Abstract
We study the effects of a bubble configuration in a nucleus on heavy-ion collisions at a few tens and hundreds A MeV. We first investigate the bubble structure of Hg using the relativistic continuum Hartree–Bogoliubov theory and then study the Hg + Pb and Hg+Hg reactions using the DaeJeon–Boltzmann–Uehling–Uhlenbeck (DJBUU) transport model. To see the role of the bubble structure, we consider the maximum density of the produced nuclear matter, directed flow of neutrons and protons, and ratio. We observe that the maximum density is smaller with a bubble nucleus, and the directed flow of nucleons and ratio may depend on the bubble structure.
1. Introduction
The physics of dense matter, heavy-ion collisions, nuclear structures and compact stars are all intimately interrelated. Terrestrial dense matter with a large isospin asymmetry can be produced during heavy-ion collisions with rare isotope beams. To investigate the dense matter produced during heavy-ion collisions, we have to resort to nuclear transport simulations since the studies of dense matter in equilibrium do not directly lend themselves to experimental observation. We refer to [1] for a recent review of nuclear transport models.
The exotic nuclear property of nuclei such as a bubble structure is expected to affect the results of the nuclear transport simulations. For example, the effect of hypothetical nuclear bubble configurations on heavy-ion collisions has been studied by investigating the ratio at A MeV [2] and by exploring proton-induced reactions at A MeV [3] in the framework of the isospin-dependent Boltzmann–Uehling–Uhlenbeck (IBUU) transport model.
The bubble structure in a nucleus is characterized by a depleted central density, and its origin is closely related to a low occupation of the s state near the Fermi surface. There have been many theoretical investigations on bubble nuclei, for example see [4,5,6,7,8,9,10,11,12]. It is exciting to note that the first experimental evidence of the bubble configuration in the doubly magic Si nucleus was reported in 2017 [13].
In this work, we focus on a possible effect of the bubble structure in heavy-ion collisions at the energies relevant to the new generation of rare isotope beam facilities: Heavy Ion Research Facility in Lanzhou (HIRFL) [14], RIKEN Radioactive Ion Beam Factory (RIBF) [15], Rare isotope Accelerator complex for ON-line experiments (RAON) [16], Second Generation System On-Line Production of Radioactive Ions (SPIRAL2) [17], Facility for Rare Isotope Beams (FRIB) [18], etc. To this end, we study heavy-ion collisions with a realistic bubble nucleus at beam energies A MeV using the DJBUU transport code [19,20]. For the initialization of the spatial positions and momenta of nucleons in a bubble nucleus, we take the nucleon density profile calculated in the relativistic continuum Hartree–Bogoliubov (RCHB) theory [21,22,23], which provides a proper treatment of pairing correlations in the presence of the continuum. The RCHB theory was successfully applied to exotic nuclear property studies; it provided the first microscopic self-consistent description of halo structure in Li [24] and predicted the giant halos in light and medium-heavy nuclei [25,26,27]. It was also shown, in the framework of the RCHB, that the couplings between the bound states and the continuum through the pairing correlation extended the neutron drip-line further to the more neutron-rich side than in other mass models [28].
In this article, we discuss briefly bubble nuclei from the RCHB theory and the DJBUU in Section 2. Numerical results on the density distributions, the time evolution of the density at the collision, and the directed flow of neutrons and protons are described in Section 3. A summary and discussion are given in Section 4.
2. Bubble Structure in Heavy-Ion Collisions
For a theoretical investigation of the bubble structure in a nucleus we used the RCHB theory [21,22,23], and for the numerical simulations of heavy-ion collisions, we utilized the DJBUU model [19,20]. Now, we briefly describe our theoretical frameworks and the bubble structure in nuclei.
2.1. Bubble Nuclei in RCHB Theory
The RCHB theory has been developed for a spherical nucleus in coordinate space to investigate the impact of the continuum on exotic nuclear structures. The RCHB theory also provides an appropriate treatment of pairing correlations in the presence of the continuum through the Bogoliubov transformation.
The point-coupling Lagrangian density in the RCHB theory is given by [29]:
where m is the nucleon mass and the subscripts and stand for scalar, vector and isovector, respectively. The terms with , and are introduced for the effects of medium dependence, and those with , and mimic the finite range effects. and represent the vector field and field strength tensor of the electromagnetic field, respectively. For the numerical values of the coupling constants in the Lagrangian density, we adopt the PC-PK1 parametrization [29]. In the PC-PK1 parametrization, the coupling constants are fitted to the binding energies, charge radii and empirical pairing gaps of sixty selected spherical nuclei. 1 After using the mean-field approximation to the Lagrangian density in Equation (1), a Legendre transformation, a variational method and the Bogoliubov transformation, we obtain the relativistic Hartree–Bogoliubov Equation [21,22,23] to investigate nuclear properties.
In order to study the effect of the bubble structure, we define the depletion fraction factor DF that characterizes the depleted central density as follows:
where is the central density of the nucleus and is the maximum density of the nucleus. In Figure 1, we show the nucleon density distribution of Hg obtained from the RCHB theory (with a bubble structure) and from the relativistic Thomas–Fermi (RTF) theory (without a bubble structure). With the RCHB theory, the DF factors for the total and proton densities are 13% and 18%, respectively.
Figure 1.
Comparison between density distributions obtained from the RCHB (black) (with bubble structure) and the RTF (red) (without bubble structure) calculations for Hg. With the RCHB theory, the DF factors for the total and proton densities are 13% and 18%, respectively.
2.2. DJBUU
To simulate heavy-ion collisions, we used the DJBUU transport code [19,20]. The DJBUU code adopts the widely used method for initialization, collisions and Pauli blocking. For the initialization in coordinate space, in addition to the Woods–Saxon parameterization, the nucleon density profile obtained from a RTF calculation can also be used in the DJBUU code. For the mean field potentials, the DJBUU code includes the relativistic mean fields (RMF) from [30] with scalar () and vector (, ) mesons. To address issues such as partial chiral symmetry restoration and chiral-invariant nucleon mass in heavy-ion collisions, the DJBUU code also contains an extended parity doublet model in [31,32].
In the present work, we used the mean field potential given in [30], where the symmetry energy at the saturation density is 30.5 MeV and the slope parameter is 84 MeV. This mean field potential has been, for instance, used for the Transport Model Evaluation Project (TMEP) [33,34,35]. As such, the potential is well-tested in transport model studies.
A distinctive feature of the DJBUU code is the profile function of the test particle, which is not the Gaussian type:
where , is the normalization constant and and are integers. This profile function vanishes smoothly at and is exactly integrable. The values of constants are , , for the position profile and for the momentum profile with . As expected, choosing different values of the constants in our profile function affects our results. Especially, the width of the test particle, , is crucial to initialize bubble nuclei.
The mean field potentials affect mainly the propagation of particles as they appear in the equations of motion. We remark here that since we are using the RCHB theory to initialize the nucleus, our propagation method using RMF can disrupt subtle initial structures such as the bubble if the nuclei are allowed to evolve before the collision. To minimize such disruptions, we started our simulations by placing the projectile and target nuclei almost touching; the distance between the centers was 16 fm.
3. Results
We compared three different systems to observe the effect of the bubble structure. The first system was Hg + Pb without bubbles for both nuclei. The second system was also Hg + Pb but the Hg nucleus had a bubble.
The last one was Hg+Hg with bubbles for both nuclei. We simulated collisions at beam energies of 50, 100, 200 and 300 A MeV with the impact parameters 0, 3 and 6 fm. The number of test particles was 100 and ten events were simulated for each condition. We simulated until 250, 200, 120 and 100 fm/c for 50, 100, 200 and 300 A MeV, respectively.
We used the nucleon density profile from the RCHB (RTF) theory to initialize the nuclei. With the RCHB theory, we obtained the DF of 12% for the nucleon density and 29% for the proton density. When we initialized a bubble nucleus, the resulting density distribution of the initialized nucleus could be different from the RCHB result due to the finite width of the test particles if we simply sampled the nucleon positions in the RCHB profile. Hence, in order to match the RCHB profile after taking into account the test particle profile, Equation (3), we sampled modified density profiles to initialize Hg with a bubble structure. The density distributions of Hg with the RCHB and RTF results are shown in Figure 2. In this figure, the blue lines are the modified nucleon density profiles that were used for the initialization of Hg with a bubble structure.
Figure 2.
Comparison between initialized total (red or black solid lines) and proton (red or black dash-dotted lines) density distributions as a function of the radius of Hg. To secure the bubble structure of the initialized Hg, we used the rescaled nucleon density profile (blue lines) for the initialization of Hg with bubble structure.
In Figure 3, we plotted the density contours in the reaction plane for three systems with A MeV and the impact parameter 3 fm. The initialized density distributions have clear differences between the bubble and nonbubble nuclei, especially near the center of the nuclei, and the differences can be also seen during the dynamical evolution.
Figure 3.
Comparison among the density distribution of three systems in the reaction plane with A MeV and the impact parameter 3 fm. From top to bottom, the corresponding systems are Hg (nonbubble) + Pb, Hg (bubble) + Pb and Hg (bubble) + Hg (bubble) and “b” in parenthesis is the abbreviation of bubble.
Figure 4 shows the density profiles at the collision center at = 50, 100 and 200 A MeV with the impact parameter 3 fm. Comparing Hg (nonbubble) + Pb and Hg (bubble) + Pb reactions, we can see that the maximum density is smaller with a bubble structure in Hg, which is consistent with the observation made in Ref. [2] with hypothetically extreme bubble nuclei.
Figure 4.
The densities at the collision center at = 50 (a), 100 (b) and 200 (c) A MeV when the impact parameter is 3 fm. The black, red and blue lines are for Hg (nonbubble) + Pb, Hg (bubble) + Pb and Hg (bubble) + Hg (bubble) systems, respectively.
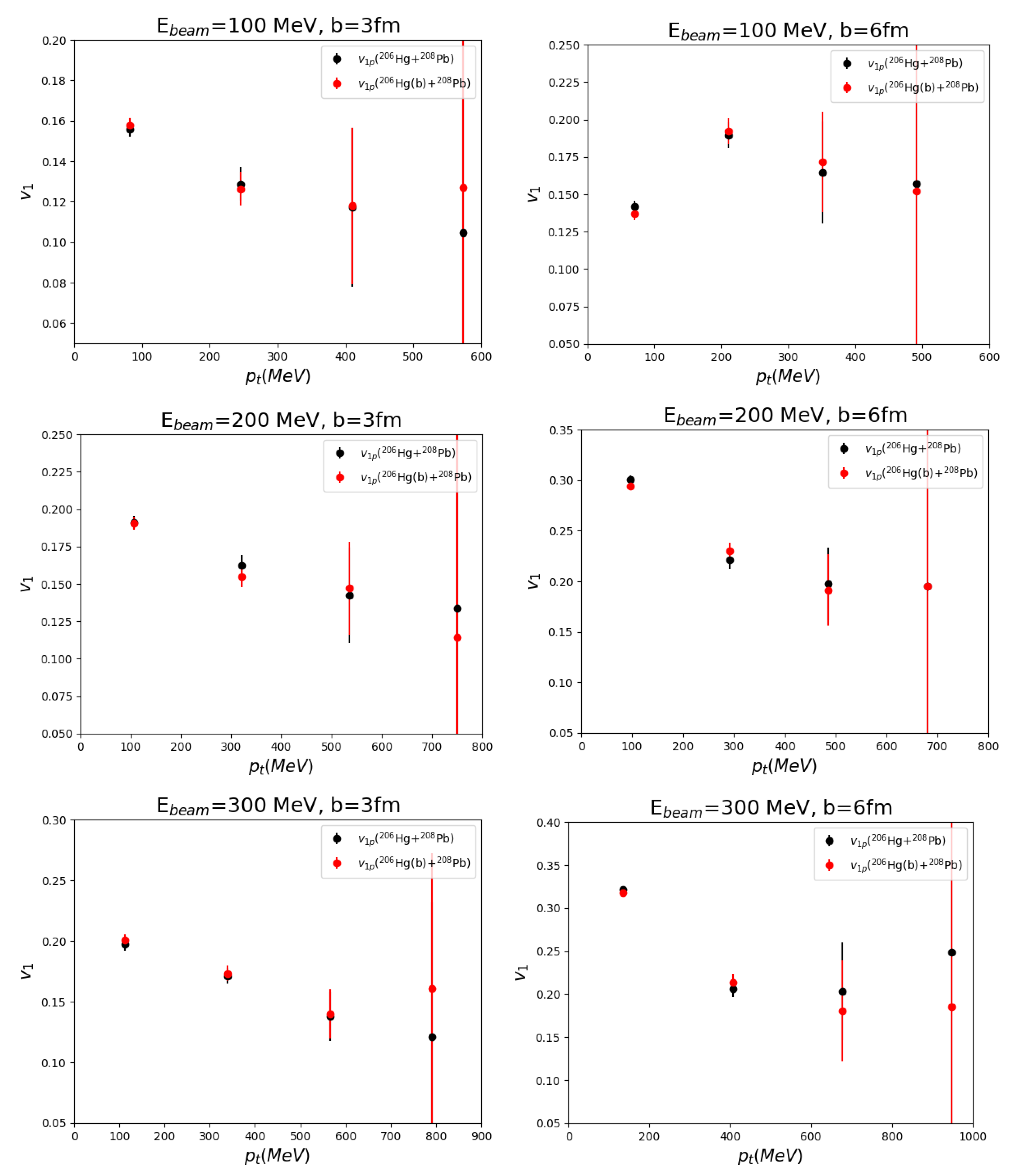
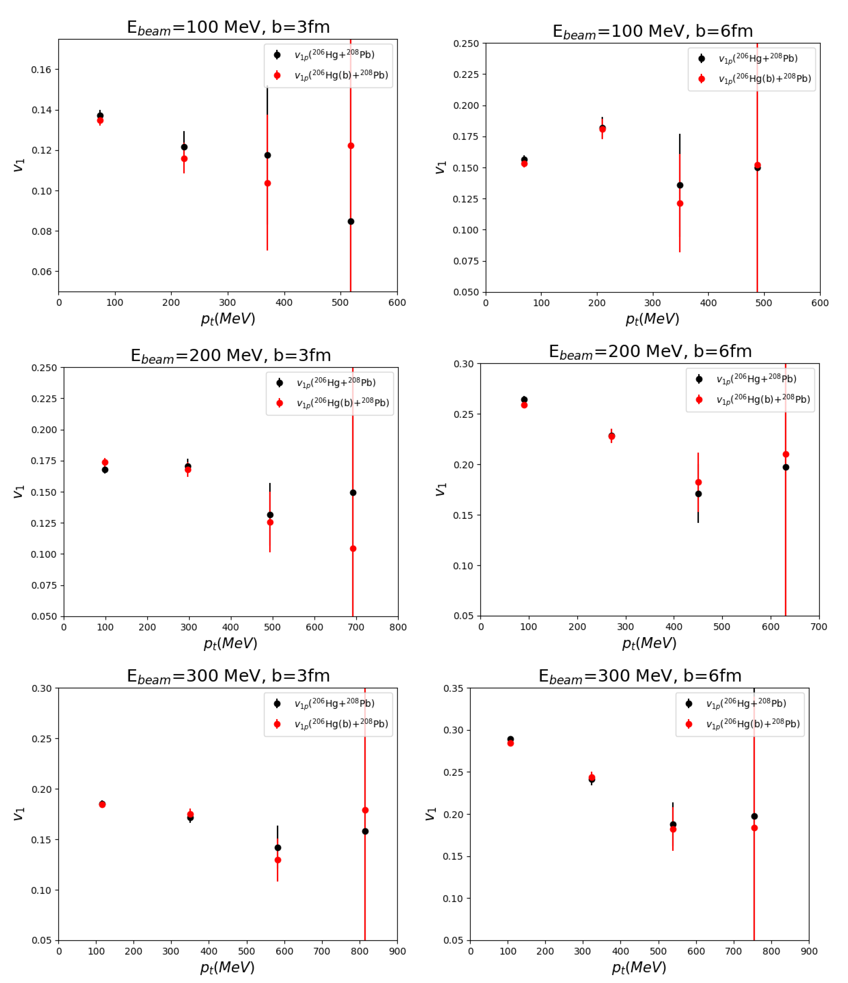
Since the momenta of the proton emitted from the collision center would be affected by the change of density, the directed flow of protons may be a good candidate for an observable that is sensitive to the existence of the bubbles. In Figure 5, the directed flow of free protons as a function of is summarized for Hg (nonbubble) + Pb and Hg (bubble) + Pb reactions. Here, is the transverse momentum. We regarded a proton in the effectively low density as a free proton and we picked only protons with negative rapidity to consider mainly the protons emitted from the Hg nucleus. We also present the directed flow of free neutrons in Figure 6. Our calculations suggest that there may exist some differences in the behaviors of . However, considering the size of the error bars, a more extensive study is needed to conclude whether the directed flow of protons is a good probe to study the bubble structure of realistic nuclei in heavy-ion collisions. For example, one should check whether or not employing some other initial state models for initialization, parameter sets other than PC-PK1, mean field potentials or different transport models can also change and in a similar way.
Figure 5.
The directed flow of protons in Hg (nonbubble) + Pb (in black) and Hg (bubble) + Pb (in red) reactions.
Figure 6.
The directed flow of neutrons in Hg (nonbubble) + Pb (in black) and Hg (bubble) + Pb (in red) reactions.
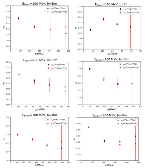
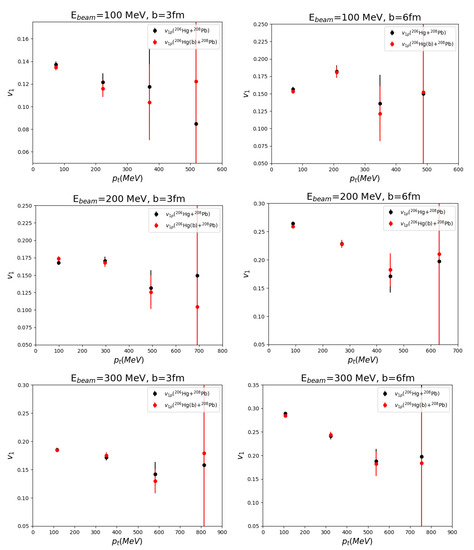
As discussed in [2], the bubble structure in a nucleus can affect the ratio in heavy-ion collisions. In general, one can expect that the produced nuclear matter during the heavy-ion collisions with bubble nuclei has a different neutron and proton distribution compared to the one with nonbubble (or normal) nuclei. This will change the symmetry potential and affect the ratio. Furthermore, as shown in Figure 4, the maximum density of the produced nuclear matter during the heavy-ion collisions becomes smaller when bubble nuclei collide, which also affects the role of symmetry energy in the produced nuclear matter. Since it is a candidate to observe the effect of the initial isospin distribution, we conducted a study of the ratio as shown in Table 1. Table 1 indicates that the ratio depends on the bubble structures of the colliding nuclei. However, considering the size of our current error bars, again a more thorough study is needed to reach a more definite conclusion.
Table 1.
/ ratio at A MeV.
4. Summary and Discussion
We investigated the possible effects of the nuclear bubble structure in heavy-ion collisions at a few tens and hundreds A MeV. We first calculated the bubble structure of Hg using the RCHB theory [21,22,23] and studied Hg + Pb and Hg + Hg reactions in the DJBUU code [19,20]. For the initialization of the bubble nucleus, we noticed that due to the finite width of the test particles we needed to modify nucleon density profiles slightly so that the actual density profiles could match the RCHB profiles.
We observed that the maximum density of the nuclear matter produced during the Hg + Pb reaction was smaller with a bubble structure in Hg, which was consistent with the observation made in Ref. [2] with a hypothetical bubble nucleus. We checked if the directed flow of nucleons and the ratio could serve as good probes to test the effects of the bubble structure in heavy-ion reactions. We did observe the expected differences in the directed flow and ratio in Hg (nonbubble) + Pb and Hg (bubble) + Pb reactions. However, in order to show clearly whether or not the directed flow and/or the charge pion ratio were good observables for the effect of the bubbles, we need to conduct more extensive studies. For example, one should check whether or not employing some other initial state models, parameter sets, mean field potentials or different transport models can also change and in a similar way. Furthermore, one may consider very light nuclei as a beam and/or target to see the effects of bubble structure in heavy-ion collisions more clearly.
One practical difficulty is that as discussed previously, due to the finite width of the test particles, there always exists a finite density contribution to the central density by nearby nucleons (test particles), which makes it difficult to initialize the bubble nuclei. For light nuclei, we observe that realizing a bubble nucleus is even more difficult since the test particles in a light nucleus tends to congregate near the center of the nucleus. One way to overcome this practical hindrance may be to use a very small width of the test particle and optimize the transport model to reasonably describe heavy-ion collisions. We leave that for our future studies.
Looking ahead, it will be interesting to investigate the effects of other exotic nuclear properties such as shape coexistence on heavy-ion collisions within our simulation framework.
Author Contributions
Formal analysis, K.K.; investigation, S.J., C.-H.L. and Y.K. All authors have read and agreed to the published version of the manuscript.
Funding
This research received no external funding.
Acknowledgments
We thank Jie Meng for providing the RCHB Fortran code for the nuclear structure calculations. The work of K.K and Y.K. was supported partly by the Rare Isotope Science Project of Institute for Basic Science funded by Ministry of Science, ICT and Future Planning and NRF of Korea (2013M7A1A1075764). S.J. is supported in part by the Natural Sciences and Engineering Research Council of Canada. C.H.L. is supported by the National Research Foundation of Korea (NRF) grants funded by the Korea government (Ministry of Science and ICT and Ministry of Education) (no. 2016R1A5A1013277 and no. 2018R1D1A1B07048599). This work was supported by the National Supercomputing Center with supercomputing resources including technical support (KSC-2021-RND-0076, KSC-2021-CRE-0477).
Conflicts of Interest
The authors declare no conflict of interest.
Note
| 1 | In principle, one can obtain different sets of the coupling constants that can equally well describe the nuclear properties. If this new set of coupling constants predicts a different bubble structure, then our results may change accordingly. |
References
- Wolter, H.; [TMEP Collaboration]. Transport model comparison studies of intermediate-energy heavy-ion collisions. Prog. Part. Nucl. Phys. 2022, 125, 103962. [Google Scholar] [CrossRef]
- Yong, G.C. Probing nuclear bubble configuration by the π-/π+ ratio in heavy-ion collisions. Eur. Phys. J. A 2016, 52, 118. [Google Scholar] [CrossRef][Green Version]
- Fan, X.H.; Yong, G.C.; Zuo, W. Probing nuclear bubble configuration by proton induced reaction. Phys. Rev. C 2019, 99, 041601. [Google Scholar] [CrossRef]
- Wilson, H.A. A Spherical Shell Nuclear Model. Phys. Rev. 1946, 69, 538. [Google Scholar] [CrossRef]
- Wong, C.Y. Bubble nuclei. Phys. Lett. B 1972, 41, 451. [Google Scholar] [CrossRef]
- Borunda, M.; Lopez, J.A. On the formation of hollow configurations in heavy-ion collisions. Il Nuovo Cimento A (1965-1970) 1994, 107, 2773–2787. [Google Scholar] [CrossRef]
- Todd-Rutel, B.G.; Piekarewicz, J.; Cottle, P.D. Spin orbit splitting in low j neutron orbits and proton densities in the nuclear interior. Phys. Rev. C 2004, 69, 021301. [Google Scholar] [CrossRef]
- Li, J.J.; Long, W.H.; Song, J.L.; Zhao, Q. Pseudospin–orbit splitting and its consequences for the central depression in nuclear density. Phys. Rev. C 2016, 93, 054312. [Google Scholar] [CrossRef]
- Yong, G.C. Hollow nuclear matter. Phys. Rev. C 2016, 93, 014602. [Google Scholar] [CrossRef]
- Schuetrumpf, B.; Nazarewicz, W.; Reinhard, P.G. Central depression in nucleonic densities: Trend analysis in the nuclear density functional theory approach. Phys. Rev. C 2017, 96, 024306. [Google Scholar] [CrossRef]
- Arthuis, P.; Barbieri, C.; Vorabbi, M.; Finelli, P. AbInitio Computation of Charge Densities for Sn and Xe Isotopes. Phys. Rev. Lett. 2020, 125, 182501. [Google Scholar] [CrossRef]
- Choi, Y.B.; Lee, C.H.; Mun, M.H.; Kim, Y. Bubble nuclei with shape coexistence in even-even isotopes of Hf to Hg. Phys. Rev. C 2022, 105, 024306. [Google Scholar] [CrossRef]
- Mutschler, A.; Lemasson, A.; Sorlin, O.; Bazin, D.; Borcea, C.; Borcea, R.; Dombrádi, Z.; Ebran, J.P.; Gade, A.; Iwasaki, H.; et al. A proton density bubble in the doubly magic 34Si nucleus. Nat. Phys. 2017, 13, 152. [Google Scholar] [CrossRef]
- Zhan, W.L.; [HIRFL-CSR Group]. Progress in HIRFL-CSR. Nucl. Phys. A 2010, 834, 694c–700c. [Google Scholar] [CrossRef]
- Motobayashi, T. RIKEN RI Beam Factory–Recent Results and Perspectives. Nucl. Phys. A 2010, 834, 707c. [Google Scholar] [CrossRef]
- Jeong, S.; Papakonstantinou, P.; Ishiyama, H.; Kim, Y. A Brief Overview of RAON Physics. J. Korean Phys. Soc. 2018, 73, 516. [Google Scholar] [CrossRef]
- Goutte, H.; Navin, A. Microscopes for the Physics at the Femtoscale: GANIL-SPIRAL2. Nucl. Phys. News 2021, 31, 5. [Google Scholar] [CrossRef]
- Ostroumov, P.N.; Hausmann, M.; Fukushima, K.; Maruta, T.; Plastun, A.S.; Portillo, M.; Wei, J.; Zhang, T.; Zhao, Q. Heavy ion beam physics at Facility for Rare Isotope Beams. JINST 2020, 15, P12034. [Google Scholar] [CrossRef]
- Kim, M.; Lee, C.; Kim, Y.; Jeon, S. Postscript on the indexing of the journal New Physics: Sae Mulli in Scopus. Sci. Ed. 2016, 3, 53–56. [Google Scholar]
- Kim, M.; Jeon, S.; Kim, Y.M.; Kim, Y.; Lee, C.H. Extended parity doublet model with a new transport code. Phys. Rev. C 2020, 101, 064614. [Google Scholar] [CrossRef]
- Meng, J.; Toki, H.; Zhou, S.G.; Zhang, S.Q.; Long, W.H.; Geng, L.S. Relativistic Continuum Hartree Bogoliubov theory for ground state properties of exotic nuclei. Prog. Part. Nucl. Phys. 2006, 57, 470. [Google Scholar] [CrossRef]
- Meng, J. Relativistic continuum Hartree-Bogoliubov theory with both zero range and finite range Gogny force and their application. Nucl. Phys. A 1998, 635, 3. [Google Scholar] [CrossRef]
- Xia, X.W.; Lim, Y.; Zhao, P.W.; Liang, H.Z.; Qu, X.Y.; Chen, Y.; Liu, H.; Zhang, L.F.; Zhang, S.Q.; Kim, Y.; et al. The limits of the nuclear landscape explored by the relativistic continuum Hartree–Bogoliubov theory. Atom. Data Nucl. Data Tabl. 2018, 121–122, 1. [Google Scholar] [CrossRef]
- Meng, J.; Ring, P. Relativistic Hartree-Bogoliubov Description of the Neutron Halo in 11Li. Phys. Rev. Lett. 1996, 77, 3963. [Google Scholar] [CrossRef] [PubMed]
- Meng, J.; Ring, P. A Giant halo at the neutron dripline. Phys. Rev. Lett. 1998, 80, 460. [Google Scholar] [CrossRef]
- Meng, J.; Toki, H.; Zeng, J.Y.; Zhang, S.Q.; Zhou, S.G. Giant halo at the neutron dripline in Ca isotopes in relativistic continuum Hartree-Bogoliubov theory. Phys. Rev. C 2002, 65, 041302. [Google Scholar] [CrossRef]
- Zhang, S.Q.; Meng, J.; Toki, H.; Tanihata, I.; Zhou, S.G. Study of proton magic even even isotopes and giant halos of Ca isotopes with relativistic continuum Hartree-Bogoliubov theory. Sci. China Phys. Mech. Astron. 2003, 46, 632. [Google Scholar]
- Qu, X.; Chen, Y.; Zhang, S.; Zhao, P.; Shin, I.J.; Lim, Y.; Kim, Y.; Meng, J. Extending the nuclear chart by continuum: From oxygen to titanium. Sci. China Phys. Mech. Astron. 2013, 56, 2031. [Google Scholar] [CrossRef]
- Zhao, P.W.; Li, Z.P.; Yao, J.M.; Meng, J. New parametrization for the nuclear covariant energy density functional with point-coupling interaction. Phys. Rev. C 2010, 82, 054319. [Google Scholar] [CrossRef]
- Liu, B.; Greco, V.; Baran, V.; Colonna, M.; Toro, M.D. Asymmetric nuclear matter: The Role of the isovector scalar channel. Phys. Rev. C 2002, 65, 045201. [Google Scholar] [CrossRef]
- Motohiro, Y.; Kim, Y.; Harada, M. Asymmetric nuclear matter in a parity doublet model with hidden local symmetry. Phys. Rev. C 2015, 92, 025201. [Google Scholar] [CrossRef]
- Shin, I.J.; Paeng, W.G.; Harada, M.; Kim, Y. Nuclear structure in Parity Doublet Model. arXiv 2018, arXiv:1805.03402. [Google Scholar]
- Xu, J.; Chen, L.W.; Tsang, M.B.; Wolter, H.; Zhang, Y.X.; Aichelin, J.; Colonna, M.; Cozma, D.; Danielewicz, P.; Feng, Z.Q.; et al. Understanding transport simulations of heavy-ion collisions at 100A and 400A MeV: Comparison of heavy-ion transport codes under controlled conditions. Phys. Rev. C 2016, 93, 044609. [Google Scholar] [CrossRef]
- Ono, A.; Xu, J.; Colonna, M.; Danielewicz, P.; Ko, C.M.; Tsang, M.B.; Wang, Y.J.; Wolter, H.; Zhang, Y.X.; Chen, L.W.; et al. Comparison of heavy-ion transport simulations: Collision integral with pions and Δ resonances in a box. Phys. Rev. C 2019, 100, 044617. [Google Scholar] [CrossRef]
- Colonna, M.; Zhang, Y.X.; Wang, Y.J.; Cozma, D.; Danielewicz, P.; Ko, C.M.; Ono, A.; Tsang, M.B.; Wang, R.; Wolter, H.; et al. Comparison of heavy-ion transport simulations: Mean-field dynamics in a box. Phys. Rev. C 2021, 104, 024603. [Google Scholar] [CrossRef]
Publisher’s Note: MDPI stays neutral with regard to jurisdictional claims in published maps and institutional affiliations. |
© 2022 by the authors. Licensee MDPI, Basel, Switzerland. This article is an open access article distributed under the terms and conditions of the Creative Commons Attribution (CC BY) license (https://creativecommons.org/licenses/by/4.0/).





