Calculation of the Breit–Rosenthal Effect in Bi I
Abstract
1. Introduction
2. Method
The States Studied in Bi
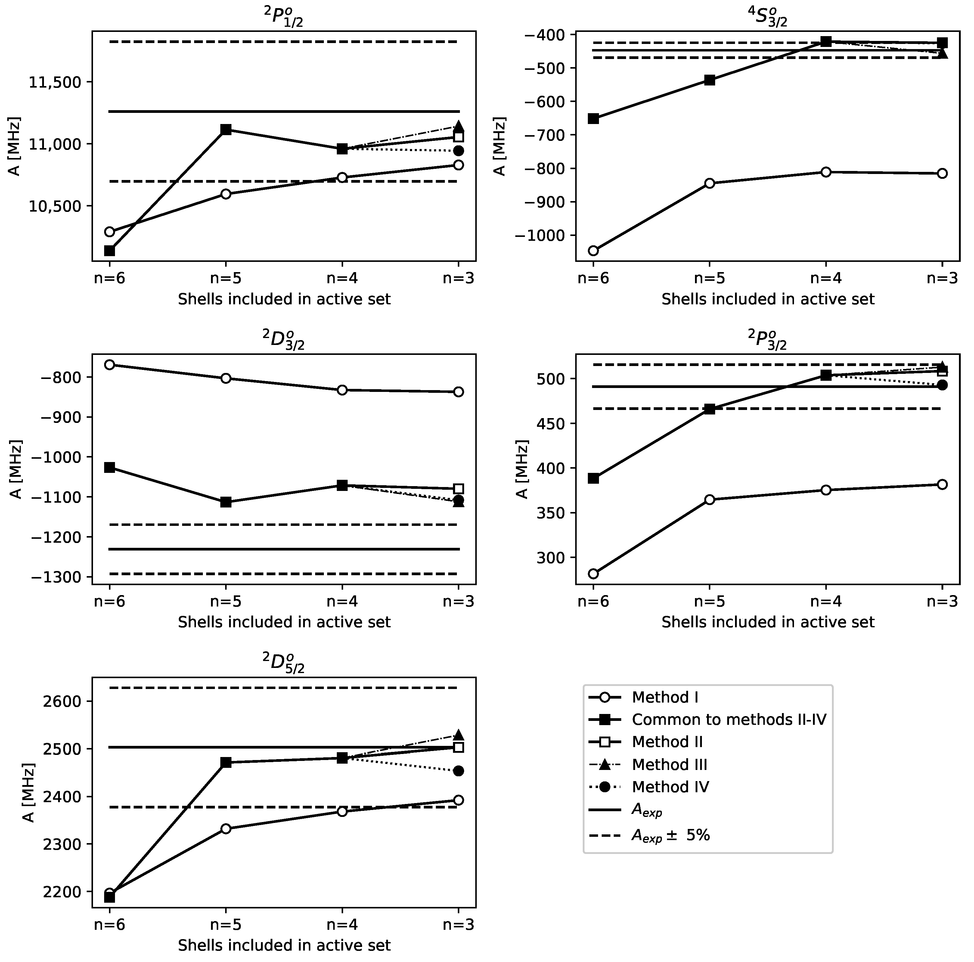
3. Calculations
Calculation of BR Effect
4. Systematics
5. Conclusions
Author Contributions
Funding
Data Availability Statement
Acknowledgments
Conflicts of Interest
References
- Rosenthal, J.E.; Breit, G. The Isotope Shift in Hyperfine Structure. Phys. Rev. 1932, 41, 459–470. [Google Scholar] [CrossRef]
- Bohr, A.; Weisskopf, V. The influence of nuclear structure on the hyperfine structure of heavy elements. Phys. Rev. 1950, 77, 94. [Google Scholar] [CrossRef]
- Persson, J. Table of hyperfine anomaly in atomic systems—2023. At. Data Nucl. Data Tables 2023, 154, 101589. [Google Scholar] [CrossRef]
- Heggset, T.; Persson, J.R. Calculation of the Differential Breit–Rosenthal Effect in the 6 s 6 p 3 P 1, 2 States of Hg. Atoms 2020, 8, 86. [Google Scholar] [CrossRef]
- Karlsen, M.K.; Persson, J.R. Calculation of the Differential Breit-Rosenthal Effect in Pb. Atoms 2024, 12, 5. [Google Scholar] [CrossRef]
- Rosenberg, H.; Stroke, H. Effect of a diffuse nuclear charge distribution on the hyperfine-structure interaction. Phys. Rev. A 1972, 5, 1992. [Google Scholar] [CrossRef]
- Angeli, I.; Marinova, K. Table of experimental nuclear ground state charge radii: An update. At. Data Nucl. Data Tables 2013, 99, 69–95. [Google Scholar] [CrossRef]
- Fischer, C.F.; Gaigalas, G.; Jönsson, P.; Bieron, J. GRASP2018—A Fortran 95 version of the general relativistic atomic structure package. Comput. Phys. Commun. 2019, 237, 184–187. [Google Scholar] [CrossRef]
- Jönsson, P.; Godefroid, M.; Gaigalas, G.; Ekman, J.; Grumer, J.; Li, W.; Li, J.; Brage, T.; Grant, I.P.; Bieroń, J.; et al. An Introduction to Relativistic Theory as Implemented in GRASP. Atoms 2023, 11, 7. [Google Scholar] [CrossRef]
- Fischer, C.F.; Godefroid, M.; Brage, T.; Jönsson, P.; Gaigalas, G. Advanced multiconfiguration methods for complex atoms: I. Energies and wave functions. J. Phys. At. Mol. Opt. Phys. 2016, 49, 182004. [Google Scholar] [CrossRef]
- Grant, I.P. Relativistic Quantum Theory of Atoms and Molecules: Theory and Computation; Springer Science & Business Media: Berlin/Heidelberg, Germany, 2007; Volume 40. [Google Scholar]
- Røger, T.A. On the Effects of a Non-Infinitesimal Nuclear Charge Distribution on the Hyperfine Spectrum of Bi I. Master’s Thesis, Norwegian University of Science and Technology (NTNU), Trondheim, Norway, 2024. [Google Scholar]
- Stone, N. Table of nuclear magnetic dipole and electric quadrupole moments. At. Data Nucl. Data Tables 2005, 90, 75–176. [Google Scholar] [CrossRef]
- Wilman, S.; Elantkowska, M.; Ruczkowski, J. Fine- and hyperfine structure semi-empirical studies of the neutral and singly ionised bismuth. Determination of the nuclear quadrupole moment of 209Bi. J. Quant. Spectrosc. Radiat. Transf. 2021, 275, 107892. [Google Scholar] [CrossRef]
- Bieroń, J.; Pyykkö, P. Nuclear Quadrupole Moments of Bismuth. Phys. Rev. Lett. 2001, 87, 133003. [Google Scholar] [CrossRef] [PubMed]
- Själander, M.; Jahre, M.; Tufte, G.; Reissmann, N. EPIC: An Energy-Efficient, High-Performance GPGPU Computing Research Infrastructure. arXiv 2019, arXiv:1912.05848. [Google Scholar]


| States | A (MHz) |
|---|---|
| −446.937 (1) | |
| −1231.02 (15) | |
| 2502.86 (1) | |
| 11,260.2 (1.5) | |
| 491.028 (1) |
| MR (6sp SD): | 10,135.23 | −652.01 | −1027.07 | 387.69 | 2186.77 |
| Method I: | 10,829.14 | −815.39 | −837.15 | 381.59 | 2392.19 |
| Method II: | 11,054.69 | −424.78 | −1079.71 | 508.46 | 2502.79 |
| Method III: | 11,142.64 | −456.14 | −1112.18 | 512.90 | 2528.48 |
| Method IV: | 10,944.31 | −426.49 | −1108.15 | 492.92 | 2453.71 |
| Experiment: | 11,260.2 (1.5) | −446.937 (1) | −1231.02 (15) | 491.028 (1) | 2502.86 (1) |
| Method | Number of CSFs | (%) | (%) | (%) |
|---|---|---|---|---|
| MR | 1 | 55.52 | 9.99 | 45.88 |
| I | 6865 | 91.39 | 3.83 | 82.44 |
| II | 41,723 | 13.84 | 0.00 | 12.29 |
| III | 203,299 | 10.92 | 1.02 | 9.65 |
| IV | 29,389 | 11.51 | 0.39 | 9.98 |
| Mthd. | Var. | |||||
|---|---|---|---|---|---|---|
| I | −0.039 | −0.167 | −0.131 | 0.169 | −0.013 | |
| 3.83 | 82.44 | 32.00 | 22.29 | 4.42 | ||
| II | −0.040 | −0.248 | −0.109 | 0.095 | −0.017 | |
| 1.83 | 4.96 | 12.29 | 3.55 | 0.00 | ||
| III | −0.039 | −0.249 | −0.110 | 0.103 | −0.016 | |
| 1.04 | 2.06 | 9.65 | 4.45 | 1.02 | ||
| IV | −0.039 | −0.253 | −0.110 | 0.108 | −0.014 | |
| 2.81 | 4.58 | 9.98 | 0.39 | 1.96 |
| State | |
|---|---|
| −0.250 (13) | |
| −0.110 (11) | |
| −0.016 (2) | |
| −0.039 (2) | |
| 0.102 (6) |
Disclaimer/Publisher’s Note: The statements, opinions and data contained in all publications are solely those of the individual author(s) and contributor(s) and not of MDPI and/or the editor(s). MDPI and/or the editor(s) disclaim responsibility for any injury to people or property resulting from any ideas, methods, instructions or products referred to in the content. |
© 2024 by the authors. Licensee MDPI, Basel, Switzerland. This article is an open access article distributed under the terms and conditions of the Creative Commons Attribution (CC BY) license (https://creativecommons.org/licenses/by/4.0/).
Share and Cite
Røger, T.A.; Persson, J.R. Calculation of the Breit–Rosenthal Effect in Bi I. Atoms 2024, 12, 72. https://doi.org/10.3390/atoms12120072
Røger TA, Persson JR. Calculation of the Breit–Rosenthal Effect in Bi I. Atoms. 2024; 12(12):72. https://doi.org/10.3390/atoms12120072
Chicago/Turabian StyleRøger, Tarje Arntzen, and Jonas R. Persson. 2024. "Calculation of the Breit–Rosenthal Effect in Bi I" Atoms 12, no. 12: 72. https://doi.org/10.3390/atoms12120072
APA StyleRøger, T. A., & Persson, J. R. (2024). Calculation of the Breit–Rosenthal Effect in Bi I. Atoms, 12(12), 72. https://doi.org/10.3390/atoms12120072

