Modeling Femtosecond Reduction of Atomic Scattering Factors in X-ray-Excited Silicon with Boltzmann Kinetic Equations
Abstract
:1. Introduction
2. Results
2.1. Experimental Findings
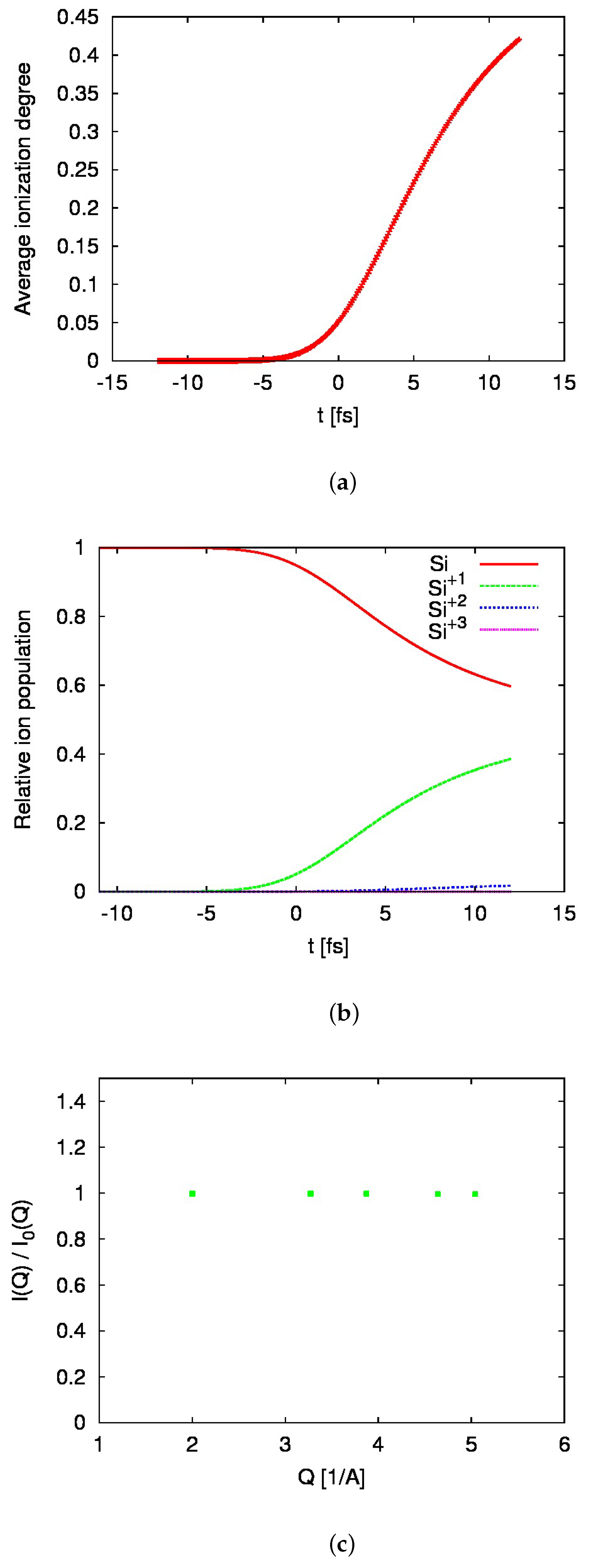
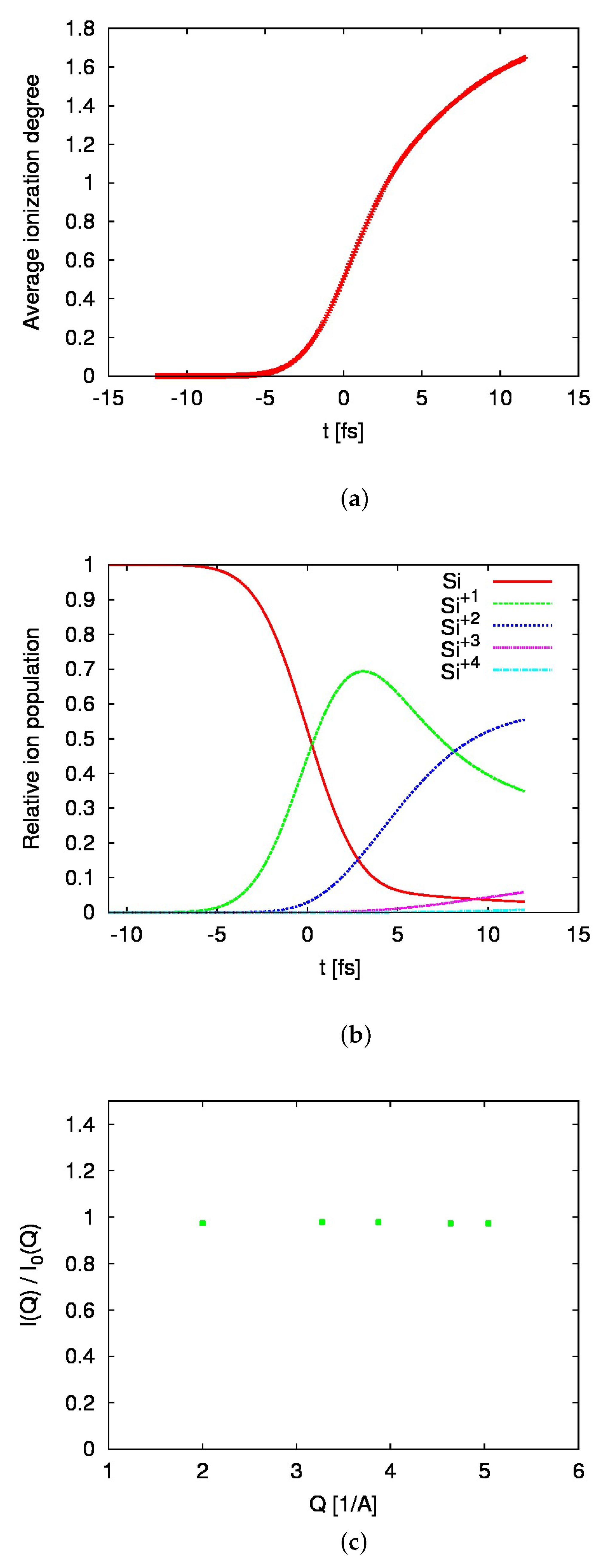
2.2. Boltzmann Code Simulations
3. Materials and Methods
3.1. Experimental Scheme
3.2. Modeling Tool
4. Discussion
Author Contributions
Funding
Data Availability Statement
Acknowledgments
Conflicts of Interest
Abbreviations
| XFEL | X-ray free-electron laser |
| SACLA | SPring-8 Angstrom Compact free electron LAser |
| XMDYN | molecular-dynamics- and Monte-Carlo-based code for |
| modeling X-ray-driven dynamics in complex systems | |
| XATOM | atomic structure calculation tool |
| MD | molecular dynamics |
| FWHM | full width at half maximum |
| PERP | predominant excitation and relaxation path |
| MPCCD | multiport charge-coupled device |
| SASE | self-amplified spontaneous emission |
References
- Inoue, I.; Yamada, J.; Kapcia, K.J.; Stransky, M.; Tkachenko, V.; Jurek, Z.; Inoue, T.; Osaka, T.; Inubushi, Y.; Ito, A.; et al. Femtosecond reduction of atomic scattering factors triggered by intense x-ray pulse. Phys. Rev. Lett. 2023, 131, 163201. [Google Scholar] [CrossRef]
- Lee, R.W.; Moon, S.J.; Chung, H.K.; Rozmus, W.; Baldis, H.A.; Gregori, G.; Cauble, R.C.; Landen, O.L.; Wark, J.S.; Ng, A.; et al. Finite temperature dense matter studies on next-generation light sources. J. Opt. Soc. Am. B 2003, 20, 770–778. [Google Scholar] [CrossRef]
- Ackermann, W.; Asova, G.; Ayvazyan, V.; Azima, A.; Baboi, N.; Bähr, J.; Balandin, V.; Beutner, B.; Brandt, A.; Bolzmann, A.; et al. Operation of a free-electron laser from the extreme ultraviolet to the water window. Nat. Photonics 2007, 1, 336–342. [Google Scholar] [CrossRef]
- Allaria, E.; Appio, R.; Badano, L.; Barletta, W.A.; Bassanese, S.; Biedron, S.G.; Borga, A.; Busetto, E.; Castronovo, D.; Cinquegrana, P.; et al. Highly coherent and stable pulses from the FERMI seeded free-electron laser in the extreme ultraviolet. Nat. Photonics 2012, 6, 699–704. [Google Scholar] [CrossRef]
- Emma, P.; Akre, R.; Arthur, J.; Bionta, R.; Bostedt, C.; Bozek, J.; Brachmann, A.; Bucksbaum, P.; Coffee, R.; Decker, F.J.; et al. First lasing and operation of an Ångstrom-wavelength free-electron laser. Nat. Photonics 2010, 4, 641–647. [Google Scholar] [CrossRef]
- Pile, D. First light from SACLA. Nat. Photonics 2011, 5, 456–457. [Google Scholar] [CrossRef]
- Weise, H.; Decking, W. Commissioning and first lasing of the European XFEL. In Proceedings of the 38th International Free Electron Laser Conference FEL2017, Santa Fe, NM, USA, 20–25 August 2017; pp. 9–13. [Google Scholar] [CrossRef]
- Chapman, H.N.; Caleman, C.; Timneanu, N. Diffraction before destruction. Philos. Trans. R. Soc. B 2014, 369, 20130313. [Google Scholar] [CrossRef]
- Lindenberg, A.M.; Johnson, S.L.; Reis, D.A. Visualization of Atomic-Scale Motions in Materials via Femtosecond X-Ray Scattering Techniques. Ann. Rev. Mat. Res. 2017, 47, 425–449. [Google Scholar] [CrossRef]
- Gorkhover, T.; Adolph, M.; Rupp, D.; Schorb, S.; Epp, S.W.; Erk, B.; Foucar, L.; Hartmann, R.; Kimmel, N.; Kühnel, K.U.; et al. Nanoplasma Dynamics of Single Large Xenon Clusters Irradiated with Superintense X-Ray Pulses from the Linac Coherent Light Source Free-Electron Laser. Phys. Rev. Lett. 2012, 108, 245005. [Google Scholar] [CrossRef] [PubMed]
- Tachibana, T.; Jurek, Z.; Fukuzawa, H.; Motomura, K.; Nagaya, K.; Wada, S.; Johnsson, P.; Siano, M.; Mondal, S.; Ito, Y.; et al. Nanoplasma Formation by High Intensity Hard X-rays. Sci. Rep. 2015, 5, 10977. [Google Scholar] [CrossRef] [PubMed]
- Inoue, I.; Deguchi, Y.; Ziaja, B.; Osaka, T.; Abdullah, M.M.; Jurek, Z.; Medvedev, N.; Tkachenko, V.; Inubushi, Y.; Kasai, H.; et al. Atomic-Scale Visualization of Ultrafast Bond Breaking in X-Ray-Excited Diamond. Phys. Rev. Lett. 2021, 126, 117403. [Google Scholar] [CrossRef] [PubMed]
- Ziaja, B.; Bekx, J.J.; Masek, M.; Medvedev, N.; Lipp, V.; Saxena, V.; Stransky, M. Application of Boltzmann kinetic equations to model X-ray-created warm dense matter and plasma. Philos. Trans. R. Soc. A 2023, 381, 20220216. [Google Scholar] [CrossRef] [PubMed]
- Ziaja, B.; Saxena, V.; Son, S.K.; Medvedev, N.; Barbrel, B.; Woloncewicz, B.; Stransky, M. Kinetic Boltzmann approach adapted for modeling highly ionized matter created by x-ray irradiation of a solid. Phys. Rev. E 2016, 93, 053210. [Google Scholar] [CrossRef] [PubMed]
- Son, S.K.; Young, L.; Santra, R. Impact of hollow-atom formation on coherent x-ray scattering at high intensity. Phys. Rev. A 2011, 83, 033402. [Google Scholar] [CrossRef]
- Jurek, Z.; Son, S.K.; Ziaja, B.; Santra, R. XMDYN and XATOM: Versatile simulation tools for quantitative modeling of X-ray free-electron laser induced dynamics of matter. J. Appl. Crystalogr. 2016, 49, 1048–1056. [Google Scholar] [CrossRef]
- Murphy, B.F.; Osipov, T.; Jurek, Z.; Fang, L.; Son, S.K.; Mucke, M.; Eland, J.H.D.; Zhaunerchyk, V.; Feifel, R.; Avaldi, L.; et al. Femtosecond X-ray-induced explosion of C60 at extreme intensity. Nat. Commun. 2014, 5, 4281. [Google Scholar] [CrossRef]
- Duesterer, S.; Hartmann, G.; Bomme, C.; Boll, R.; Costello, J.T.; Erk, B.; De Fanis, A.; Ilchen, M.; Johnsson, P.; Kelly, T.J.; et al. Two-color XUV+NIR femtosecond photoionization of neon in the near-threshold region. New J. Phys. 2019, 21, 063034. [Google Scholar] [CrossRef]
- Rosmej, F.B.; Astapenko, V.A.; Khramov, E.S. XFEL and HHG interaction with matter: Effects of ultrashort pulses and random spikes. Matter Radiat. Extrem. 2021, 6, 034001. [Google Scholar] [CrossRef]
- Als-Nielsen, J.; McMorrow, D. Elements of Modern X-ray Physics; John Wiley and Sons: Hoboken, NJ, USA, 2011. [Google Scholar]
- Yabashi, M.; Tanaka, H.; Ishikawa, T. Overview of the SACLA facility. J. Synchrotron Radiat. 2015, 22, 477–484. [Google Scholar] [CrossRef]
- Tono, K.; Togashi, T.; Inubushi, Y.; Katayama, T.; Owada, S.; Yabuuchi, T.; Kon, A.; Inoue, I.; Osaka, T.; Yumoto, H.; et al. Overview of optics, photon diagnostics and experimental instruments at SACLA: Development, operation and scientific applications. In Proceedings of the SPIE Advances in X-ray Free-Electron Lasers Instrumentation IV, Prague, Czech Republic, 26–28 April 2017; Tschentscher, T., Patthey, L., Eds.; International Society for Optics and Photonics: Prague, Czech Republic, 2017; Volume 10237, pp. 1–10. [Google Scholar] [CrossRef]
- Yumoto, H.; Inubushi, Y.; Osaka, T.; Inoue, I.; Koyama, T.; Tono, K.; Yabashi, M.; Ohashi, H. Nanofocusing Optics for an X-Ray Free-Electron Laser Generating an Extreme Intensity of 100 EW/cm2 Using Total Reflection Mirrors. Appl. Sci. 2020, 10, 2611. [Google Scholar] [CrossRef]
- Kameshima, T.; Ono, S.; Kudo, T.; Ozaki, K.; Kirihara, Y.; Kobayashi, K.; Inubushi, Y.; Yabashi, M.; Horigome, T.; Holland, A.; et al. Development of an X-ray pixel detector with multi-port charge-coupled device for X-ray free-electron laser experiments. Rev. Sci. Instrum. 2014, 85, 033110. [Google Scholar] [CrossRef] [PubMed]
- Tono, K.; Togashi, T.; Inubushi, Y.; Sato, T.; Katayama, T.; Ogawa, K.; Ohashi, H.; Kimura, H.; Takahashi, S.; Takeshita, K.; et al. Beamline, experimental stations and photon beam diagnostics for the hard x-ray free electron laser of SACLA. New J. Phys. 2013, 15, 083035. [Google Scholar] [CrossRef]
- Ethier, S.; Matte, J.P. Electron kinetic simulations of solid density Al plasmas produced by intense subpicosecond laser pulses. I. Ionization dynamics in 30 femtosecond pulses. Phys. Plasmas 2001, 8, 1650–1658. [Google Scholar] [CrossRef]
- Ziaja, B.; de Castro, A.R.B.; Weckert, E.; Moeller, T. Modelling dynamics of samples exposed to free-electron-laser radiation with Boltzmann equations. Eur. Phys. J. D 2006, 40, 465–480. [Google Scholar] [CrossRef]
- Sherlock, M.; Hill, E.G.; Rose, S.J. Kinetic simulations of the heating of solid density plasma by femtosecond laser pulses. High Eng. Density Phys. 2013, 9, 38–41. [Google Scholar] [CrossRef]
- Bar-Shalom, A.; Oreg, J.; Goldstein, W.H.; Shvarts, D.; Zigler, A. Super-transition-arrays: A model for the spectral analysis of hot, dense plasma. Phys. Rev. A 1989, 40, 3183–3193. [Google Scholar] [CrossRef]
- Oreg, J.; Bar-Shalom, A.; Klapisch, M. Operator technique for calculating superconfiguration-averaged quantities of atoms in plasmas. Phys. Rev. E 1997, 55, 5874–5882. [Google Scholar] [CrossRef]
- Chung, H.K.; Chen, M.; Morgan, W.; Ralchenko, Y.; Lee, R. FLYCHK: Generalized population kinetics and spectral model for rapid spectroscopic analysis for all elements. High Eng. Density Phys. 2005, 1, 3–12. [Google Scholar] [CrossRef]
- Peyrusse, O.; Bauche-Arnoult, C.; Bauche, J. Effective superconfiguration temperature and the radiative properties of nonlocal thermodynamical equilibrium hot dense plasma. Phys. Plasmas 2005, 12, 063302. [Google Scholar] [CrossRef]
- Abdallah, J.; Sherrill, M.; Kilcrease, D.; Fontes, C.; Zhang, H.; Oelgoetz, J. The reduced detailed configuration accounting (RDCA) model for NLTE plasma spectral calculations. High Eng. Density Phys. 2009, 5, 204–207. [Google Scholar] [CrossRef]
- Bauche, J.; Bauche-Arnoult, C.; Peyrusse, O. Superconfigurations and Super Transition Arrays. In Atomic Properties in Hot Plasmas: From Levels to Superconfigurations; Springer International Publishing: Cham, Switzerland, 2015; pp. 203–223. [Google Scholar] [CrossRef]
- Lee, Y.T. A model for ionization balance and L-shell spectroscopy of non-LTE plasmas. J. Quant. Spectr. Radiat. Trans. 1987, 38, 131–145. [Google Scholar] [CrossRef]
- Marchand, R.; Caillé, S.; Lee, Y. Improved screening coefficients for the hydrogenic ion model. J. Quant. Spectr. Radiat. Trans. 1990, 43, 149–154. [Google Scholar] [CrossRef]
- Rosmej, F.B. An alternative method to determine atomic radiative emission. Europhys. Lett. 2006, 76, 1081–1087. [Google Scholar] [CrossRef]
- Ziaja, B.; Bekx, J.J.; Masek, M.; Medvedev, N.; Piekarz, P.; Saxena, V.; Stransky, M.; Toleikis, S. Tracing X-ray-induced formation of warm dense gold with Boltzmann kinetic equations. Eur. Phys. J. D 2021, 75, 224. [Google Scholar] [CrossRef]
- Mercadier, L.; Benediktovitch, A.; Krusic, S.; Schlappa, J.; Agåker, M.; Carley, R.; Fazio, G.; Gerasimova, N.; Kim, Y.Y.; Le Guyader, L.; et al. Transient Absorption of Warm Dense Matter Created by an X-Ray Free-Electron Laser. Res. Sq. 2023, preprint. [Google Scholar]



Disclaimer/Publisher’s Note: The statements, opinions and data contained in all publications are solely those of the individual author(s) and contributor(s) and not of MDPI and/or the editor(s). MDPI and/or the editor(s) disclaim responsibility for any injury to people or property resulting from any ideas, methods, instructions or products referred to in the content. |
© 2023 by the authors. Licensee MDPI, Basel, Switzerland. This article is an open access article distributed under the terms and conditions of the Creative Commons Attribution (CC BY) license (https://creativecommons.org/licenses/by/4.0/).
Share and Cite
Ziaja, B.; Stransky, M.; Kapcia, K.J.; Inoue, I. Modeling Femtosecond Reduction of Atomic Scattering Factors in X-ray-Excited Silicon with Boltzmann Kinetic Equations. Atoms 2023, 11, 154. https://doi.org/10.3390/atoms11120154
Ziaja B, Stransky M, Kapcia KJ, Inoue I. Modeling Femtosecond Reduction of Atomic Scattering Factors in X-ray-Excited Silicon with Boltzmann Kinetic Equations. Atoms. 2023; 11(12):154. https://doi.org/10.3390/atoms11120154
Chicago/Turabian StyleZiaja, Beata, Michal Stransky, Konrad J. Kapcia, and Ichiro Inoue. 2023. "Modeling Femtosecond Reduction of Atomic Scattering Factors in X-ray-Excited Silicon with Boltzmann Kinetic Equations" Atoms 11, no. 12: 154. https://doi.org/10.3390/atoms11120154
APA StyleZiaja, B., Stransky, M., Kapcia, K. J., & Inoue, I. (2023). Modeling Femtosecond Reduction of Atomic Scattering Factors in X-ray-Excited Silicon with Boltzmann Kinetic Equations. Atoms, 11(12), 154. https://doi.org/10.3390/atoms11120154

