Probing the Fragmentation Pathways of an Argon Dimer in Slow Ion–Dimer Collisions
Abstract
:1. Introduction
2. Experimental Methods
3. Results and Discussions
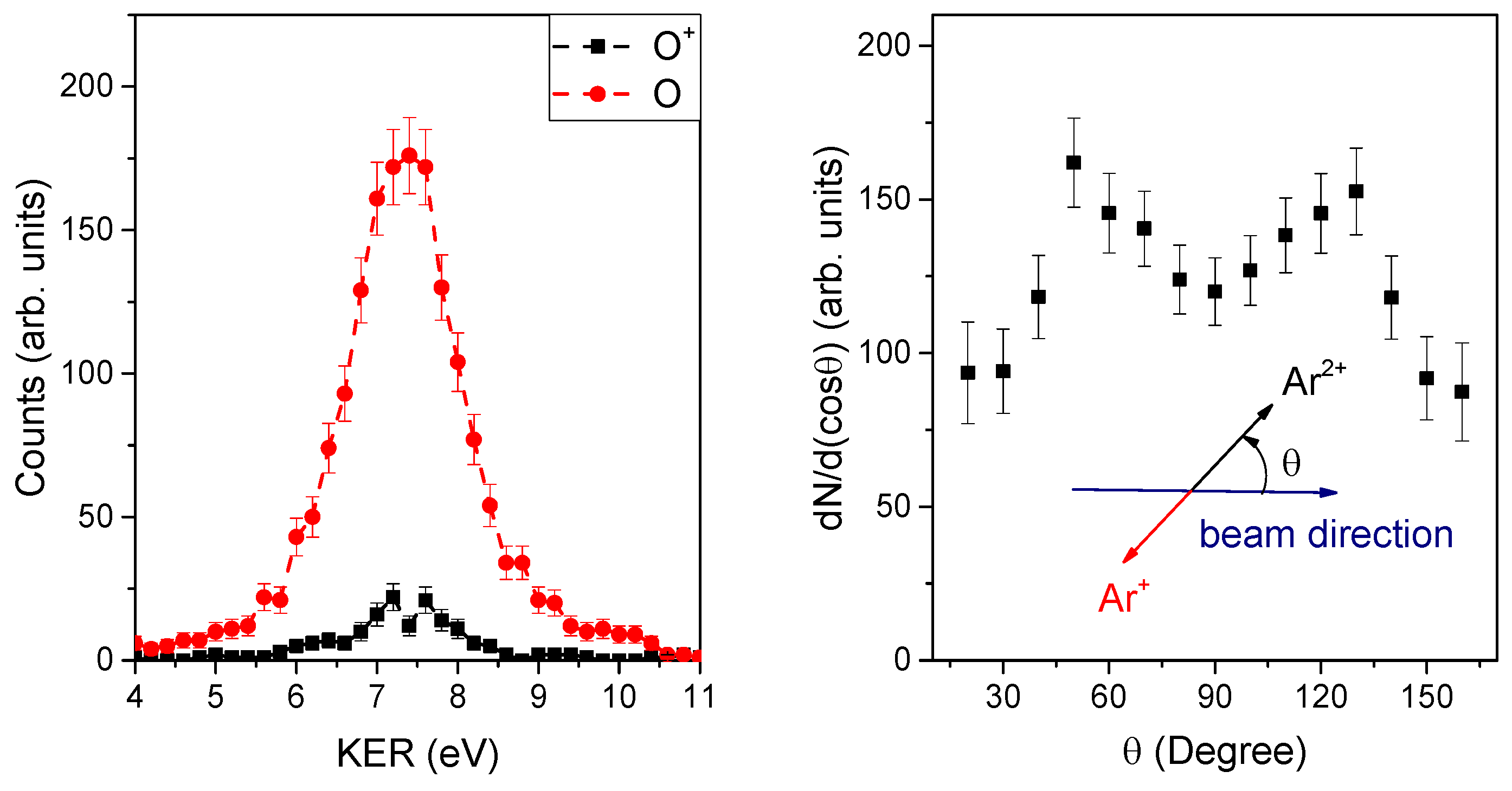
3.1. Fragmentation of Ar22+
3.2. Fragmentation of Ar23+
4. Conclusions
Author Contributions
Funding
Data Availability Statement
Acknowledgments
Conflicts of Interest
References
- Kraft, G. Radiobiological effects of highly charged ions. In The Physics of Multiply and Highly Charged Ions; Springer: Berlin/Heidelberg, Germany, 2003; pp. 149–196. [Google Scholar]
- Beiersdorfer, P.; Boyce, K.; Brown, G.; Chen, H.; Kahn, S.; Kelley, R.; May, M.; Olson, R.; Porter, F.; Stahle, C.; et al. Laboratory simulation of charge exchange-produced X-ray emission from comets. Science 2003, 300, 1558–1559. [Google Scholar] [CrossRef] [PubMed]
- Cederbaum, L.; Zobeley, J.; Tarantelli, F. Giant intermolecular decay and fragmentation of clusters. Phys. Rev. Lett. 1997, 79, 4778. [Google Scholar] [CrossRef]
- Dörner, R.; Mergel, V.; Jagutzki, O.; Spielberger, L.; Ullrich, J.; Moshammer, R.; Schmidt-Böcking, H. Cold target recoil ion momentum spectroscopy: A ‘momentum microscope’to view atomic collision dynamics. Phys. Rep. 2000, 330, 95–192. [Google Scholar] [CrossRef]
- Ullrich, J.; Moshammer, R.; Dorn, A.; Dörner, R.; Schmidt, L.P.H.; Schmidt-Böcking, H. Recoil-ion and electron momentum spectroscopy: Reaction-microscopes. Rep. Prog. Phys. 2003, 66, 1463. [Google Scholar] [CrossRef]
- Marburger, S.; Kugeler, O.; Hergenhahn, U.; Möller, T. Experimental evidence for interatomic Coulombic decay in Ne clusters. Phys. Rev. Lett. 2003, 90, 203401. [Google Scholar] [CrossRef]
- Jahnke, T.; Czasch, A.; Schöffler, M.; Schössler, S.; Knapp, A.; Käsz, M.; Titze, J.; Wimmer, C.; Kreidi, K.; Grisenti, R.; et al. Experimental observation of interatomic Coulombic decay in neon dimers. Phys. Rev. Lett. 2004, 93, 163401. [Google Scholar] [CrossRef]
- Pan, X.; Cloutier, P.; Hunting, D.; Sanche, L. Dissociative electron attachment to DNA. Phys. Rev. Lett. 2003, 90, 208102. [Google Scholar] [CrossRef]
- Boudaıffa, B.; Cloutier, P.; Hunting, D.; Huels, M.A.; Sanche, L. Resonant formation of DNA strand breaks by low-energy (3 to 20 eV) electrons. Science 2000, 287, 1658–1660. [Google Scholar] [CrossRef]
- Jahnke, T. Interatomic and intermolecular Coulombic decay: The coming of age story. J. Phys. B At. Mol. Opt. Phys. 2015, 48, 082001. [Google Scholar] [CrossRef]
- Schnorr, K.; Senftleben, A.; Kurka, M.; Rudenko, A.; Foucar, L.; Schmid, G.; Broska, A.; Pfeifer, T.; Meyer, K.; Anielski, D.; et al. Time-resolved measurement of interatomic Coulombic decay in Ne 2. Phys. Rev. Lett. 2013, 111, 093402. [Google Scholar] [CrossRef]
- Titze, J.; Schöffler, M.; Kim, H.K.; Trinter, F.; Waitz, M.; Voigtsberger, J.; Neumann, N.; Ulrich, B.; Kreidi, K.; Wallauer, R.; et al. Ionization dynamics of helium dimers in fast collisions with He++. Phys. Rev. Lett. 2011, 106, 033201. [Google Scholar] [CrossRef]
- Kim, H.K.; Titze, J.; Schöffler, M.; Trinter, F.; Waitz, M.; Voigtsberger, J.; Sann, H.; Meckel, M.; Stuck, C.; Lenz, U.; et al. Enhanced production of low energy electrons by alpha particle impact. Proc. Natl. Acad. Sci. USA 2011, 108, 11821–11824. [Google Scholar] [CrossRef]
- Kim, H.K.; Gassert, H.; Titze, J.; Waitz, M.; Voigtsberger, J.; Trinter, F.; Becht, J.; Kalinin, A.; Neumann, N.; Zhou, C.; et al. Orientation dependence in multiple ionization of He 2 and Ne 2 induced by fast, highly charged ions: Probing the impact- parameter-dependent ionization probability in 11.37-MeV/u S 14+ collisions with He and Ne. Phys. Rev. A 2014, 89, 022704. [Google Scholar] [CrossRef]
- Méry, A.; Agnihotri, A.; Douady, J.; Fléchard, X.; Gervais, B.; Guillous, S.; Iskandar, W.; Jacquet, E.; Matsumoto, J.; Rangama, J.; et al. Role of a neighbor ion in the fragmentation dynamics of covalent molecules. Phys. Rev. Lett. 2017, 118, 233402. [Google Scholar] [CrossRef]
- Zhu, X.; Hu, X.; Yan, S.; Peng, Y.; Feng, W.; Guo, D.; Gao, Y.; Zhang, S.; Cassimi, A.; Xu, J.; et al. Heavy N+ ion transfer in doubly charged N2Ar van der Waals cluster. Nat. Commun. 2020, 11, 2987. [Google Scholar] [CrossRef]
- Matsumoto, J.; Leredde, A.; Flechard, X.; Hayakawa, K.; Shiromaru, H.; Rangama, J.; Zhou, C.; Guillous, S.; Hennecart, D.; Muranaka, T.; et al. Asymmetry in multiple-electron capture revealed by radiative charge transfer in Ar dimers. Phys. Rev. Lett. 2010, 105, 263202. [Google Scholar] [CrossRef]
- Miteva, T.; Chiang, Y.C.; Kolorenc, P.; Kuleff, A.; Gokhberg, K.; Cederbaum, L. Interatomic Coulombic decay following resonant core excitation of Ar in argon dimer. J. Chem. Phys. 2014, 141, 064307. [Google Scholar] [CrossRef]
- Ren, X.; Jabbour Al Maalouf, E.; Dorn, A.; Denifl, S. Direct evidence of two interatomic relaxation mechanisms in argon dimers ionized by electron impact. Nat. Commun. 2016, 7, 11093. [Google Scholar] [CrossRef] [PubMed]
- Groh, W.; Muller, A.; Schlachter, A.; Salzborn, E. Transfer ionisation in slow collisions of multiply-charged ions with atoms. J. Phys. B At. Mol. Phys. 1983, 16, 1997. [Google Scholar] [CrossRef]
- Wu, W.; Cocke, C.; Giese, J.; Melchert, F.; Raphaelian, M.; Stöckli, M. Observation of direct ionization of He by highly charged ions at low velocity. Phys. Rev. Lett. 1995, 75, 1054. [Google Scholar] [CrossRef]
- Agnihotri, A.; Kelkar, A.; Kasthurirangan, S.; Thulasiram, K.; Desai, C.; Fernandez, W.; Tribedi, L. An ECR ion source-based low-energy ion accelerator: Development and performance. Phys. Scr. 2011, 2011, 014038. [Google Scholar] [CrossRef]
- Siddiki, M.A.K.A.; Nrishimhamurty, M.; Kumar, K.; Mukherjee, J.; Tribedi, L.C.; Khan, A.; Misra, D. Development of a cold target recoil ion momentum spectrometer and a projectile charge state analyzer setup to study electron transfer processes in highly charged ion–atom/molecule collisions. Rev. Sci. Instrum. 2022, 93, 113313. [Google Scholar] [CrossRef] [PubMed]
- Miller, D.R.; Scoles, G. Atomic and molecular beam methods. At. Mol. Beam Methods 1988, 1, 14. [Google Scholar]
- Jahnke, T. “Interatomic Coulombic Decay”: Experimentelle Untersuchung eines neuartigen, interatomaren Abregungsmechanis- mus. Ph.D. Thesis, Goethe University Frankfurt am Main, Frankfurt, Germany, 2005. [Google Scholar]
- Kristiansson, M.K.; Chartkunchand, K.; Eklund, G.; Hole, O.M.; Anderson, E.K.; de Ruette, N.; Kamin’ska, M.; Punnakayathil, N.; Navarro-Navarrete, J.E.; Sigurdsson, S.; et al. High-precision electron affinity of oxygen. Nat. Commun. 2022, 13, 5906. [Google Scholar] [CrossRef] [PubMed]
- Niehaus, A. A classical model for multiple-electron capture in slow collisions of highly charged ions with atoms. J. Phys. B At. Mol. Phys. 1986, 19, 2925. [Google Scholar] [CrossRef]
- Bárány, A.; Astner, G.; Cederquist, H.; Danared, H.; Huldt, S.; Hvelplund, P.; Johnson, A.; Knudsen, H.; Liljeby, L.; Rensfelt, K.G. Absolute cross sections for multi-electron processes in low energy Arq+- Ar collisions: Comparison with theory. Nucl. Instrum. Methods Phys. Res. Sect. B Beam Interact. Mater. At. 1985, 9, 397–399. [Google Scholar] [CrossRef]
- Iskandar, W. Étude Des Collisions à Basse Énergie Entre Ions Multichargés et Dimères de Gaz Rare. Ph.D. Thesis, Université de Caen Normandie, Caen, France, 2015. [Google Scholar]
- Zhu, X.; Yan, S.; Feng, W.; Ma, X.; Chuai, X.; Guo, D.; Gao, Y.; Zhang, R.; Zhang, P.; Zhang, S.; et al. Orientation effect in Ar dimer fragmentation by highly charged ion impact. J. Phys. B At. Mol. Opt. Phys. 2018, 51, 155204. [Google Scholar] [CrossRef]
- Zare, R.N. Dissociation of H2+ by electron impact: Calculated angular distribution. J. Chem. Phys. 1967, 47, 204–215. [Google Scholar] [CrossRef]





| Differential Chamber | Before Jet (mbar) | After Jet (mbar) |
|---|---|---|
| Discharge | ||
| Skimmer | ||
| Interaction | ||
| Dump |
| Ion | Capture Channel | Relative Yield |
|---|---|---|
| Ar2+ | ||
| Ar2+ | 0.3202 | |
| Ar3+ | ||
| Ar3+ |
| Fragmentation Channel | Capture Channel | Relative Yield |
|---|---|---|
| Ar+ + Ar+ | ||
| Ar+ + Ar+ | 0.2814 | |
| Ar2+ + Ar+ | ||
| Ar2+ + Ar+ |
Disclaimer/Publisher’s Note: The statements, opinions and data contained in all publications are solely those of the individual author(s) and contributor(s) and not of MDPI and/or the editor(s). MDPI and/or the editor(s) disclaim responsibility for any injury to people or property resulting from any ideas, methods, instructions or products referred to in the content. |
© 2023 by the authors. Licensee MDPI, Basel, Switzerland. This article is an open access article distributed under the terms and conditions of the Creative Commons Attribution (CC BY) license (https://creativecommons.org/licenses/by/4.0/).
Share and Cite
Siddiki, M.A.K.A.; Tribedi, L.C.; Misra, D. Probing the Fragmentation Pathways of an Argon Dimer in Slow Ion–Dimer Collisions. Atoms 2023, 11, 34. https://doi.org/10.3390/atoms11020034
Siddiki MAKA, Tribedi LC, Misra D. Probing the Fragmentation Pathways of an Argon Dimer in Slow Ion–Dimer Collisions. Atoms. 2023; 11(2):34. https://doi.org/10.3390/atoms11020034
Chicago/Turabian StyleSiddiki, Md Abul Kalam Azad, Lokesh C. Tribedi, and Deepankar Misra. 2023. "Probing the Fragmentation Pathways of an Argon Dimer in Slow Ion–Dimer Collisions" Atoms 11, no. 2: 34. https://doi.org/10.3390/atoms11020034
APA StyleSiddiki, M. A. K. A., Tribedi, L. C., & Misra, D. (2023). Probing the Fragmentation Pathways of an Argon Dimer in Slow Ion–Dimer Collisions. Atoms, 11(2), 34. https://doi.org/10.3390/atoms11020034

