Quark Stars in Massive Brans–Dicke Gravity with Tolman–Kuchowicz Spacetime
Abstract
1. Introduction
2. Massive Brans–Dicke Theory and Matter Variables
Junction Conditions
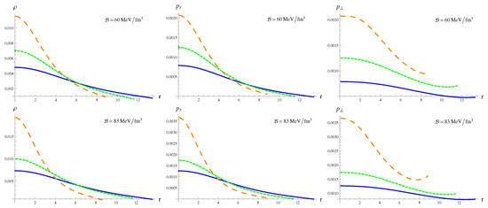
3. Physical Features of Compact Stars
3.1. Energy Conditions
3.2. Effective Mass, Compactness and Redshift
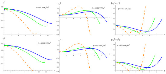
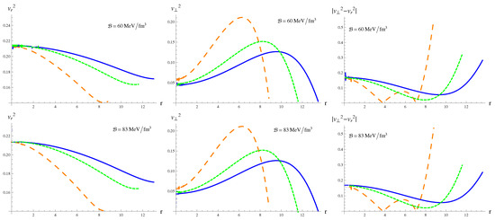
3.3. Stability of Anisotropic Stellar Model
- = 60 MeV/fm.
- = 83 MeV/fm.
- = 60 MeV/fm.
- = 83 MeV/fm.
4. Concluding Remarks
- and = 60 MeV/fm.
- and = 83 MeV/fm.
Author Contributions
Funding
Conflicts of Interest
References
- Baade, W.; Zwicky, F. Remarks on super-novae and cosmic rays. Phys. Rev. 1934, 46, 76–77. [Google Scholar] [CrossRef]
- Hewish, A.; Bell, S.J.; Pilkington, J.D.H.; Scott, P.F.; Collins, R.A. Observation of a rapidly pulsating radio source. Nature 1968, 217, 709–713. [Google Scholar] [CrossRef]
- Witten, E. Cosmic separation of phases. Phys. Rev. D 1984, 30, 272–285. [Google Scholar] [CrossRef]
- Ofek, E.O.; Cameron, P.B.; Kasliwal, M.M.; Gal-Yam, A.; Rau, A.; Kulkarni, S.R.; Fraol, D.A.; Chandra, P.; Cenko, S.B.; Soderberg, A.M.; et al. SN2006gy: An extremely luminoue supernova in the galaxy NGC 1260. Astrophys. J. 2007, 659, L13. [Google Scholar] [CrossRef]
- Ouyed, R.; Leahy, D.; Jaikumar, P. Predictions for signatures of the quark-nova in superluminous supernovae. arXiv 2009, arXiv:0911.5424. [Google Scholar]
- Ruderman, A. Pulsars: Structures and dynamics. Annu. Rev. Astron. Astrophys. 1972, 10, 427–476. [Google Scholar] [CrossRef]
- Bowers, R.L.; Liang, E.P.T. Anisotropic spheres in general relativity. Astrophys. J. 1974, 188, 657–665. [Google Scholar] [CrossRef]
- Sokolov, A.I. Phase transitions in a superfluid neutron liquid. Sov. Phys. JETP. 1980, 79, 1137–1140. [Google Scholar]
- Kippenhahn, R.; Weigert, A. Stellar Structure and Evolution, 2nd ed.; Springer: New York, NY, USA, 1990. [Google Scholar]
- Weber, F. Pulsars as Astrophysical Observatories for Nuclear and Particle Physics, 1st ed.; CRC Press: New York, NY, USA, 1999. [Google Scholar]
- Herrera, L.; Santos, N.O. Local anisotropy in self-gravitating systems. Phys. Rep. 1997, 286, 53–130. [Google Scholar] [CrossRef]
- Harko, T.; Mak, M.K. Anisotropic relativistic stellar models. Ann. Phys. 2002, 11, 3–13. [Google Scholar] [CrossRef]
- Hossein, S.M.; Rahaman, F.; Naskar, J.; Kalam, M.; Ray, S. Anisotropic compact stars with variable cosmological constant. Int. J. Mod. Phys. D 2012, 21, 1250088. [Google Scholar] [CrossRef]
- Paul, B.C.; Deb, R. Relativistic solutions of anisotropic compact objects. Astrophys. Space Sci. 2014, 354, 421–430. [Google Scholar] [CrossRef]
- Maurya, S.K.; Banarjee, A.; Jasim, M.K.; Kumar, J.; Prasad, A.K.; Pradhan, A. Anisotropic compact stars in the Buchdahl model: A comprehensive study. Phys. Rev. D 2019, 99, 044029. [Google Scholar] [CrossRef]
- Alcock, C.; Olinto, A.V. Exotic phases of hardonic matter and their astrophysical application. Annu. Rev. Nucl. Part. Sci. 1988, 38, 161–184. [Google Scholar] [CrossRef]
- Madsen, J. Physics and astrophysics of strange quark matter. Lect. Notes Phys. 1999, 516, 162–203. [Google Scholar]
- Bordbar, G.H.; Peivand, A.R. Computation of the structure of a magnetized strange quark star. Res. Astron. Astrophys. 2011, 11, 851–862. [Google Scholar] [CrossRef]
- Abbott, B.P.; Abbott, R.; Abbott, T.D.; Acernese, F.; Ackley, K.; Adams, C.; Adams, T.; Addesso, P.; Adhikari, R.X.; Adya, V.B.; et al. GW170817: Observation of gravitational waves from a binary neutron star inspiral. Phys. Rev. Lett. 2017, 119, 161101. [Google Scholar] [CrossRef] [PubMed]
- Abbott, B.P.; Abbott, R.; Abbott, T.D.; Abraham, S.; Acernese, F.; Ackley, K.; Adams, C.; Adhikari, R.X.; Adya, V.B.; Affeldt, C.; et al. GW190425: Observation of a compact binary coalescence with total mass ∼3.4M⨀. Astrophys. J. Lett. 2020, 892, L3. [Google Scholar] [CrossRef]
- Farhi, E.; Jaffe, R.L. Strange matter. Phys. Rev. D 1984, 30, 2379. [Google Scholar] [CrossRef]
- Stergioulas, N. Rotating stars in relativity. Living Rev. Relativ. 2003, 6, 3. [Google Scholar] [CrossRef]
- Xu, R.X. What can the redshift observed in exo 0748-676 tell us? Chin. J. Astron. Astrophys. 2003, 3, 33–37. [Google Scholar] [CrossRef][Green Version]
- Rahaman, F.; Sharma, R.; Ray, S.; Maulick, R.; Karar, I. Strange stars in Krori-Barua spacetime. Eur. Phys. J. C 2012, 72, 2071. [Google Scholar] [CrossRef]
- Kalam, M.; Usmani, A.A.; Rahaman, F.; Hossein, S.M.; Karar, I.; Sharma, R. A relativistic model for strange quark star. Int. J. Theor. Phys. 2013, 52, 3319. [Google Scholar] [CrossRef]
- Haensel, P.; Zdunik, J.L.; Schaffer, R. Strange quark stars. Astron. Astrophys. 1986, 160, 121–128. [Google Scholar]
- Cheng, K.S.; Dai, Z.G.; Lu, T. Strange stars and related astrophysical phenomena. Int. J. Mod. Phys. D 1998, 7, 139–176. [Google Scholar] [CrossRef]
- Harko, T.; Mak, M.K. An exact anisotropic quark star model. Chin. J. Astron. Astrophys. 2002, 2, 248–259. [Google Scholar]
- Rahaman, F.; Chakraborty, K.; Kuhfittig, P.K.F.; Shit, G.C.; Rahman, M. A new deterministic model of strange stars. Eur. Phys. J. C 2014, 74, 3126. [Google Scholar] [CrossRef]
- Bhar, P. A new hybrid star model in Krori-Barua spacetime. Astrophys. Space Sci. 2015, 357, 46. [Google Scholar] [CrossRef]
- Maurya, S.K.; Gupta, Y.K.; Ray, S.; Chowdhury, S.R. Spherically symmetric charged compact stars. Eur. Phys. J. C 2015, 75, 389. [Google Scholar] [CrossRef]
- Maurya, S.K.; Jasim, M.K.; Gupta, Y.K.; Smitha, T.T. A new model for charged anisotropic compact star. Astrophys. Space Sci. 2016, 361, 163. [Google Scholar] [CrossRef]
- Murad, M.H. Some analytical models of anisotropic strange stars. Astrophys. Space Sci. 2016, 361, 20. [Google Scholar] [CrossRef]
- Deb, D.; Chowdhury, S.R.; Ray, S.; Rahaman, F.; Guha, B.K. Relativistic model for anisotropic strange stars. Ann. Phys. 2017, 387, 239–252. [Google Scholar] [CrossRef]
- Bhar, P. Anisotropic compact star model: A brief study via embedding. Eur. Phys. J. C 2019, 79, 138. [Google Scholar] [CrossRef]
- Dirac, P.A.M. The cosmological constants. Nature 1937, 139, 323. [Google Scholar] [CrossRef]
- Dirac, P.A.M. A new basis for cosmology. Proc. R. Soc. Lond. A 1938, 165, 199–208. [Google Scholar] [CrossRef]
- Brans, C.; Dicke, R.H. Mach’s principle and a relativistic theory of gravitation. Phys. Rev. 1961, 124, 925–935. [Google Scholar] [CrossRef]
- Will, C.M. Theory and experiment in gravitational physics. Living Rev. Rel. 2001, 4, 4. [Google Scholar] [CrossRef]
- Weinberg, E.J. Some problems with extended inflation. Phys. Rev. D 1989, 40, 3950. [Google Scholar] [CrossRef]
- Perivolaropoulos, L. PPN parameter γ and solar system constraints of massive Brans–Dicke theories. Phys. Rev. D 2010, 81, 047501. [Google Scholar] [CrossRef]
- Sotani, H. Slowly rotating relativistic stars in scalar-tensor gravity. Phys. Rev. D 2012, 86, 124036. [Google Scholar] [CrossRef]
- Silva, H.O.; Macedo, C.F.B.; Beri, E.; Crispino, L.C.B. Slowly rotating anisotropic neutron stars in general relativity and scalar-tensor theory. Class. Quantum Grav. 2015, 32, 145008. [Google Scholar] [CrossRef]
- Doneva, D.D.; Yazadjiev, S.S. Rapidly rotating neutron stars with a massive scalar field-striucture and universal relations. J. Cosmol. Astropart. Phys. 2016, 11, 019. [Google Scholar] [CrossRef]
- Staykov, K.V.; Popchev, D.; Doneva, D.D.; Yazadjiev, S.S. Static and slowly rotating neutron stars in scalar-tensor theory with a massive scalar field. Eur. Phys. J. C 2018, 78, 586. [Google Scholar] [CrossRef]
- Astashenok, A.V. Neutron and quark stars in f() gravity. Int. J. Mod. Phys. Conf. Ser. 2016, 41, 1660130. [Google Scholar] [CrossRef]
- Sharif, M.; Waseem, A. Anisotopic quark stars in f(,T) gravity. Eur. Phys. J. C 2018, 78, 868. [Google Scholar] [CrossRef]
- Deb, D.; Ketov, S.V.; Khlopov, M.; Ray, S. Study on charged stars in f(,T) gravity. J. Cosmol. Astropart. Phys. 2019, 10, 70. [Google Scholar] [CrossRef]
- Maurya, S.K.; Errehymy, A.; Deb, D.; Tello-Ortiz, F.; Daoud, M. Study of anisotropic stange stars in f(,T) gravity: An embedding approach under the simplest linear functinal of the matter-geometry coupling. Phys. Rev. D 2019, 100, 044014. [Google Scholar] [CrossRef]
- Sharif, M.; Majid, A. Anisotropic strange stars through embedding technique in massive Brans–Dicke gravity. Eur. Phys. J. Plus 2020, 135, 558. [Google Scholar] [CrossRef]
- Tolman, R.C. Static solutions of Einstein’s field equations for spheres of fluids. Phys. Rev. 1939, 55, 364–373. [Google Scholar] [CrossRef]
- Kuchowicz, B. General relativistic fluid spheres. I. New solutions for sphericlly symmetric matter distributions. Acta. Phys. Pol. 1968, 33, 541–563. [Google Scholar]
- Jasim, M.K.; Deb, D.; Ray, S.; Gupta, Y.K.; Chowdhury, S.R. Anisotropic strange stars in Tolman–Kuchowicz spacetime. Eur. Phys. J. C 2018, 78, 603. [Google Scholar] [CrossRef]
- Biswas, S.; Shee, D.; Ray, S.; Rahaman, F.; Guha, B.K. Relativistic strange stars in Tolman–Kuchowicz spacetime. Ann. Phys. 2019, 409, 167905. [Google Scholar] [CrossRef]
- Shamir, M.F.; Naz, T. Study of charged stellar models in f() gravity with Tolman–Kuchowicz spacetime. Int. J. Mod. Phys. A 2020, 35, 2050040. [Google Scholar]
- Yazadjiev, S.S.; Doneva, D.D.; Popchev, D. Slowly rotating neutron stars in scalar-tensor theories with a massive scalar field. Phys. Rev. D 2016, 93, 084038. [Google Scholar] [CrossRef]
- Bruckman, W.F.; Kazes, E. Properties of the solutions of cold ultradense configurations in the Brans–Dicke theory. Phys. Rev. D 1977, 16, 2. [Google Scholar] [CrossRef]
- O’Brien, S.; Synge, J.L. Jump Conditions at Discontinuities in General Relativity; Dublin Institute for Advanced Studies: Dublin, Ireland, 1952. [Google Scholar]
- Demorest, P.B.; Pennucci, T.; Ransom, S.M.; Roberts, M.S.E.; Hessels, J.W.T. A two-solar-mass neutron star measured using Shapiro delay. Nature 2010, 467, 1081–1083. [Google Scholar] [CrossRef]
- Kalam, M.; Rahaman, F.; Ray, S.; Hossein, S.M.; Karar, I.; Naskar, J. Anisotropic strange star with de sitter spacetime. Eur. Phys. J. C 2012, 72, 2248. [Google Scholar] [CrossRef]
- Lake, K. All static spherically symmetric perfect-fluid solutions of Einstein’s equations. Phys. Rev. D 2003, 67, 104015. [Google Scholar] [CrossRef]
- Fujii, Y.; Maeda, K. The Scalar-Tensor Theory of Gravitation; Landshoff, P.V., Nelson, D.R., WeinBerg, S., Eds.; Cambridge University Press: Cambridge, UK, 2003. [Google Scholar]
- Buchdahl, H.A. General relativistic fluid spheres. Phys. Rev. 1959, 116, 1027–1034. [Google Scholar] [CrossRef]
- Ivanov, B.V. Maximum bounds on the surface redshift of anisotropic stars. Phys. Rev. D 2002, 65, 104011. [Google Scholar] [CrossRef]
- Abreu, H.; Hernandez, H.; Nunez, L.A. Sound speeds, cracking and stability of self-gravitating anisotropic compact objects. Class. Quantum Gravit. 2007, 24, 4631–4645. [Google Scholar] [CrossRef]
- Herrera, L. Cracking of self-gravitating compact objects. Phys. Lett. A 1992, 165, 206–210. [Google Scholar] [CrossRef]
- Heintzmann, H.; Hillebrandt, W. Neutron stars with an anisotropic equation of state: Mass, redshift and stability. Astron. Astrophys. 1975, 24, 51–55. [Google Scholar]









| = 60 MeV/fm | |||||
|---|---|---|---|---|---|
| Predicted | (gm/cm) | (gm/cm) | (dyne/cm) | ||
| Radius (km) | |||||
| 5 | 0.1 | ||||
| 8 | 0.125 | ||||
| 10 | 0.15 | ||||
| = 83 MeV/fm | |||||
| Predicted | (gm/cm) | (gm/cm) | (dyne/cm) | ||
| Radius (km) | |||||
| 5 | 0.1 | ||||
| 8 | 0.18 | ||||
| 10 | 0.25 | ||||
| = 60 MeV/fm | |||||
|---|---|---|---|---|---|
| Predicted | (gm/cm) | (gm/cm) | (dyne/cm) | ||
| Radius (km) | |||||
| 5 | 0.1 | ||||
| 8 | 0.125 | ||||
| 10 | 0.15 | ||||
| = 83 MeV/fm | |||||
| Predicted | (gm/cm) | (gm/cm) | (dyne/cm) | ||
| Radius (km) | |||||
| 5 | 0.1 | ||||
| 8 | 0.18 | ||||
| 10 | 0.25 | ||||
| = 60 MeV/fm | = 83 MeV/fm | ||
|---|---|---|---|
| 5 | 0.7 | 5 | 0.65 |
| 8 | 0.3 | 8 | 0.25 |
| 10 | 0.2 | 10 | 0.15 |
| = 60 MeV/fm | = 83 MeV/fm | |||
| 5 | 0.0291 | 0.0303 | 0.0326 | 0.0338 |
| 8 | 0.0311 | 0.0326 | 0.0441 | 0.0468 |
| 10 | 0.0386 | 0.0406 | 0.0522 | 0.0571 |
| = 60 MeV/fm | = 83 MeV/fm | |||
| 5 | 0.0354 | 0.0370 | 0.0360 | 0.0381 |
| 8 | 0.0387 | 0.0412 | 0.0613 | 0.0667 |
| 10 | 0.0474 | 0.0514 | 0.0976 | 0.1146 |
© 2020 by the authors. Licensee MDPI, Basel, Switzerland. This article is an open access article distributed under the terms and conditions of the Creative Commons Attribution (CC BY) license (http://creativecommons.org/licenses/by/4.0/).
Share and Cite
Majid, A.; Sharif, M. Quark Stars in Massive Brans–Dicke Gravity with Tolman–Kuchowicz Spacetime. Universe 2020, 6, 124. https://doi.org/10.3390/universe6080124
Majid A, Sharif M. Quark Stars in Massive Brans–Dicke Gravity with Tolman–Kuchowicz Spacetime. Universe. 2020; 6(8):124. https://doi.org/10.3390/universe6080124
Chicago/Turabian StyleMajid, Amal, and M. Sharif. 2020. "Quark Stars in Massive Brans–Dicke Gravity with Tolman–Kuchowicz Spacetime" Universe 6, no. 8: 124. https://doi.org/10.3390/universe6080124
APA StyleMajid, A., & Sharif, M. (2020). Quark Stars in Massive Brans–Dicke Gravity with Tolman–Kuchowicz Spacetime. Universe, 6(8), 124. https://doi.org/10.3390/universe6080124

