed while in Section 3 we provide the review of our calculations performed for L- and M-shell electron excitation of tungsten ions [25,26,27]. Further, new results are obtained for M-shell excitation in K-like through Ne-like tungsten ions, which are reported and discussed in Section 4.
2. Theoretical Background
We employed the RDW theory [29] to study the electron impact excitation of various charge species of tungsten ions. The general transition matrix for the excitation of an ion from initial state
to final state
can be written as
Here J and M denote the total angular momentum and its z-component of the atomic state and μ refers to the spin projection of the free electron while α represents all other quantum numbers necessary to specify the ion’s state. V is the projectile electron and target ion interaction potential given by
Here ri (i = 1, …., N) and rN+1denote, respectively, the position coordinates of the ionic N electrons and projectile electron with respect to the nucleus of the ion. The distortion potential Ub is chosen to be the spherically averaged static potential Vstatic of the excited state of the ion and it can be obtained using the following expression,
where P and Q represent the larger and smaller components of the radial part of the target ion wavefunction,
is the occupation number of the jth subshell and the electron in it is represented by quantum numbers .This choice of distortion potential leads to the most congruous results in the distorted-wave approximation [30,31].
With our normalization of the distorted waves, the magnetic sublevel cross-section for the excitation of the ion from a fine-structure initial level with angular momentum Ja to a higher lying level Jb is given by
Here the integral has been carried over the scattering angles of the scattered electron. ka and kb are the momenta of the projectile and scattered electrons, respectively. The total cross-section
can be obtained by summing over electron-impact excitation cross-sections
for all magnetic sub-states of final state of the ion i.e.,
. All these calculations are performed in Collision frame of reference which is a standard choice for numerical calculations, where the quantization axis (z-axis) is parallel to the incident electron beam direction while the y-axis is perpendicular to the scattering (xz) plane which consists of the direction of incident as well as scattered electron.
The reliability of the cross-sections depends on the accuracy of the target wavefunctions used in the calculation. The wavefunctions are obtained within Dirac-Fock approximation by using GRASP92 [32]/GRASP2k code [33]. The quality assessment of the bound state wavefunctions of the target ion is done by comparing our calculated oscillator strength and the excitation energy of the transition in question with the corresponding values available from measurements and other reliable theoretical methods. These bound state wavefunctions are not only used to describe the target ions in the initial and final states but are also used to calculate the distortion potential. Using these, the projectile electron distorted wavefunctions are obtained by solving the coupled Dirac equations with appropriate boundary conditions. Thereafter, a transition matrix (Equation (1)) is calculated and finally cross-sections are obtained by using Equation (4).
Using the density matrix theory, one can explore the magnetic sub-level excitation cross-sections
further to obtain the polarization of the emitted photon due to decay of the electron impact excited
state of ions to any lower state . In general, the photons are detected in the y-direction perpendicular to the scattering xz-plane. With this choice of geometry, the linear polarization of the subsequent emission within electric dipole approximation can be written as [34]
We have simplified the above expression for various dipole allowed transitions for the L- and M-shell excitations of the tungsten ions considered in our earlier [25,26,27] as well as in the present work. For sake of convenience to the readers, all these formulae are compiled in Table 1 for the various decay transitions between states Jb to J0. Here, the lower state
is the same as considered for electron impact excitation i.e., .
Table 1.
Degree of linear polarization of the emitted photon for transition Jb → J0 in terms of magnetic sublevel cross-sections ().
| Transition Jb→J0 | Polarization, P | Transition Jb→J0 | Polarization, P |
|---|---|---|---|
| 1→0 | 3/2→1/2 | ||
| 1→2 | 3/2→3/2 | ||
| 2→1 | 3/2→5/2 | ||
| 2→2 | 5/2→3/2 | ||
| 2→3 | 5/2→5/2 | ||
| 3→2 | 7/2→5/2 | ||
| 3→3 | 7/2→9/2 | ||
| 3→4 | 9/2→9/2 | ||
| 4→3 | 11/2→11/2 | ||
| 4→4 | 5→4 | ||
| 6→6 |
3. Brief Review of the Earlier Work
In the following subsections we have given the review of our work along with other earlier work carried out for electron impact L- and M-shell excitations in various charged states of tungsten Wn+(n = 44–66) ions [25,26,27].
3.1. L-Shell Excitation of Mg- through O-like Tungsten Ions
There have been continuous efforts to investigate emission spectra of highly charged Mg-like through O-like tungsten ions. Beiersdorfer et al [21] reported high-resolution crystal spectroscopy measurements and identified ten lines in neon-like W64+ arising due to the n = 3→n = 2 L-shell X-ray transitions as well as inner-shell collisional satellite lines associated with oxygen-like W66+, fluorine-like W65+, sodium-like W63+, and magnesium-like W62+ ions. In this work, they have also calculated the transition energies by using flexible atomic code (FAC). A great deal of other theoretical calculations reported for W62+–W66+ ions, mainly focused on computation of excitation energies, oscillator strengths and transition probabilities [35,36,37,38,39]. However, Zhang and co-workers [40,41,42,43] reported relativistic distorted wave calculations for electron excitation cross-sections of Na–like through O-like tungsten ions.
We performed relativistic distorted wave calculations for the L-shell electron excitations of Mg-like W62+ through O-like W66+ ions [26]. The ground state configurations of these ions are (1s22s22p63s2)J = 0 for Mg-like, (1s22s22p63s)J = 1/2 for Na-like, (1s22s22p6)J = 0 for Ne-like, (1s22s22p5)J = 3/2 for F-like and (1s22s22p4)J = 2 for O-like tungsten ions. Excitations were considered from inner 2p shell to 3d orbital for Mg-like W62+ and Na-like W63+ ions. In case of W63+ ion double excitations leading to double occupancy in 3p orbital and vacancies in 2p and 3s orbitals have also been considered. For Ne-like W64+ and F-like W65+ ions, excitation of their ground states to the states with a hole in n = 2 level and promotion of one electron to the n = 3 level was considered. In case of the O-like W66+ ion, a number of transitions between levels with n = 2 and n = 3 were investigated. The list of all the transitions considered is given in Table 2.
Table 2.
L-shell excitations considered in Mg-like W62+ through O-like W66+ ions [26].
| Mg-like W62+ Ion | Na-like W63+ Ion | Ne-like W64+ Ion | ||||
|---|---|---|---|---|---|---|
| Lower Level | Upper Level | Lower Level | Upper Level | Lower Level | Upper Level | |
| | | | | |||
| F-like W65+ Ion | O-like W66+ Ion | |||||
| Lower Level | Upper Level | Lower Level | Upper Level | |||
| (1) b | ||||||
| (2) b | ||||||
| (1) a | ||||||
| (2) a | ||||||
a, b Number 1 or 2 inside the parenthesis refers the two different states with same value of J.
The ground as well as excited states of these ions were expressed within the multi-configuration Dirac-Fock (MCDF) approach as linear combination of other configuration state wavefunctions having the same total angular momentum J and parity. For this purpose we used GRASP2k code [33] and calculated excitation energies and dipole oscillator strengths associated with the transitions listed in Table 2. These values were compared with the measurements on excitation energies reported by Beiersdorfer et al. [21] as well as available theoretical results [21,35,36,37,38,39,40,42]. In particular, we found that the maximum deviation of excitation energy was 0.029% for Mg- like, 0.056% for Na-like, 0.079% for Ne-like and F-like and 0.049% for O-like tungsten ions with the measured and the other available theoretical values. Electron impact L-shell excitation cross-sections were obtained in the range of the incident electron energies from threshold to 60 keV. We compared our results with the available other RDW calculations for Ne-like W64+ [40] and F-like W63+ [42] ions and found good agreement. We also observed that a transition involving double excitation yielded lesser cross-sections as compared to a single electron excitation. This is due to the fact that for double excitation direct T-matrix is zero and only the exchange T-matrix contributes. We further carried out analytical fitting of our calculated cross-section data for each transition in the entire range of the incident electron energy so that the cross-section at any desired energy can be readily obtained and the expression of analytic fit can be directly used in any plasma model.
In addition to the excitation cross-sections, we also calculated the polarization of the subsequently emitted photon from the L-shell excited transitions by using the suitable relation from Table 1 for a particular decay transition. In general, we observed a similar behavior of the polarization for all the considered transitions i.e., the polarization first increased with an increase in energy and reached its maximum value for the incident energy at approximately two times the threshold energy and then started to decrease with the increase of electron energy [26].
3.2. M-Shell Excitation of Wn+ Tungsten Ions
3.2.1. Excitation of Co-like through Zn-like Tungsten Ions
The growing interest to understand tungsten ions spectra for diagnostics of fusion plasma makes the study of their M-shell spectraamenable. Therefore, a significant amount of theoretical [25,27,44,45,46] and experimental [14,17,18,19,20,22] work has been performed on M-shell spectra of various ion charge species of tungsten. In this context, Clementson et al. [18] have measured the M-shell spectra of Zn-like W44+ through Co-like W47+ ions using an X-ray calorimeter spectrometer at the SuperEBIT. They studied spectra at excitation energies 3.3, 4.0 and 4.1 keV and observed strong line emission in the 1500–3600 eV soft X-ray range. Clementson et al. [18] also utilized FAC code to carry out relativistic atomic structure and collisional-radiative calculations and compared their calculated and observed spectra. For the electron impact excitation studies of these ions, Zhang et al. [44,45] reported their relativistic distorted wave collision strengths for Ni-like and Cu-like tungsten ions. Recently, Xie et al. [46] reported magnetic sublevel excitation cross-sections and polarization of Ni-like through Ge-like tungsten ions.
Though one can find a great deal of scattered literature on different ionic stages of tungsten ions, the existing electron impact excitation cross-section data is still insufficient. In the light of M-shell spectra of Zn-like to Co-like W ions as observed by Clementson et al. [18], we undertook the task of extensive cross-section calculations for M-shell excitations in these ions. Using the RDW method we studied the excitation of the electrons from 3d to 4p and nf sub-shells where n = 4–6 for Zn- like W44+ and Cu-like W45+, n = 4–8 for Ni-like W46+ and n = 4 and 5 for Co-like W47+ [25]. We selected all the dipole allowed transitions as listed in Table 3, which belong to the most intense lines reported in the measured spectra [18]. For all these transitions, excitation energies and oscillator strengths were calculated using GRASP92 code of Parpia et al. [32]. These values were in good agreement with the measurements [18] and other relativistic theories [45,47]. For example, our calculated excitation energies differed from the measured values by 0.20% for Zn- like, 0.23% for Cu-like, 0.13% for Ni-like and 0.29% for Co-like tungsten ions.
Table 3.
M-shell excitations from the ground state of Zn-like W44+ through Co-like W47+ ions [25].
| Ion | Zn-like W44+ | Cu-like W45+ | Ni-like W46+ | Co-like W47+ |
|---|---|---|---|---|
| Ground state | ||||
| Excited States | ||||
#,*,**,+,++ Number 1 or 2 inside the parenthesis refers the two different states with same value of J.
Cross-sections for all the above-mentioned M-shell transitions listed in Table 3 were calculated in the wide range of incident electron energy up to 50 keV. We found that the cross-sections for excitation of an electron from 3d or
to nf or
decreased as Δn increased. Thus, it was as expected that the increase in excitation energy would lead to a decrease in cross-section values. We also compared our cross-sections for the transitions ,
,
,
and for Ni-like W46+ ions with the available RDW calculations of Zhang et al. [45] at energies up to 12 keV only. Good agreement of our results with the calculations of Zhang et al. [45] was found which indicates the consistency and reliability of both the calculations. We have also provided the analytic fitting parameters as we did for L-shell excitations, so that analytic fit can be implemented directly in any plasma model and a cross-section can be calculated at any energy.
Further, polarization of the photons emitted after decay of the M-shell excited ionic states was calculated using the different magnetic sublevel cross-sections. We noticed again that the polarization initially increased with increasing electron energy and showed a broad peak near threshold before decreasing rapidly at higher incident electron energies. In case of Cu-like and Zn-like tungsten ions, polarization values for the photon decay due to deexcitation of one electron to 3d and
from 4p and
orbitals were greater than those from nf and
orbitals. Another interesting feature noticed for all four ions was that the polarization of photons associated with decay transitions viz. →
and nf → 3d was nearly equal for a given value of n.
3.2.2. Excitation of Fe-like through Al-like Tungsten Ions
We also applied the RDW theory to study M-shell excitation viz. 3p3/2-3d5/2 in Fe-like through Al-like tungsten ions [27]. This work was undertaken in view of the recent spectral measurements of wavelengths in the 27–41 Å range for Fe-like through Al-like tungsten ions by Lennartsson et al [22] at Livermore EBIT-I. A number of theoretical and experimental investigations have been reported for M- shell transitions in these 14 tungsten ions.
All the transitions considered for these ions are listed in Table 4. We calculated the excitation energies and oscillator strengths for these transitions and compared them with the values reported earlier [22,48,49,50,51,52,53,54,55]. We observed overall good agreement with the experimental and other theoretical results. We also found that our calculated excitation energies were within 1% of the measurements and the FAC results. Further, utilizing the target ion wavefunctions, we calculated RDW cross-sections for the transitions given in Table 4. It was observed [27] that cross-sections corresponding to the transition Ja = 0 to Jb = 1 were maximal for a given ion. As expected, the relative values of cross-sections in a particular ion were governed by the values of oscillator strengths i.e., transition with greater value of oscillator strength yielded more cross-sections. Furthermore, analytic fitting of the cross-sections was done and fitting coefficients were provided for plasma modeling.
We also performed the analysis of the linear polarization of photons which is expressible in terms of magnetic sublevel cross-sections of the excited state as given in Table 1. We observed that decay of Jb = 1 to J0 = 0 state resulted in maximum polarization near threshold of all the transitions considered. Moreover, the transitions leading to ΔJ = −1 caused emission of feebly polarized photons with maximal valuesof only 2%. In general, photons emitted due to transitions with ΔJ = 0 were more strongly polarized than those with ΔJ = 1.
Table 4.
M-shell excitations considered in Fe-like W48+ through Al-like W61+ ions [27].
| W48+ | W49+ | ||
|---|---|---|---|
| Lower Level | Upper Level | Lower Level | Upper Level |
| W5°+ | W51+ | ||
| Lower Level | Upper Level | Lower Level | Upper Level |
| W52+ | |||
| Lower Level | Upper Level | ||
| W53+ | |||
| Lower Level | Upper Level | ||
| W54+ | W55+ | ||
| Lower Level | Upper Level | Lower Level | Upper Level |
| | | | |
| W56+ | W57+ | ||
| Lower Level | Upper Level | Lower Level | Upper Level |
| W58+ | W59+ | ||
| Lower Level | Upper Level | Lower Level | Upper Level |
| W6°+ | |||
| Lower Level | Upper Level | ||
| W61+ | |||
| Lower Level | Upper Level | ||
4. Present Calculations for M-Shell Excitation of K-like through Ne-like Tungsten Ions
In continuation of our earlier work as described in the previous section on the study of M-shell electron impact excitation of highly charged tungsten ions, we consider here in this paper the n = 3→3 transitions in K-like through Ne-like tungsten ions. Wavelength measurements performed at Super EBIT facility at Livermore for the n = 3→3 transitions in 19–25 Å soft X-ray range for these ions were reported by Clementson et al. [19]. In particular, we studied electron impact excitation due to 3s1/2-3p3/2 and 3p1/2-3d3/2 transitions in potassium like W55+ through neon like W64+ ions. Magnetic sub-level excitation cross-sections and summed cross-sections as well as polarization of photon after excitation were calculated for the incident electron energies up to 20 keV within the framework of our RDW approach.
We performed tungsten ion structure calculations within multi-configuration Dirac-Fock framework using GRASP2k [33]. A number of CSF’s, corresponding to the configurations displayed in Table 5, were included to describe the initial and final states of the tungsten ions. We also calculated the wavefunctions excitation energies and oscillator strengths for all the transitions considered. In Table 6, we compare our values with the available measurements and the theoretical results obtained using FAC and GRASP2 by Clementson et al. [19] as well as other calculations [19,48,49,50,53,54,55]. Among other calculations are the MCDF calculations of Huang and co-workers [48,49,50,51,53] for Cl- like W57+ through Al- like W61+ ions. In case of Al-3 and Al-4 transitions, Safronova and Safronova [54] used the relativistic many-body perturbation theory (RMBPT) theory. Excitation energies for transitions Cl-3, S-3, P-1 and P-2, are also available from the NIST database [55]. On comparison of excitation energies from the Table 6, we find that our calculations show an overall good agreement with measurements of Clementson et al. [19] and their reported FAC calculations [19] for all the ions. It can further be seen from Table 6 that our values for oscillator strengths are within 5% of the only available MCDF calculations for all the transitions except in case of transitions Cl-1 and Cl-3, where the difference between the two theoretical results is, respectively, 14% and 7% [48,49,50,51,53]. We hope that the forthcoming measurements as well as other better theoretical calculations will provide more meaningful comparisons.
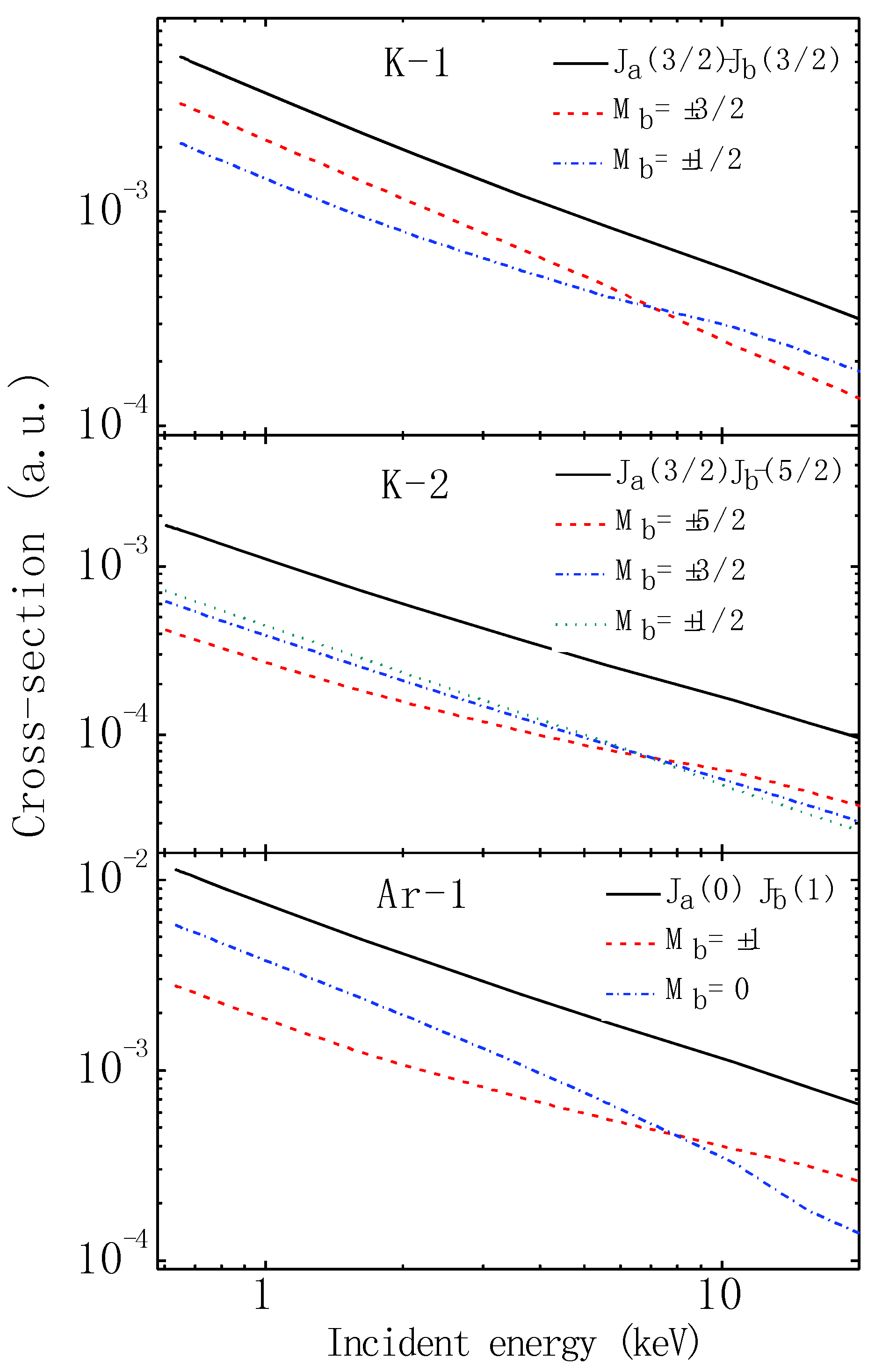
Utilizing the bound and continuum wavefunctions, we calculated RDW T-matrix (Equation (1)) to get magnetic sublevel cross-sections (Equation (4)) through which the integrated cross-sections could be obtained by summing over all Mb’s. In Figure 1, we display different magnetic sublevel cross-sections along with the total cross-sections for K-like and Ar-like tungsten ions. This figure shows that for K-1 transition, magnetic excitation cross-section curve for the sublevel Mb = ±3/2 lies above than that for the corresponding sublevel with Mb = ±1/2 in the incident electron energy range upto ~8 keV and thereafter the behavior is reversed. For K-2 transition where the excitation takes place from the same lower state with Ja= 3/2, the cross-sections for the sublevel Mb = ±1/2 are highest followed by excitation to the sublevels with Mb = ±3/2 and Mb = ±5/2 up to an incident electron energy around 8 keV and then the order is reversed. In case of Ar-1, the cross-section for the sublevel with Mb = 0 is higher compared to Mb = ±1 up to an energy of 8 keV and then it becomes less. Thus, we observe a general feature, i.e. for each transition, the magnetic sublevels which are more populated in the range of incident energy from the threshold to 8 keV become less populated afterwards. This interesting behavior of the variation of magnetic sublevel cross-sections play an important role in the study of the polarization of the radiation emitted following the decay of the excited states. We will see this later when we discuss Figure 3a for our polarization results corresponding to K-1, K-2 and Ar-1 transitions.
Table 5.
CSF’s used in GRASP2K [33] code for the representation of target ion wavefunction for the initial and the final states in K-like W55+ through Ne-like W64+ ions.
| K-like W55+ | Ar-like W56+ | Cl-like W57+ | S-like W58+ | P-like W59+ |
|---|---|---|---|---|
| 3s23p63d 3s23p53d2 3s3p63d2 3p63d3 3s23p54p4d 3s3p53d3 | 3s23p6 3s23p53d 3s23p54s 3s23p54d 3s23p55s | 3s2 3p5 3s 3p53d 3p5 3d2 3s2 3p4 3d 3s2 3p44s 3s2 3p44d 3s 3p6 3p6 3d | 3s23p4 3s23p33d 3s23p23d2 3s3p33d2 3s3p5 3p53d | 3s23p3 3s23p23d 3s23p3d2 3s3p33d 3s3p23d2 3p5 3s3p4 3p43d |
| Si-like W6°+ | Al-like W61+ | Mg-like W62+ | Na-like W63+ | Ne-like W64+ |
| 3s23p2 3s23p3d 3s23d2 3s3p3 3s3p3d2 | 3s23p 3s3p3d 3s23d 3s3p2 3p23d 3p3 | 2p63s2 2p63s3p 2p63s3d 2p63p2 2p53s23p | 2p63s 2p63p 2p53p2 2p53s3d | 2s22p6 2s22p53s 2s22p53p 2s22p54p 2s22p43s3d 2s22p43p2 2s22p43d2 2s2p63s 2p63s2 2p63p2 |
Table 6.
Comparison of our calculated excitation energies (in eV) and the oscillator strengths (f) of the transitions in K-like W55+ through Ne-like W64+ ions with the available measurements and the other theoretical calculations.
| Ion | Key | Lower Level | Upper Level | EPresent | EMeasured[19] | EFAC[19] | EGRASP2 [19] | EPrevious | fPresent | fPrevious |
|---|---|---|---|---|---|---|---|---|---|---|
| W55+ | K-1 | 647.19 | 646.2 | 647.67 | 649.88 | 1.441 | ||||
| K-2 | 601.23 | 603.27 | 603.74 | 602.60 | 0.385 | |||||
| W56+ | Ar-1 | 631.80 | 630.03 | 631.41 | 632.35 | 0.722 | ||||
| W57+ | Cl-1 | 631.01 | 631.93 | 633.54 | 637.71 | 636.6a | 0.217 | 0.190 | ||
| Cl-2 | 624.90 | 625.74 | 626.63 | 628.53 | 631.7a | 0.203 | 0.196 | |||
| Cl-3 | 622.10 | 624.07 | 626.53 | 628.9a 622.9b | 0.315 | 0.294 | ||||
| W58+ | S-1 | 628.44 | 627.7 | 629.30 | 632.83 | 629.76c | 0.173 | 0.177c | ||
| S-2 | 622.54 | 623.57 | 627.61 | 623.92c 622.19b | 0.256 | 0.254c | ||||
| S-3 | 623.39 | 622.35 | 624.54 | 0.158 | ||||||
| S-4 | 615.23 | 615.40 | 616.35 | 619.74 | 618.29c | 0.263 | 0.262c | |||
| S-5 | 530.35 | 530.98 | 531.10 | 533.33 | 0.072 | |||||
| W59+ | P-1 | 621.48 | 622.54 | 626.53 | 622.28d 621.20b | 0.388 | 0.364d | |||
| P-2 | 619.41 | 621.72 | 624.73 | 620.85d 619.00b | 0.125 | 0.129d | ||||
| P-3 | 609.11 | 610.19 | 611.21 | 614.18 | 610.72d | 0.311 | 0.309d | |||
| P-4 | 515.43 | 515.70 | 515.78 | 516.67 | 517.83d | 0.042 | 0.043d | |||
| W6°+ | Si-1 | 611.60 | 611.6 | 612.90 | 613.78 | 611.86e | 0.923 | 0.880e | ||
| Si-2 | 543.63 | 543.96 | 544.60 | 544.65 | 546.09e | 0.172 | 0.174e | |||
| W61+ | Al-1 | 597.40 | 597.34 | 598.35 | 600.79 | 597.88f | 0.490 | 0.476f | ||
| Al-2 | 550.99 | 549.99 | 550.89 | 552.76 | 553.10f | 0.212 | 0.215f | |||
| Al-3 | 540.19 | 539.98 | 540.24 | 542.48 | 542.10f 539.53g | 0.116 | 0.124f 0.103g | |||
| Al-4 | 500.60 | 500.34 | 500.54 | 499.65 | 502.92f 500.34g | 0.0020 | 0.0021f 0.0019g | |||
| W62+ | Mg-1 | 579.87 | 580.12 | 580.45 | 573.42 | 0.322 | ||||
| Mg-2 | 545.03 | 545.35 | 546.16 | 544.87 | 0.641 | |||||
| W63+ | Na-1 | 533.27 | 533.20 | 533.56 | 533.28 | 0.283 | ||||
| W64+ | Ne-1 | 588.02 | 588.51 | 591.27 | 591.10 | 0.052 |
aHuang et al [48]; b NIST [55]; c Chou et al [53]; d Huang [49]; e Huang [50]; f Huang [51]; and g Safronova and Safronova [54].
Figure 1.
Electron-impact magnetic sublevel and total excitation cross-sections (in atomic units) for K-like and Ar-like tungsten ions as a function of incident electron energy.
Figure 1.
Electron-impact magnetic sublevel and total excitation cross-sections (in atomic units) for K-like and Ar-like tungsten ions as a function of incident electron energy.

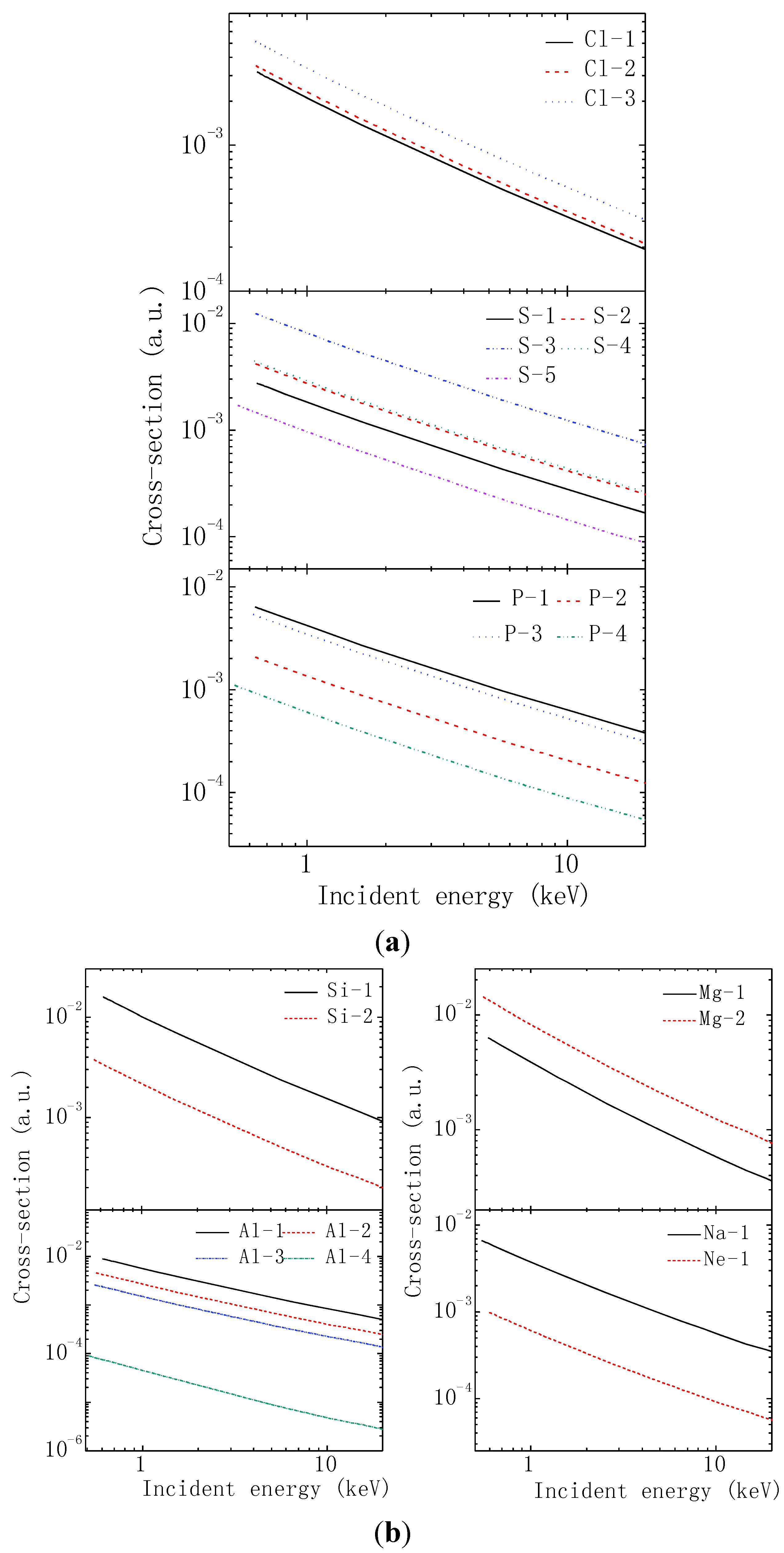
Since we are considering many transitions in different tungsten ions with varying values of Ja and Jb, there would be too many corresponding magnetic sublevel cross-section results for each set of Jaand Jb values. Consequently, to avoid crowding of the figures, we only show the total cross-sections for all the transition in Figure 2a,b.These figures show that all the cross-section curves for different transitions decrease linearly right from the threshold to the higher incident electron energies. We also see the general feature that the cross-section for 3s1/2→3p3/2 transition is always lower than the cross-section for the transition 3p1/2→3d3/2 for each ion except for Mg-like W62+ ion where the reverse is seen.
Analytic fitting of the obtained cross-sections were done using the following formula
The calculated fitting coefficients are given in the Table 7. These coefficients provide values of cross-sections within an accuracy of 5% right from the excitation threshold impact energy.
Figure 2.
(a) Electron-impact excitation cross-sections (in atomic units) for different transitions as given in Table 6 for Cl-like, S-like and P-like tungsten ions as a function of incident electron energy; (b) Electron-impact excitation cross-sections (in atomic units) for different transitions as given in Table 6 for Si-like, Al-like, Mg-like, Na-like and Ne-like tungsten ions as a function of incident electron energy.
Figure 2.
(a) Electron-impact excitation cross-sections (in atomic units) for different transitions as given in Table 6 for Cl-like, S-like and P-like tungsten ions as a function of incident electron energy; (b) Electron-impact excitation cross-sections (in atomic units) for different transitions as given in Table 6 for Si-like, Al-like, Mg-like, Na-like and Ne-like tungsten ions as a function of incident electron energy.

Table 7.
Coefficients for the fitting function given in Equation (6) for electron impact excitation cross-sections for all the transitions in K-like W55+ through Ne-like W64+ ions. The number in the bracket represents the power of 10 by which the quantity has been multiplied.
| Ion | Key | b0 | b1 | b2 | b3 | c0 | c1 | c2 |
|---|---|---|---|---|---|---|---|---|
| W55+ | K-1 | 3.11677(−1) | 2.23638(−3) | 8.52164(−7) | 5.85249(+1) | 2.71204(+0) | 9.80664(-3) | |
| K-2 | 4.48806(−2) | 1.73784(−4) | 2.53707(+1) | 1.16952(+0) | 7.96291(−2) | |||
| W56+ | Ar-1 | 1.13969(−2) | 4.47742(−4) | 5.95543(−10) | 3.55779(-5) | 7.01913(−1) | 1.90273(+0) | 7.96291(−2) |
| W57+ | Cl-1 | 9.25517(−2) | 3.81140(−4) | 2.88522(+1) | 1.27190(+0) | 1.90158(−5) | ||
| Cl-2 | 1.02397(−1) | 4.21701(−4) | 2.88731(+1) | 1. 28580(+0) | 1.93272(−5) | |||
| Cl-3 | 1.50742(−1) | 6.21858(−4) | 2.89651(+1) | 1.29560(+0) | 1.95184(−5) | |||
| W58+ | S-1 | 1.90654(−2) | 1.07145(−4) | 2.43210(−8) | 6.81444(+0) | 3.13430(−1) | 8.18660(−4) | |
| S-2 | 2.88122(−2) | 1.61719 (−4) | 3.63116(−8) | 6.81449(+0) | 3.16108(−1) | 8.23966(−4) | ||
| S-3 | 8.51184(−2) | 4.83359 (−4) | 1.11054(−7) | 6.81631(+0) | 3.16292(−1) | 8.37729(−4) | ||
| S-4 | 2.67276(−1) | 1.51345(−3) | 3.44237(−7) | 5.93855(+1) | 2.78957(+0) | 7.38151(−3) | ||
| S-5 | 1.02681(−1) | 7.06571(−4) | 2.65752(−7) | 5.93142(+1) | 3.29168(+0) | 1.18559(−2) | ||
| W59+ | P-1 | 8.05453(−2) | 3.25370(−4) | 1.25106(+1) | 5.60198(−1) | 8.27364(−4) | ||
| P-2 | 1.40812(−2) | 8.06080(−5) | 1.92106(−8) | 6.68179(+0) | 3.12933(−1) | 8.45658(−4) | ||
| P-3 | 3.64642(−2) | 2.10421(−4) | 5.02610(−8) | 6.68194(+0) | 3.18220(−1) | 8.69310(−4) | ||
| P-4 | 3.84554(−3) | 3.78456(−5) | 3.25047(−8) | 1.05095(-11) | 3.42358(+0) | 2.06440(−1) | 1.28072(−3) | |
| W6°+ | Si-1 | 4.04866(−1) | 1.62130(−3) | 2.52737(+1) | 1.15084(+0) | 1.69347(−3) | ||
| Si-2 | 9.68220(−2) | 3.63716(−4) | 2.53397(+1) | 1.28431(+0) | 1.65007(−3) | |||
| W61+ | Al-1 | 9.04079(−3) | 2.48386(−7) | 1.16146(−3) | 3.36091(−3) | 3.04110(+0) | 1.34588(−1) | |
| Al-2 | 4.64005(−3) | 1.12413(−7) | 6.48106(−4) | 2.40066(−3) | 3.04169(+0) | 1.45958(−1) | ||
| Al-3 Al-4 | 2.63551(−3) 9.14755(−5) | 1.23729(−4) 4.86592(−6) | 9.72385(−11) 3.16316(−12) | 1.30408(−5) 3.54016(−7) | 3.73498(−1) 1.35241(+0) | 2.13835(+0) 1.37690(+0) | 1.05531(−1) 7.26933(−2) | |
| W62+ | Mg-1 | 1.61410(−1) | 5.05668(−4) | 2.53830(+1) | 1.16343(+0) | 1.22164(−3) | ||
| Mg-2 | 3.76691(−1) | 1.39624(−3) | 2.60676(+1) | 1.31803(+0) | 1.67008(−3) | |||
| W63+ | Na-1 | 2.05206(−2) | 7.74583(−5) | 3.02309(+0) | 1.56720(−1) | 2.10181(−4) | ||
| W64+ | Ne-1 | 3.02868(−3) | 1.05254(−5) | 3.02448(+0) | 1.41603(−1) | 1.66132(−4) |
Figure 3.
(a) Polarization for the photon emission from anisotropic excited states through different transitions (as given in Table 6) for K-like, Ar-like, Cl-like, S-like and P-like tungsten ions as a function of incident electron energy; (b) Polarization for the photon emission from anisotropic excited states through different transitions (as given in Table 6) for Si-like, Al-like, Mg-like and Na-like tungsten ions as a function of incident electron energy.
Figure 3.
(a) Polarization for the photon emission from anisotropic excited states through different transitions (as given in Table 6) for K-like, Ar-like, Cl-like, S-like and P-like tungsten ions as a function of incident electron energy; (b) Polarization for the photon emission from anisotropic excited states through different transitions (as given in Table 6) for Si-like, Al-like, Mg-like and Na-like tungsten ions as a function of incident electron energy.

Magnetic sub-level excitation cross-sections are further utilized to calculate the polarization of emitted photons following the decay of electron impact excited states using the formulae given in Table 1. Results obtained for polarization due to the decay from the final state with Jb to a lower level with J0 are shown in the Figure 3a,b. According to the density matrix theory it is clearly evident that if the polarization of incoming electrons is not accounted for,
will be equal for the two magnetic substates with the same mod value of Mb i.e., . Thus, the excited state with Jb = 1/2 is not aligned; consequently, the degree of linear polarization of the photon emission would be zero. Hence, the polarization for the transitions viz. Cl-1, P-2, Al-2 decaying from the excited states with Jb= 1/2 are not displayed in these figures. Another transition Ne-1 following the decay from Jb = 0 to J0 = 1 give an isotropic photon emission, and its polarization is also zero. The two Figures 3a and b illustrate a general expected behavior i.e., polarization decreases with the increase of incident electron energy for all the transitions considered. For most of the transitions, polarization attains negative values around 8 keV. The two types of decay transitions considered viz. 3p3/2 → 3s1/2 and 3d3/2 → 3p1/2, exhibit different shapes of polarization curves for all the ions. We find that for the decay from Jb = 1 to J0 = 0 in transitions viz., Ar-1, Si-1, Si-2, S-3 and Mg-2, the polarization near threshold is quite large and nearly 40%.
5. Conclusions
We presented a brief overview of our recent work on the study of electron impact L- and M-shell excitations of highly charged Ne-like through Co-like tungsten ions using a fully relativistic distorted wave theory. This work was undertaken in the light of EBIT measurements on L- and M-shell spectra of these ions. New calculations are performed to obtain cross-sections and polarization of the emitted photon for various transitions in K-like through Ne-like tungsten ions and results are reported in the present paper in the wide range of incident electron energies up to 20 keV. Fitting of the new cross-section results is also provided to fulfill the purpose of serving atomic data for fusion plasma diagnostics.
Acknowledgments
Rajesh Srivastava and Lalita Sharma would like to acknowledge research grants for this work from the Department of Atomic Energy, Govt. of India (DAE-BRNS). Rajesh Srivastava is also grateful to the International Atomic Energy Agency (IAEA), Vienna, Austria for a grant in partial support of this research. Dipti and Priti are thankful to the Council of Scientific and Industrial Research (CSIR), New Delhi and the Ministry of Human Resource Development, Government of India (MHRD), respectively, for providing financial assistance.
Author Contributions
Priti and Dipti proposed the main idea of the paper and carried out all the calculations. They also wrote some parts of manuscript. Lalita Sharma and Rajesh Srivastava provided the computer code and hardware. They were also involved in the discussions of results and in writing the manuscript.
Conflicts of Interest
The authors declare no conflict of interest.
References
- Neu, R.; Dux, R.; Kallenbach, A.; Pütterich, T.; Balden, M.; Fuchs, J.C.; Herrmann, A.; Maggi, C.F.; O’Mullane, M.; Pugno, R.; et al. Tungsten: An option for divertor and main chamber plasma facing components in future fusion devices. Nucl. Fusion 2005, 45, 209–218. [Google Scholar]
- Ikeda, K. ITER on the road to fusion energy. Nucl. Fusion 2010, 50, 014002:1–014002:10. [Google Scholar] [CrossRef]
- Merolaa, M.; Loesserb, D.; Martina, A.; Chappuisa, P.; Mitteaua, R.; Komarova, V.; Pitts, R.A.; Gicquela, S.; Barabasha, V.; Giancarlia, L.; et al. ITER plasma-facing components. Fusion Eng. Des. 2010, 85, 2312–2322. [Google Scholar] [CrossRef]
- Inubushi, Y.; Kai, T.; Nakamura, T.; Fujioka, S.; Nishimura, H.; Mima, K. Analysis of x-ray polarization to determine the three-dimensionally anisotropic velocity distributions of hot electrons in plasma produced by ultrahigh intensity lasers. Phys. Rev. E 2007, 75, 026401:1–026401:5. [Google Scholar] [CrossRef]
- Beiersdorfer, P.; Slater, M. Measurement of the electron cyclotron energy component of the electron beam of an electron beam ion trap. Phys. Rev. E 2001, 64, 066408:1–066408:6. [Google Scholar] [CrossRef]
- Skinner, C.H. Atomic physics in the quest for fusion energy and ITER. Phys. Scr. 2009, 134, 014022:1–014022:4. [Google Scholar]
- CRP on spectroscopic and collisional data for tungsten. Available online: https://www-amdis.iaea.org/CRP/Tungsten/ (accessed on 21 January 2015).
- Watanabe, H.; Nakamura, N.; Kato, D.; Nakano, T.; Ohtani, S. X-Ray Spectra from Neon-like Tungsten Ions in the Interaction with Electrons. Plasma Fusion Res. Rapid Commun. 2007, 2, 27:1–27:3. [Google Scholar]
- Ralchenko, Y.; Draganić, I.N.; Tan, J.N.; Gillaspy, J.D.; Pomeroy, J.M.; Reader, J.; Feldman, U.; Holland, G.E. EUV spectra of highly-charged ions W54+–W63+ relevant to ITER diagnostics. J. Phys. B 2008, 41, 021003:1–021003:6. [Google Scholar] [CrossRef]
- Peacock, N.J.; O’ Mullane, M.G.; Barnsley, R.; Tarbutt, M. Anticipated X-ray and VUV spectroscopic data from ITER with appropriate diagnostic instrumentation. Can. J. Phys. 2008, 86, 277–284. [Google Scholar] [CrossRef]
- Pütterich, T.; Neu, R.; Dux, R.; Whiteford, A.D.; O’Mullane, M.G. The ASDEX Upgrade Team Modelling of measured tungsten spectra from ASDEX Upgrade and predictions for ITER. Plasma Phys. Control. Fusion 2008, 50, 085016:1–085016:26. [Google Scholar] [CrossRef]
- Biedermann, C.; Radtke, R.; Seidel, R.; Pütterich, T. Spectroscopy of highly charged tungsten ions relevant to fusion plasmas. Phys. Scr. 2009, 134, 014026:1–014026:6. [Google Scholar]
- Clementson, J.; Beiersdorfer, P.; Brown, G.V.; Gu, M.F.; Lundberg, H.; Podpaly, Y.; Träbert, E. Tungsten spectroscopy at the Livermore electron beam ion trap facility. Can. J. Phys. 2011, 89, 571–580. [Google Scholar] [CrossRef]
- Ralchenko, Y.; Draganić, I.N.; Osin, D.; Gillaspy, J.D.; Reader, J. Spectroscopy of diagnostically important magnetic-dipole lines in highly charged 3dn ions of tungsten. Phys. Rev. A 2011, 83, 032517:1–032517:10. [Google Scholar] [CrossRef]
- Kramida, A. Recent progress in spectroscopy of tungsten. Can. J. Phys. 2011, 89, 551–575. [Google Scholar] [CrossRef]
- Beiersdorfer, P.; Brown, G.V.; Graf, A.T.; Bitter, M.; Hill, K.W.; Kelley, R.L.; Kilbourne, C.A.; Leutenegger, M.A.; Porter, F.S. Rest-wavelength fiducials for the ITER core imaging x-ray spectrometer. Rev. Sci. Instrum. 2012, 83, 10E111:1–10E111:3. [Google Scholar]
- Gillaspy, J.D.; Osin, D.; Ralchenko, Y.; Reader, J.; Blundell, S.A. Transition energies of the D lines in Na-like ions. Phys. Rev. A 2013, 87, 062503:1–062503:10. [Google Scholar] [CrossRef]
- Clementson, J.; Beiersdorfer, P.; Brown, G.V.; Gu, M.F. Spectroscopy of M-shell x-ray transitions in Zn-like through Co-like W. Phys. Scr. 2010, 81, 015301:1–015301:8. [Google Scholar] [CrossRef]
- Clementson, J.; Beiersdorfer, P. Wavelength measurement of n = 3 to n = 3 transitions in highly charged tungsten ions. Phys. Rev. A 2010, 81, 052509:1–052509:7. [Google Scholar]
- Clementson, J.; Beiersdorfer, P.; Gu, M.F. X-ray spectroscopy of E2 and M3 transitions in Ni-like W. Phy. Rev. A 2010, 81, 012505:1–012505:6. [Google Scholar]
- Beiersdorfer, P.; Lepson, J.K.; Schneider, M.B.; Bode, M.P. L-shell x-ray emission from neonlike W64+. Phys. Rev. A 2012, 86, 012509:1–012509:10. [Google Scholar] [CrossRef]
- Lennartsson, T.; Clemenston, J.; Beiersdorfer, P. Experimental wavelengths for intrashell transitionsin tungsten ions with partially filled 3p and 3d subshells. Phys. Rev. A 2013, 87, 062505:1–062505:7. [Google Scholar] [CrossRef]
- Beiersdorfer, P.; Clementson, J.; Dunn, J.; Gu, M.F.; Morris, K.; Podpaly, Y.; Wang, E.; Bitter, M.; Feder, R.; Hill, K.W.; et al. The ITER core imaging x-ray spectrometer. J. Phys. B 2010, 43, 144008:1–144008:10. [Google Scholar]
- Fujimoto, T.; Iwamae, A. (Eds.) Plasma Polarization Spectroscopy; Springer Berlin Heidelberg: New York, NY, USA, 2008; Volume 44.
- Das, T.; Sharma, L.; Srivastava, R. Electron impact excitation of the M-shell electrons from Zn-like through Co-like tungsten ions. Phys. Scr. 2012, 86, 035301:1–035301:11. [Google Scholar] [CrossRef]
- Dipti; Das, T.; Sharma, L.; Srivastava, R. L-shell electron excitations of Mg- through O-like tungsten ions. Phys. Scr. 2014, 89, 085403:1–085403:13. [Google Scholar] [CrossRef]
- Dipti; Das, T.; Sharma, L.; Srivastava, R. Electron impact excitation and polarization studies of Fe-like W48+ to Al-like W61+ ions. Can. J. Phys. 2015, in press. [Google Scholar]
- Gangwar, R.K.; Sharma, L.; Srivastava, R.; Stauffer, A.D. Argon plasma modeling with detailed fine-structure cross sections. J. Appl. Phys. 2012, 111, 053307:1–053307:9. [Google Scholar] [CrossRef]
- Sharma, L.; Surzhykov, A.; Srivastava, R.; Fritzsche, S. Electron-impact excitation of singly charged metal ions. Phys. Rev. A 2011, 83, 062701:1–062701:8. [Google Scholar] [CrossRef]
- Madision, D.H.; Bartschat, K. The Distorted-Wave Method for Elastic Scattering and Atomic Excitation, Computational Atomic Physics: Electron and Positron Collision with Atoms and Ions; Bartschat, K., Ed.; Springer-Verlag: Berlin/Heidelberg, Germany, 1996. [Google Scholar]
- Srivastava, R.; Stauffer, A.D.; Sharma, L. Excitation of the metastable states of the noble gases. Phys. Rev. A 2006, 74, 012715:1–012715:10. [Google Scholar]
- Parpia, F.A.; Fischer, C.F.; Grant, I.P. GRASP92: A package for large-scale relativistic atomic structure calculations. Comput. Phys. Commun. 1996, 94, 249–271. [Google Scholar] [CrossRef]
- Jönsson, P.; He, X.; Fischer, C.F.; Grant, I.P. The grasp2K relativistic atomic structure package. Comput. Phys. Commun. 2007, 177, 597–622. [Google Scholar] [CrossRef]
- Balashov, V.V.; Grum-Grzhimailo, A.N.; Kabachnik, N.M. Polarization and Correlation Phenomena in Atomic Collisions; Kluwer Academic/Plenum: New York, NY, USA, 2000. [Google Scholar]
- Chen, M.H.; Crasemann, B. Systematic trends of the oscillator strengths for n = 3 and 2 electric dipole transitions in oxygen-like ions. Phys. Rev. A 1989, 40, 4330:1–4330:7. [Google Scholar]
- Ivanova, E.P.; Gulov, A.V. Theoretical investigation of the neon isoelectronic sequence. At. Data Nucl. Data Tables 1991, 49, 1–64. [Google Scholar] [CrossRef]
- Vilkas, M.J.; López-Encarnación, J.M.; Ishikawa, Y. Relativistic multireference Møller–Plesset perturbation theory calculations of the energy levels and transition probabilities in Ne-like xenon, tungsten, and uranium ions. At. Data Nucl. Data Tables 2008, 94, 50–70. [Google Scholar] [CrossRef]
- Safronova, U.I.; Safronova, A.S.; Beiersdorfer, P. Excitation energies, radiative and autoionization rates, dielectronic satellite lines, and dielectronic recombination rates for excited states of Na-like W from Ne-like W. At. Data Nucl. Data Tables 2009, 95, 751–785. [Google Scholar] [CrossRef]
- Safronova, U.I.; Safronova, A.S.; Beiersdorfer, P. Excitation energies, radiative and autoionization rates, dielectronic satellite lines and dielectronic recombination rates for excited states of Mg-like W from Na-like W. J. Phys. B 2009, 42, 165010:1–165010:17. [Google Scholar]
- Zhang, H.L.; Sampson, D.H. Relativistic distorted wave collision strengths for excitation to the 88 n = 3 and n = 4 levels in all 71 neon-like ions with 22 ≤ Z ≤ 92. At. Data Nucl. Data Tables 1989, 43, 1–69. [Google Scholar] [CrossRef]
- Sampson, D.H.; Zhang, H.L.; Fontes, C.J. Relativistic distorted wave collision strengths and oscillator strengths for the 71 Na-like ions with 22 ≤ Z ≤ 92. At. Data Nucl. Data Tables 1990, 44, 209–271. [Google Scholar] [CrossRef]
- Sampson, D.H.; Zhang, H.L.; Fontes, C.J. Relativistic distorted-wave collision strengths and oscillator strengths for F-like ions with 22 ≤ Z ≤ 92. At. Data Nucl. Data Tables 1991, 48, 25–90. [Google Scholar] [CrossRef]
- Zhang, H.L.; Sampson, D.H. Relativistic Distorted-wave collision strengths and oscillator strengths for the 45 ∆n = 0 transition with n = 2 in the 79 O-like ions with 14 ≤ Z ≤ 92. At. Data Nucl. Data Tables 2002, 82, 357–389. [Google Scholar] [CrossRef]
- Zhang, H.L.; Sampson, D.H.; Fontes, C.J. Relativistic distorted wave collision strengths and oscillator strengths for the 33 Cu-like ions with 60 ≤ Z ≤ 92. At. Data Nucl. Data Tables 1990, 44, 273–304. [Google Scholar] [CrossRef]
- Zhang, H.L.; Sampson, D.H.; Fontes, C.J. Relativistic distorted-wave collision strengths and oscillator strengths for the 33Ni-like ions with 60 ≤ Z ≤ 92. At. Data Nucl. Data Tables 1991, 48, 91–163. [Google Scholar] [CrossRef]
- Xie, L.Y.; Ma, X.Y.; Dong, C.Z.; Wu, Z.W.; Shi, Y.L.; Jiang, J. Polarization of the nf→3d (n = 4, 5, 6) x-rays from tungsten ions following electron-impact excitation and dielectronic recombination processes. J. Quant. Spectrosc. Radiat. Transf. 2014, 141, 31–39. [Google Scholar] [CrossRef]
- Fournier, K.B. Atomic data and spectral line intensities for highly ionized tungsten (Co-like W47+to Rb-like W37+) in a high-temperature, low density plasma. At. Data Nucl. Data 1998, 68, 1–48. [Google Scholar] [CrossRef]
- Huang, K.N.; Kim, Y.K.; Cheng, K.T. Energy-level scheme and transition probabilities of Cl-like ions. At. Data Nucl. Data Tables 1983, 28, 355–377. [Google Scholar] [CrossRef]
- Huang, K.H. Energy-level scheme and transition probabilities of P-like ions. At. Data Nucl. Data Tables 1984, 30, 313–421. [Google Scholar] [CrossRef]
- Huang, K.H. Energy-level scheme and transition probabilities of Si-like ions. At. Data Nucl. Data Tables 1985, 32, 503–566. [Google Scholar] [CrossRef]
- Huang, K.N. Energy-level scheme and transition probabilities of Al-like ions. At. Data Nucl. Data Tables 1986, 34, 1–77. [Google Scholar] [CrossRef]
- Seely, J.F.; Brown, C.M.; Behring, W.E. Transitions in Fe-, Co-, Cu-, and Zn-like ions of W and Re. J. Opt. Soc. Am. B 1989, 6, 3–6. [Google Scholar] [CrossRef]
- Chou, H.S.; Chang, J.Y.; Chang, Y.S.; Huang, K.N. Energy-level scheme and transition probabilities of S-like. At. Data Nucl. Data Tables 1996, 62, 77–145. [Google Scholar] [CrossRef]
- Safronova, U.I.; Safronova, A.S. Wavelengths and transition rates for nl–n'l' transitions in Be-, B-, Mg-, Al-, Ca-, Zn-, Ag- and Yb-like tungsten ions. J. Phys. B 2010, 43, 074026:1–074026:15. [Google Scholar]
- Kramida, A.; Ralchenko, Y.; Reader, J.; NIST ASD Team. NIST Atomic Spectra Database (ver. 5.2). Available online: http://physics.nist.gov/asd (accessed on 11 November 2014).
© 2015 by the authors; licensee MDPI, Basel, Switzerland. This article is an open access article distributed under the terms and conditions of the Creative Commons Attribution license (http://creativecommons.org/licenses/by/4.0/).