Radio Stars of the SKA
Abstract
1. Introduction
2. Materials and Methods
2.1. The Besançon Model
2.2. The Square Kilometre Array
2.3. The Radio Emission of OB Stars
2.4. The Radio Emission of Be Stars
2.5. The Radio Emission of Ultra Compact HII Regions
2.6. The Radio Emission of M Dwarf Flares
3. Results
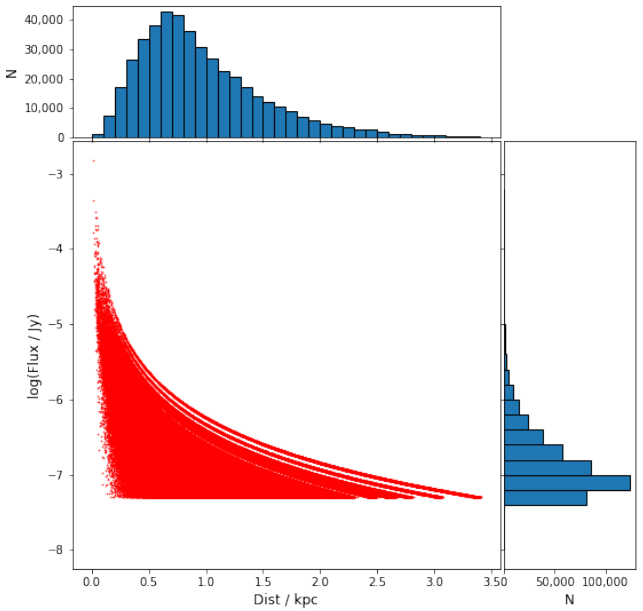
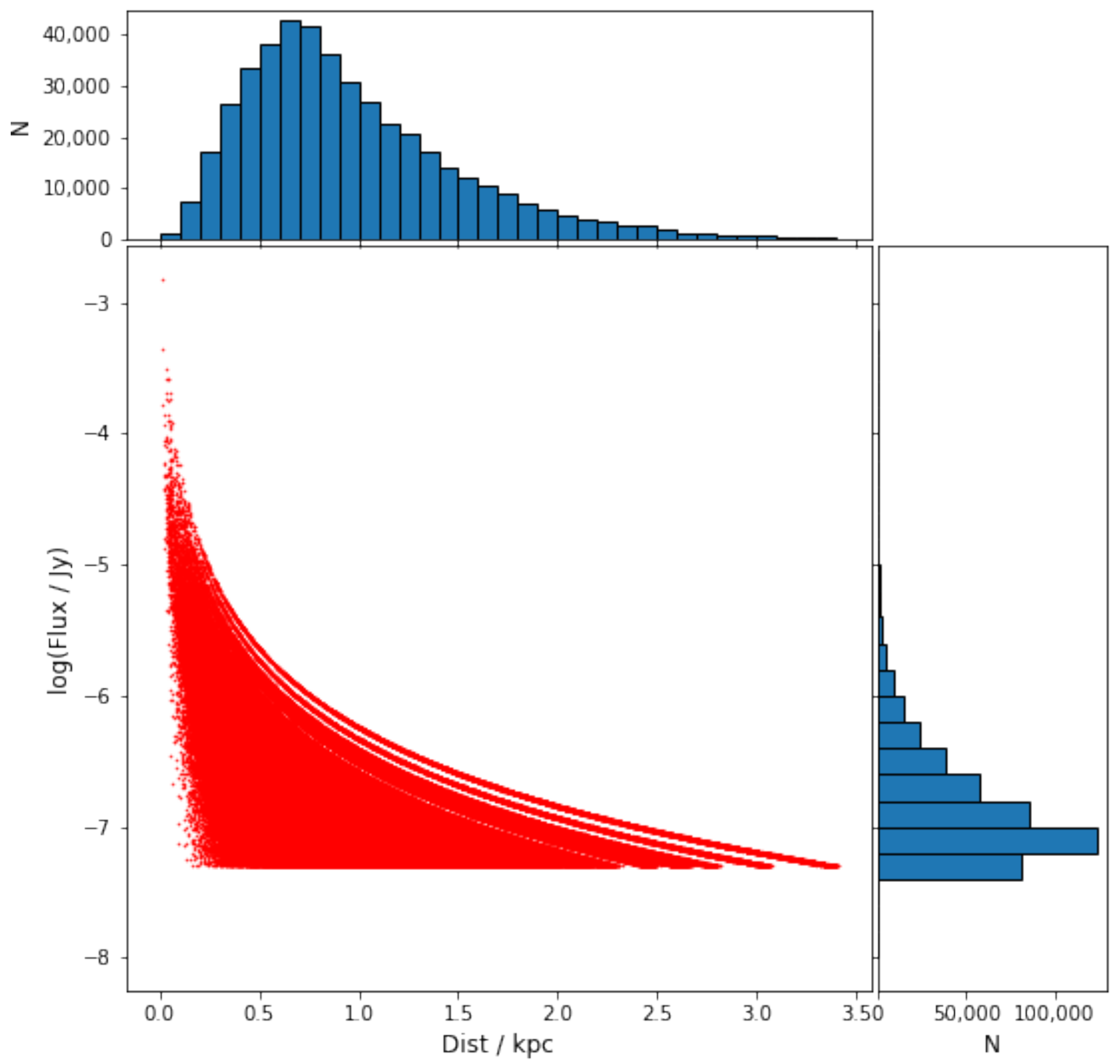
3.1. Flux Distribution
3.2. Sky Distribution
4. Discussion
5. Conclusions
Author Contributions
Funding
Institutional Review Board Statement
Informed Consent Statement
Acknowledgments
Conflicts of Interest
References
- Güdel, M. Stellar Radio Astronomy: Probing Stellar Atmospheres from Protostars to Giants. Annu. Rev. Astron. Astrophys. 2002, 40, 217–261. [Google Scholar] [CrossRef]
- White, S.M. The solar stellar connection. New Astron. Rev. 2004, 48, 1319–1326. [Google Scholar] [CrossRef][Green Version]
- Melrose, D.B.; Dulk, G.A. Electron-cyclotron masers as the source of certain solar and stellar radio bursts. Astrophys. J. 1982, 259, 844–858. [Google Scholar] [CrossRef]
- Melrose, D.B.; Dulk, G.A. Radio-frequency heating of the coronal plasma during flares. Astrophys. J. 1984, 282, 308–315. [Google Scholar] [CrossRef]
- Schilizzi, R.T. The Square Kilometer Array. In Ground–Based Telescopes; Oschmann, J.M., Stepp, L.M., Eds.; International Society for Optics and Photonics, SPIE: Bellingham, WA, USA, 2004; Volume 5489, pp. 62–71. [Google Scholar] [CrossRef]
- Braun, R.; Bonaldi, A.; Bourke, T.; Keane, E.; Wagg, J. Anticipated Performance of the Square Kilometre Array—Phase 1 (SKA1). arXiv, 2019; arXiv:1912.12699. [Google Scholar]
- Umana, G.; Trigilio, C.; Cerrigone, L.; Cesaroni, R.; Zijlstra, A.A.; Hoare, M.; Weis, K.; Beasley, A.; Bomans, D.; Hallinan, G.; et al. The impact of SKA on Galactic Radioastronomy: Continuum observations. Advancing Astrophysics with the Square Kilometre Array (AASKA14). arXiv, 2015; arXiv:1412.5833. [Google Scholar]
- Robin, A.C.; Reylé, C.; Derrière, S.; Picaud, S. A synthetic view on structure and evolution of the Milky Way. Astron. Astrophys. 2003, 409, 523–540. [Google Scholar] [CrossRef]
- Robin, A.C.; Marshall, D.J.; Schultheis, M.; Reylé, C. Stellar populations in the Milky Way bulge region: Towards solving the Galactic bulge and bar shapes using 2MASS data. Astron. Astrophys. 2012, 538, A106. [Google Scholar] [CrossRef]
- Robin, A.C.; Reylé, C.; Fliri, J.; Czekaj, M.; Robert, C.P.; Martins, A.M.M. Constraining the thick disc formation scenario of the Milky Way. Astron. Astrophys. 2014, 569, A13. [Google Scholar] [CrossRef]
- Bienaymé, O.; Robin, A.C.; Famaey, B. Quasi integral of motion for axisymmetric potentials. Astron. Astrophys. 2015, 581, A123. [Google Scholar] [CrossRef]
- Robin, A.C.; Bienaymé, O.; Fernández-Trincado, J.G.; Reylé, C. Kinematics of the local disk from the RAVE survey and the Gaia first data release. Astron. Astrophys. 2017, 605, A1. [Google Scholar] [CrossRef]
- Amôres, E.B.; Robin, A.C.; Reylé, C. Evolution over time of the Milky Way’s disc shape. Astron. Astrophys. 2017, 602, A67. [Google Scholar] [CrossRef]
- Combes, F. The Square Kilometer Array: Cosmology, pulsars and other physics with the SKA. J. Instrum. 2015, 10. [Google Scholar] [CrossRef][Green Version]
- Wright, A.E.; Barlow, M.J. The radio and infrared spectrum of early type stars undergoing mass loss. Mon. Not. R. Astron. Soc. 1975, 170, 41–51. [Google Scholar] [CrossRef]
- Lamers, H.J.G.L.M.; Cassinelli, J.P. Introduction to Stellar Winds; Cambridge University Press: Cambridge, UK, 1999. [Google Scholar]
- Vink, J.S. The theory of stellar winds. Astrophys. Space Sci. 2011, 336, 163–167. [Google Scholar] [CrossRef]
- Panagia, N.; Felli, M. The spectrum of the free-free radiation from extended envelopes. Astron. Astrophys. 1975, 39, 1–5. [Google Scholar]
- Bieging, J.H.; Abbott, D.C.; Churchwell, E.B. A Survey of Radio Emission from Galactic OB Stars. Astrophys. J. 1989, 340, 518. [Google Scholar] [CrossRef]
- Abbott, D.C.; Lucy, L.B. Multiline transfer and the dynamics of stellar winds. Astrophys. J. 1985, 288, 679–693. [Google Scholar] [CrossRef]
- Vink, J.S.; de Koter, A.; Lamers, H.J.G.L.M. New theoretical mass-loss rates of O and B stars. Astron. Astrophys. 2000, 362, 295–309. [Google Scholar]
- Lamers, H.J.G.L.M.; Snow, T.P.; Lindholm, D.M. Terminal Velocities and the Bistability of Stellar Winds. Astrophys. J. 1995, 455, 269. [Google Scholar] [CrossRef]
- Sana, H.; de Mink, S.E.; de Koter, A.; Langer, N.; Evans, C.J.; Gieles, M.; Gosset, E.; Izzard, R.G.; Le Bouquin, J.B.; Schneider, F.R.N. Binary Interaction Dominates the Evolution of Massive Stars. Science 2012, 337, 444. [Google Scholar] [CrossRef]
- Jaschek, M.; Slettebak, A.; Jaschek, C. Be star terminology. Be Star Newsl. 1981, 4, 9–11. [Google Scholar]
- Zorec, J.; Briot, D. Critical study of the frequency of Be stars taking into account their outstanding characteristics. Astron. Astrophys. 1997, 318, 443–460. [Google Scholar]
- Rivinius, T.; Carciofi, A.C.; Martayan, C. Classical Be stars. Rapidly rotating B stars with viscous Keplerian decretion disks. Astron. Astrophys. 2013, 21, 69. [Google Scholar] [CrossRef]
- Bjorkman, J.E.; Cassinelli, J.P. Equatorial Disk Formation around Rotating Stars Due to Ram Pressure Confinement by the Stellar Wind. Astrophys. J. 1993, 409, 429. [Google Scholar] [CrossRef]
- Stee, P.; de Araujo, F.X. Line profiles and intensity maps from an axi-symmetric radiative wind model for Be stars. Astron. Astrophys. 1994, 292, 221–238. [Google Scholar]
- Stee, P.; de Araujo, F.X.; Vakili, F.; Mourard, D.; Arnold, L.; Bonneau, D.; Morand, F.; Tallon-Bosc, I. γ Cassiopeiae revisited by spectrally resolved interferometry. Astron. Astrophys. 1995, 300, 219. [Google Scholar]
- Porter, J.M.; Rivinius, T. Classical Be Stars. Astron. Astrophys. Rev. 2003, 115, 1153–1170. [Google Scholar] [CrossRef]
- Struve, O. On the Origin of Bright Lines in Spectra of Stars of Class B. Astrophys. J. 1931, 73, 94. [Google Scholar] [CrossRef]
- Gies, D.R.; Bagnuolo, W.G., Jr.; Baines, E.K.; ten Brummelaar, T.A.; Farrington, C.D.; Goldfinger, P.J.; Grundstrom, E.D.; Huang, W.; McAlister, H.A.; Mérand, A.; et al. CHARA Array K’-Band Measurements of the Angular Dimensions of Be Star Disks. Astrophys. J. 2007, 654, 527–543. [Google Scholar] [CrossRef]
- Carciofi, A.C.; Okazaki, A.T.; Le Bouquin, J.B.; Štefl, S.; Rivinius, T.; Baade, D.; Bjorkman, J.E.; Hummel, C.A. Cyclic variability of the circumstellar disk of the Be star ζ Tauri. II. Testing the 2D global disk oscillation model. Astron. Astrophys. 2009, 504, 915–927. [Google Scholar] [CrossRef]
- Taylor, A.R.; Waters, L.B.F.M.; Bjorkman, K.S.; Dougherty, S.M. A radio survey of IRAS-selected Be stars. Astron. Astrophys. 1990, 231, 453–458. [Google Scholar]
- Taylor, A.R.; Waters, L.B.F.M.; Lamers, H.J.G.L.M.; Persi, P.; Bjorkman, K.S. Radio detection of the Be star psi Persei. Mon. Not. R. Astron. Soc. 1987, 228, 811–817. [Google Scholar] [CrossRef][Green Version]
- Wood, D.O.S.; Churchwell, E. The Morphologies and Physical Properties of Ultracompact H II Regions. Astrophys. J. 1989, 69, 831. [Google Scholar] [CrossRef]
- Churchwell, E. Ultra-Compact HII Regions and Massive Star Formation. Annu. Rev. Astron. Astrophys. 2002, 40, 27–62. [Google Scholar] [CrossRef]
- Wood, D.O.S.; Churchwell, E. Massive Stars Embedded in Molecular Clouds: Their Population and Distribution in the Galaxy. Astrophys. J. 1989, 340, 265. [Google Scholar] [CrossRef]
- Mottram, J.C.; Hoare, M.G.; Davies, B.; Lumsden, S.L.; Oudmaijer, R.D.; Urquhart, J.S.; Moore, T.J.T.; Cooper, H.D.B.; Stead, J.J. The RMS Survey: The Luminosity Functions and Timescales of Massive Young Stellar Objects and Compact H II Regions. Astrophys. J. 2011, 730, L33. [Google Scholar] [CrossRef]
- Zijlstra, A.A.; Pottasch, S.R. Low mass planetary nebulae near the galactic centre. Astron. Astrophys. 1989, 216, 245–252. [Google Scholar]
- Zijlstra, A.A.; te Lintel Hekkert, P.; Pottasch, S.R.; Caswell, J.L.; Ratag, M.; Habing, H.J. OH maser emission from young planetary nebulae. Astron. Astrophys. 1989, 217, 157–178. [Google Scholar]
- Pottasch, S.R. Planetary Nebulae. A Study of Late Stages of Stellar Evolution; Springer: Dordrecht, The Netherlands, 1984; Volume 107. [Google Scholar] [CrossRef]
- Haisch, B.; Strong, K.T.; Rodono, M. Flares on the Sun and other stars. Annu. Rev. Astron. Astrophys. 1991, 29, 275–324. [Google Scholar] [CrossRef]
- Martens, P.C.H.; Kuin, N.P.M. A Circuit Model for Filament Eruptions and Two-Ribbon Flares. Sol. Phys. 1989, 122, 263–302. [Google Scholar] [CrossRef]
- Shibata, K.; Magara, T. Solar Flares: Magnetohydrodynamic Processes. Living Rev. Sol. Phys. 2011, 8, 6. [Google Scholar] [CrossRef]
- Parnell, C.E.; Jupp, P.E. Statistical Analysis of the Energy Distribution of Nanoflares in the Quiet Sun. Astrophys. J. 2000, 529, 554–569. [Google Scholar] [CrossRef]
- Shibayama, T.; Maehara, H.; Notsu, S.; Notsu, Y.; Nagao, T.; Honda, S.; Ishii, T.T.; Nogami, D.; Shibata, K. Superflares on Solar-type Stars Observed with Kepler. I. Statistical Properties of Superflares. Astrophys. J. 2013, 209, 5. [Google Scholar] [CrossRef]
- Hawley, S.L.; Fisher, G.H.; Simon, T.; Cully, S.L.; Deustua, S.E.; Jablonski, M.; Johns-Krull, C.M.; Pettersen, B.R.; Smith, V.; Spiesman, W.J.; et al. Simultaneous Extreme-Ultraviolet Explorer and Optical Observations of AD Leonis: Evidence for Large Coronal Loops and the Neupert Effect in Stellar Flares. Astrophys. J. 1995, 453, 464. [Google Scholar] [CrossRef]
- Hawley, S.L.; Allred, J.C.; Johns-Krull, C.M.; Fisher, G.H.; Abbett, W.P.; Alekseev, I.; Avgoloupis, S.I.; Deustua, S.E.; Gunn, A.; Seiradakis, J.H.; et al. Multiwavelength Observations of Flares on AD Leonis. Astrophys. J. 2003, 597, 535–554. [Google Scholar] [CrossRef]
- Berger, E.; Gizis, J.E.; Giampapa, M.S.; Rutledge, R.E.; Liebert, J.; Martín, E.; Basri, G.; Fleming, T.A.; Johns-Krull, C.M.; Phan-Bao, N.; et al. Simultaneous Multiwavelength Observations of Magnetic Activity in Ultracool Dwarfs. I. The Complex Behavior of the M8.5 Dwarf TVLM 513-46546. Astrophys. J. 2008, 673, 1080–1087. [Google Scholar] [CrossRef]
- Günther, M.N.; Zhan, Z.; Seager, S.; Rimmer, P.B.; Ranjan, S.; Stassun, K.G.; Oelkers, R.J.; Daylan, T.; Newton, E.; Kristiansen, M.H.; et al. Stellar Flares from the First TESS Data Release: Exploring a New Sample of M Dwarfs. Astron. J. 2020, 159, 60. [Google Scholar] [CrossRef]
- Henry, T.J.; Kirkpatrick, J.D.; Simons, D.A. The Solar Neighborhood. I. Standard Spectral Types (K5-M8) for Northern Dwarfs Within Eight Parsecs. Astron. J. 1994, 108, 1437. [Google Scholar] [CrossRef]
- Reid, I.N.; Cruz, K.L.; Allen, P.; Mungall, F.; Kilkenny, D.; Liebert, J.; Hawley, S.L.; Fraser, O.J.; Covey, K.R.; Lowrance, P.; et al. Meeting the Cool Neighbors. VIII. A Preliminary 20 Parsec Census from the NLTT Catalogue. Astron. J. 2004, 128, 463–483. [Google Scholar] [CrossRef]
- Covey, K.R.; Hawley, S.L.; Bochanski, J.J.; West, A.A.; Reid, I.N.; Golimowski, D.A.; Davenport, J.R.A.; Henry, T.; Uomoto, A.; Holtzman, J.A. The Luminosity and Mass Functions of Low-Mass Stars in the Galactic Disk. I. The Calibration Region. Astron. J. 2008, 136, 1778–1798. [Google Scholar] [CrossRef]
- Rodríguez Martínez, R.; Lopez, L.A.; Shappee, B.J.; Schmidt, S.J.; Jayasinghe, T.; Kochanek, C.S.; Auchettl, K.; Holoien, T.W.S. A Catalog of M-dwarf Flares with ASAS-SN. Astrophys. J. 2020, 892, 144. [Google Scholar] [CrossRef]
- Hawley, S.L.; Gizis, J.E.; Reid, I.N. The Palomar/MSU Nearby Star Spectroscopic Survey. II. The Southern M Dwarfs and Investigation of Magnetic Activity. Astron. J. 1996, 112, 2799. [Google Scholar] [CrossRef]
- Gizis, J.E.; Monet, D.G.; Reid, I.N.; Kirkpatrick, J.D.; Liebert, J.; Williams, R.J. New Neighbors from 2MASS: Activity and Kinematics at the Bottom of the Main Sequence. Astron. J. 2000, 120, 1085–1099. [Google Scholar] [CrossRef]
- West, A.A.; Hawley, S.L.; Walkowicz, L.M.; Covey, K.R.; Silvestri, N.M.; Raymond, S.N.; Harris, H.C.; Munn, J.A.; McGehee, P.M.; Ivezić, Ž.; et al. Spectroscopic Properties of Cool Stars in the Sloan Digital Sky Survey: An Analysis of Magnetic Activity and a Search for Subdwarfs. Astron. J. 2004, 128, 426–436. [Google Scholar] [CrossRef]
- West, A.A.; Hawley, S.L.; Bochanski, J.J.; Covey, K.R.; Reid, I.N.; Dhital, S.; Hilton, E.J.; Masuda, M. Constraining the Age-Activity Relation for Cool Stars: The Sloan Digital Sky Survey Data Release 5 Low-Mass Star Spectroscopic Sample. Astron. J. 2008, 135, 785–795. [Google Scholar] [CrossRef]
- Hilton, E.J.; Hawley, S.; West, A.A.; Kowalski, A. M Dwarf Flares from Time-Resolved SDSS Spectra. Am. Inst. Phys. Conf. Ser. 2009, 1094, 652–655. [Google Scholar] [CrossRef]
- Villadsen, J.; Hallinan, G. Ultra-wideband Detection of 22 Coherent Radio Bursts on M Dwarfs. Astrophys. J. 2019, 871, 214. [Google Scholar] [CrossRef]













| Flux Threshold (Jy) | |||||
|---|---|---|---|---|---|
| OB stars | 598 0.012% | 2651 0.054% | 15,676 0.319% | 70,577 1.437% | 248,121 5.051% |
| Be stars | 1966 0.16% | 45,867 3.73% | 353,050 28.75% | 1,130,459 92.05% | 1,196,901 97.46% |
| UC HII regions | 189,895 99.99% | 189,906 100.00% | 189,906 100.00% | 189,906 100.00% | 189,906 100.00% |
| M dwarf flares | 19,366 0.40% | 234,009 4.88% | 1,485,377 30.66% | 4,098,485 84.41% | 4,616,311 95.08% |
| Directions | Center | Anti-Center | ||
|---|---|---|---|---|
| OB stars | 70.6 0.265% | 3.05 0.482% | 0.45 0.616% | 3.15 0.581% |
| Be stars | 1466.25 22.06% | 110.95 70.42% | 15.8 78.80% | 102.6 73.47% |
| UC HII regions | 1030.55 100.00% | 25.15 100.00% | 3.2 100.00% | 23.0 100.00% |
| M dwarf flares | 1090.81 30.66% | - | - | - |
Publisher’s Note: MDPI stays neutral with regard to jurisdictional claims in published maps and institutional affiliations. |
© 2021 by the authors. Licensee MDPI, Basel, Switzerland. This article is an open access article distributed under the terms and conditions of the Creative Commons Attribution (CC BY) license (https://creativecommons.org/licenses/by/4.0/).
Share and Cite
Yu, B.; Zijlstra, A.; Jiang, B. Radio Stars of the SKA. Universe 2021, 7, 119. https://doi.org/10.3390/universe7050119
Yu B, Zijlstra A, Jiang B. Radio Stars of the SKA. Universe. 2021; 7(5):119. https://doi.org/10.3390/universe7050119
Chicago/Turabian StyleYu, Bin, Albert Zijlstra, and Biwei Jiang. 2021. "Radio Stars of the SKA" Universe 7, no. 5: 119. https://doi.org/10.3390/universe7050119
APA StyleYu, B., Zijlstra, A., & Jiang, B. (2021). Radio Stars of the SKA. Universe, 7(5), 119. https://doi.org/10.3390/universe7050119

