Effect of Fluid Composition on a Jet Breaking out of a Cocoon in Gamma-Ray Bursts: A Relativistic de Laval Nozzle Treatment
Abstract
1. Introduction
- As the jets in short GRBs produce near strong gravitational potential, how the jet scenario is affected in the regime of general relativity;
- Once the jet strikes against the cocoon to be collimated and escaped, how its dynamics are sensitive to its matter composition (i.e., the ratio of the lepton’s fraction to baryonic matter) and how its observational appearance changes;
- What are the conditions for the generation of the recollimation shocks produced by the collimation of the jet and how does the possibility of the shock transition depend upon matter composition?
- How are the properties of the shock (such as shock strength and transition location) sensitive to the jet composition?
2. Assumptions
2.1. Jet Cross Section
2.2. Relativistic Equation of State and Its Dependence upon Flow Composition
3. Jet Dynamics
3.1. Dynamical Equations of Motion of the Jet
3.2. Constants of Motion
4. Method of Obtaining Solutions: Sonic Point Analysis and Shock Conditions
5. Results
5.1. Dependence of Flow Solutions on the Cocoon’s Strength
5.2. Effect of Fluid Composition on Jet Dynamics
5.3. Jets with Supersonic Injection
6. Discussion and Conclusions
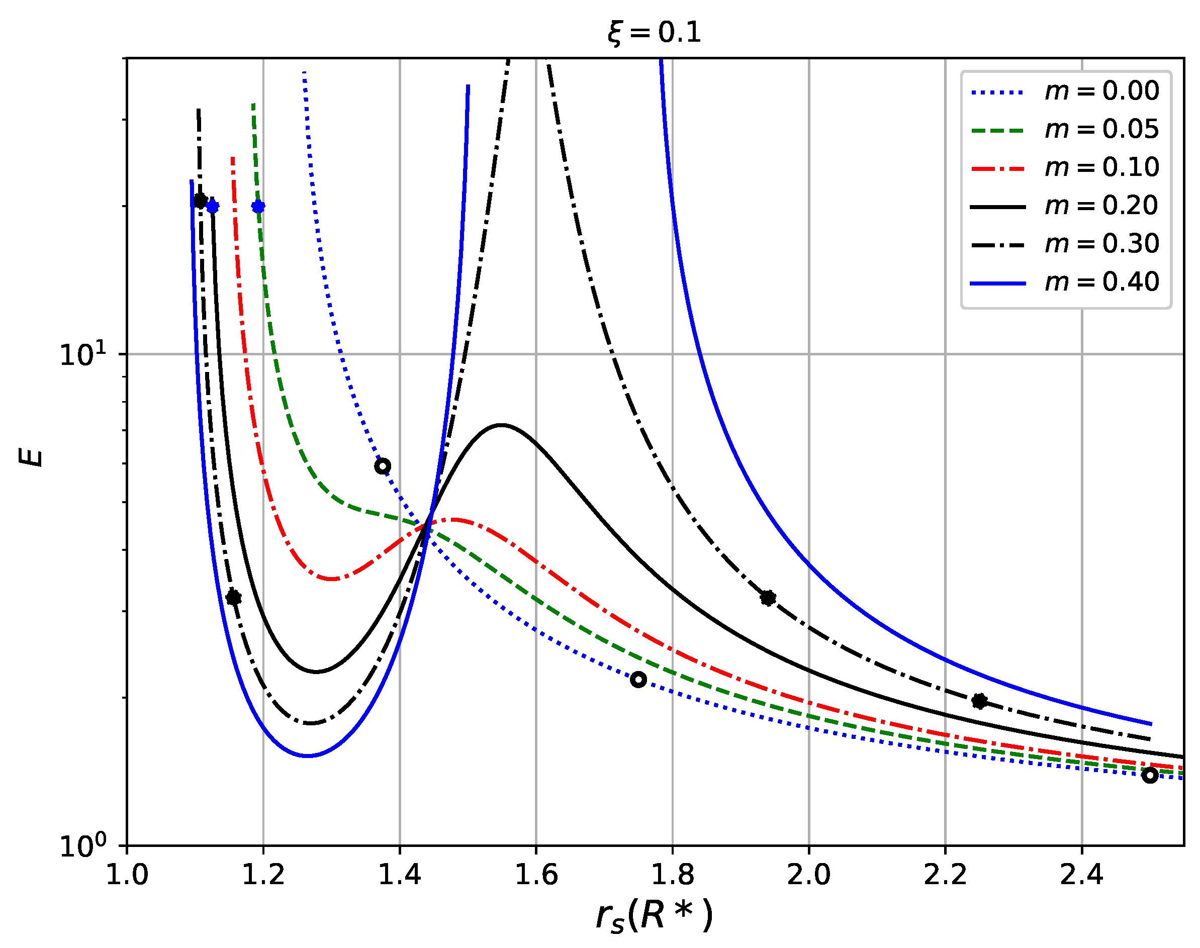
- The mechanical interaction of the piercing jet with the cocoon leads to the formation of strong shocks. The possibility of shock transition strongly depends upon the energy content of the jet. A jet with very high or low values of E and interacting with a moderate-strength cocoon () is less affected by it and is not capable of forming the shocks. However, the shock transition takes place for intermediate energies (Figure 5). Our hydrodynamic study captures the theoretical picture of the jet collimation by the cocoon in a GRB jet that is repeatedly seen in various numerical studies [11] and the formation of recollimation shocks above the stellar surfaces [78]. However, in the current model, we are only able to observe a single recollimation shock compared to such multiple shocks seen in some simulations. This is due to complicated structure and the time evolution of the cocoon interaction with the jet.
- The compression ratio , as well as the transition location of the generated shock are sensitive to all the free parameters, cocoon strength m, jet energy parameter E and the fluid composition . Stronger shocks are formed by higher collimation, as well as, the jets with greater energy.
- We show that the jets injected at sub relativistic speeds can be driven up to relativistic Lorentz factors following thermally driving. These jets comfortably achieve Lorentz factors ∼ few × 10. As we have ignored other possible accelerating agents such as magnetic driving and radiation in this study, the Lorentz factors are mildly relativistic. The Lorentz factor of GRB 170817A is constrained to be [79]. Further, the observationally constrained minimum Lorentz factors for several GRBs with early time radio emission are found to be in a typical range of 5.8–21 (Table 4 of [80]) which is again consistent with the magnitudes obtained in this study. The upper limit of Lorentz factors extends by an order of magnitude and the above-mentioned acceleration factors might be responsible there.
7. Missing Links in This Work and Future Prospects
Funding
Institutional Review Board Statement
Informed Consent Statement
Acknowledgments
Conflicts of Interest
References
- Narayan, R.; Paczyński, B.; Piran, T. Gamma-ray bursts as the death throes of massive binary stars. arXiv 1992, arXiv:astro-ph/9204001. [Google Scholar] [CrossRef]
- Janka, H.T.; Eberl, T.; Ruffert, M.; Fryer, C.L. Black hole-neutron star mergers as central engines of gamma-ray bursts. Astrophys. J. 1999, 527, L39. [Google Scholar] [CrossRef] [PubMed]
- Fryer, C.L.; Woosley, S.E.; Herant, M.; Davies, M.B. Merging white dwarf/black hole binaries and gamma-ray bursts. Astrophys. J. 1999, 520, 650. [Google Scholar] [CrossRef]
- Levinson, A.; Eichler, D. Baryon purity in cosmological gamma-ray bursts as a manifestation of event horizons. Astrophys. J. 1993, 418, 386. [Google Scholar] [CrossRef]
- Woosley, S.E. Gamma-ray bursts from stellar mass accretion disks around black holes. Astrophys. J. 1993, 405, 273–277. [Google Scholar] [CrossRef]
- MacFadyen, A.I.; Woosley, S.E. Collapsars: Gamma-ray bursts and explosions in “failed supernovae”. Astrophys. J. 1999, 524, 262. [Google Scholar] [CrossRef]
- Mizuta, A.; Aloy, M.A. Angular energy distribution of collapsar-jets. Astrophys. J. 2009, 699, 1261. [Google Scholar] [CrossRef]
- Begelman, M.C.; Cioffi, D.F. Overpressured cocoons in extragalactic radio sources. Astrophys. J. 1989, 345, L21–L24. [Google Scholar] [CrossRef]
- Matzner, C.D. Supernova hosts for gamma-ray burst jets: Dynamical constraints. Mon. Not. R. Astron. Soc. 2003, 345, 575–589. [Google Scholar] [CrossRef]
- Bromberg, O.; Nakar, E.; Piran, T. The propagation of relativistic jets in external media. Astrophys. J. 2011, 740, 100. [Google Scholar] [CrossRef]
- Nagakura, H.; Hotokezaka, K.; Sekiguchi, Y.; Shibata, M.; Ioka, K. Jet collimation in the ejecta of double neutron star mergers: A new canonical picture of short gamma-ray bursts. Astrophys. J. Lett. 2014, 784, L28. [Google Scholar] [CrossRef]
- Murguia-Berthier, A.; Montes, G.; Ramirez-Ruiz, E.; De Colle, F.; Lee, W.H. Necessary conditions for short gamma-ray burst production in binary neutron star mergers. Astrophys. J. Lett. 2014, 788, L8. [Google Scholar] [CrossRef]
- Lazzati, D.; Deich, A.; Morsony, B.J.; Workman, J.C. Off-axis emission of short γ-ray bursts and the detectability of electromagnetic counterparts of gravitational-wave-detected binary mergers. Mon. Not. R. Astron. Soc. 2017, 471, 1652–1661. [Google Scholar] [CrossRef]
- Murguia-Berthier, A.; Ramirez-Ruiz, E.; Montes, G.; De Colle, F.; Rezzolla, L.; Rosswog, S.; Takami, K.; Perego, A.; Lee, W.H. The properties of short gamma-ray burst jets triggered by neutron star mergers. Astrophys. J. Lett. 2017, 835, L34. [Google Scholar] [CrossRef]
- Harrison, R.; Gottlieb, O.; Nakar, E. Numerically calibrated model for propagation of a relativistic unmagnetized jet in dense media. Mon. Not. R. Astron. Soc. 2018, 477, 2128–2140. [Google Scholar] [CrossRef]
- Gottlieb, O.; Nakar, E.; Piran, T. The cocoon emission–an electromagnetic counterpart to gravitational waves from neutron star mergers. Mon. Not. R. Astron. Soc. 2018, 473, 576–584. [Google Scholar] [CrossRef]
- Gottlieb, O.; Nakar, E.; Piran, T.; Hotokezaka, K. A cocoon shock breakout as the origin of the γ-ray emission in GW170817. Mon. Not. R. Astron. Soc. 2018, 479, 588–600. [Google Scholar] [CrossRef]
- Yalinewich, A.; Beniamini, P. Plug Disintegration in GRB Jet Eruption. arXiv 2022, arXiv:2201.11177. [Google Scholar]
- Nakar, E.; Piran, T. The observable signatures of GRB cocoons. Astrophys. J. 2016, 834, 28. [Google Scholar] [CrossRef]
- Ramirez-Ruiz, E.; MacFadyen, A.I.; Lazzati, D. Precursors and e±pair loading from erupting fireballs. Mon. Not. R. Astron. Soc. 2002, 331, 197–202. [Google Scholar] [CrossRef]
- Zhang, W.; Woosley, S.E.; MacFadyen, A.I. Relativistic jets in collapsars. Astrophys. J. 2003, 586, 356. [Google Scholar] [CrossRef]
- Zhang, W.; Woosley, S.E.; Heger, A. The propagation and eruption of relativistic jets from the stellar progenitors of gamma-ray bursts. Astrophys. J. 2004, 608, 365. [Google Scholar] [CrossRef]
- Vyas, M.K.; Pe’er, A.; Eichler, D. A Backscattering-dominated Prompt Emission Model for the Prompt Phase of Gamma-Ray Bursts. Astrophys. J. 2021, 908, 9. [Google Scholar] [CrossRef]
- Vyas, M.K.; Pe’er, A.; Eichler, D. Predicting Spectral Parameters in the Backscattering-dominated Model for the Prompt Phase of GRBs. Astrophys. J. Lett. 2021, 918, L12. [Google Scholar] [CrossRef]
- Vyas, M.K.; Pe’er, A.; Eichler, D. GRB prompt phase spectra under backscattering dominated model. arXiv 2021, arXiv:2111.14163. [Google Scholar]
- Eichler, D.; Manis, H. Spectral lags explained as scattering from accelerated scatterers. Astrophys. J. 2008, 689, L85. [Google Scholar] [CrossRef]
- Eichler, D. Cloaked gamma-ray bursts. Astrophys. J. Lett. 2014, 787, L32. [Google Scholar] [CrossRef]
- Eichler, D. Short gamma-ray bursts viewed from far off-axis. Astrophys. J. Lett. 2018, 869, L4. [Google Scholar] [CrossRef]
- Morsony, B.J.; Lazzati, D.; Begelman, M.C. Temporal and angular properties of gamma-ray burst jets emerging from massive stars. Astrophys. J. 2007, 665, 569. [Google Scholar] [CrossRef]
- Mizuta, A.; Ioka, K. Opening angles of collapsar jets. Astrophys. J. 2013, 777, 162. [Google Scholar] [CrossRef]
- Duffell, P.C.; Quataert, E.; Kasen, D.; Klion, H. Jet dynamics in compact object mergers: GW170817 likely had a successful jet. Astrophys. J. 2018, 866, 3. [Google Scholar] [CrossRef]
- Gottlieb, O.; Globus, N. The Role of Jet–Cocoon Mixing, Magnetization, and Shock Breakout in Neutrino and Cosmic-Ray Emission from Short Gamma-Ray Bursts. Astrophys. J. Lett. 2021, 915, L4. [Google Scholar] [CrossRef]
- Gottlieb, O.; Levinson, A.; Nakar, E. High efficiency photospheric emission entailed by formation of a collimation shock in gamma-ray bursts. Mon. Not. R. Astron. Soc. 2019, 488, 1416–1426. [Google Scholar] [CrossRef]
- Hamidani, H.; Ioka, K. Jet propagation in expanding medium for gamma-ray bursts. Mon. Not. R. Astron. Soc. 2021, 500, 627–642. [Google Scholar] [CrossRef]
- Gottlieb, O.; Nakar, E.; Bromberg, O. The structure of hydrodynamic γ-ray burst jets. Mon. Not. R. Astron. Soc. 2021, 500, 3511–3526. [Google Scholar] [CrossRef]
- Hallinan, G.; Corsi, A.; Mooley, K.P.; Hotokezaka, K.; Nakar, E.; Kasliwal, M.M.; Kaplan, D.L.; Frail, D.A.; Myers, S.T.; Murphy, T.; et al. A radio counterpart to a neutron star merger. Science 2017, 358, 1579–1583. [Google Scholar] [CrossRef]
- Mooley, K.P.; Nakar, E.; Hotokezaka, K.; Hallinan, G.; Corsi, A.; Frail, D.A.; Horesh, A.; Murphy, T.; Lenc, E.; Kaplan, D.L.; et al. A mildly relativistic wide-angle outflow in the neutron-star merger event GW170817. Nature 2018, 554, 207–210. [Google Scholar] [CrossRef]
- Gottlieb, O.; Bromberg, O.; Singh, C.B.; Nakar, E. The structure of weakly magnetized γ-ray burst jets. Mon. Not. R. Astron. Soc. 2020, 498, 3320–3333. [Google Scholar] [CrossRef]
- Ito, H.; Just, O.; Takei, Y.; Nagataki, S. A global numerical model of the prompt emission in short gamma-ray bursts. Astrophys. J. 2021, 918, 59. [Google Scholar] [CrossRef]
- McMahon, E.; Kumar, P.; Piran, T. Reverse shock emission as a probe of gamma-ray burst ejecta. Mon. Not. R. Astron. Soc. 2006, 366, 575–785. [Google Scholar] [CrossRef][Green Version]
- Kumar, P.; Zhang, B. The physics of gamma-ray bursts & relativistic jets. Phys. Rep. 2015, 561, 1–109. [Google Scholar]
- Pe’Er, A. Physics of gamma-ray bursts prompt emission. Adv. Astron. 2015, 2015, 907321. [Google Scholar] [CrossRef]
- Covino, S.; Gotz, D. Polarization of prompt and afterglow emission of Gamma-Ray Bursts. arXiv 2016, arXiv:1605.03588. [Google Scholar]
- Ryde, F.; Lundman, C.; Acuner, Z. Emission from accelerating jets in gamma-ray bursts: Radiation-dominated flows with increasing mass outflow rates. Mon. Not. R. Astron. Soc. 2017, 472, 1897–1906. [Google Scholar] [CrossRef]
- Zhang, B.B.; Zhang, B.; Castro-Tirado, A.J.; Dai, Z.G.; Tam, P.H.; Wang, X.Y.; Hu, Y.D.; Karpov, S.; Pozanenko, A.; Zhang, F.W.; et al. Transition from fireball to Poynting-flux-dominated outflow in the three-episode GRB 160625B. Nat. Astron. 2018, 2, 69–75. [Google Scholar] [CrossRef]
- Chen, J.M.; Peng, Z.Y.; Du, T.T.; Yin, Y.; Wu, H. GRB 180720B: A GRB with Interesting Spectral Characteristics. Astrophys. J. 2021, 920, 53. [Google Scholar] [CrossRef]
- Gill, R.; Kole, M.; Granot, J. GRB Polarization: A Unique Probe of GRB Physics. Galaxies 2021, 9, 82. [Google Scholar] [CrossRef]
- Zhang, B.; Wang, Y.; Li, L. Dissecting the Energy Budget of a Gamma-Ray Burst Fireball. Astrophys. J. Lett. 2021, 909, L3. [Google Scholar] [CrossRef]
- Popham, R.; Woosley, S.E.; Fryer, C. Hyperaccreting black holes and gamma-ray bursts. Astrophys. J. 1999, 518, 356. [Google Scholar] [CrossRef]
- Levinson, A.; Eichler, D. Baryon loading of gamma-ray burst by neutron pickup. Astrophys. J. 2003, 594, L19. [Google Scholar] [CrossRef]
- Globus, N.; Levinson, A. Jet formation in GRBs: A semi-analytic model of MHD flow in Kerr geometry with realistic plasma injection. Astrophys. J. 2014, 796, 26. [Google Scholar] [CrossRef]
- Chattopadhyay, I.; Ryu, D. Effects of fluid composition on spherical flows around black holes. Astrophys. J. 2009, 694, 492. [Google Scholar] [CrossRef]
- Granot, J.; Cohen-Tanugi, J.; E Silva, E.D. Opacity buildup in impulsive relativistic sources. Astrophys. J. 2008, 677, 92. [Google Scholar] [CrossRef]
- Nauenberg, M.; Chapline, G., Jr. DETERMINAT10N of Properties of Cold Stars in General Relativity by a Variational Method. Astrophys. J. 1973, 179, 277–288. [Google Scholar] [CrossRef]
- Rhoades, C.E., Jr.; Ruffini, R. Maximum mass of a neutron star. Phys. Rev. Lett. 1974, 32, 324. [Google Scholar] [CrossRef]
- Kalogera, V.; Baym, G. The maximum mass of a neutron star. Astrophys. J. 1996, 470, L61. [Google Scholar] [CrossRef]
- Shapiro, S.L.; Teukolsky, S.A. Black Holes, White Dwarfs, and Neutron Stars: The Physics of Compact Objects; John Wiley & Sons: Hoboken, NJ, USA, 2008. [Google Scholar]
- Beniamini, P.; Petropoulou, M.; Duran, R.B.; Giannios, D. A lesson from GW170817: Most neutron star mergers result in tightly collimated successful GRB jets. Mon. Not. R. Astron. Soc. 2019, 483, 840–851. [Google Scholar] [CrossRef]
- Vyas, M.K.; Chattopadhyay, I. General relativistic study of astrophysical jets with internal shocks. Mon. Not. R. Astron. Soc. 2017, 469, 3270–3285. [Google Scholar] [CrossRef]
- Heng, K. Exoplanetary Atmospheres; Princeton University Press: Princeton, NJ, USA, 2017; Chapter 11. [Google Scholar]
- Ryu, D.; Chattopadhyay, I.; Choi, E. Equation of state in numerical relativistic hydrodynamics. Astrophys. J. Suppl. Ser. 2006, 166, 410. [Google Scholar] [CrossRef]
- Chandrasekhar, S. An Introduction to the Study of Stellar Structure; Courier Corporation: Chelmsford, MA, USA, 1957. [Google Scholar]
- Synge, J.L. The Relativistic Gas; North-Holland Pub. Co.: Amsterdam, The Netherlands; Interscience Publishers: New York, NY, USA, 1957. [Google Scholar]
- Vyas, M.K.; Kumar, R.; Mandal, S.; Chattopadhyay, I. Radiatively driven relativistic jets with variable adiabatic index equation of state. Mon. Not. R. Astron. Soc. 2015, 453, 2992–3014. [Google Scholar] [CrossRef]
- Chattopadhyay, I.; Ryu, D.; Jang, H. Proceedings 31st ASI Meeting, BASI; Khare, P., Ishwara-Chandra, C.H., Eds.; Astronomical Society of India Conference Series; ASI: Hyderabad, India, 2013; Volume 9, pp. 13–16. [Google Scholar]
- Vyas, M.K.; Chattopadhyay, I. Radiatively driven relativistic jets in Schwarzschild space-time. Astron. Astrophys. 2018, 614, A51. [Google Scholar] [CrossRef]
- Vyas, M.K.; Chattopadhyay, I. Radiatively-driven general relativistic jets. J. Astrophys. Astron. 2018, 39, 1–9. [Google Scholar] [CrossRef]
- Vyas, M.K.; Chattopadhyay, I. Radiation driving and heating of general relativistic jets under Compton-scattering regime. Mon. Not. R. Astron. Soc. 2019, 482, 4203–4214. [Google Scholar] [CrossRef]
- Sarkar, S.; Chattopadhyay, I.; Laurent, P. Two-temperature solutions and emergent spectra from relativistic accretion discs around black holes. Astron. Astrophys. 2020, 642, A209. [Google Scholar] [CrossRef]
- Kumar, R.; Yuan, Y.F. A Review of Possible Advective Disk Structures around a Black Hole with Two Types of Gas Inflows. Astrophys. J. 2021, 910, 9. [Google Scholar] [CrossRef]
- Joshi, R.K.; Chattopadhyay, I.; Ryu, D.; Yadav, L. Exact solution of one-dimensional relativistic jet with relativistic equation of state. Mon. Not. R. Astron. Soc. 2021, 502, 5227–5244. [Google Scholar] [CrossRef]
- Patra, S.; Majhi, B.R.; Das, S. Accretion dynamics of ideal fluid in the deformed Kerr Spacetime. arXiv 2022, arXiv:2202.10863. [Google Scholar]
- Struik, D.J. The origin of L’Hôpital’s rule. Math. Teach. 1963, 56, 257–260. [Google Scholar] [CrossRef]
- Taub, A.H. Relativistic rankine-hugoniot equations. Phys. Rev. 1948, 74, 328. [Google Scholar] [CrossRef]
- Ferrari, A.; Trussoni, E.; Rosner, R.; Tsinganos, K. On wind-type flows in astrophysical jets. i-the initial relativistic acceleration. Astrophys. J. 1985, 294, 397–418. [Google Scholar] [CrossRef]
- Habbal, S.R.; Tsinganos, K. Multiple transonic solutions with a new class of shock transitions in steady isothermal solar and stellar winds. J. Geophys. Res. Space Phys. 1983, 88, 1965–1975. [Google Scholar] [CrossRef]
- Kopp, R.A.; Holzer, T.E. Dynamics of coronal hole regions. Sol. Phys. 1976, 49, 43–56. [Google Scholar] [CrossRef]
- Lazzati, D.; Morsony, B.J.; López-Cámara, D. Numerical simulations of gamma-ray burst explosions. J. High Energy Astrophys. 2015, 7, 17–22. [Google Scholar] [CrossRef]
- Zou, Y.C.; Wang, F.F.; Moharana, R.; Liao, B.; Chen, W.; Wu, Q.; Lei, W.H.; Wang, F.Y. Determining the Lorentz factor and viewing angle of GRB 170817A. Astrophys. J. Lett. 2017, 852, L1. [Google Scholar] [CrossRef]
- Anderson, G.E.; van der Horst, A.J.; Staley, T.D.; Fender, R.P.; Wijers, R.A.; Scaife, A.M.; Rumsey, C.; Titterington, D.J.; Rowlinson, A.; Saunders, R.D. Probing the bright radio flare and afterglow of GRB 130427A with the Arcminute Microkelvin Imager. Mon. Not. R. Astron. Soc. 2014, 440, 2059–2065. [Google Scholar] [CrossRef][Green Version]
- Blandford, R.; Eichler, D. Particle acceleration at astrophysical shocks: A theory of cosmic ray origin. Phys. Rep. 1987, 154, 1–75. [Google Scholar] [CrossRef]











Publisher’s Note: MDPI stays neutral with regard to jurisdictional claims in published maps and institutional affiliations. |
© 2022 by the author. Licensee MDPI, Basel, Switzerland. This article is an open access article distributed under the terms and conditions of the Creative Commons Attribution (CC BY) license (https://creativecommons.org/licenses/by/4.0/).
Share and Cite
Vyas, M.K. Effect of Fluid Composition on a Jet Breaking out of a Cocoon in Gamma-Ray Bursts: A Relativistic de Laval Nozzle Treatment. Universe 2022, 8, 294. https://doi.org/10.3390/universe8060294
Vyas MK. Effect of Fluid Composition on a Jet Breaking out of a Cocoon in Gamma-Ray Bursts: A Relativistic de Laval Nozzle Treatment. Universe. 2022; 8(6):294. https://doi.org/10.3390/universe8060294
Chicago/Turabian StyleVyas, Mukesh K. 2022. "Effect of Fluid Composition on a Jet Breaking out of a Cocoon in Gamma-Ray Bursts: A Relativistic de Laval Nozzle Treatment" Universe 8, no. 6: 294. https://doi.org/10.3390/universe8060294
APA StyleVyas, M. K. (2022). Effect of Fluid Composition on a Jet Breaking out of a Cocoon in Gamma-Ray Bursts: A Relativistic de Laval Nozzle Treatment. Universe, 8(6), 294. https://doi.org/10.3390/universe8060294

