Multimodal Analysis of Gravitational Wave Signals and Gamma-Ray Bursts from Binary Neutron Star Mergers
Abstract
:1. Introduction
2. Multi-Messenger Observations as a Powerful Tool to Investigate the Extreme Universe
3. Artificial Intelligence via Multimodal Inputs
4. From Multi-Messenger Observations to Multimodal Analysis
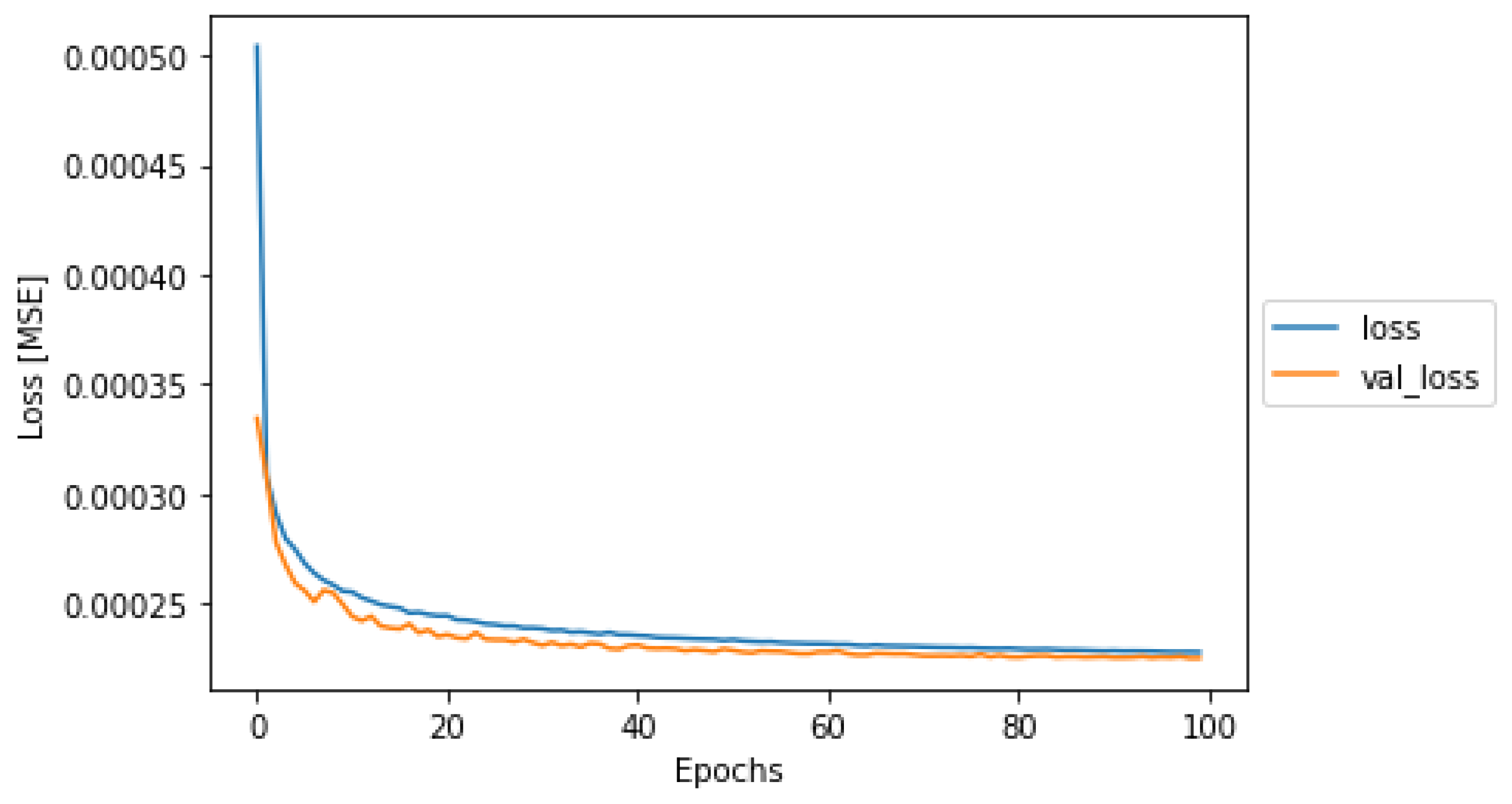
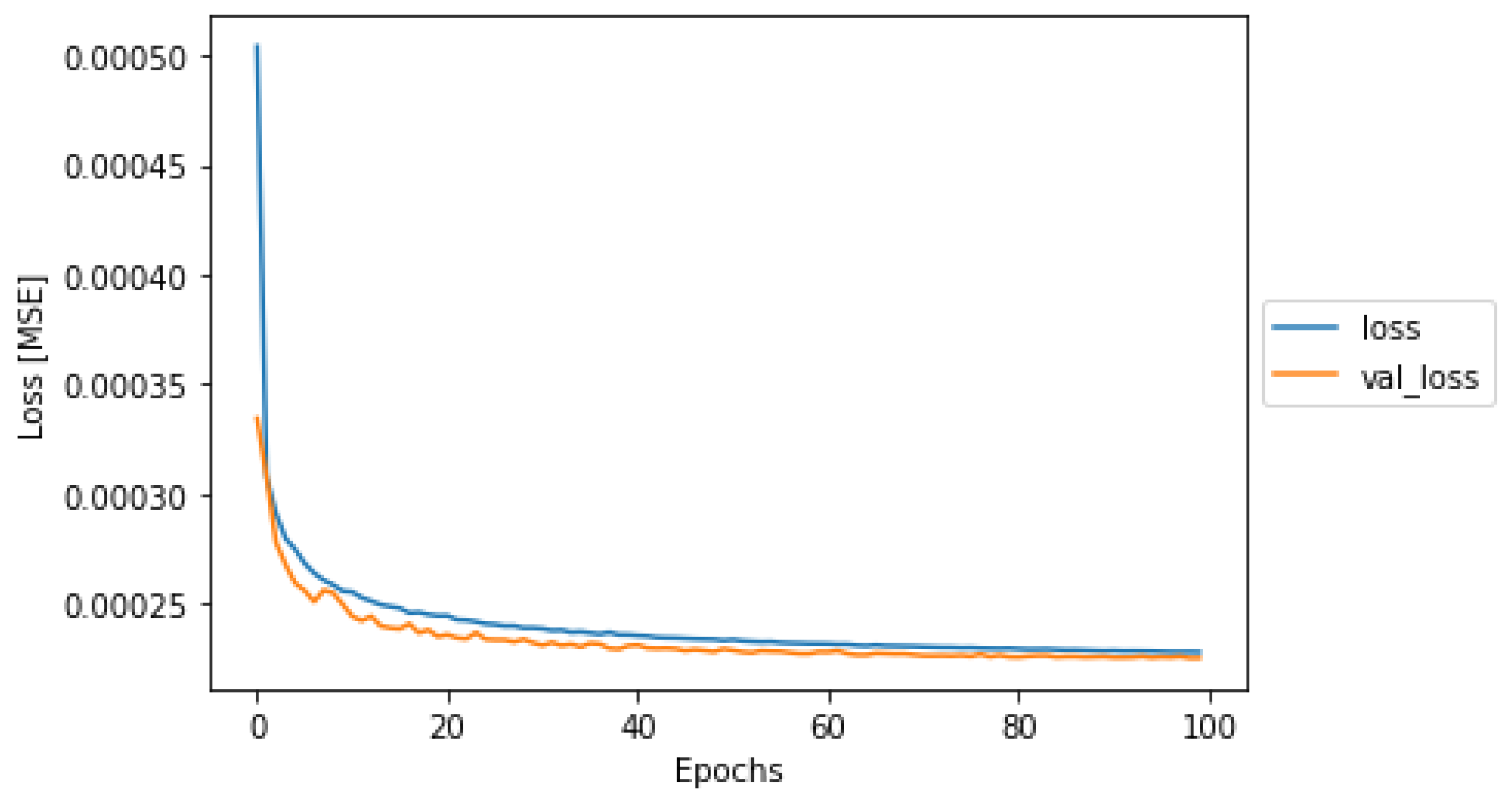
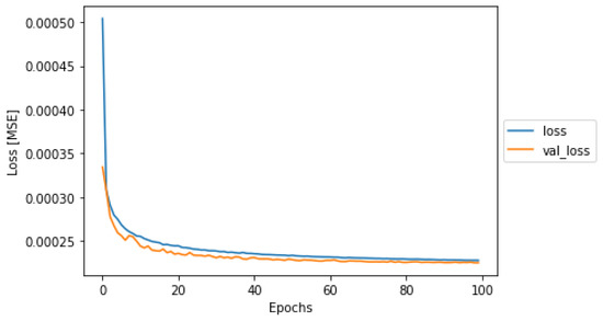
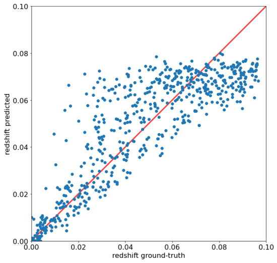
5. Application to Astrophysical Sources: The Case of Binaries of Compact Objects
6. Outlook and Perspective
Author Contributions
Funding
Institutional Review Board Statement
Informed Consent Statement
Data Availability Statement
Acknowledgments
Conflicts of Interest
| 1 | https://github.com/OverLordGoldDragon/ssqueezepy (accessed on 20 October 2021). |
| 2 | We used a time resolution of 0.01 s, so 1000 points correspond to a time interval of 10 s. |
References
- Abbott, B.P.; Abbott, R.; Abbott, T.D.; Acernese, F.; Ackley, K.; Adams, C.; Adams, T.; Addesso, P.; Adhikari, R.X.; Adya, V.B.; et al. GW170817: Observation of Gravitational Waves from a Binary Neutron Star Inspiral. Phys. Rev. Lett. 2017, 119, 161101. [Google Scholar] [CrossRef] [Green Version]
- Abbott, B.P.; Abbott, R.; Abbott, T.D.; Acernese, F.; Adams, C.; Adams, T.; Addesso, P.; Adhikari, R.X.; Adya, V.B.; Affeldt, C.; et al. Multi-messenger Observations of a Binary Neutron Star Merger. Astrophys. J. 2017, 848, L12. [Google Scholar] [CrossRef]
- Nordin, J.; Brinnel, V.; van Santen, J.; Bulla, M.; Feindt, U.; Franckowiak, A.; Fremling, C.; Gal-Yam, A.; Giomi, M.; Kowalski, M.; et al. Transient processing and analysis using AMPEL: Alert management, photometry, and evaluation of light curves. Astron. Astrophys. 2019, 631, A147. [Google Scholar] [CrossRef]
- Chatterjee, D.; Narayan, G.; Aleo, P.D.; Malanchev, K.; Muthukrishna, D. El-CID: A filter for Gravitational-wave Electromagnetic Counterpart Identification. arXiv 2021, arXiv:2108.04166. [Google Scholar]
- Stachie, C.; Coughlin, M.W.; Christensen, N.; Muthukrishna, D. Using machine learning for transient classification in searches for gravitational-wave counterparts. Mon. Not. R. Astron. Soc. 2020, 497, 1320–1331. [Google Scholar] [CrossRef]
- Dax, M.; Green, S.R.; Gair, J.; Macke, J.H.; Buonanno, A.; Schölkopf, B. Real-time gravitational-wave science with neural posterior estimation. arXiv 2021, arXiv:2106.12594. [Google Scholar]
- Krastev, P.G.; Gill, K.; Villar, V.A.; Berger, E. Detection and parameter estimation of gravitational waves from binary neutron-star mergers in real LIGO data using deep learning. Phys. Lett. B 2021, 815, 136161. [Google Scholar] [CrossRef]
- Singh, S.; Singh, A.; Prajapati, A.; Pathak, K.N. Deep learning for estimating parameters of gravitational waves. Mon. Not. R. Astron. Soc. 2021, 508, 1358–1370. [Google Scholar] [CrossRef]
- Breschi, M.; Gamba, R.; Bernuzzi, S. Bayesian inference of multimessenger astrophysical data: Methods and applications to gravitational waves. Phys. Rev. D 2021, 104, 042001. [Google Scholar] [CrossRef]
- Krastev, P.G. Real-time detection of gravitational waves from binary neutron stars using artificial neural networks. Phys. Lett. B 2020, 803, 135330. [Google Scholar] [CrossRef]
- Sadeh, I. Data-driven Detection of Multimessenger Transients. Astrophys. J. Lett. 2020, 894, L25. [Google Scholar] [CrossRef]
- Green, S.R.; Gair, J. Complete parameter inference for GW150914 using deep learning. arXiv 2020, arXiv:2008.03312. [Google Scholar]
- Baltrusaitis, T.; Ahuja, C.; Morency, L.P. Multimodal Machine Learning: A Survey and Taxonomy. IEEE Trans. Pattern Anal. Mach. Intell. 2019, 41, 423–443. [Google Scholar] [CrossRef] [Green Version]
- Abbott, B.P.; Abbott, R.; Abbott, T.D.; Acernese, F.; Ackley, K.; Adams, C.; Adams, T.; Addesso, P.; Adhikari, R.X.; Adya, V.B.; et al. Gravitational Waves and Gamma-Rays from a Binary Neutron Star Merger: GW170817 and GRB 170817A. Astrophys. J. Lett. 2017, 848, L13. [Google Scholar] [CrossRef]
- Troja, E.; Piro, L.; van Eerten, H.; Wollaeger, R.T.; Im, M.; Fox, O.D.; Butler, N.R.; Cenko, S.B.; Sakamoto, T.; Fryer, C.L.; et al. The X-ray counterpart to the gravitational-wave event GW170817. Nature 2017, 551, 71–74. [Google Scholar] [CrossRef] [Green Version]
- Hallinan, G.; Corsi, A.; Mooley, K.P.; Hotokezaka, K.; Nakar, E.; Kasliwal, M.M.; Kaplan, D.L.; Frail, D.A.; Myers, S.T.; Murphy, T.; et al. A radio counterpart to a neutron star merger. Science 2017, 358, 1579–1583. [Google Scholar] [CrossRef] [PubMed] [Green Version]
- Mooley, K.P.; Deller, A.T.; Gottlieb, O.; Nakar, E.; Hallinan, G.; Bourke, S.; Frail, D.A.; Horesh, A.; Corsi, A.; Hotokezaka, K. Superluminal motion of a relativistic jet in the neutron-star merger GW170817. Nature 2018, 561, 355–359. [Google Scholar] [CrossRef]
- Ghirlanda, G.; Salafia, O.S.; Paragi, Z.; Giroletti, M.; Yang, J.; Marcote, B.; Blanchard, J.; Agudo, I.; An, T.; Bernardini, M.G.; et al. Compact radio emission indicates a structured jet was produced by a binary neutron star merger. Science 2019, 363, 968–971. [Google Scholar] [CrossRef] [Green Version]
- Coulter, D.A.; Kilpatrick, C.D.; Siebert, M.R.; Foley, R.J.; Shappee, B.J.; Drout, M.R.; Simon, J.S.; Piro, A.L.; Rest, A.; One-Meter Two-Hemisphere (1M2H) Collaboration. LIGO/Virgo G298048: Potential optical counterpart discovered by Swope telescope. GRB Coord. Netw. 2017, 21529, 1. [Google Scholar]
- Pian, E.; D’Avanzo, P.; Benetti, S.; Branchesi, M.; Brocato, E.; Campana, S.; Cappellaro, E.; Covino, S.; D’Elia, V.; Fynbo, J.P.U.; et al. Spectroscopic identification of r-process nucleosynthesis in a double neutron-star merger. Nature 2017, 551, 67–70. [Google Scholar] [CrossRef]
- Smartt, S.J.; Chen, T.-W.; Jerkstrand, A.; Coughlin, M.; Kankare, E.; Sim, S.A.; Fraser, M.; Inserra, C.; Maguire, K.; Chambers, K.C.; et al. A kilonova as the electromagnetic counterpart to a gravitational-wave source. Nature 2017, 551, 75–79. [Google Scholar] [CrossRef] [PubMed]
- Radice, D.; Perego, A.; Zappa, F.; Bernuzzi, S. GW170817: Joint Constraint on the Neutron Star Equation of State from Multimessenger Observations. Astrophys. J. Lett. 2018, 852, L29. [Google Scholar] [CrossRef] [Green Version]
- Coughlin, M.W.; Dietrich, T.; Margalit, B.; Metzger, B.D. Multimessenger Bayesian parameter inference of a binary neutron star merger. Mon. Not. R. Astron. Soc. 2019, 489, L91–L96. [Google Scholar] [CrossRef]
- Dietrich, T.; Coughlin, M.W.; Pang, P.T.H.; Bulla, M.; Heinzel, J.; Issa, L.; Tews, I.; Antier, S. Multimessenger constraints on the neutron-star equation of state and the Hubble constant. Science 2020, 370, 1450–1453. [Google Scholar] [CrossRef]
- Patricelli, B.; Bernardini, M.G. Can we constrain the aftermath of binary neutron star mergers with short gamma-ray bursts? Mon. Not. R. Astron. Soc. 2020, 499, L96–L100. [Google Scholar] [CrossRef]
- Abbott, B.P.; Abbott, R.; Abbott, T.D.; Acernese, F.; Ackley, K.; Adams, C.; Adams, T.; Addesso, P.; Adhikari, R.X.; Adya, V.B.; et al. A gravitational-wave standard siren measurement of the Hubble constant. Nature 2017, 551, 85–88. [Google Scholar] [CrossRef] [Green Version]
- Cuoco, E.; Powell, J.; Cavaglià, M.; Ackley, K.; Bejger, M.; Chatterjee, C.; Coughlin, M.; Coughlin, S.; Easter, P.; Essick, R. Enhancing Gravitational-Wave Science with Machine Learning. Mach. Learn. Sci. Technol. 2020, 2, 011002. [Google Scholar] [CrossRef]
- Ngiam, J.; Khosla, A.; Kim, M.; Nam, J.; Lee, H.; Ng, A.Y. Multimodal Deep Learning. In Proceedings of the 28th International Conference on International Conference on Machine Learning, Bellevue, WA, USA, 28 June–2 July 2011; Omnipress: Madison, WI, USA, 2011; pp. 689–696. [Google Scholar]
- Iess, A.; Cuoco, E.; Morawski, F.; Powell, J. Core-Collapse supernova gravitational-wave search and deep learning classification. Mach. Learn. Sci. Technol. 2020, 1, 025014. [Google Scholar] [CrossRef]
- Pandeya, Y.; Lee, J. Deep learning-based late fusion of multimodal information for emotion classification of music video. Multimed. Tools Appl. 2021, 80, 2887–2905. [Google Scholar] [CrossRef]
- LIGO Scientific Collaboration; Aasi, J.; Abbott, B.P.; Abbott, R.; Abbott, T.; Abernathy, M.R.; Ackley, K.; Adams, C.; Adams, T.; Addesso, P.; et al. Advanced LIGO. Class. Quantum Gravity 2015, 32, 074001. [Google Scholar] [CrossRef]
- Acernese1, F.; Agathos, M.; Agatsuma, K.; Aisa, D.; Allemandou, N.; Allocca, A.; Amarni, J.; Astone, P.; Balestri, G.; Ballardin, G.; et al. Advanced Virgo: A second-generation interferometric gravitational wave detector. Class. Quantum Gravity 2015, 32, 024001. [Google Scholar] [CrossRef] [Green Version]
- Somiya, K. Detector configuration of KAGRA-the Japanese cryogenic gravitational-wave detector. Class. Quantum Gravity 2012, 29, 124007. [Google Scholar] [CrossRef] [Green Version]
- Aso, Y.; Michimura, Y.; Somiya, K.; Ando, M.; Miyakawa, O.; Sekiguchi, T.; Tatsumi, D.; Yamamoto, H. Interferometer design of the KAGRA gravitational wave detector. Phys. Rev. D 2013, 88, 043007. [Google Scholar] [CrossRef] [Green Version]
- Andersson, N. Whispers from the Edge of Physics. J. Astrophys. Astron. 2017, 38, 58. [Google Scholar] [CrossRef] [Green Version]
- Acharya, B.S.; Actis, M.; Aghajani, T.; Agnetta, G.; Aguilar, J.; Aharonian, F.; Ajello, M.; Akhperjanian, A.; Alcubierre, M.; Aleksić, J.; et al. Introducing the CTA concept. Astropart. Phys. 2013, 43, 3–18. [Google Scholar] [CrossRef] [Green Version]
- Ivezić, Ž.; Kahn, S.M.; Tyson, J.A.; Abel, B.; Acosta, E.; Allsman, R.; Alonso, D.; AlSayyad, Y.; Anderson, S.F.; Andrew, J.; et al. LSST: From Science Drivers to Reference Design and Anticipated Data Products. Astrophys. J. 2019, 873, 111. [Google Scholar] [CrossRef]
- Coughlin, M.W.; Dietrich, T.; Doctor, Z.; Kasen, D.; Coughlin, S.; Jerkstrand, A.; Leloudas, G.; McBrien, O.; Metzger, B.D.; O’Shaughnessy, R.; et al. Constraints on the neutron star equation of state from AT2017gfo using radiative transfer simulations. Mon. Not. R. Astron. Soc. 2018, 480, 3871–3878. [Google Scholar] [CrossRef] [Green Version]
- Rowlinson, A.; O’Brien, P.T.; Metzger, B.D.; Tanvir, N.R.; Levan, A.J. Signatures of magnetar central engines in short GRB light curves. Mon. Not. R. Astron. Soc. 2013, 430, 1061–1087. [Google Scholar] [CrossRef] [Green Version]
- Metzger, B.D.; Quataert, E.; Thompson, T.A. Short-duration gamma-ray bursts with extended emission from protomagnetar spin-down. Mon. Not. R. Astron. Soc. 2008, 385, 1455–1460. [Google Scholar] [CrossRef] [Green Version]
- Bucciantini, N.; Metzger, B.D.; Thompson, T.A.; Quataert, E. Short gamma-ray bursts with extended emission from magnetar birth: Jet formation and collimation. Mon. Not. R. Astron. Soc. 2012, 419, 1537–1545. [Google Scholar] [CrossRef] [Green Version]
- Allen, M.G.; Lamanna, G.; Espinal, X.; Graf, K.; van Haarlem, M.; Serjeant, S.; Bird, I.; Cuoco, E.; Wagh, J. ESCAPE–addressing Open Science challenges. arXiv 2020, arXiv:astro-ph.IM/2012.11534. [Google Scholar]
- Fong, W.; Berger, E.; Metzger, B.D.; Margutti, R.; Chornock, R.; Migliori, G.; Foley, R.J.; Zauderer, B.A.; Lunnan, R.; Laskar, T.; et al. Short GRB 130603B: Discovery of a Jet Break in the Optical and Radio Afterglows, and a Mysterious Late-time X-Ray Excess. Astrophys. J. 2014, 780, 118. [Google Scholar] [CrossRef] [Green Version]
- Patricelli, B.; Razzano, M.; Cella, G.; Fidecaro, F.; Pian, E.; Branchesi, M.; Stamerra, A. Prospects for joint observations of gravitational waves and gamma rays from merging neutron star binaries. J. Cosmol. Astropart. Phys. 2016, 2016, 056. [Google Scholar] [CrossRef] [Green Version]
- Atwood, W.B.; Abdo, A.A.; Ackermann, M.; Althouse, W.; Anderson, B.; Axelsson, M.; Baldini, L.; Ballet, J.; Band, D.L.; Barbiellini, G.; et al. The Large Area Telescope on the Fermi Gamma-Ray Space Telescope Mission. Astrophys. J. 2009, 697, 1071–1102. [Google Scholar] [CrossRef] [Green Version]
- Ackermann, M.; Asano, K.; Atwood, W.B.; Axelsson, M.; Baldini, L.; Ballet, J.; Barbiellini, G.; Baring, M.G.; Bastieri, D.; Bechtol, K.; et al. Fermi Observations of GRB 090510: A Short-Hard Gamma-ray Burst with an Additional, Hard Power-law Component from 10 keV TO GeV Energies. Astrophys. J. 2010, 716, 1178–1190. [Google Scholar] [CrossRef] [Green Version]
- Buonanno, A.; Iyer, B.R.; Ochsner, E.; Pan, Y.; Sathyaprakash, B.S. Comparison of post-Newtonian templates for compact binary inspiral signals in gravitational-wave detectors. Phys. Rev. D 2009, 80, 084043. [Google Scholar] [CrossRef] [Green Version]
- Hild, S.; Abernathy, M.; Acernese, F.; Amaro-Seoane, P.; Andersson, N.; Arun, K.; Barone, F.; Barr, B.; Barsuglia, M.; Beker, M.; et al. Sensitivity studies for third-generation gravitational wave observatories. Class. Quantum Gravity 2011, 28, 094013. [Google Scholar] [CrossRef]
- Nitz, A.; Harry, I.; Brown, D.; Biwer, C.M.; Willis, J.; Canton, T.D.; Capano, C.; Pekowsky, L.; Dent, T.; Williamson, A.R.; et al. gwastro/pycbc: PyCBC Release v1.16.10. 2020. Available online: https://zenodo.org/record/4063644#.YXDgmHkRXIU (accessed on 18 October 2021). [CrossRef]
- Ade, P.A.; Aghanim, N.; Arnaud, M.; Ashdown, M.; Aumont, J.; Baccigalupi, C.; Banday, A.J.; Barreiro, R.B.; Bartlett, J.G.; Bartolo, N.; et al. Planck 2015 results. XIII. Cosmological parameters. Astron. Astrophys. 2016, 594, A13. [Google Scholar] [CrossRef] [Green Version]
- Cuoco, E.; Calamai, G.; Fabbroni, L.; Losurdo, G.; Mazzoni, M.; Stanga, R.; Vetrano, F. On-line power spectra identification and whitening for the noise in interferometric gravitational wave detectors. Class. Quantum Gravity 2001, 18, 1727. [Google Scholar] [CrossRef] [Green Version]
- Thakur, G.; Wu, H.T. Synchrosqueezing-based Recovery of Instantaneous Frequency from Nonuniform Samples. SIAM J. Math. Anal. 2011, 43, 2078. [Google Scholar] [CrossRef] [Green Version]
- Thakur, G.; Brevdo, E.; Fučkar, N.S.; Wu, H.T. The Synchrosqueezing algorithm for time-varying spectral analysis: Robustness properties and new paleoclimate applications. Signal Process. 2013, 93, 1079. [Google Scholar] [CrossRef] [Green Version]
- Daubechies, I.; Wu, H.T. Synchrosqueezed Wavelet Transforms: A Tool for Empirical ModeDecomposition. Appl. Comput. Harmon. Anal. 2011, 30, 243. [Google Scholar] [CrossRef] [Green Version]







Publisher’s Note: MDPI stays neutral with regard to jurisdictional claims in published maps and institutional affiliations. |
© 2021 by the authors. Licensee MDPI, Basel, Switzerland. This article is an open access article distributed under the terms and conditions of the Creative Commons Attribution (CC BY) license (https://creativecommons.org/licenses/by/4.0/).
Share and Cite
Cuoco, E.; Patricelli, B.; Iess, A.; Morawski, F. Multimodal Analysis of Gravitational Wave Signals and Gamma-Ray Bursts from Binary Neutron Star Mergers. Universe 2021, 7, 394. https://doi.org/10.3390/universe7110394
Cuoco E, Patricelli B, Iess A, Morawski F. Multimodal Analysis of Gravitational Wave Signals and Gamma-Ray Bursts from Binary Neutron Star Mergers. Universe. 2021; 7(11):394. https://doi.org/10.3390/universe7110394
Chicago/Turabian StyleCuoco, Elena, Barbara Patricelli, Alberto Iess, and Filip Morawski. 2021. "Multimodal Analysis of Gravitational Wave Signals and Gamma-Ray Bursts from Binary Neutron Star Mergers" Universe 7, no. 11: 394. https://doi.org/10.3390/universe7110394
APA StyleCuoco, E., Patricelli, B., Iess, A., & Morawski, F. (2021). Multimodal Analysis of Gravitational Wave Signals and Gamma-Ray Bursts from Binary Neutron Star Mergers. Universe, 7(11), 394. https://doi.org/10.3390/universe7110394

