Dust in Clusters of Galaxies
Abstract
1. Introduction
1.1. Brief History
2. Later Observations
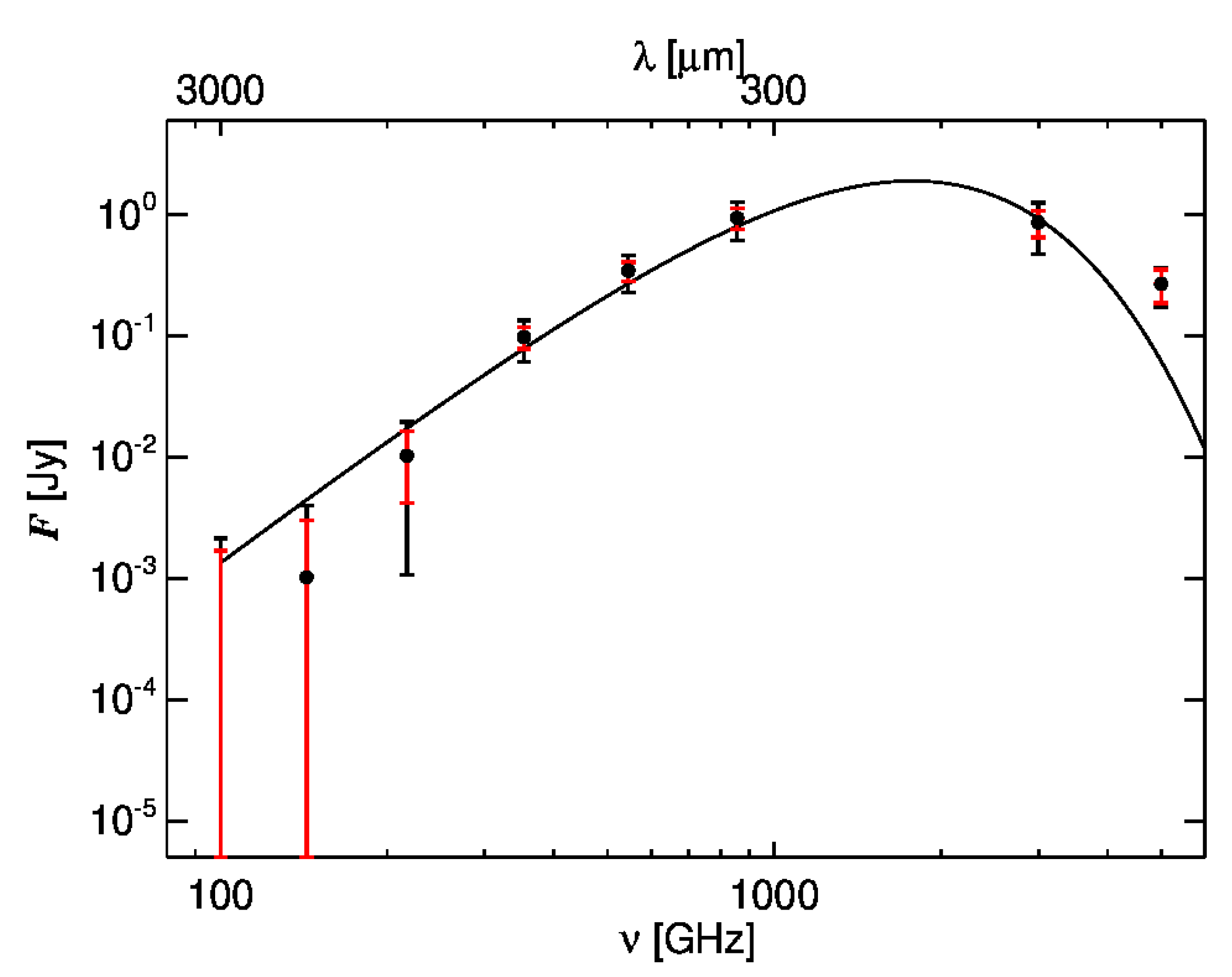
Planck Measurements
3. Dust Circulation in ICM
3.1. Dust Sputtering
3.2. Dust Injection from Galaxies
3.2.1. Shock Driven Galactic Winds
3.2.2. Radiatively Driven Galactic Winds
3.2.3. Cosmic Ray-Driven Galactic Winds
3.2.4. Tidal and Ram-Pressure Stripping
3.2.5. ICM Magnetic Field
4. Conclusions
- Continuous mass and dust exchange between the ICM and the ISM of cluster galaxies is supported by galactic winds driven by shock waves from supernovae, stellar radiation, and radiation from active galactic nuclei, by cosmic rays, by gas stripped of galaxies in tidal interactions and ram pressure from the ICM. This exchange appears to be sufficiently powerful and provides a channel for dust to fill the intracluster space. However, during the transport from galaxies to the ICM, dust experiences destructive action from sputtering in collisions with hot ions.
- Dust particles can survive thermal destruction, at least partly, because during the transport, they are shielded in denser clouds or streams. When the gas density in the interface between the cold gas in clouds and streams and the hot ICM gas is larger than ∼ cm, external heat flux can be radiated within a relatively thin layer and can stimulate local cooling of the ICM, protecting the confined dust. On the other hand, magnetic field on scales ≲1–2 kpc, which is comparable or larger than clouds and tidal streams spatial scales, can suppress thermal evaporation.
- The role of the magnetic field in the protecting of clouds’ thermal evaporation, as well as of hydrodynamical instabilities in the disintegration of them during their motion in the ICM is not entirely clear, and it needs to be further studied in numerical experiments.
- Observational measurements of the dust mass fraction in the ICM are rather challenging: in absorption, observational selection can be a reason because of a likely patchy distribution of dust throughout the intracluster space with a small covering factor, whereas the surface brightness of dust emission can be too weak for discriminating it from the CIB as the dust temperature is a rather low K. In addition, contaminations from Galactic cirrus can critically disguise a weak dust emission. The spatial correlation of a dust-like FIR thermal emission with tSZ effect in clusters seems to be a promising, though observationally challenging, indicator of dust survival in there.
- Overall, current observational constraints indicate rather wide ranging values for the amount of dust in the ICM, with extinction varying from ≲ 10−3 to . When direct measurements of the dust-to-gas mass fraction are possible, they imply –, although this estimate remains beset by observational uncertainties and sensitivity limitations. Among these, one of the most serious is connected to the dust type, as available data do not seem sufficient to distinguish between different types.
Author Contributions
Funding
Informed Consent Statement
Data Availability Statement
Acknowledgments
Conflicts of Interest
Abbreviations
| 1 | Cecil et al. [61] constrain the gas density in the ejected clumps and filaments cm with being the volume filling factor of the clumps. Simcoe et al. [85] have found a copious amount of relatively dense ( cm) clouds in the intergalactic medium at in the field of (physical) kpc around the sight-line toward the QSO HS 1700+6416. The clouds in this field are metal enriched and presumably injected by galactic winds from galaxies in the same range of redshifts. Their densities are at least two orders of magnitude higher than in the ambient IGM at . |
| 2 | Obtained with the Galaxy survey with the Cosmic Origin Spectrograph on the Hubble Space Telescope. |
References
- Zwicky, F. The Coma cluster of galaxies. Publ. Astron. Soc. Pac. 1951, 63, 61–71. [Google Scholar] [CrossRef]
- Zwicky, F. New Observations of Importance to Cosmology. In Problems in Extragalactic Research; IAUS, 15; McVittie, G.C., Ed.; Macmillan: New York, NY, USA, 1962; pp. 347–358. [Google Scholar]
- Karachentsev, I.D.; Lipovetskii, V.A. Absorbing Material in Clusters of Galaxies. Astron. Zhurnal 1968, 45, 1148. [Google Scholar]
- Bogart, R.S.; Wagoner, R.V. Clustering Effects among Clusters of Galaxies and Quasi-Stellar Sources. Astrophys. J. 1973, 181, 609–618. [Google Scholar]
- Boyle, B.J.; Fong, R.; Shanks, T. On the correlation of UVX QSOs with galaxies. Mon. Not. R. Astron. Soc. 1988, 231, 897–921. [Google Scholar] [CrossRef]
- Romani, R.W.; Maoz, D. The Angular Correlation of Quasars and Abell Clusters. Astrophys. J. 1992, 386, 36–41. [Google Scholar] [CrossRef]
- Véron-Cetty, M.-P.; Véron, P. A Catalogue of Quasars and Active Nuclei. ESO Sci. Rep. 1989, 7, 1. [Google Scholar]
- Renzini, A. Iron as a Tracer in Galaxy Clusters and Groups. Astrophys. J. 1997, 408, 35–43. [Google Scholar] [CrossRef]
- Polikarpova, O.L.; Shchekinov, Y.A. Dust in galaxy clusters. Astron. Rep. 2017, 61, 89–102. [Google Scholar] [CrossRef]
- Maoz, D. Limits on Dust in Rich Clusters of Galaxies from the Color of Background Quasars. Astrophys. J. 1995, 455, L115–L118. [Google Scholar] [CrossRef]
- Voshchinnikov, N.V.; Khersonskii, V.K. Infrared Emission of Dust Grains in the Clusters of Galaxies. Astrophys. Space Sci. 1984, 103, 301–319. [Google Scholar] [CrossRef]
- Hu, E.M.; Cowie, L.L.; Wang, Z. Long-slit spectroscopy of gas in the cores of X-ray luminous clusters. Astrophys. J. Suppl. Ser. 1985, 59, 447–498. [Google Scholar] [CrossRef]
- Dwek, E.; Rephaeli, Y.; Mather, J.C. Infrared Emission from Dust in the Coma Cluster of Galaxies. Astrophys. J. 1990, 350, 104–109. [Google Scholar] [CrossRef]
- Shchekinov, Y.A.; Lukash, V.N.; Mikheeva, E.V.; Pilipenko, S.V. Interstellar and intergalactic gas in the far IR and submillimeter spectral ranges. Physics-Uspekhi 2017, 60, 961. [Google Scholar] [CrossRef]
- Nath, B.B.; Sethi, S.K.; Shchekinov, Y.A. Photoelectric heating for dust grains at high redshifts. Mon. Not. R. Astron. Soc. 1999, 303, 1–14. [Google Scholar] [CrossRef]
- Ferrara, A.; Nath, B.B.; Sethi, S.K.; Shchekinov, Y.A. Limits on dust and metallicity evolution of Lyalpha forest clouds from COBE. Mon. Not. R. Astron. Soc. 1999, 303, 301–308. [Google Scholar] [CrossRef][Green Version]
- Bianchi, S.; Ferrara, A. Intergalactic medium metal enrichment through dust sputtering. Mon. Not. R. Astron. Soc. 2005, 358, 379–396. [Google Scholar] [CrossRef]
- Montier, L.A.; Giard, M. Dust emission from clusters of galaxies: Statistical detection. Astron. Astrophys. 2005, 439, 35–44. [Google Scholar] [CrossRef][Green Version]
- Ménard, B.; Scranton, R.; Fukugita, M.; Richards, G. Measuring the galaxy-mass and galaxy-dust correlations through magnification and reddening. Mon. Not. R. Astron. Soc. 2010, 405, 1025–1039. [Google Scholar] [CrossRef]
- Shchekinov, Y.A.; Nath, B.B. Dust in the IGM: Pro and contra. Astrophys. Space Sci. 2011, 335, 207–210. [Google Scholar] [CrossRef]
- Vasiliev, E.O.; Shchekinov, Y.A. Expulsion of dust from dark-matter halos at high redshifts. Astron. Rep. 2014, 58, 497–505. [Google Scholar] [CrossRef]
- Zhu, G.; Ménard, B.; Bizyaev, D.; Brewington, H.; Ebelke, G.; Ho, S.; Kinemuchi, K.; Malanushenko, V.; Malanushenko, E.; Marchante, M.; et al. The large-scale distribution of cool gas around luminous red galaxies. Mon. Not. R. Astron. Soc. 2014, 439, 3139–3155. [Google Scholar] [CrossRef]
- Peek, J.E.G.; Ménard, B.; Corrales, L. Dust in circumgalactic medium of low-redshift galaxies. Astrophys. J. 2015, 813, 7. [Google Scholar] [CrossRef]
- Erler, J.; Basu, K.; Chluba, J.; Bertoldi, F. Planck’s view on the spectrum of the Sunyaev-Zeldovich effect. Mon. Not. R. Astron. Soc. 2018, 476, 3360–3381. [Google Scholar] [CrossRef]
- Melin, J.-B.; Bartlett, J.G.; Cai, Z.-Y.; De Zotti, G.; Delabrouille, J.; Roman, M.; Bonaldi, A. Dust in galaxy clusters: Modeling at millimeter wavelengths and impact on Planck cluster cosmology. Astron. Astrophys. 2018, 617, A75. [Google Scholar] [CrossRef]
- Vogelsberger, M.; McKinnon, R.; O’Neil, S.; Marinacci, F.; Torrey, P.; Kannan, R. Dust in and around galaxies: Dust in cluster environments and its impact on gas cooling. Mon. Not. R. Astron. Soc. 2019, 487, 4870–4883. [Google Scholar] [CrossRef]
- Gjergo, E.; Palla, M.; Matteucci, F.; Lacchin, E.; Biviano, A.; Fan, X. On the origin of dust in galaxy clusters at low-to-intermediate redshift. Mon. Not. R. Astron. Soc. 2020, 493, 2782–2792. [Google Scholar] [CrossRef]
- Stickel, M.; Klaas, U.; Lemke, D.; Mattila, K. Far-Infrared emission from intracluster dust in Abell clusters. Astron. Astrophys. 2002, 383, 367–383. [Google Scholar] [CrossRef]
- Chelouche, D.; Koester, B.J.; Bowen, D.V. The dust content of galaxy clusters. Astrophys. J. 2007, 671, L97–L100. [Google Scholar] [CrossRef]
- McGee, S.L.; Balogh, M.L. Dust accretion and destruction in galaxy groups and clusters. Mon. Not. R. Astron. Soc. 2021, 405, 2069–2077. [Google Scholar] [CrossRef][Green Version]
- Arnaud, M.; Pointecouteau, E.; Pratt, G.W. The structural and scaling properties of nearby galaxy clusters. II. The M-T relation. Astron. Astrophys. 2005, 441, 893–903. [Google Scholar] [CrossRef]
- Anand, A.; Kauffmann, G.; Nelson, D. Cool circumgalactic gas in galaxy clusters: Connecting the DESI legacy imaging survey and SDSS DR16 MgII absorbers. arXiv 2022, arXiv:2201.07811. [Google Scholar]
- Longobardi, A.; Boselli, A.; Boissier, S.; Bianchi, S.; Andreani, P.; Sarpa, E.; Nanni, A.; Miville-Deschênes, M. The GALEX ultraviolet Virgo Cluster Survey (GUViCS) VIII. Diffuse dust in the Virgo intra-cluster space. Astron. Astrophys. 2020, 633, L7–L11. [Google Scholar] [CrossRef]
- Muller, S.; Wu, S.Y.; Hsieh, B.C.; González, R.A.; Loinard, L.; Yee, H.K.C.; Gladders, M.D. Searching for Dust in the Intracluster Medium from Reddening of Background Galaxies. Astrophys. J. 2008, 680, 975–980. [Google Scholar] [CrossRef]
- Bai, L.; Rieke, J.H.; Rieke, M.J. A search for infrared emission from intracluster dust in Abell 2029. Astrophys. J. 2007, 668, L5–L99. [Google Scholar] [CrossRef][Green Version]
- Walker, S.A.; Fabian, A.C.; Sanders, J.S.; George, M.R.; Tawara, Y. X-ray observations of the galaxy cluster Abell 2029 to the virial radius. Mon. Not. R. Astron. Soc. 2012, 422, 3503–3515. [Google Scholar] [CrossRef]
- Roncarelli, M.; Pointecouteau, E.; Giard, M.; Montier, L.; Pello, R. Infrared properties of the SDSS-maxBCG galaxy clusters. Astron. Astrophys. 2010, 512, A20. [Google Scholar] [CrossRef][Green Version]
- Gutiérrez, C.M.; López-Corredoira, M. Dust in Clusters: Separating the Contribution of Galaxies and Intracluster Media. Astrophys. J. 2017, 835, 111. [Google Scholar] [CrossRef]
- Planck collaboration: Adam, R.; Ade, P.A.R.; Aghanim, N.; Ashdown, M.; Aumont, J.; Baccigalupi, C.; Banday, A.J.; Barreiro, R.B.; Bartolo, N.; Battaner, E.; et al. Planck intermediate results XLIII. Spectral energy distribution of dust in clusters of galaxies. Astron. Astrophys. 2016, 596, A104. [Google Scholar] [CrossRef]
- Zelko, I.A.; Finkbeiner, D.P. Impact of Dust on Spectral Distortion Measurements of the Cosmic Microwave Background. Astrophys. J. 2021, 914, 68. [Google Scholar] [CrossRef]
- Casey, C.M. The Ubiquity of Coeval Starbursts in Massive Galaxy Cluster Progenitors. Astrophys. J. 2016, 824, 36. [Google Scholar] [CrossRef]
- Cheng, T.; Clements, D.L.; Greenslade, J.; Cairns, J.; Andreani, P.; Bremer, M.; Conversi, L.; Cooray, A.; Dannerbauer, H.; De Zotti, G.; et al. SCUBA-2 observations of candidate starbursting protoclusters selected by Planck and Herschel-SPIRE. Mon. Not. R. Astron. Soc. 2019, 490, 3840–3859. [Google Scholar] [CrossRef]
- Kubo, M.; Toshikawa, J.; Kashikawa, N.; Chiang, Y.-K.; Overzier, R.; Uchiyama, H.; Clements, D.L.; Alexander, D.M.; Matsuda, Y.; Kodama, T.; et al. Planck Far-infrared Detection of Hyper Suprime-Cam Protoclusters at z ∼ 4: Hidden AGN and Star Formation Activity. Astrophys. J. 2019, 887, 214. [Google Scholar] [CrossRef]
- Smith, C.M.A.; Gear, W.K.; Smith, M.W.L.; Papageorgiou, A.; Eales, S.A. Revealing dust-obscured star formation in CLJ1449+0856, a cluster at z = 2. Mon. Not. R. Astron. Soc. 2019, 486, 4304–4319. [Google Scholar] [CrossRef]
- Draine, B.T.; Salpeter, E.E. Destruction mechanisms for interstellar dust. Astrophys. J. 1979, 231, 436–455. [Google Scholar] [CrossRef]
- Jones, A.P.; Tielens, A.G.G.M.; Hollenbach, D.J.; McKee, C.F. Grain Destruction in Shocks in the Interstellar Medium. Astrophys. J. 1994, 433, 797–810. [Google Scholar] [CrossRef]
- Dwek, E.; Foster, S.M.; Vancura, O. Cooling, Sputtering, and Infrared Emission from Dust Grains in Fast Nonradiative Shocks. Astrophys. J. 1996, 457, 244–252. [Google Scholar] [CrossRef]
- Ota, N.; Kitayama, T.; Masai, K.; Mitsuda, K. LX−T Relation and Related Properties of Galaxy Clusters. Astrophys. J. 2006, 640, 673–690. [Google Scholar] [CrossRef]
- Ota, N. X-ray Spectroscopy of Clusters of Galaxies. Res. Astron. Astrophys. 2012, 12, 973–994. [Google Scholar] [CrossRef]
- Draine, B. Physics of the Interstellar and Intergalactic Medium; Princeton University Press: Princeton, NJ, USA, 2011; 540p, ISBN 978-0-691-12214-4. [Google Scholar]
- Larson, R.B. Effects of supernovae on the early evolution of galaxies. Mon. Not. R. Astron. Soc. 1974, 169, 229–246. [Google Scholar] [CrossRef]
- Saito, M. Note: On the Formation of Dwarf Spheroidal Galaxies. Publ. Astron. Soc. Jpn. 1979, 31, 193–198. [Google Scholar]
- Dekel, A.; Silk, J. The Origin of Dwarf Galaxies, Cold Dark Matter, and Biased Galaxy Formation. Astrophys. J. 1986, 303, 39–55. [Google Scholar] [CrossRef]
- Suchkov, A.A.; Balsara, D.S.; Heckman, T.M.; Leitherer, C. Dynamics and X-ray Emission of a Galactic Superwind Interacting with Disk and Halo Gas. Astrophys. J. 1994, 430, 511–532. [Google Scholar] [CrossRef]
- Mac-Low, M.-M.; Ferrara, A. Starburst-driven Mass Loss from Dwarf Galaxies: Efficiency and Metal Ejection. Astrophys. J. 1999, 513, 142–155. [Google Scholar] [CrossRef]
- Ferrara, A.; Tolstoy, E. The role of stellar feedback and dark matter in the evolution of dwarf galaxies. Mon. Not. R. Astron. Soc. 2000, 313, 291–309. [Google Scholar] [CrossRef]
- Hopkins, P.F.; Hernquist, L. A new empirical method to infer the starburst history of the Universe from local galaxy properties. Mon. Not. R. Astron. Soc. 2010, 402, 985–1004. [Google Scholar] [CrossRef][Green Version]
- Bergvall, N.; Marquart, T.; Way, M.J. Local starburst galaxies and their descendants. Statistics from the Sloan Digital Sky Survey. Astron. Astrophys. 2016, 587, A72. [Google Scholar] [CrossRef]
- Stuber, S.K.; Saito, T.; Schinnerer, E.; Emsellem, E.; Querejeta, M.; Williams, T.G.; Barnes, A.T.; Bigiel, F.; Blanc, G.; Dale, D.A.; et al. Frequency and nature of central molecular outflows in nearby star-forming disk galaxies. Astron. Astrophys. 2021, 653, A172. [Google Scholar] [CrossRef]
- Veilleux, S.; Maiolino, R.; Bolatto, A.D.; Aalto, S. Cool outflows in galaxies and their implications. Astron. Astrophys. Rev. 2020, 28, 2. [Google Scholar] [CrossRef]
- Cecil, G.; Bland-Hawthorn, J.; Veilleux, S.; Filippenko, A.V. Jet- and Wind-driven Ionized Outflows in the Superbubble and Star-forming Disk of NGC 3079. Astrophys. J. 2001, 555, 338–355. [Google Scholar] [CrossRef]
- Hodges-Kluck, E.J.; Yukita, M.; Tanner, R.; Ptak, A.F.; Bregman, J.N.; Li, J. A 60 kpc Galactic Wind Cone in NGC 3079. Astrophys. J. 2020, 903, 35. [Google Scholar] [CrossRef]
- Heckman, T.M.; Dahlem, M.; Lehnert, M.D.; Fabbiano, G.; Gilmore, D.; Waller, W.H. An X-Ray and Optical Study of the Dwarf Galaxy NGC 1569: Evidence for a Starburst-driven Outflow. Astrophys. J. 1995, 448, 98–118. [Google Scholar] [CrossRef]
- Martin, C.L. Mapping Large-Scale Gaseous Outflows in Ultraluminous Galaxies with Keck II ESI Spectra: Variations in Outflow Velocity with Galactic Mass. Astrophys. J. 2005, 621, 227–245. [Google Scholar] [CrossRef]
- Strickland, D.K.; Heckman, T.M. Supernova Feedback Efficiency and Mass Loading in the Starburst and Galactic Superwind Exemplar M82. Astrophys. J. 2009, 697, 2030–2056. [Google Scholar] [CrossRef]
- Ferrara, A.; Scannapieco, E. On the Formation of Molecular Clumps in QSO Outflows. Astrophys. J. 2016, 833, 46. [Google Scholar] [CrossRef]
- Klein, R.I.; McKee, C.F.; Colella, P. On the Hydrodynamic Interaction of Shock Waves with Interstellar Clouds. I. Nonradiative Shocks in Small Clouds. Astrophys. J. 1994, 420, 213–236. [Google Scholar] [CrossRef]
- Cooper, J.L.; Bicknell, G.V.; Sutherland, R.S.; Bland-Hawthorn, J. Starburst-Driven Galactic Winds: Filament Formation and Emission Processes. Astrophys. J. 2009, 703, 330–347. [Google Scholar] [CrossRef]
- Scannapieco, E.; Brüggen, M. The Launching of Cold Clouds by Galaxy Outflows. I. Hydrodynamic Interactions with Radiative Cooling. Astrophys. J. 2015, 805, 158. [Google Scholar] [CrossRef]
- Schneider, E.E.; Robertson, B.E. Hydrodynamical Coupling of Mass and Momentum in Multiphase Galactic Winds. Astrophys. J. 2017, 834, 144. [Google Scholar] [CrossRef]
- Zhang, D.; Thompson, T.A.; Quataert, E.; Murray, N. Entrainment in trouble: Cool cloud acceleration and destruction in hot supernova-driven galactic winds. Mon. Not. R. Astron. Soc. 2017, 468, 4801–4814. [Google Scholar] [CrossRef]
- Armillotta, L.; Fraternali, F.; Werk, J.K.; Prochaska, J.X.; Marinacci, F. The survival of gas clouds in the circumgalactic medium of Milky Way-like galaxies. Mon. Not. R. Astron. Soc. 2017, 470, 114–125. [Google Scholar] [CrossRef]
- Farber, R.J.; Gronke, M. The Survival of Multiphase Dusty Clouds in Hot Winds. Mon. Not. R. Astron. Soc. 2022, 510, 551–567. [Google Scholar] [CrossRef]
- Graham, J.A.; Lawrie, D.G. A large shell nebula in NGC 55. Astron. Astrophys. 1982, 253, L73. [Google Scholar] [CrossRef]
- Ferguson, A.M.N.; Wyse, R.F.G.; Gallagher, J.S. The Spectacular Ionized Interstellar Medium of NGC 55. Astrophys. J. 1996, 112, 2567–2575. [Google Scholar] [CrossRef][Green Version]
- Otte, B.; Dettmar, R.-J. Long slit spectroscopy of diffuse ionized gas in NGC 55. Astron. Astrophys. 1999, 343, 705–712. [Google Scholar]
- Tüllmann, R.; Rosa, M.R.; Elwert, T.; Bomans, D.J.; Ferguson, A.M.N.; Dettmar, R.-J. Star formation in gaseous galaxy halos. VLT-spectroscopy of extraplanar H II-regions in NGC 55. Astron. Astrophys. 2003, 412, 69–80. [Google Scholar] [CrossRef]
- Stein, Y.; Bomans, D.J.; Ferguson, A.M.N.; Dettmar, R.-J. Extraplanar HII regions in the edge-on spiral galaxies NGC 3628 and NGC 4522. Astron. Astrophys. 2017, 605, A5. [Google Scholar] [CrossRef]
- Howk, J.C.; Rueff, K.M.; Lehner, N.; Wotta, C.B.; Croxall, K.; Savage, B.D. Extraplanar H II Regions in Spiral Galaxies. II. In Situ Star Formation in the Interstellar Thick Disk of NGC 4013. Astrophys. J. 2018, 856, 167. [Google Scholar] [CrossRef]
- Balbus, S.A. Classical thermal evaporation of clouds—An electrostatic analogy. Astrophys. J. 1985, 291, 518–522. [Google Scholar] [CrossRef]
- Begelman, M.C.; McKee, C.F. Global Effects of Thermal Conduction on Two-Phase Media. Astrophys. J. 1990, 358, 375–391. [Google Scholar] [CrossRef]
- McKee, C.F.; Begelman, M.C. Steady Evaporation and Condensation of Isolated Clouds in Hot Plasma. Astrophys. J. 1990, 358, 392–398. [Google Scholar] [CrossRef]
- Ferrara, A.; Shchekinov, Y. Dynamics of Conductive/Cooling Fronts: Cloud Implosion and Thermal Solitons. Astrophys. J. 1993, 417, 595–612. [Google Scholar] [CrossRef]
- Spitzer, L. Physics of Fully Ionized Gases; Interscience: New York, NY, USA, 1962. [Google Scholar]
- Simcoe, R.A.; Sargent, W.L.W.; Rauch, M.; Becker, G. Observations of Chemically Enriched QSO Absorbers near z ∼ 2.3 Galaxies: Galaxy Formation Feedback Signatures in the Intergalactic Medium. Astrophys. J. 2006, 637, 649–668. [Google Scholar] [CrossRef]
- Salak, D.; Nakai, N.; Kitamoto, S. CO (J = 3 − 2) observations of the starburst galaxy NGC 1808 with ASTE. Publ. Astron. Soc. Jpn. 2014, 66, 96. [Google Scholar] [CrossRef]
- Bolatto, A.D.; Warren, S.R.; Leroy, A.K.; Walter, F.; Veilleux, S.; Ostriker, E.C.; Ott, J.; Zwaan, M.; Fisher, D.B.; Weiss, A.; et al. Suppression of star formation in the galaxy NGC 253 by a starburst-driven molecular wind. Nature 2013, 499, 450–453. [Google Scholar] [CrossRef] [PubMed]
- Doroshkevich, A.G.; Zel’dovich, Y.B. Interface between a hot and cold gas and the evolution of cold clouds in intergalactic space. J. Exp. Theor. Phys. 1981, 53, 405–412. [Google Scholar]
- Meerson, B. Nonlinear dynamics of radiative condensations in optically thin plasmas. Rev. Mod. Phys. 1996, 68, 215–257. [Google Scholar] [CrossRef]
- Kooij, R.; Grønnow, A.; Fraternali, F. Efficiency of thermal conduction in a magnetized circumgalactic medium. Mon. Not. R. Astron. Soc. 2021, 502, 1263–1278. [Google Scholar] [CrossRef]
- Cowie, L.L.; McKee, C.F. The evaporation of spherical clouds in a hot gas. I. Classical and saturated mass loss rates. Astrophys. J. 1977, 211, 135–146. [Google Scholar] [CrossRef]
- Vasiliev, E.O. Non-equilibrium cooling rate for a collisionally cooled metal-enriched gas. Mon. Not. R. Astron. Soc. 2013, 431, 638–647. [Google Scholar] [CrossRef]
- Leroy, A.K.; Walter, F.; Martini, P.; Roussel, H.; Sandstrom, K.; Ott, J.; Weiss, A.; Bolatto, A.D.; Schuster, K.; Dessauges-Zavadsky, M. The Multi-phase Cold Fountain in M82 Revealed by a Wide, Sensitive Map of the Molecular Interstellar Medium. Astrophys. J. 2015, 814, 83. [Google Scholar] [CrossRef]
- Bolatto, A.D.; Leroy, A.K.; Levy, R.C.; Meier, D.S.; Mills, E.A.C.; Thompson, T.A.; Emig, K.L.; Veilleux, S.; Ott, J.; Gorski, M.; et al. ALMA Imaging of a Galactic Molecular Outflow in NGC4945. Astrophys. J. 2021, 923, 83. [Google Scholar] [CrossRef]
- Tumlinson, J.; Thom, C.; Werk, J.K.; Prochaska, J.X.; Tripp, T.M.; Weinberg, D.H.; Peeples, M.S.; O’Meara, J.M.; Oppenheimer, B.D.; Meiring, J.D.; et al. The Large, Oxygen-Rich Halos of Star-Forming Galaxies Are a Major Reservoir of Galactic Metals. Science 2011, 334, 948. [Google Scholar] [CrossRef] [PubMed]
- Tumlinson, J.; Peeples, M.S.; Werk, J.K. The Circumgalactic Medium. Annu. Rev. Astron. Astrophys. 2017, 55, 389–432. [Google Scholar] [CrossRef]
- Bordoloi, R.; Tumlinson, J.; Werk, J.K.; Oppenheimer, B.D.; Peeples, M.S.; Prochaska, J.X.; Tripp, T.M.; Katz, N.; Davé, R.; Fox, A.J.; et al. The COS-Dwarfs Survey: The Carbon Reservoir around Sub-L∗ Galaxies. Astrophys. J. 2014, 796, 136. [Google Scholar] [CrossRef]
- Boselli, A.; Fossati, M.; Sun, M. Ram Pressure Stripping in High-Density Environments. arXiv 2021, arXiv:2109.13614. [Google Scholar]
- Molnar, D.C.; Serra, P.; van der Hulst, T.; Jarrett, T.H.; Boselli, A.; Cortese, L.; Healy, J.; de Blok, E.; Cappellari, M.; Hess, K.M.; et al. The Westerbork Coma Survey: A blind, deep, high-resolution HI survey of the Coma cluster. arXiv 2021, arXiv:2112.12244. [Google Scholar] [CrossRef]
- Müller, A.; Ignesti, A.; Poggianti, B.; Moretti, A.; Ramatsoku, M.; Dettmar, R.-J. Role of Magnetic Fields in Ram Pressure Stripped Galaxies. Galax 2021, 9, 116. [Google Scholar] [CrossRef]
- Ferrara, A.; Ferrini, F.; Barsella, B.; Aiello, S. Removal of dust from spiral galaxies. Astron. Astrophys. 1990, 240, 249. [Google Scholar]
- Franco, J.; Ferrini, F.; Ferrara, A.; Barsella, B. Photolevitation of Diffuse Clouds. Astrophys. J. 1991, 366, 443. [Google Scholar] [CrossRef]
- Ferrara, A.; Ferrini, F.; Franco, J.; Barsella, B. Evolution of Dust Grains through a Hot Gaseous Halo. Astrophys. J. 1991, 381, 137. [Google Scholar] [CrossRef]
- Ferrara, A. Can Galactic HI Be Radiatively Supported? Astrophys. J. 1993, 407, 157–162. [Google Scholar] [CrossRef]
- Shustov, B.M.; Vibe, D.Z. The sweeping of dust out of the Galaxy. Astron. Rep. 1995, 39, 578. [Google Scholar]
- Sivkova, E.E.; Wiebe, D.S.; Shustov, B.M. The Sweeping-out of Dust by Radiation Pressure of Stars and Chemical Composition Peculiarities of Disc Galaxies. Astron. Rep. 2021, 65, 370–384. [Google Scholar] [CrossRef]
- Rossa, J.; Dettmar, R.-J.; Walterbos, R.A.M.; Norman, C.A. A Hubble Space Telescope WFPC2 Investigation of the Disk-Halo Interface in NGC 891. Astron. J. 2004, 128, 674. [Google Scholar] [CrossRef]
- Thompson, T.W.J.; Howk, J.C.; Savage, B.D. Hubble Space Telescope Imaging of Extraplanar Dust Structures in the Edge-On Spiral NGC 4217. Astron. J. 2004, 128, 662. [Google Scholar] [CrossRef]
- Irwin, J.A.; Madden, S.C. Discovery of PAHs in the halo of NGC 5907. Astron. Astrophys. 2006, 445, 123–141. [Google Scholar] [CrossRef]
- Irwin, J.A.; Kennedy, H.; Parkin, T.; Madden, S. PAHs in the halo of NGC 5529. Astron. Astrophys. 2007, 474, 461–472. [Google Scholar] [CrossRef][Green Version]
- Rand, R.J.; Wood, K.; Benjamin, R.A.; Meidt, S.E. Infrared Spectroscopy of the Diffuse Ionized Halos of Edge-on Galaxies. Astrophys. J. 2011, 728, 163. [Google Scholar] [CrossRef][Green Version]
- Sethi, S.K.; Shchekinov, Y.; Nath, B.B. The Mysterious 6565 Å Absorption Feature of the Galactic Halo. Astrophys. J. Lett. 2017, 850, L20. [Google Scholar] [CrossRef]
- Zhang, H.; Zaritsky, D. The Galaxy’s veil of excited hydrogen. Nat. Astron. 2017, 1, 0103. [Google Scholar] [CrossRef]
- Schröer, A.; Shchekinov, Y. Radiation Induced Dynamics of the Galactic Halo. Astrophys. Space Sci. 2000, 272, 99. [Google Scholar] [CrossRef]
- Dettmar, R.-J. (Ruhr-University Bochum, Astronomical Institute, 44780 Bochum, Germany); Shchekinov, Y.A. (Lebedev Physical Institute of Russian Academy of Sciences, 53 Leninskiy Ave., Moscow 119991, Russia). Personal communication, 2005.
- Sofue, Y.; Wakamatsu, K.-I.; Malin, D.F. Dark Filaments in the Galaxy NGC 253: A Boiling Galactic Disk. Astron. J. 1994, 108, 2102. [Google Scholar] [CrossRef]
- Koo, B.-C.; Heiles, C.; Reach, W.T. Galactic Worms. I. Catalog of Worm Candidates. Astrophys. J. 1992, 390, 108. [Google Scholar] [CrossRef]
- Scoville, N. Starburst and AGN Connections and Models. J. Korean Astron. Soc. 2003, 36, 167–175. [Google Scholar] [CrossRef]
- Thompson, T.A.; Quataert, E.; Murray, N. Radiation Pressure-supported Starburst Disks and Active Galactic Nucleus Fueling. Astrophys. J. 2005, 630, 167–185. [Google Scholar] [CrossRef]
- Krumholz, M.R.; Matzner, C.D. The Dynamics of Radiation-pressure-dominated H II Regions. Astrophys. J. 2009, 703, 1352–1362. [Google Scholar] [CrossRef]
- Murray, N.; Ménard, B.; Thompson, T.A. Radiation Pressure from Massive Star Clusters as a Launching Mechanism for Super-galactic Winds. Astrophys. J. 2011, 735, 66. [Google Scholar] [CrossRef]
- Gupta, S.; Nath, B.B.; Sharma, P.; Shchekinov, Y. How radiation affects superbubbles: Through momentum injection in early phase and photo-heating thereafter. Mon. Not. R. Astron. Soc. 2016, 462, 4532–4548. [Google Scholar] [CrossRef]
- Murray, N.; Quataert, E.; Thompson, T.A. On the Maximum Luminosity of Galaxies and Their Central Black Holes: Feedback from Momentum-driven Winds. Astrophys. J. 2005, 618, 569–585. [Google Scholar] [CrossRef]
- Nath, B.B.; Silk, J. Starburst-driven galactic outflows. Mon. Not. R. Astron. Soc. 2009, 396, L90. [Google Scholar] [CrossRef]
- Hopkins, P.F.; Quataert, E.; Murray, N. Stellar feedback in galaxies and the origin of galaxy-scale winds. Mon. Not. R. Astron. Soc. 2012, 421, 3522. [Google Scholar] [CrossRef]
- Sharma, M.; Nath, B.B.; Shchekinov, Y. Dust-driven Wind from Disk Galaxies. Astrophys. J. 2011, 736, L27. [Google Scholar] [CrossRef]
- Zhang, D. A Review of the Theory of Galactic Winds Driven by Stellar Feedback. Galaxies 2018, 6, 114. [Google Scholar] [CrossRef]
- Huang, X.; Davis, S.W.; Zhang, D. Dusty Cloud Acceleration with Multiband Radiation. Astrophys. J. 2020, 893, 50. [Google Scholar] [CrossRef]
- Zhang, D.; Davis, S.W.; Jiang, Y.-F.; Stone, J.M. Dusty Cloud Acceleration by Radiation Pressure in Rapidly Star-forming Galaxies. Astrophys. J. 2018, 854, 110. [Google Scholar] [CrossRef]
- Zweibel, E.G.; Heiles, C. Magnetic fields in galaxies and beyond. Nature 1997, 385, 131. [Google Scholar] [CrossRef]
- Beck, R. Galactic and Extragalactic Magnetic Fields. Space Sci. Rev. 2001, 99, 243. [Google Scholar] [CrossRef]
- Beck, R. Magnetic Fields in Galaxies. Space Sci. Rev. 2012, 166, 215. [Google Scholar] [CrossRef]
- Ipavich, F.M. Galactic winds driven by cosmic rays. Astrophys. J. 1975, 196, 107–120. [Google Scholar] [CrossRef]
- Breitschwerdt, D.; McKenzie, J.F.; Völk, H.J. Galactic winds. I. Cosmic ray and wave-driven winds from the galaxy. Astron. Astrophys. 1991, 245, 79. [Google Scholar]
- Ptuskin, V.S.; Völk, H.J.; Zirakashvili, V.N.; Breitschwerdt, D. Transport of relativistic nucleons in a galactic wind driven by cosmic rays. Astron. Astrophys. 1997, 321, 434. [Google Scholar]
- Samui, S.; Subramanian, K.; Srianand, R. Cosmic ray driven outflows from high-redshift galaxies. Mon. Not. R. Astron. Soc. 2010, 402, 2778–2791. [Google Scholar] [CrossRef]
- Uhlig, M.; Pfrommer, C.; Sharma, M.; Nath, B.B.; Enßlin, T.A.; Springel, V. Galactic winds driven by cosmic ray streaming. Mon. Not. R. Astron. Soc. 2012, 423, 2374–2396. [Google Scholar] [CrossRef]
- Booth, C.M.; Agertz, O.; Kravtsov, A.V.; Gnedin, N.Y. Simulations of Disk Galaxies with Cosmic Ray Driven Galactic Winds. Astrophys. J. 2013, 777, L16. [Google Scholar] [CrossRef]
- Farber, R.; Ruszkowski, M.; Yang, H.-Y.K.; Zweibel, E.G. Impact of Cosmic-Ray Transport on Galactic Winds, 2018. Astrophys. J. 2018, 856, 112. [Google Scholar] [CrossRef]
- Fujita, A.; Mac-Low, M.-M. Cosmic ray driven outflows in an ultraluminous galaxy. Mon. Not. R. Astron. Soc. 2018, 477, 531–538. [Google Scholar] [CrossRef]
- Jana, R.; Gupta, S.; Nath, B.B. Role of cosmic rays in the early stages of galactic outflows. Mon. Not. R. Astron. Soc. 2020, 497, 2623–2640. [Google Scholar] [CrossRef]
- Bustard, C.; Zweibel, E.G. Cosmic-Ray Transport, Energy Loss, and Influence in the Multiphase Interstellar Medium. Astrophys. J. 2021, 913, 106. [Google Scholar] [CrossRef]
- Jacob, S.; Pakmor, R.; Simpson, C.M.; Springel, V.; Pfrommer, C. The dependence of cosmic ray-driven galactic winds on halo mass. Mon. Not. R. Astron. Soc. 2018, 475, 570–584. [Google Scholar] [CrossRef]
- Wiener, J.; Zweibel, E.G.; Ruszkowski, M. Cosmic ray acceleration of cool clouds in the circumgalactic medium. Mon. Not. R. Astron. Soc. 2019, 489, 205–223. [Google Scholar] [CrossRef]
- Brüggen, M.; Scannapieco, E. The Launching of Cold Clouds by Galaxy Outflows. IV. Cosmic-Ray-driven Acceleration. Astrophys. J. 2020, 905, 19. [Google Scholar] [CrossRef]
- Matthews, T.A.; Morgan, W.W.; Schmidt, M. A Discussion of Galaxies Indentified with Radio Sources. Astrophys. J. 1964, 140, 35–49. [Google Scholar] [CrossRef]
- Gonzalez, A.H.; Zabludoff, A.I.; Zaritsky, D. Intracluster Light in Nearby Galaxy Clusters: Relationship to the Halos of Brightest Cluster Galaxies. Astrophys. J. 2005, 618, 195–313. [Google Scholar] [CrossRef]
- Dolag, K.; Murante, G.; Borgani, S. Dynamical difference between the cD galaxy and the diffuse, stellar component in simulated galaxy clusters. Mon. Not. R. Astron. Soc. 2010, 406, 1544–1559. [Google Scholar] [CrossRef]
- Gonzalez, A.H.; Zabludoff, A.I.; Zaritsky, D. A Census of Baryons in Galaxy Clusters and Groups. Astrophys. J. 2007, 666, 147–155. [Google Scholar] [CrossRef]
- Ragusa, R.; Spavone, M.; Iodice, E.; Brough, S.; Raj, M.A.; Paolillo, M.; Cantiello, M.; Forbes, D.A.; La Marca, A.; D’Ago, G.; et al. VEGAS: A VST Early-type GAlaxy Survey. VI. Diffuse light in HCG 86 as seen from the ultra-deep VEGAS images. Astron. Astrophys. 2021, 651, A39. [Google Scholar] [CrossRef]
- Zibetti, S.; White, S.D.M.; Brinkmann, J. Haloes around edge-on disc galaxies in the Sloan Digital Sky Survey. Mon. Not. R. Astron. Soc. 2004, 347, 556–568. [Google Scholar] [CrossRef]
- Zhang, Y.; Yanny, B.; Palmese, A.; Gruen, D.; To, C.; Rykoff, E.S.; Leung, Y.; Collins, C.; Hilton, M.; Abbott, T.M.C.; et al. Dark Energy Survey Year 1 Results: Detection of Intracluster Light at Redshift ∼0.25. Astrophys. J. 2019, 874, id 165, 19 pp. [Google Scholar] [CrossRef]
- Kluge, M.; Neureiter, B.; Riffeser, A.; Bender, R.; Goessl, C.; Hopp, U.; Schmidt, M.; Ries, C.; Brosch, N. Structure of Brightest Cluster Galaxies and Intracluster Light. Astrophys. J. Suppl. Ser. 2020, 247, 43. [Google Scholar] [CrossRef]
- Li, J.; Huang, S.; Leauthaud, A.; Moustakas, J.; Danieli, S.; Greene, J.E.; Abraham, R.; Ardila, F.; Kado-Fong, E.; Lokhorst, D.; et al. Reaching for the Edge I: Probing the Outskirts of Massive Galaxies with HSC, DECaLS, SDSS, and Dragonfly. arXiv 2021, arXiv:2111.03557. [Google Scholar]
- Mihos, J.C.; Harding, P.; Feldmeier, J.J.; Rudick, C.; Janowiecki, S.; Morrison, H.; Slater, C.; Watkins, A. The Burrell Schmidt Deep Virgo Survey: Tidal Debris, Galaxy Halos, and Diffuse Intracluster Light in the Virgo Cluster. Astrophys. J. 2017, 834, 16. [Google Scholar] [CrossRef]
- Giallongo, E.; Menci, N.; Grazian, A.; Gallozzi, S.; Castellano, M.; Fiore, F.; Fontana, A.; Pentericci, L.; Boutsia, K.; Paris, D.; et al. Diffuse Optical Intracluster Light as a Measure of Stellar Tidal Stripping: The Cluster CL0024+17 at z ∼ 0.4 Observed at the Large Binocular Telescope. Astrophys. J. 2014, 781, 24. [Google Scholar] [CrossRef]
- Toomre, A.; Toomre, J. Galactic Bridges and Tails. Astrophys. J. 1972, 178, 623–666. [Google Scholar] [CrossRef]
- Wright, A.E. Computational models of gravitationally interacting galaxies. Mon. Not. R. Astron. Soc. 1972, 157, 309–333. [Google Scholar] [CrossRef][Green Version]
- Teyssier, R.; Chapon, D.; Bournaud, F. The Driving Mechanism of Starbursts in Galaxy Mergers. Astrophys. J. 2010, 720, L149–L154. [Google Scholar] [CrossRef]
- Renaud, F.; Bournaud, F.; Duc, P.-A. A parsec-resolution simulation of the Antennae galaxies: Formation of star clusters during the merger. Mon. Not. R. Astron. Soc. 2015, 426, 2038–2054. [Google Scholar] [CrossRef]
- Elmegreen, B.G.; Kaufman, M.; Bournaud, F.; Elmegreen, D.M.; Struck, C.; Brinks, E.; Juneau, S. High Star Formation Rates in Turbulent Atomic-dominated Gas in the Interacting Galaxies IC 2163 and NGC 2207. Astrophys. J. 2016, 823, 26. [Google Scholar] [CrossRef]
- Smith, B.J.; Wagstaff, P.; Struck, C.; Soria, R.; Dunn, B.; Swartz, D.; Giroux, M.L. The Hot Gas Exhaust of Starburst Engines in Mergers: Testing Models of Stellar Feedback and Star Formation Regulation. Astron. J. 2019, 158, 169. [Google Scholar] [CrossRef]
- Lizée, T.; Vollmer, B.; Braine, J.; Nehlig, F. Gas compression and stellar feedback in the tidally interacting and ram-pressure stripped Virgo spiral galaxy NGC 4654. Astron. Astrophys. 2021, 645, A111. [Google Scholar] [CrossRef]
- Longobardi, A.; Boselli, A.; Fossati, M.; Villa-Vélez, J.A.; Bianchi, S.; Casasola, V.; Sarpa, E.; Combes, F.; Hensler, G.; Burgarella, D.; et al. A Virgo Environmental Survey Tracing Ionised Gas Emission (VESTIGE). VII. Bridging the cluster-ICM-galaxy evolution at small scales. Astron. Astrophys. 2020, 644, A161. [Google Scholar] [CrossRef]
- Feldmeier, J.J.; Mihos, J.C.; Morrison, H.L.; Harding, P.; Kaib, N.; Dubinski, J. Deep CCD Surface Photometry of Galaxy Clusters. II. Searching for Intracluster Starlight in Non-cD clusters. Astrophys. J. 2004, 609, 617–637. [Google Scholar] [CrossRef]
- Gerhard, O.; Arnaboldi, M.; Freeman, K.C.; Kashikawa, N.; Okamura, S.; Yasuda, N. Detection of Intracluster Planetary Nebulae in the Coma Cluster. Astrophys. J. 2005, 621, L93–L96. [Google Scholar] [CrossRef]
- Mihos, J.C. The Evolution of Tidal Debris. In Symposium-International Astronomical Union; Cambridge University Press: Cambridge, UK, 2004; Volume 217, pp. 390–399. [Google Scholar]
- Mihos, J.C.; Harding, P.; Felmeier, J.; Morrison, H. Diffuse Light in the Virgo Cluster. Astrophys. J. 2005, 631, L41–L44. [Google Scholar] [CrossRef]
- Krick, J.E.; Bernstein, R.A. Diffuse Optical Light in Galaxy Clusters. II. Correlations with Cluster Properties. Astron. J. 2007, 134, 466–493. [Google Scholar] [CrossRef]
- Krick, J.E.; Bridge, C.; Desai, V.; Mihos, J.C.; Murphy, E.; Rudick, C.; Surace, J.; Neill, J. Spitzer/IRAC Low Surface Brightness Observations of the Virgo Cluster. Astrophys. J. 2011, 735, 76. [Google Scholar] [CrossRef]
- Ko, J.; Jee, M.J. Evidence for the Existence of Abundant Intracluster Light at z = 1.24. Astrophys. J. 2018, 862, 95. [Google Scholar] [CrossRef]
- Montes, M.; Trujillo, I. Intracluster light: A luminous tracer for dark matter in clusters of galaxies. Mon. Not. R. Astron. Soc. 2019, 482, 2838–2851. [Google Scholar] [CrossRef]
- Contini, E.; Gu, Q. Brightest Cluster Galaxies and Intracluster Light: Their Mass Distribution in the Innermost Regions of Groups and Clusters. Astrophys. J. 2021, 915, 106. [Google Scholar] [CrossRef]
- Mihos, J.C. Intragroup and Intracluster Light. IAUS 2016, 317, 27–34. [Google Scholar] [CrossRef]
- Contini, E. On the Origin and Evolution of the Intra-Cluster Light: A Brief Review of the Most Recent Developments. Galaxies 2021, 9, 60. [Google Scholar] [CrossRef]
- Schlegel, D.J.; Finkbeiner, D.P.; Davis, M. Maps of Dust Infrared Emission for Use in Estimation of Reddening and Cosmic Microwave Background Radiation Foregrounds. Astrophys. J. 1998, 500, 525–553. [Google Scholar] [CrossRef]
- Planck Collaboration; Abergel, A.; Ade, P.A.R.; Aghanim, N.; Alves, M.I.R.; Aniano, G.; Armitage-Caplan, C.; Arnaud, M.; Ashdown, M.; Atrio-Barandela, F.; et al. Planck 2013 results. XI. All-sky model of thermal dust emission. Astron. Astrophys. 2014, 571, A11. [Google Scholar]
- Boissier, S.; Boselli, A.; Voyer, E.; Bianchi, S.; Pappalardo, C.; Guhathakurta, P.; Heinis, S.; Cortese, L.; Duc, P.-A.; Cuillandre, J.-C.; et al. The GALEX Ultraviolet Virgo Cluster Survey (GUViCS). V. Ultraviolet diffuse emission and cirrus properties in the Virgo cluster direction. Astron. Astrophys. 2015, 579, A29. [Google Scholar] [CrossRef]
- Walker, S.; Simionescu, A.; Nagai, D.; Okabe, N.; Eckert, D.; Mroczkowski, T.; Akamatsu, H.; Ettori, S.; Ghirardini, V. The Physics of Galaxy Cluster Outskirts. Space Sci. Rev. 2019, 215, 7. [Google Scholar] [CrossRef]
- Dolag, K.; Borgani, S.; Murante, G.; Springel, V. Substructures in hydrodynamical cluster simulations. Mon. Not. R. Astron. Soc. 2009, 399, 497–514. [Google Scholar] [CrossRef]
- Cortese, L.; Bekki, K.; Boselli, A.; Catinella, B.; Ciesla, L.; Hughes, T.M.; Baes, M.; Bendo, G.J.; Boquien, M.; de Looze, I.; et al. The selective effect of environment on the atomic and molecular gas-to-dust ratio of nearby galaxies in the Herschel Reference Survey. Mon. Not. R. Astron. Soc. 2016, 459, 3574–3584. [Google Scholar] [CrossRef]
- Gunn, J.E.; Gott, J.R., III. On the Infall of Matter Into Clusters of Galaxies and Some Effects on Their Evolution. Astrophys. J. 1972, 176, 1. [Google Scholar] [CrossRef]
- Miley, G.K.; Perola, G.C.; van der Kruit, P.C.; van der Laan, H. Active Galaxies with Radio Trails in Clusters. Nature 1972, 237, 269–272. [Google Scholar] [CrossRef]
- Miley, G. The structure of extended extragalactic radio sources. Annu. Rev. Astron. Astrophys. 1980, 18, 165–218. [Google Scholar] [CrossRef]
- Cavaliere, A.; Lapi, A. The astrophysics of the intracluster plasma. Phys. Rep. 2013, 533, 69–94. [Google Scholar] [CrossRef][Green Version]
- Garon, A.F.; Rudnick, L.; Wong, O.I.; Jones, T.W.; Kim, J.-A.; Andernach, H.; Shabala, S.S.; Kapińska, A.D.; Norris, R.P.; de Gasperin, F.; et al. Radio Galaxy Zoo: The Distortion of Radio Galaxies by Galaxy Clusters. Astron. J. 2019, 157, 126. [Google Scholar] [CrossRef]
- Boselli, A.; Gavazzi, G. Environmental Effects on Late-Type Galaxies in Nearby Clusters. Pub. Astron. Soc. Pac. 2006, 118, 517. [Google Scholar] [CrossRef]
- Weżgowiec, M.; Bomans, D.J.; Ehle, M.; Chyży, K.T.; Urbanik, M.; Braine, J.; Soida, M. Tidal interaction vs ram pressure stripping effects as seen in X-rays. Hot gas in group and cluster galaxies. Astron. Astrophys. 2012, 544, 99. [Google Scholar] [CrossRef]
- Boselli, A.; Cuillandre, J.C.; Fossati, M.; Boissier, S.; Bomans, D.; Consolandi, G.; Anselmi, G.; Cortese, L.; Côté, P.; Durrell, P.; et al. Spectacular tails of ionized gas in the Virgo cluster galaxy NGC 4569. Astron. Astrophys. 2016, 587, A68. [Google Scholar] [CrossRef]
- Moretti, A.; Radovich, M.; Poggianti, B.M. Observing ram pressure at work in intermediate redshift clusters with MUSE: The case of Abell 2744 and Abell 370. Astrophys. J. 2021, 925, 4. [Google Scholar] [CrossRef]
- Boselli, A.; Fossati, M.; Ferrarese, L.; Boissier, S.; Consolandi, G.; Longobardi, A.; Amram, P.; Balogh, M.; Barmby, P.; Boquien, M.; et al. A Virgo Environmental Survey Tracing Ionised Gas Emission (VESTIGE). I. Introduction to the survey. Astron. Astrophys. 2018, 614, A56. [Google Scholar] [CrossRef]
- Oosterloo, T.; van Gorkom, J. A large H I cloud near the centre of the Virgo cluster. Astron. Astrophys. 2005, 437, L19–L22. [Google Scholar] [CrossRef]
- Boselli, A.; Fossati, M.; Consolandi, G.; Amram, P.; Ge, C.; Sun, M.; Anderson, J.P.; Boissier, S.; Boquien, M.; Buat, V.; et al. A Virgo Environmental Survey Tracing Ionised Gas Emission (VESTIGE). IV. A tail of ionised gas in the merger remnant NGC4424. Astron. Astrophys. 2018, 620, A164. [Google Scholar] [CrossRef]
- Koopmann, R.A.; Giovanelli, R.; Haynes, M.P.; Kent, B.R.; Balonek, T.J.; Brosch, N.; Higdon, J.L.; Salzer, J.J.; Spector, O. A 500 kpc H I Extension of the Virgo Pair NGC 4532/DDO 137 Detected by the Arecibo Legacy Fast ALFA (ALFALFA) Survey. Astrophys. J. 2008, 682, L85–L88. [Google Scholar] [CrossRef]
- Scott, T.C.; Cortese, L.; Lagos, P.; Brinks, E.; Finoguenov, A.; Coccato, L. FGC 1287 and its enigmatic 250 kpc long HI tail in the outskirts of Abell 1367. Mon. Not. R. Astron. Soc. 2022, 511, 980–993. [Google Scholar] [CrossRef]
- Jáchym, P.; Kenney, J.D.P.; Sun, M. ALMA Unveils Widespread Molecular Gas Clumps in the Ram Pressure Stripped Tail of the Norma Jellyfish Galaxy. Astrophys. J. 2019, 883, 145. [Google Scholar] [CrossRef]
- Merluzzi, P.; Busarello, G.; Dopita, M.A.; Haines, C.P.; Steinhauser, D.; Mercurio, A.; Rifatto, A.; Smith, R.J.; Schindler, S. ACCESS-V. Dissecting ram-pressure stripping through integral-field spectroscopy and multiband imaging. Mon. Not. R. Astron. Soc. 2013, 429, 1747–1773. [Google Scholar] [CrossRef]
- Steinhauser, D.; Schindler, S.; Springel, V. Simulations of ram-pressure stripping in galaxy-cluster interactions. Astron. Astrophys. 2016, 519, A51. [Google Scholar] [CrossRef]
- Gullieuszik, M.; Poggianti, B.M.; McGee, S.L.; Moretti, A.; Vulcani, B.; Tonnesen, S.; Roediger, E.; Jaffè, Y.L.; Fritz, J.; Franchetto, A.; et al. GASP. XXI. Star Formation Rates in the Tails of Galaxies Undergoing Ram Pressure Stripping. Astrophys. J. 2020, 899, 13. [Google Scholar] [CrossRef]
- Owers, M.S.; Couch, W.J.; Nulsen, P.E.J.; Randall, S.W. Shocking Tails in the Major Merger Abell 2744. Astrophys. J. 2012, 750, L23. [Google Scholar] [CrossRef]
- Poggianti, B.M.; Moretti, A.; Gullieuszik, M.; Fritz, J.; Jaffè, Y.; Bettoni, D.; Fasano, G.; Bellhouse, C.; Hau, G.; Vulcani, B.; et al. GASP. I. Gas stripping phenomena in Galaxies with MUSE. Astrophys. J. 2017, 844, 48. [Google Scholar] [CrossRef]
- Haardt, F.; Madau, P. Radiative Transfer in a Clumpy Universe. II. The Ultraviolet Extragalactic Background. Astrophys. J. 1996, 461, 20. [Google Scholar] [CrossRef]
- Faucher-Giguére, C.-A.; Lidz, A.; Zaldarriaga, M.; Hernquist, L. A New Calculation of the Ionizing Background Spectrum and the Effects of He II Reionization. Astrophys. J. 2009, 703, 1416–1443. [Google Scholar] [CrossRef]
- Al Najm, M.N.; Polikarpova, O.L.; Shchekinov, Y. Ionized gas in the circumgalactic vicinity of the M81 galaxy group. Astron. Rep. 2016, 93, 35–363. [Google Scholar] [CrossRef]
- Taylor, R.; Köppen, J.; Jáchym, P.; Minchin, R.; Palouš, J.; Wünsch, R. Faint and Fading Tails: The Fate of Stripped H I Gas in Virgo Cluster Galaxies. Astron. J. 2020, 159, 218. [Google Scholar] [CrossRef]
- Vollmer, B.; Huchtmeier, W. Deep H I observations of the surroundings of ram pressure stripped Virgo spiral galaxies. Where is the stripped gas? Astron. Astrophys. 2007, 462, 93–99. [Google Scholar] [CrossRef][Green Version]
- Gronke, M.; Oh, S.P. How cold gas continuously entrains mass and momentum from a hot wind. Mon. Not. R. Astron. Soc. 2020, 492, 1970–1990. [Google Scholar] [CrossRef]
- Klein, R.I.; McKee, C.F.; Colella, P. Turbulent stripping of interstellar clouds by interaction with supernova remnants. ASPC 1990, 12, 117–136. [Google Scholar]
- Elmegreen, B.G.; Scalo, J. Interstellar Turbulence I: Observations and Processes. Annu. Rev. Astron. Astrophys. 2004, 42, 211–273. [Google Scholar] [CrossRef]
- Scalo, J.; Elmegreen, B.G. Interstellar Turbulence II: Implications and Effects. Annu. Rev. Astron. Astrophys. 2004, 42, 275–316. [Google Scholar] [CrossRef]
- Evoli, C.; Ferrara, A. Turbulence in the intergalactic medium. Mon. Not. R. Astron. Soc. 2011, 413, 2721–2734. [Google Scholar] [CrossRef]
- Rennehan, D.; Babul, A.; Hopkins, P.F.; Davé, R.; Moa, B. Dynamic localized turbulent diffusion and its impact on the galactic ecosystem. Mon. Not. R. Astron. Soc. 2019, 483, 3810–3831. [Google Scholar] [CrossRef]
- Rosseland, S.; Jensen, E.; Tandberg-Hanssen, E. Some Considerations on Thermal Conduction and Magnetic Fields in Prominences. In Symposium-International Astronomical Union; Cambridge University Press: Cambridge, UK, 1958; Volume 6, p. 150. [Google Scholar]
- Asai, M.; Fukuda, N.; Matsumoto, R. Magnetohydrodynamic Simulations of the Formation of Cold Fronts in Clusters of Galaxies Including Heat Conduction. Astrophys. J. 2004, 606, L105. [Google Scholar] [CrossRef]
- Fusco-Femiano, R.; Dal Fiume, D.; Orlandini, M.; Brunetti, G.; Feretti, L.; Giovannini, G. Hard X-Ray Emission from the Galaxy Cluster A3667. Astrophys. J. 2001, 552, L97. [Google Scholar] [CrossRef]
- Johnston-Hollitt, M. The Magnetic Field in A3667. In Proceedings of the Riddle of Cooling Flows in Galaxies and Clusters of Galaxies, Charlottesville, VA, USA, 31 May–4 June 2004; pp. 51–55. [Google Scholar]
- Bonafede, A.; Feretti, L.; Murgia, M.; Govoni, F.; Giovannini, G.; Dallacasa, D.; Dolag, K.; Taylor, G.B. The Coma cluster magnetic field from Faraday rotation measures. Astron. Astrophys. 2010, 513, A30. [Google Scholar] [CrossRef]
- Böhringer, H.; Chon, G.; Kronberg, P.P. The Cosmic Large-Scale Structure in X-rays (CLASSIX) Cluster Survey. I. Probing galaxy cluster magnetic fields with line of sight rotation measures. Astron. Astrophys. 2016, 596, A22. [Google Scholar] [CrossRef]
- Xu, J.; Han, J.L. Evidence for strong intracluster magnetic fields in the early Universe. arXiv 2021, arXiv:2112.01763. [Google Scholar] [CrossRef]
- Narayan, R.; Medvedev, M.V. Thermal Conduction in Clusters of Galaxies. Astrophys. J. 2001, 562, L129. [Google Scholar] [CrossRef]
- Lyutikov, M. Magnetic draping of merging cores and radio bubbles in clusters of galaxies. Mon. Not. R. Astron. Soc. 2006, 373, 73. [Google Scholar] [CrossRef]
- Asai, N.; Fukuda, N.; Matsumoto, R. Three-dimensional Magnetohydrodynamic Simulations of Cold Fronts in Magnetically Turbulent ICM. Astrophys. J. 2007, 663, 816–823. [Google Scholar] [CrossRef]
- Sparre, M.; Pfrommer, C.; Ehlert, K. Interaction of a cold cloud with a hot wind: The regimes of cloud growth and destruction and the impact of magnetic fields. Mon. Not. R. Astron. Soc. 2020, 499, 4261–4281. [Google Scholar] [CrossRef]
- Lau, E.T.; Gaspari, M.; Nagai, D.; Coppi, P. Physical Origins of Gas Motions in Galaxy Cluster Cores: Interpreting Hitomi Observations of the Perseus Cluster. Astrophys. J. 2017, 849, 54. [Google Scholar] [CrossRef]
- Fujita, Y.; Cen, R.; Zhuravleva, I. Non-steady heating of cool cores of galaxy clusters by ubiquitous turbulence and AGN. Mon. Not. R. Astron. Soc. 2020, 494, 5507–5519. [Google Scholar] [CrossRef]







Publisher’s Note: MDPI stays neutral with regard to jurisdictional claims in published maps and institutional affiliations. |
© 2022 by the authors. Licensee MDPI, Basel, Switzerland. This article is an open access article distributed under the terms and conditions of the Creative Commons Attribution (CC BY) license (https://creativecommons.org/licenses/by/4.0/).
Share and Cite
Shchekinov, Y.A.; Nath, B.B.; Vasiliev, E.O. Dust in Clusters of Galaxies. Universe 2022, 8, 212. https://doi.org/10.3390/universe8040212
Shchekinov YA, Nath BB, Vasiliev EO. Dust in Clusters of Galaxies. Universe. 2022; 8(4):212. https://doi.org/10.3390/universe8040212
Chicago/Turabian StyleShchekinov, Yuri A., Biman B. Nath, and Evgenii O. Vasiliev. 2022. "Dust in Clusters of Galaxies" Universe 8, no. 4: 212. https://doi.org/10.3390/universe8040212
APA StyleShchekinov, Y. A., Nath, B. B., & Vasiliev, E. O. (2022). Dust in Clusters of Galaxies. Universe, 8(4), 212. https://doi.org/10.3390/universe8040212

