Multi-Component MHD Model of Hot Jupiter Envelopes
Abstract
:1. Introduction
2. Stellar Wind Model
2.1. Basic Equations
2.2. Method of Solution
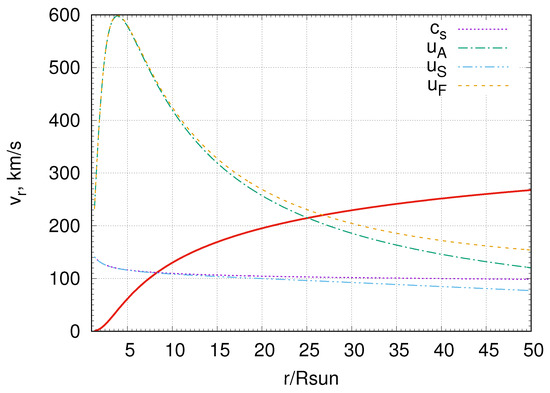
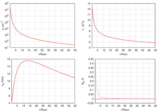
2.3. Calculation Example
3. Multi-Component Magnetic Hydrodynamics
4. Model for Envelope of Hot Jupiter
4.1. Model Description
4.2. Upper Atmosphere
4.3. Magnetic Field
4.4. Numerical Method
5. Results of Simulations
5.1. Model Parameters
5.2. Super-Alfvén Flow Regime
5.3. Sub-Alfvén Flow Regime
6. Conclusions
Author Contributions
Funding
Institutional Review Board Statement
Informed Consent Statement
Data Availability Statement
Acknowledgments
Conflicts of Interest
Appendix A. Difference Scheme for the Equations of Multi-Component Magnetic Hydrodynamics
Appendix A.1. Roe Matrix
- (1)
- Hyperbolicity. Matrix must be hyperbolic. Otherwise, the Riemann problem for a system of linearized Equation (A10) loses its meaning.
- (2)
- Consistency. Matrix should make smooth transition to the hyperbolicity matrix in the limit at .
- (3)
Appendix A.2. Eigenvectors
Appendix A.3. Test Calculations


References
- Murray-Clay, R.A.; Chiang, E.I.; Murray, N. Atmospheric escape from hot Jupiters. Astrophys. J. 2009, 693, 23–42. [Google Scholar] [CrossRef] [Green Version]
- Mayor, M.; Queloz, D. A Jupiter-mass companion to a solar-type star. Nature 1995, 378, 355–359. [Google Scholar] [CrossRef]
- Lai, D.; Helling, C.; van den Heuvel, E.P.J. Mass transfer, transiting stream, and magnetopause in close-in exoplanetary systems with applications to WASP-12. Astrophys. J. 2010, 721, 923–928. [Google Scholar] [CrossRef] [Green Version]
- Li, S.-L.; Miller, N.; Lin, D.N.C.; Fortney, J.J. WASP-12b as a prolate, inflated and disrupting planet from tidal dissipation. Nature 2010, 463, 1054–1056. [Google Scholar] [CrossRef] [PubMed] [Green Version]
- Vidal-Madjar, A.; Lecavelier des Etangs, A.; Desert, J.-M.; Ballester, G.E.; Ferlet, R.; Hébrard, G.; Mayor, M. An extended upper atmosphere around the extrasolar planet HD209458b. Nature 2003, 422, 143–146. [Google Scholar] [CrossRef]
- Vidal-Madjar, A.; Lecavelier des Etangs, A.; Desert, J.-M.; Ballester, G.E.; Ferlet, R.; Hébrard, G.; Mayor, M. Exoplanet HD 209458b (Osiris): Evaporation strengthened. Astrophys. J. 2008, 676, L57. [Google Scholar] [CrossRef] [Green Version]
- Ben-Jaffel, L. Exoplanet HD 209458b: Inflated hydrogen atmosphere but no sign of evaporation. Astrophys. J. 2007, 671, L61–L64. [Google Scholar] [CrossRef] [Green Version]
- Vidal-Madjar, A.; Desert, J.-M.; Lecavelier des Etangs, A.; Hébrard, G.; Ballester, G.E.; Ehrenreich, D.; Ferlet, R.; McConnell, J.C.; Mayor, M.; Parkinson, C.D. Detection of oxygen and carbon in the hydrodynamically escaping atmosphere of the extrasolar planet HD 209458b. Astrophys. J. 2004, 604, L69–L72. [Google Scholar] [CrossRef] [Green Version]
- Ben-Jaffel, L.; Sona Hosseini, S. On the existence of energetic atoms in the upper atmosphere of exoplanet HD209458b. Astrophys. J. 2010, 709, 1284–1296. [Google Scholar] [CrossRef] [Green Version]
- Linsky, J.L.; Yang, H.; France, K.; Froning, C.S.; Green, J.C.; Stocke, J.T.; Osterman, S.N. Observations of mass loss from the transiting exoplanet HD 209458b. Astrophys. J. 2010, 717, 1291–1299. [Google Scholar] [CrossRef]
- Lecavelier des Etangs, A.; Bourrier, V.; Wheatley, P.J.; Dupuy, H.; Ehrenreich, D.; Vidal-Madjar, A.; Hébrard, G.; Ballester, G.E.; Désert, J.-M.; Ferlet, R.; et al. Temporal variations in the evaporating atmosphere of the exoplanet HD 189733b. Astron. Astrophys. 2012, 543, id.L4. [Google Scholar] [CrossRef] [Green Version]
- Yelle, R.V. Aeronomy of extra-solar giant planets at small orbital distances. Icarus 2004, 170, 167–179. [Google Scholar] [CrossRef]
- Garcia Munoz, A. Physical and chemical aeronomy of HD 209458b. Planet. Space Sci. 2007, 55, 1426–1455. [Google Scholar] [CrossRef]
- Koskinen, T.T.; Harris, M.J.; Yelle, R.V.; Lavvas, P. The escape of heavy atoms from the ionosphere of HD209458b. I. A photochemical-dynamical model of the thermosphere. Icarus 2013, 226, 1678–1694. [Google Scholar] [CrossRef] [Green Version]
- Ionov, D.E.; Shematovich, V.I.; Pavlyuchenkov, Y.N. Influence of photoelectrons on the structure and dynamics of the upper atmosphere of a hot Jupiter. Astron. Rep. 2017, 61, 387–392. [Google Scholar] [CrossRef] [Green Version]
- Bisikalo, D.V.; Shematovich, V.I.; Kaygorodov, P.V.; Zhilkin, A.G. Gas envelopes of exoplanets—Hot Jupiters. Phys. Uspekhi 2021, 64, 747–800. [Google Scholar] [CrossRef]
- Bisikalo, D.V.; Kaigorodov, P.V.; Ionov, D.E.; Shematovich, V.I. Types of gaseous envelopes of “hot Jupiter” exoplanets. Astron. Rep. 2021, 57, 715–725. [Google Scholar] [CrossRef] [Green Version]
- Cherenkov, A.A.; Bisikalo, D.V.; Kaigorodov, P.V. Mass-loss rates of “hot-Jupiter” exoplanets with various types of gaseous envelopes. Astron. Rep. 2014, 58, 679–687. [Google Scholar] [CrossRef] [Green Version]
- Bisikalo, D.V.; Cherenkov, A.A. The influence of coronal mass ejections on the gas dynamics of the atmosphere of a “hot Jupiter” exoplanet. Astron. Rep. 2016, 60, 183–192. [Google Scholar] [CrossRef] [Green Version]
- Cherenkov, A.; Bisikalo, D.; Fossati, L.; Möstl, C. The influence of coronal mass ejections on the mass-loss rates of hot-Jupiters. Astrophys. J. 2017, 846, 31. [Google Scholar] [CrossRef] [Green Version]
- Cherenkov, A.A.; Bisikalo, D.V.; Kosovichev, A.G. Influence of stellar radiation pressure on flow structure in the envelope of hot-Jupiter HD 209458b. Mon. Not. R. Astron. Soc. 2018, 475, 605–613. [Google Scholar] [CrossRef] [Green Version]
- Bisikalo, D.V.; Cherenkov, A.A.; Shematovich, V.I.; Fossati, L.; Möstl, C. The influence of a stellar flare on the dynamical state of the atmosphere of the exoplanet HD 209458b. Astron. Rep. 2018, 62, 648–653. [Google Scholar] [CrossRef] [Green Version]
- Shaikhislamov, I.F.; Khodachenko, M.L.; Lammer, H.; Kislyakova, K.G.; Fossati, L.; Johnstone, C.P.; Prokopov, P.A.; Berezutsky, A.G.; Zakharov, Y.P.; Posukh, V.G. Two regimes of interaction of a hot Jupiter’s escaping atmosphere with the stellar wind and heneration of energized atomic hydrogen corona. Astrophys. J. 2016, 832, 173. [Google Scholar] [CrossRef] [Green Version]
- Shaikhislamov, I.F.; Khodachenko, M.L.; Lammer, H.; Berezutsky, A.G.; Miroshnichenko, I.B.; Rumenskikh, M.S. 3D aeronomy modelling of close-in exoplanets. Mon. Not. R. Astron. Soc. 2018, 481, 5315–5323. [Google Scholar] [CrossRef]
- Shaikhislamov, I.F.; Khodachenko, M.L.; Lammer, H.; Berezutsky, A.G.; Miroshnichenko, I.B.; Rumenskikh, M.S. Three-dimensional modelling of absorption by various species for hot Jupiter HD 209458b. Mon. Not. R. Astron. Soc. 2020, 491, 3435–3447. [Google Scholar]
- Khodachenko, M.L.; Shaikhislamov, I.F.; Lammer, H.; Kislyakova, K.G.; Fossati1, L.; Johnstone, C.P.; Arkhypov, O.V.; Berezutsky, A.G.; Miroshnichenko, I.B.; Posukh, V.G. Lyα absorption at transits of HD 209458b: A comparative study of various mechanisms under different conditions. Astrophys. J. 2017, 847, 126. [Google Scholar] [CrossRef]
- Khodachenko, M.L.; Shaikhislamov, I.F.; Lammer, H.; Berezutsky, A.G.; Miroshnichenko, I.B.; Rumenskikh, M.S.; Kislyakova, K.G.; Dwivedi, N.K. Global 3D hydrodynamic modeling of in-transit Lyα absorption of GJ 436b. Astrophys. J. 2019, 885, 67. [Google Scholar] [CrossRef]
- Grießmeier, J.-M.; Stadelmann, A.; Penz, T.; Lammer, H.; Selsis, F.; Ribas, I.; Guinan, E.F.; Motschmann, U.; Biernat, H.K.; Weiss, W.W. The effect of tidal locking on the magnetospheric and atmospheric evolution of “Hot Jupiters”. Astron. Astrophys. 2004, 425, 753–762. [Google Scholar] [CrossRef] [Green Version]
- Sanchez-Lavega, A. The magnetic field in giant extrasolar planets. Astrophys. J. 2004, 609, L87–L90. [Google Scholar] [CrossRef]
- Vidotto, A.A.; Jardine, M.; Helling, C. Prospects for detection of exoplanet magnetic fields through bow-shock observations during transits. Mon. Not. R. Astron. Soc. 2011, 411, L46–L50. [Google Scholar] [CrossRef] [Green Version]
- Kislyakova, K.G.; Holmström, M.; Lammer, H.; Odertand, P.; Khodachenkol, M.L. Magnetic moment and plasma environment of HD 209458b as determined from Lyα observations. Science 2014, 346, 981–984. [Google Scholar] [CrossRef] [Green Version]
- Stevenson, D.J. Planetary magnetic fields. Rep. Prog. Phys. 1983, 46, 555–620. [Google Scholar] [CrossRef] [Green Version]
- Showman, A.P.; Guillot, T. Atmospheric circulation and tides of “51 Pegasus b-like” planets. Astron. Astrophys. 2002, 385, 166–180. [Google Scholar] [CrossRef] [Green Version]
- Jones, C.A. Planetary magnetic fields and fluid dynamos. Annu. Rev. Fluid Mech. 2011, 43, 583–614. [Google Scholar] [CrossRef] [Green Version]
- Jones, C.A. A dynamo model of Jupiter’s magnetic field. Icarus 2014, 241, 148–159. [Google Scholar] [CrossRef] [Green Version]
- Batygin, K.; Stanley, S.; Stevenson, D.J. Magnetically controlled circulation on hot extrasolar planets. Astrophys. J. 2013, 776, 53. [Google Scholar] [CrossRef] [Green Version]
- Rogers, T.M.; Showman, A.P. Magnetohydrodynamic simulations of the atmosphere of HD 209458b. Astrophys. J. 2014, 782, L4. [Google Scholar] [CrossRef] [Green Version]
- Rogers, T.M.; Komacek, T.D. Magnetic effects in hot Jupiter atmospheres. Astrophys. J. 2014, 794, 132. [Google Scholar] [CrossRef] [Green Version]
- Rogers, T.M. Constraints on the magnetic field strength of HAT-P-7b and other hot giant exoplanets. Nat. Astron. 2017, 1, 0131. [Google Scholar] [CrossRef] [Green Version]
- Erkaev, N.V.; Odert, P.; Lammer, H.; Kislyakova, K.G.; Fossati, L.; Mezentsev, A.V.; Johnstone, C.P.; Kubyshkina, D.I.; Shaikhislamov, I.F.; Khodachenko, M.L. Effect of stellar wind induced magnetic fields on planetary obstacles of non-magnetized hot Jupiters. Mon. Not. R. Astron. Soc. 2017, 470, 4330–4336. [Google Scholar] [CrossRef] [Green Version]
- Zhilkin, A.G.; Bisikalo, D.V. On possible types of magnetospheres of hot Jupiters. Astron. Rep. 2019, 63, 550–564. [Google Scholar] [CrossRef] [Green Version]
- Belen’kaya, E.S. Magnetospheres of planets with an intrinsic magnetic field. Phys. Uspekhi 2009, 52, 765–788. [Google Scholar] [CrossRef]
- Russell, C.T. Planetary magnetospheres. Rep. Prog. Phys. 1993, 56, 687–732. [Google Scholar] [CrossRef]
- Ip, W.-H.; Kopp, A.; Hu, J.H. On the star-magnetosphere interaction of close-in exoplanets. Astrophys. J. 2004, 602, L53–L56. [Google Scholar] [CrossRef]
- Koskinen, T.T.; Cho, J.Y.-K.; Achilleos, N.; Aylward, A.D. Ionization of extrasolar giant planet atmospheres. Astrophys. J. 2010, 722, 178–187. [Google Scholar] [CrossRef]
- Koskinen, T.T.; Yelle, R.V.; Lavvas, P.; Lewis, N.K. Characterizing the thermosphere of HD 209458b with UV transit observations. Astrophys. J. 2010, 723, 116–128. [Google Scholar] [CrossRef]
- Trammell, G.B.; Arras, P.; Li, Z.-Y. Hot Jupiter magnetospheres. Astrophys. J. 2011, 728, 152. [Google Scholar] [CrossRef]
- Shaikhislamov, I.F.; Khodachenko, M.L.; Sasunov, Y.L.; Lammer, H.; Kislyakova, K.G.; Erkaev, N.V. Atmosphere expansion and mass loss of close-orbit giant exoplanets heated by stellar XUV. I. Modeling of hydrodynamic escape of upper atmospheric material. Astrophys. J. 2014, 795, 132. [Google Scholar] [CrossRef] [Green Version]
- Khodachenko, M.L.; Shaikhislamov, I.F.; Lammer, H.; Prokopov, P.A. Atmosphere expansion and mass loss of close-orbit giant exoplanets heated by stellar XUV. II. Effects of planetary nagnetic field; structuring of inner magnetosphere. Astrophys. J. 2015, 813, 50. [Google Scholar] [CrossRef]
- Trammell, G.B.; Li, Z.-Y.; Arras, P. Magnetohydrodynamic simulations of hot Jupiter upper atmospheres. Astrophys. J. 2014, 788, 161. [Google Scholar] [CrossRef] [Green Version]
- Matsakos, T.; Uribe, A.; Königl, A. Classification of magnetized star-planet interactions: Bow shocks, tails, and inspiraling flows. Astron. Astrophys. 2015, 578, A6. [Google Scholar] [CrossRef] [Green Version]
- Arakcheev, A.S.; Zhilkin, A.G.; Kaigorodov, P.V.; Bisikalo, D.V.; Kosovichev, A.G. Reduction of mass loss by the hot Jupiter WASP-12b due to its magnetic field. Astron. Rep. 2017, 61, 932–941. [Google Scholar] [CrossRef]
- Bisikalo, D.V.; Arakcheev, A.S.; Kaigorodov, P.V. Pulsations in the atmospheres of hot Jupiters possessing magnetic fields. Astron. Rep. 2017, 61, 925–931. [Google Scholar] [CrossRef]
- Zhilkin, A.G.; Bisikalo, D.V.; Kaygorodov, P.V. Coronal mass ejection effect on envelopes of hot Jupiters. Astron. Rep. 2020, 64, 159–167. [Google Scholar] [CrossRef]
- Zhilkin, A.G.; Bisikalo, D.V.; Kaygorodov, P.V. The orientation influence of a hot Jupiter’s intrinsic dipole magnetic field on the flow structure in its extended envelope. Astron. Rep. 2020, 64, 259–271. [Google Scholar] [CrossRef]
- Zhilkin, A.G.; Bisikalo, D.V. Possible new envelope types of hot Jupiters. Astron. Rep. 2020, 64, 563–577. [Google Scholar] [CrossRef]
- Zhilkin, A.G.; Bisikalo, D.V.; Kolymagina, E.A. MHD model of the interaction of a coronal mass ejection with the hot Jupiter HD 209458b. Astron. Rep. 2021, 65, 676–692. [Google Scholar] [CrossRef]
- Owens, M.J.; Forsyth, R.J. The heliospheric magnetic field. Living Rev. Sol. Phys. 2013, 10, 5. [Google Scholar] [CrossRef]
- Parker, E.N. Dynamics of the interplanetary gas and magnetic fields. Astrophys. J. 1958, 128, 664–676. [Google Scholar] [CrossRef]
- Weber, E.J.; Davis, L., Jr. The angular momentum of the solar wind. Astrophys. J. 1967, 148, 217–227. [Google Scholar] [CrossRef]
- Lamers, H.J.; Cassinelli, J.P.; Cassinelli, J. Introduction to Stellar Winds; Cambridge University Press: Camridge, UK, 1999. [Google Scholar]
- Withbroe, G.L. The temperature structure, mass, and energy flow in the corona and inner solar wind. Astrophys. J. 1988, 325, 442–467. [Google Scholar] [CrossRef]
- Fabbian, D.; Simoniello, R.; Collet, R.; Criscuoli, S.; Korhonen, H.; Krivova, N.A.; Oláh, K.; Jouve, L.; Solanki, S.K.; Alvarado-Gómez, J.D.; et al. The variability of magnetic activity in solar-type stars. Astron. Nachrichten 2017, 338, 753–772. [Google Scholar] [CrossRef] [Green Version]
- Lammer, H.; Gudel, M.; Kulikov, Y.; Ribas, I.; Zaqarashvili, T.V.; Khodachenko, M.L.; Kislyakova, K.G.; Gröller, H.; Odert, P.; Leitzinger, M.; et al. Variability of solar/stellar activity and magnetic field and its influence on planetary atmosphere evolution. Earth Planets Space 2021, 64, 179–199. [Google Scholar] [CrossRef] [Green Version]
- Steinolfson, R.S.; Hundhausen, F.J. Density and white light brightness in looplike coronal mass ejections: Temporal evolution. J. Geophys. Res. 1988, 93, 14269–14276. [Google Scholar] [CrossRef]
- Roussev, I.I.; Gombosi, T.I.; Sokolov, I.V.; Velli, M.; Manchester, W., IV; DeZeeuw, D.L.; Liewer, P.; Tóth, G.; Luhmann, J. A three-dimensional model of the solar wind incorporating solar magnetogram observations. Astrophys. J. 2003, 595, L57–L61. [Google Scholar] [CrossRef]
- Totten, T.L.; Freeman, J.W.; Arya, S. An empirical determination of the polytropic index for the free-streaming solar wind using Helios 1 data. J. Geophys. Res. 1995, 100, 13–18. [Google Scholar] [CrossRef]
- Bisikalo, D.V.; Zhilkin, A.G.; Boyarchuk, A.A. Gas Dynamics of Close Binary Stars; Fizmatlit: Moscow, Russia, 2013. (In Russian) [Google Scholar]
- Zhilkin, A.G.; Bisikalo, D.V.; Boyarchuk, A.A. Flow structure in magnetic close binary stars. Phys. Uspekhi 2021, 55, 115–136. [Google Scholar] [CrossRef]
- Tanaka, T. Finite volume TVD scheme on an unstructured grid system for three-dimensional MHD simulation of inhomogeneous systems including strong background potential fields. J. Comput. Phys. 1994, 111, 381–389. [Google Scholar] [CrossRef]
- Powell, K.G.; Roe, P.L.; Linde, T.J.; Gombosi, T.I.; De Zeeuw, D.L. A solution-adaptive upwind scheme for ideal magnetohydrodynamics. J. Comput. Phys. 1999, 154, 284–309. [Google Scholar] [CrossRef]
- Guo, J.H. Escaping particle fluxes in the atmospheres of close-in exoplanets. I. Model of hydrogen. Astrophys. J. 2011, 733, 98. [Google Scholar] [CrossRef] [Green Version]
- Bisikalo, D.V.; Shematovich, V.I.; Kaigorodov, P.V.; Zhilkin, A.G. Gaseous Envelopes of Exoplanets—Hot Jupiters; Nauka: Moscow, Russia, 2020. (In Russian) [Google Scholar]
- Lax, P.D. Weak solutions of nonlinear hyperbolic equations and their numerical computation. Commun. Pure Appl. Math. 1954, 7, 159–193. [Google Scholar] [CrossRef]
- Friedrihs, K.O. Symmetric hyperbolic linear differential equations. Commun. Pure Appl. Math. 1954, 7, 345–392. [Google Scholar] [CrossRef]
- Dedner, A.; Kemm, F.; Kroner, D.; Munz, C.-D.; Schnitzera, T.; Wesenberg, M. Hyperbolic divergence cleaning for the MHD equations. J. Comput. Phys. 2002, 175, 645–673. [Google Scholar] [CrossRef] [Green Version]
- Roe, P.L. The use of the Riemann problem in finite difference schemes. Lect. Notes Phys. 1981, 141, 354–359. [Google Scholar]
- Godunov, S.K. A difference scheme for numerical solution of discontinuous solution of hydrodynamic equations. Math. Sbornik 1959, 47, 271–306, Translated US Joint Publ. Res. Service, JPRS 7225 Nov. 29, 1960. [Google Scholar]
- Brio, M.; Wu, C.C. An upwind differencing scheme for the equations of ideal magnetohydrodynamics. J. Comput. Phys. 1988, 75, 400–422. [Google Scholar] [CrossRef]
- Cargo, P.; Gallice, G. Roe matrices for ideal MHD and systematic construction of Roe matrices for systems of conservation laws. J. Comput. Phys. 1997, 136, 446–466. [Google Scholar] [CrossRef]
- Chakravarthy, S.R.; Osher, S. A new class of high accuracy TVD schemes for hyperbolic conservationlaws. In Proceedings of the 23rd Aerospace Sciences Meeting, Reno, NV, USA, 14–17 January 1985. [Google Scholar] [CrossRef]
- Harten, A.; Hyman, J. Self-adjusting grid methods for one-dimensional hyperbolic conservation laws. J. Comput. Phys. 1983, 50, 235–269. [Google Scholar] [CrossRef]
- Zhilkin, A.G.; Sobolev, A.V.; Bisikalo, D.V.; Gabdeev, M.M. Flow structure in the eclipsing polar V808 Aur. Results of 3D numerical simulations. Astron. Rep. 2019, 63, 751–777. [Google Scholar] [CrossRef]
- Einfeldt, B. On Godunov-type methods for gas dynamics. SIAM J. Numer. Anal. 1988, 25, 294–318. [Google Scholar] [CrossRef]










| Model | , K | , G | Flow Regime | Envelope Type | , 109 g/s |
|---|---|---|---|---|---|
| 1 | 5000 | 0.01 | Super-Alfvénic | Closed | 1 |
| 2 | 5500 | 0.01 | Super-Alfvénic | Quasi-closed | 1 |
| 3 | 6000 | 0.01 | Super-Alfvénic | Quasi-Opened | 4 |
| 4 | 6500 | 0.01 | Super-Alfvénic | Opened | 10 |
| 5 | 6500 | 0.2 | Trans-Alfvénic | Quasi-Opened | 9 |
| 6 | 6500 | 0.5 | Sub-Alfvénic | Quasi-Opened | 7 |
Publisher’s Note: MDPI stays neutral with regard to jurisdictional claims in published maps and institutional affiliations. |
© 2021 by the authors. Licensee MDPI, Basel, Switzerland. This article is an open access article distributed under the terms and conditions of the Creative Commons Attribution (CC BY) license (https://creativecommons.org/licenses/by/4.0/).
Share and Cite
Zhilkin, A.; Bisikalo, D. Multi-Component MHD Model of Hot Jupiter Envelopes. Universe 2021, 7, 422. https://doi.org/10.3390/universe7110422
Zhilkin A, Bisikalo D. Multi-Component MHD Model of Hot Jupiter Envelopes. Universe. 2021; 7(11):422. https://doi.org/10.3390/universe7110422
Chicago/Turabian StyleZhilkin, Andrey, and Dmitri Bisikalo. 2021. "Multi-Component MHD Model of Hot Jupiter Envelopes" Universe 7, no. 11: 422. https://doi.org/10.3390/universe7110422
APA StyleZhilkin, A., & Bisikalo, D. (2021). Multi-Component MHD Model of Hot Jupiter Envelopes. Universe, 7(11), 422. https://doi.org/10.3390/universe7110422

