k-Essence Inflation Evading Swampland Conjectures and Inflationary Parameters
Abstract
1. Introduction
2. General Formalism
3. Inflationary Parameters of k-Essence and Chaplygin Gas Models
3.1. Generalized Chaplygin Gas
3.2. Modified Chaplygin Gas
3.3. Generalized Cosmic Chaplygin Gas
4. Swampland Conjectures of k-Essence and Chaplygin Gas Models
4.1. Generalized Chaplygin Gas
4.2. Modified Chaplygin Gas
4.3. Generalized Cosmic Chaplygin Gas
5. Concluding Remarks
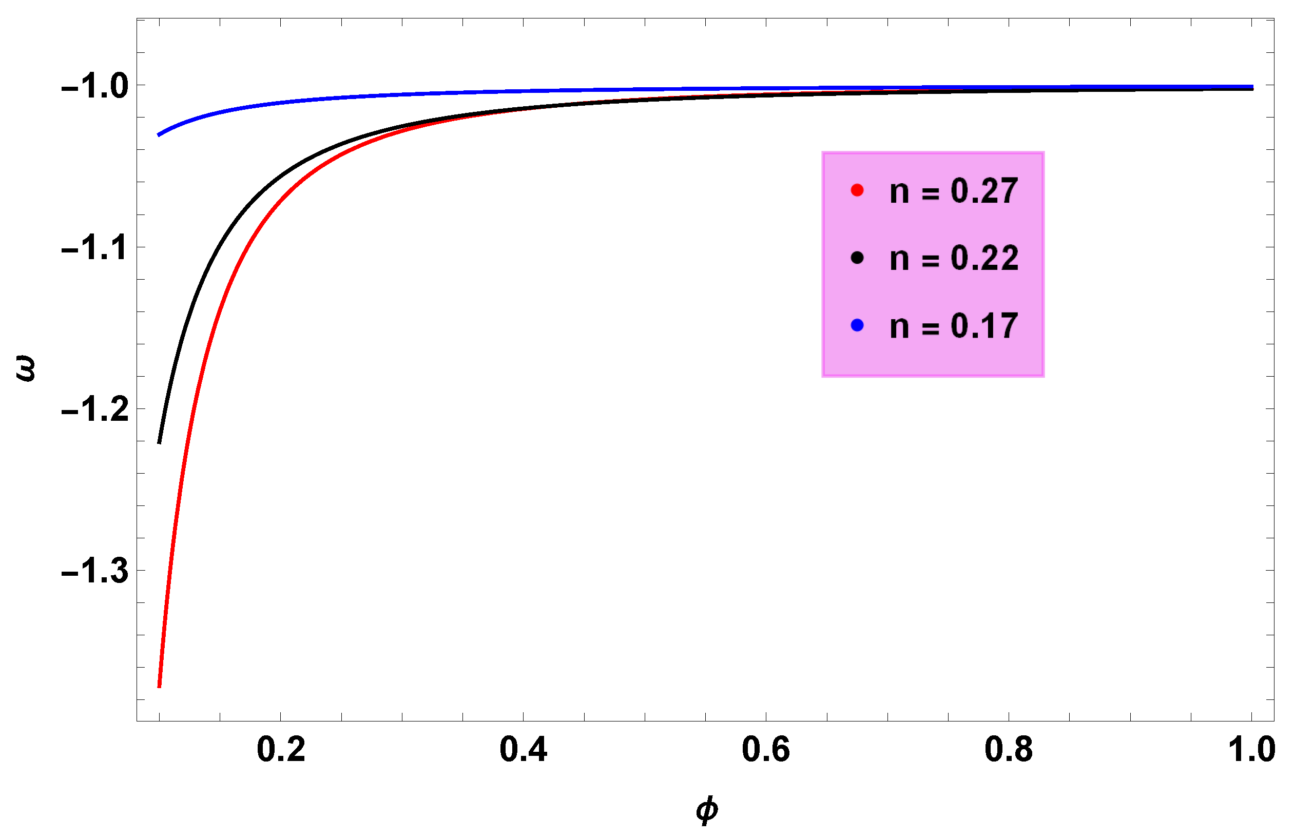
- In generalized CG, we found from Figure 1 that depicts the phantom phase (inflationary era) of the universe justifying that k-essence models have a direct effect on the duration of the inflationary era.
- In generalized CG, we observed that for Figure 2, lies in the range and which is compatible with Planck’s 2018 data.
- In modified CG, we observed from Figure 3 that results in the phantom era (inflationary phase) of the universe which justify the direct effect on the duration of the inflationary era by k-essence modified CG models.
- For modified CG, we noticed in Figure 4 that lies in the range and which is comparable with Planck data from 2018.
- Figure 5 show that EoS parameter describing the phantom era of the universe which is a justification of the direct effect on the duration of the inflationary era by k-essence generalized cosmic CG models.
- Using generalized cosmic CG, we observed that in Figure 6, is in the range and which is compatible with Planck data from 2018.
Author Contributions
Funding
Data Availability Statement
Conflicts of Interest
References
- Herrera, R. Reconstructing k-essence: Unifying the attractor ns(N) and the swampland criteria. Phys. Rev. D 2020, 102, 123508. [Google Scholar] [CrossRef]
- White, M.; Cohn, J.D. Resource Letter: TACMB-1: The theory of anisotropies in the cosmic microwave background. Am. J. Phys. 2002, 70, 106. [Google Scholar] [CrossRef]
- Guth, A.H. Inflationary universe: A possible solution to the horizon and flatness problems. Phys. Rev. D 1981, 23, 347. [Google Scholar] [CrossRef]
- Aviles, A.; Bonanno, L.; Luongo, O.; Quevedo, H. Holographic dark matter and dark energy with second order invariants. Phys. Rev. D 2011, 84, 103520. [Google Scholar] [CrossRef]
- Scherrer, R.J. Purely Kinetic k Essence as Unified Dark Matter. Phys. Rev. Lett. 2004, 93, 011301. [Google Scholar] [CrossRef]
- Benaoum, H.B. Modified Chaplygin Gas Cosmology. Adv. High Energy Phys. 2012, 2012, 357802. [Google Scholar] [CrossRef]
- Elizalde, E.; Nojiri, S.I.; Odintsov, S.D. Late-time cosmology in a (phantom) scalar-tensor theory: Dark energy and the cosmic speed-up. Phys. Rev. D 2004, 70, 043539. [Google Scholar] [CrossRef]
- Caldwell, R.R.; Dave, R.; Steinhardt, P.J. Cosmological imprint of an energy component with general equation of state. Phys. Rev. Lett. 1998, 80, 1582. [Google Scholar] [CrossRef]
- Peebles, P.J.E.; Ratra, B. The cosmological constant and dark energy. Rev. Mod. Phys. 2003, 75, 559. [Google Scholar] [CrossRef]
- Sen, A. Tachyon Matter. J. High Energy Phys. 2002, 07, 065. [Google Scholar] [CrossRef]
- Feng, B.; Li, M.; Piao, Y.S.; Zhang, X. Oscillating quintom and the recurrent universe. Phys. Lett. B 2006, 634, 101–105. [Google Scholar] [CrossRef]
- Gao, C.; Wu, F.; Chen, X.; Shen, Y.G. Holographic dark energy model from Ricci scalar curvature. Phys. Rev. D 2009, 79, 043511. [Google Scholar] [CrossRef]
- Jawad, A.; Sultan, A.M. Cosmic Consequences of Kaniadakis and Generalized Tsallis Holographic Dark Energy Models in the Fractal Universe. Adv. High Energy Phys. 2021, 2021, 5519028. [Google Scholar] [CrossRef]
- Jawad, A.; Videla, N.; Gulshan, F. Dynamics of warm power-law plateau inflation with a generalized inflaton decay rate: Predictions and constraints after Planck 2015. Eur. Phys. J. C 2017, 77, 271. [Google Scholar] [CrossRef]
- Jawad, A.; Hussain, S.; Rani, S.; Videla, N. Impact of generalized dissipative coefficient on warm inflationary dynamics in the light of latest Planck data. Eur. Phys. J. C 2017, 77, 700. [Google Scholar] [CrossRef]
- Herrera, R. Reconstructing warm inflation. Eur. Phys. J. C 2018, 78, 245. [Google Scholar] [CrossRef]
- Kehagias, A.; Riotto, A. A note on Inflation and the Swampland. Fortschr. Phys. 2018, 66, 1800052. [Google Scholar] [CrossRef]
- Kinney, W.H.; Vagnozzi, S.; Visinelli, L. The zoo plot meets the swampland: Mutual (in) consistency of single-field inflation, string conjectures, and cosmological data. Class. Quantum Gravity 2019, 36, 117001. [Google Scholar] [CrossRef]
- Achúcarro, A.; Palma, G.A. The string swampland constraints require multi-field inflation. J. Cosmol. Astropart. Phys. 2019, 2, 041. [Google Scholar] [CrossRef]
- Oikonomou, V.K. Rescaled Einstein-Hilbert gravity from f(R) gravity: Inflation, dark energy, and the swampland criteria. Phys. Rev. 2021, 103, 124028. [Google Scholar] [CrossRef]
- Oikonomou, V.K.; Giannakoudi, I.; Gitsis, A. Rescaled Einstein-Hilbert gravity: Inflation and the swampland criteria. Int. J. Mod. Phys. D 2022, 31, 2250001. [Google Scholar] [CrossRef]
- Debnath, U.; Banerjee, A.; Chakraborty, S. Role of modified Chaplygin gas in accelerated universe. Class. Quantum Gravity 2004, 23, 5609. [Google Scholar] [CrossRef]
- Bento, M.C.; Bertolami, O.; Sen, A.A. Generalized Chaplygin gas, accelerated expansion, and dark-energy-matter unification. Phys. Rev. D 2002, 66, 043507. [Google Scholar] [CrossRef]
- González-Díaz, P.F. You need not be afraid of phantom energy. Phys. Rev. D 2003, 68, 021303. [Google Scholar] [CrossRef]
- Guo, Z.K.; Zhang, Y.Z. Cosmology with a variable Chaplygin gas. Phys. Lett. B 2007, 645, 326–329. [Google Scholar] [CrossRef]
- Debnath, U. Variable modified Chaplygin gas and accelerating universe. Astrophys. Space Sci. 2007, 312, 295–299. [Google Scholar] [CrossRef]
- Herrera, R.; Videla, N.; Olivares, M. Warm intermediate inflationary Universe model in the presence of a generalized Chaplygin gas. Eur. Phys. J. C 2016, 76, 1–17. [Google Scholar] [CrossRef]
- Jawad, A.; Rani, S.; Mohsaneen, S. Modified Chaplygin gas inspired inflationary model in braneworld scenario. Astrophys. Space Sci. 2016, 361, 158. [Google Scholar] [CrossRef]
- Sharif, M.; Nawazish, I. Scalar field cosmology in f(R,T) gravity via Noether symmetry. Astrophys. Space Sci. 2018, 363, 67. [Google Scholar] [CrossRef]
- Saleem, R. Consistency of anisotropic inflation during rapid oscillations with Planck 2015 data. Astrophys. Space Sci. 2018, 363, 136. [Google Scholar] [CrossRef]
- Ghaffari, S.; Ziaie, A.H.; Bezerra, V.B.; Moradpour, H. Inflation in the Rényi cosmology. Mod. Phys. Lett. A 2020, 35, 1950341. [Google Scholar] [CrossRef]
- Nojiri, S.; Odintsov, S.D.; Oikonomou, V.K. k-essence f(R) gravity inflation. Nucl. Phys. B 2019, 941, 11–27. [Google Scholar] [CrossRef]
- Saleem, R.; Zubair, M. Inflationary solution of Hamilton Jacobi equations during weak dissipative regime. Phys. Scr. 2020, 95, 035214. [Google Scholar] [CrossRef]
- Pareek, P.; Nautiyal, A. Reheating constraints on k-inflation. Phys. Rev. D 2021, 104, 083526. [Google Scholar] [CrossRef]
- Bamba, K.; Elizalde, E.; Odintsov, S.D.; Paul, T. Inflationary magnetogenesis with reheating phase from higher curvature coupling. J. Cosmol. Astropart. Phys. 2021, 04, 009. [Google Scholar] [CrossRef]
- Bamba, K.; Odintsov, S.D. Inflation in a viscous fluid model. Eur. Phys. J. C 2016, 76, 18. [Google Scholar] [CrossRef]
- Bamba, K.; Odintsov, S.D.; Tretyakov, P.V. Inflation in a conformally invariant two-scalar-field theory with an extra R2 term. Eur. Phys. J. C 2015, 75, 344. [Google Scholar]
- Bamba, K.; Odintsov, S.D. Inflationary cosmology in modified gravity theories. Symmetry 2015, 7, 220. [Google Scholar] [CrossRef]
- Bamba, K.; Nojiri, S.; Odintsov, S.D.; Sáez-Gómez, D. Inflationary universe from perfect fluid and F(R) gravity and its comparison with observational data. Phys. Rev. D 2014, 90, 124061. [Google Scholar] [CrossRef]
- Bamba, K.; Nojiri, S.; Odintsov, S.D. Trace-anomaly driven inflation in f(T) gravity and in minimal massive bigravity. Phys. Lett. B 2014, 731, 257. [Google Scholar] [CrossRef]
- Odintsov, S.D.; Oikonomou, V.K. Swampland implications of GW170817-compatible Einstein-Gauss-Bonnet gravity. Phys. Lett. B 2020, 805, 135437. [Google Scholar] [CrossRef]
- Odintsov, S.D.; Oikonomou, V.K. Finite-time singularities in swampland-related dark-energy models. Europhys. Lett. 2019, 126, 20002. [Google Scholar] [CrossRef]
- Jawad, A.; Butt, S.; Rani, S. Dynamics of warm Chaplygin gas inflationary models with quartic potential. Eur. Phys. J. C 2016, 76, 274. [Google Scholar] [CrossRef]
- Jawad, A.; Ilyas, A.; Rani, S. Dynamics of bulk viscous pressure effected inflation in braneworld scenario. Astropart. Phys. 2016, 81, 61. [Google Scholar] [CrossRef]
- Jawad, A.; Ilyas, A.; Rani, S. Dynamics of modified Chaplygin gas inflation on the Brane with bulk viscous pressure. Int. J. Mod. Phys. D 2017, 26, 1750031. [Google Scholar] [CrossRef]
- Jawad, A.; Sultan, A.M.; Azhar, N. Canonical scalar field inflation in f(T) gravity with well-known potentials. Astrophys. Space Sci. 2022, 367, 48. [Google Scholar] [CrossRef]
- Bouhmadi-López, M.; Kumar, K.S.; Marto, J.; Morais, J.; Zhuk, A. K-essence model from the mechanical approach point of view: Coupled scalar field and the late cosmic acceleration. J. Cosmol. Astropart. Phys. 2016, 07, 50. [Google Scholar] [CrossRef]
- Sebastiani, L.; Myrzakul, S.; Myrzakulov, R. Reconstruction of k-essence inflation in Horndeski gravity. Eur. Phys. J. Plus 2017, 132, 433. [Google Scholar] [CrossRef][Green Version]
- Saitou, R.; Nojiri, S.I. Stable phantom-divide crossing in two-scalar models with matter. Eur. Phys. J. C 2012, 72, 1946. [Google Scholar] [CrossRef]
- Bose, N.; Majumdar, A.S. k-essence model of inflation, dark matter, and dark energy. Phys. Rev. D 2009, 79, 103517. [Google Scholar] [CrossRef]
- Armendariz-Picon, C.; Mukhanov, V.; Steinhardt, P.J. Essentials of k-essence. Phys. Rev. D 2001, 63, 103510. [Google Scholar] [CrossRef]
- Staicova, D.; Stoilov, M. Cosmological aspects of a unified dark energy and dust dark matter model. Mod. Phys. Lett. A 2017, 32, 1750006. [Google Scholar] [CrossRef]
- Chimento, L.P.; Feinstein, A. Power-low expansion in k-essence cosmology. Mod. Phys. Lett. A 2004, 19, 761–768. [Google Scholar] [CrossRef]
- Armendariz-Picon, C.; Damour, T.; Mukhanov, V.I. k-Inflation. Phys. Lett. B 1999, 458, 209–218. [Google Scholar] [CrossRef]
- Rani, S.; Jawad, A.; Sultan, A.M.; Shad, M. Cosmographic and thermodynamic analysis of Kaniadakis holographic dark energy. Int. J. Mod. Phys. D 2022, 31, 2250078. [Google Scholar] [CrossRef]
- Remmen, G.N.; Carroll, S.M. How many e-folds should we expect from high-scale inflation? Phys. Rev. D 2014, 90, 063517. [Google Scholar] [CrossRef]
- Huang, Z.; Gao, D.; Cai, Q.Y. Scalar and tensor perturbations in vacuum inflation. Class. Quantum Gravity 2017, 34, 105013. [Google Scholar] [CrossRef]
- De Felice, A.; Tsujikawa, S. Testing for dynamical dark energy models with redshift-space distortions. J. Cosmol. Astropart. Phys. 2013, 2013, 030. [Google Scholar]
- Lyth, D.H.; Riotto, A. Particle physics models of inflation and the cosmological density perturbation. Phys. Rep. 1999, 314, 1–146. [Google Scholar] [CrossRef]
- Copeland, E.J.; Grivell, I.J.; Liddle, A.R. Cosmological parameter estimation and the spectral index from inflation. Mon. Not. R. Astron. Soc. 1998, 298, 1233–1238. [Google Scholar] [CrossRef][Green Version]
- Adhikari, R.; Gangopadhyay, M.R. Power law plateau inflation potential in the RS II braneworld evading swampland conjecture. Eur. Phys. J. C 2020, 80, 899. [Google Scholar] [CrossRef]
- Dimopoulos, K.; Owen, C. Modelling inflation with a power-law approach to the inflationary plateau. Phys. Rev. D 2016, 94, 063518. [Google Scholar] [CrossRef]
- Del Campo, S.; Herrera, R. Tachyon-Chaplygin inflationary universe model. Phys. Lett. B 2008, 660, 04. [Google Scholar] [CrossRef]
- Gorini, V.; Kamenshchik, A.; Moschella, U. Can the Chaplygin gas be a plausible model for dark energy? Phys. Rev. D 2003, 67, 063509. [Google Scholar] [CrossRef]
- Liddle, A.R.; Parsons, P.; Barrow, J.D. Formalizing the slow-roll approximation in inflation. Phys. Rev. D 1994, 50, 7222. [Google Scholar] [CrossRef]
- Kuusk, P.; Rünkla, M.; Saal, M.; Vilson, O. Invariant slow-roll parameters in scalar–tensor theories. Class. Quantum Gravity 2016, 33, 195008. [Google Scholar] [CrossRef]
- Bilic, N.; Tupper, G.B.; Viollier, R.D. Unification of dark matter and dark energy: The inhomogeneous Chaplygin gas. Phys. Lett. B 2002, 535, 17–21. [Google Scholar] [CrossRef]
- Hulke, N.; Singh, G.P.; Bishi, B.K. Bianchi type-I Universe with Cosmological constant and periodic varying deceleration parameter. arXiv 2020, arXiv:2009.00460. [Google Scholar]
- Brandenberger, R.; Kamali, V.; Ramos, R.O. Strengthening the de Sitter swampland conjecture in warm inflation. J. High Energy Phys. 2020, 2020, 1–13. [Google Scholar] [CrossRef]
- Aghanim, N.; Akrami, Y.; Ashdown, M.; Aumont, J.; Baccigalupi, C.; Ballardini, M.; Banday, A.J.; Barreiro, R.B.; Bartolo, N.; Basak, N.; et al. Cosmological parameters. Astron. Astrophys. 2020, 641, A6. [Google Scholar]









| Parameters | TT+lowE | TT,TE,EE+lowE | TT,TE,EE+lowE+lensing |
|---|---|---|---|
| r | <0.102 | <0.107 | <0.101 |
Publisher’s Note: MDPI stays neutral with regard to jurisdictional claims in published maps and institutional affiliations. |
© 2022 by the authors. Licensee MDPI, Basel, Switzerland. This article is an open access article distributed under the terms and conditions of the Creative Commons Attribution (CC BY) license (https://creativecommons.org/licenses/by/4.0/).
Share and Cite
Jawad, A.; Rani, S.; Sultan, A.M.; Embreen, K. k-Essence Inflation Evading Swampland Conjectures and Inflationary Parameters. Universe 2022, 8, 532. https://doi.org/10.3390/universe8100532
Jawad A, Rani S, Sultan AM, Embreen K. k-Essence Inflation Evading Swampland Conjectures and Inflationary Parameters. Universe. 2022; 8(10):532. https://doi.org/10.3390/universe8100532
Chicago/Turabian StyleJawad, Abdul, Shamaila Rani, Abdul Malik Sultan, and Kashaf Embreen. 2022. "k-Essence Inflation Evading Swampland Conjectures and Inflationary Parameters" Universe 8, no. 10: 532. https://doi.org/10.3390/universe8100532
APA StyleJawad, A., Rani, S., Sultan, A. M., & Embreen, K. (2022). k-Essence Inflation Evading Swampland Conjectures and Inflationary Parameters. Universe, 8(10), 532. https://doi.org/10.3390/universe8100532

