High-Energy and Very High-Energy Constraints from Log-Parabolic Spectral Models in Narrow-Line Seyfert 1 Galaxies
Abstract
1. Introduction
2. The Sample
3. Broad-Line Region versus Log-Parabola Spectral Model Absorption
3.1. The Log-Parabola Parameters Space in the 4FGL Context
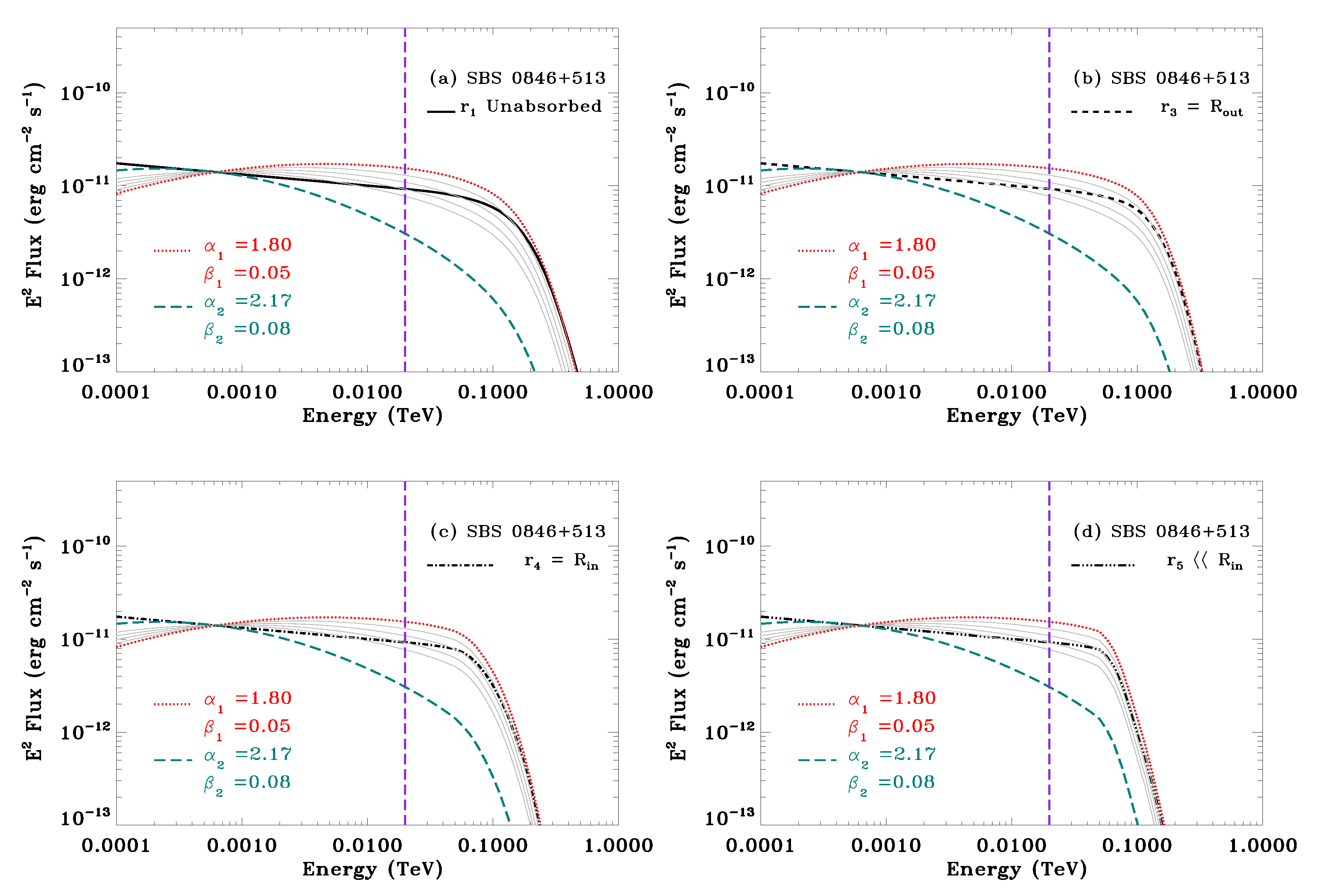
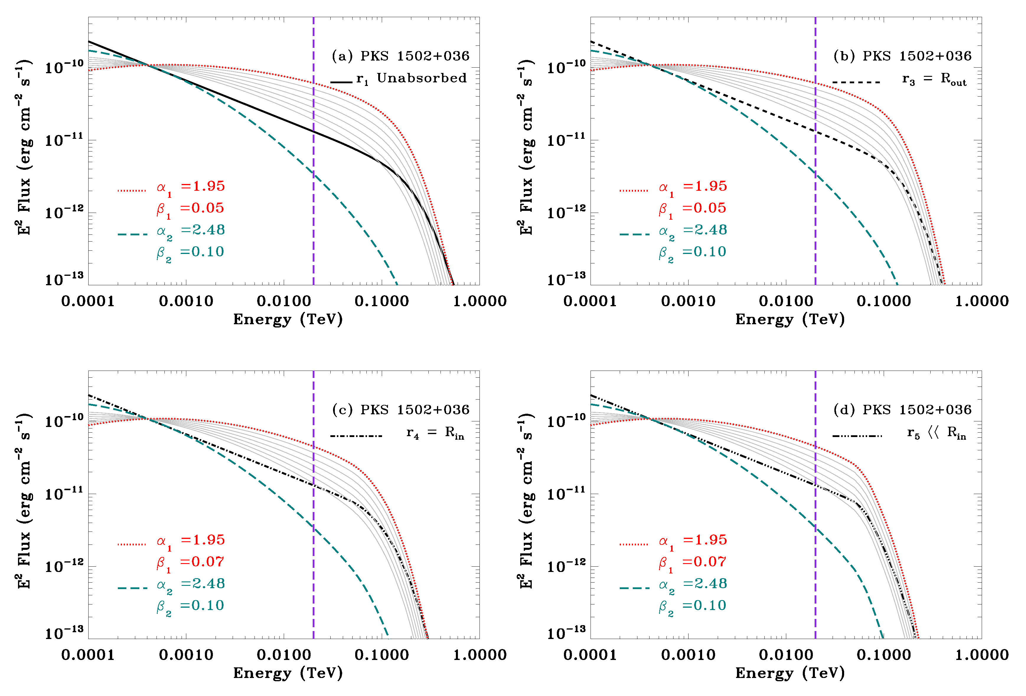
3.2. Application to the Three NLSy1s
- solid line ,
- dashed lines (outer BLR radius),
- dot-dashed lines (inner BLR radius),
- and dashed-triple-dotted lines , respectively.
4. Discussion
5. Conclusions
Author Contributions
Funding
Acknowledgments
Conflicts of Interest
References
- Cerruti, M.; Dermer, C.D.; Lott, B.; Boisson, C.; Zech, A. Gamma-Ray Blazars near Equipartition and the Origin of the GeV Spectral Break in 3C 454.3. Astrophys. J. Lett. 2013, 771, L4. [Google Scholar] [CrossRef]
- Dermer, C.D.; Cerruti, M.; Lott, B.; Boisson, C.; Zech, A. Equipartition Gamma-Ray Blazars and the Location of the Gamma-Ray Emission Site in 3C 279. Astrophys. J. 2014, 782, 82. [Google Scholar] [CrossRef]
- Dermer, C.D.; Yan, D.; Zhang, L.; Finke, J.D.; Lott, B. Near-equipartition Jets with Log-parabola Electron Energy Distribution and the Blazar Spectral-index Diagrams. Astrophys. J. 2015, 809, 174. [Google Scholar] [CrossRef]
- Bevington, P.R.; Robinson, D.K. Data Reduction and Error Analysis for the Physical Sciences, 3rd ed.; McGraw-Hill: New York, NY, USA, 2003. [Google Scholar]
- Massaro, E.; Perri, M.; Giommi, P.; Nesci, R. Log-parabolic spectra and particle acceleration in the BL Lac object Mkn 421: Spectral analysis of the complete BeppoSAX wide band X-ray data set. Astron. Astrophys. 2004, 413, 489–503. [Google Scholar] [CrossRef]
- Foschini, L.; Ghisellini, G.; Tavecchio, F.; Bonnoli, G.; Stamerra, A. Short time scale variability at gamma rays in FSRQs and implications on the current models. arXiv 2011, arXiv:1110.4471. [Google Scholar]
- Hofmann, W. The Cherenkov Telescope Array: Exploring the Very-high-energy Sky from ESO’s Paranal Site. Messenger 2017, 168, 21–26. [Google Scholar] [CrossRef]
- Romano, P.; Vercellone, S.; Foschini, L.; Tavecchio, F.; Landoni, M.; Knödlseder, J. Prospects for gamma-ray observations of narrow-line Seyfert 1 galaxies with the Cherenkov Telescope Array. Mon. Not. R. Astron. Soc. 2018, 481, 5046–5061. [Google Scholar] [CrossRef]
- Romano, P.; Böttcher, M.; Foschini, L.; Boisson, C.; Vercellone, S.; Landoni, M. Prospects for gamma-ray observations of narrow-line Seyfert 1 galaxies with the Cherenkov Telescope Array II. Gamma-gamma absorption in the broad-line region radiation fields. arXiv 2020, arXiv:2002.11737. [Google Scholar]
- Osterbrock, D.E.; Pogge, R.W. The spectra of narrow-line Seyfert 1 galaxies. Astrophys. J. 1985, 297, 166–176. [Google Scholar] [CrossRef]
- Pogge, R.W. A quarter century of Narrow-Line Sefert 1s. In Narrow-Line Seyfert 1 Galaxies and Their Place in the Universe (Seyfert 2011); SISSA Medialab: Trieste, Italy, 2011; p. 2. [Google Scholar]
- Komossa, S.; Voges, W.; Xu, D.; Mathur, S.; Adorf, H.M.; Lemson, G.; Duschl, W.J.; Grupe, D. Radio-loud Narrow-Line Type 1 Quasars. Astrophys. J. 2006, 132, 531–545. [Google Scholar] [CrossRef]
- Abdo, A.A.; Ackermann, M.; Ajello, M.; Baldini, L.; Ballet, J.; Barbiellini, G.; Bastieri, D.; Bechtol, K.; Bellazzini, R.; Berenji, B.; et al. Radio-Loud Narrow-Line Seyfert 1 as a New Class of Gamma-Ray Active Galactic Nuclei. Astrophys. J. Lett. 2009, 707, L142–L147. [Google Scholar] [CrossRef]
- The Fermi-LAT Collaboration. Fermi Large Area Telescope Fourth Source Catalog. arXiv 2019, arXiv:1902.10045. [Google Scholar]
- Foschini, L.; Berton, M.; Caccianiga, A.; Ciroi, S.; Cracco, V.; Peterson, B.M.; Angelakis, E.; Braito, V.; Fuhrmann, L.; Gallo, L.; et al. Properties of flat-spectrum radio-loud narrow-line Seyfert 1 galaxies. Astron. Astrophys. 2015, 575, A13. [Google Scholar] [CrossRef]
- D’Ammando, F.; Orienti, M.; Finke, J.; Larsson, J.; Giroletti, M.; Raiteri, C. A Panchromatic View of Relativistic Jets in Narrow-Line Seyfert 1 Galaxies. Galaxies 2016, 4, 11. [Google Scholar] [CrossRef]
- D’Ammando, F. Relativistic Jets in Gamma-Ray-Emitting Narrow-Line Seyfert 1 Galaxies. Galaxies 2019, 7, 87. [Google Scholar] [CrossRef]
- Foschini, L. Evidence of powerful relativistic jets in narrow-line Seyfert 1 galaxies. arXiv 2011, arXiv:1105.0772. [Google Scholar]
- Donato, D.; Perkins, J.S. Fermi LAT detection of a GeV flare from the Radio-Loud Narrow-Line Sy1 SBS 0846+513. Astron. Telegr. 2011, 3452, 1. [Google Scholar]
- D’Ammando, F.; Orienti, M.; Finke, J.; Raiteri, C.M.; Angelakis, E.; Fuhrmann, L.; Giroletti, M.; Hovatta, T.; Max-Moerbeck, W.; Perkins, J.S.; et al. SBS 0846+513: A new γ-ray-emitting narrow-line Seyfert 1 galaxy. Mon. Not. R. Astron. Soc. 2012, 426, 317–329. [Google Scholar] [CrossRef]
- Abdo, A.A.; Ackermann, M.; Ajello, M.; Axelsson, M.; Baldini, L.; Ballet, J.; Barbiellini, G.; Bastieri, D.; Battelino, M.; Baughman, B.M.; et al. Fermi/Large Area Telescope Discovery of Gamma-Ray Emission from a Relativistic Jet in the Narrow-Line Quasar PMN J0948+0022. Astrophys. J. 2009, 699, 976–984. [Google Scholar] [CrossRef]
- Foschini, L.; Ghisellini, G.; Kovalev, Y.Y.; Lister, M.L.; D’Ammando, F.; Thompson, D.J.; Tramacere, A.; Angelakis, E.; Donato, D.; Falcone, A.; et al. The first gamma-ray outburst of a narrow-line Seyfert 1 galaxy: The case of PMN J0948+0022 in 2010 July. Mon. Not. R. Astron. Soc. 2011, 413, 1671–1677. [Google Scholar] [CrossRef]
- D’Ammando, F.; Orienti, M.; Finke, J.; Raiteri, C.M.; Hovatta, T.; Larsson, J.; Max-Moerbeck, W.; Perkins, J.; Readhead, A.C.S.; Richards, J.L.; et al. The most powerful flaring activity from the NLSy1 PMN J0948+0022. Mon. Not. R. Astron. Soc. 2015, 446, 2456–2467. [Google Scholar] [CrossRef]
- Foschini, L. Powerful relativistic jets in narrow-line Seyfert 1 glaxies (review). arXiv 2013, arXiv:1301.5785. [Google Scholar]
- Böttcher, M.; Els, P. Gamma-Gamma Absorption in the Broad Line Region Radiation Fields of Gamma-Ray Blazars. Astrophys. J. 2016, 821, 102. [Google Scholar] [CrossRef]
- Ghisellini, G.; Tavecchio, F.; Foschini, L.; Bonnoli, G.; Tagliaferri, G. The red blazar PMN J2345-1555 becomes blue. Mon. Not. R. Astron. Soc. 2013, 432, L66–L70. [Google Scholar] [CrossRef]
- Domínguez, A.; Primack, J.R.; Rosario, D.J.; Prada, F.; Gilmore, R.C.; Faber, S.M.; Koo, D.C.; Somerville, R.S.; Pérez-Torres, M.A.; Pérez-González, P.; et al. Extragalactic background light inferred from AEGIS galaxy-SED-type fractions. Mon. Not. R. Astron. Soc. 2011, 410, 2556–2578. [Google Scholar] [CrossRef]
- Foschini, L.; Angelakis, E.; Fuhrmann, L.; Ghisellini, G.; Hovatta, T.; Lahteenmaki, A.; Lister, M.L.; Braito, V.; Gallo, L.; Hamilton, T.S.; et al. Radio-to-γ-ray monitoring of the narrow-line Seyfert 1 galaxy PMN J0948 + 0022 from 2008 to 2011. Astron. Astrophys. 2012, 548, A106. [Google Scholar] [CrossRef]
| 1. | Any opinion, finding and conclusion or recommendation expressed in this material is that of the authors, and the NRF does not accept any liability in this regard. |






| Name | ||||||
|---|---|---|---|---|---|---|
| SBS 0846+513 | 624.72 | |||||
| PMN J0948+0022 | 276.11 | |||||
| PKS 1502+036 | 400.94 |
| Name | Model | |||||
|---|---|---|---|---|---|---|
| SBS 0846+513 | Red | - | 32.3 | 26.8 | - | - |
| - | - | - | 32.3 | 14.9 | ||
| Green | - | 1.72 | 1.11 | - | - | |
| PMN J0948+0022 | Red | - | 18.3 | 12.8 | - | - |
| - | - | - | 19.9 | 7.8 | ||
| Green | - | 0.04 | 0.02 | - | - | |
| PKS 1502+036 | Red | - | 85.1 | 65.9 | - | - |
| Red | - | 41.3 | 29.3 | - | - | |
| - | - | - | 26.8 | 14.6 | ||
| Green | - | 0.51 | 0.26 | - | - |
© 2020 by the authors. Licensee MDPI, Basel, Switzerland. This article is an open access article distributed under the terms and conditions of the Creative Commons Attribution (CC BY) license (http://creativecommons.org/licenses/by/4.0/).
Share and Cite
Vercellone, S.; Foschini, L.; Romano, P.; Böttcher, M.; Boisson, C. High-Energy and Very High-Energy Constraints from Log-Parabolic Spectral Models in Narrow-Line Seyfert 1 Galaxies. Universe 2020, 6, 54. https://doi.org/10.3390/universe6040054
Vercellone S, Foschini L, Romano P, Böttcher M, Boisson C. High-Energy and Very High-Energy Constraints from Log-Parabolic Spectral Models in Narrow-Line Seyfert 1 Galaxies. Universe. 2020; 6(4):54. https://doi.org/10.3390/universe6040054
Chicago/Turabian StyleVercellone, Stefano, Luigi Foschini, Patrizia Romano, Markus Böttcher, and Catherine Boisson. 2020. "High-Energy and Very High-Energy Constraints from Log-Parabolic Spectral Models in Narrow-Line Seyfert 1 Galaxies" Universe 6, no. 4: 54. https://doi.org/10.3390/universe6040054
APA StyleVercellone, S., Foschini, L., Romano, P., Böttcher, M., & Boisson, C. (2020). High-Energy and Very High-Energy Constraints from Log-Parabolic Spectral Models in Narrow-Line Seyfert 1 Galaxies. Universe, 6(4), 54. https://doi.org/10.3390/universe6040054

