Symmetry Constrained Decoherence of Conditional Expectation Values †
Abstract
1. Introduction
2. Measurement Models and Conservation Laws
2.1. Quantum Measurements
2.2. Expected Value of a Self-Adjoint Operator Conditioned on the Outcome of a POVM
2.3. Measurements Restricted by Additive Conservation Laws
3. Results
3.1. Conserved Quantities and Decoherence Maps
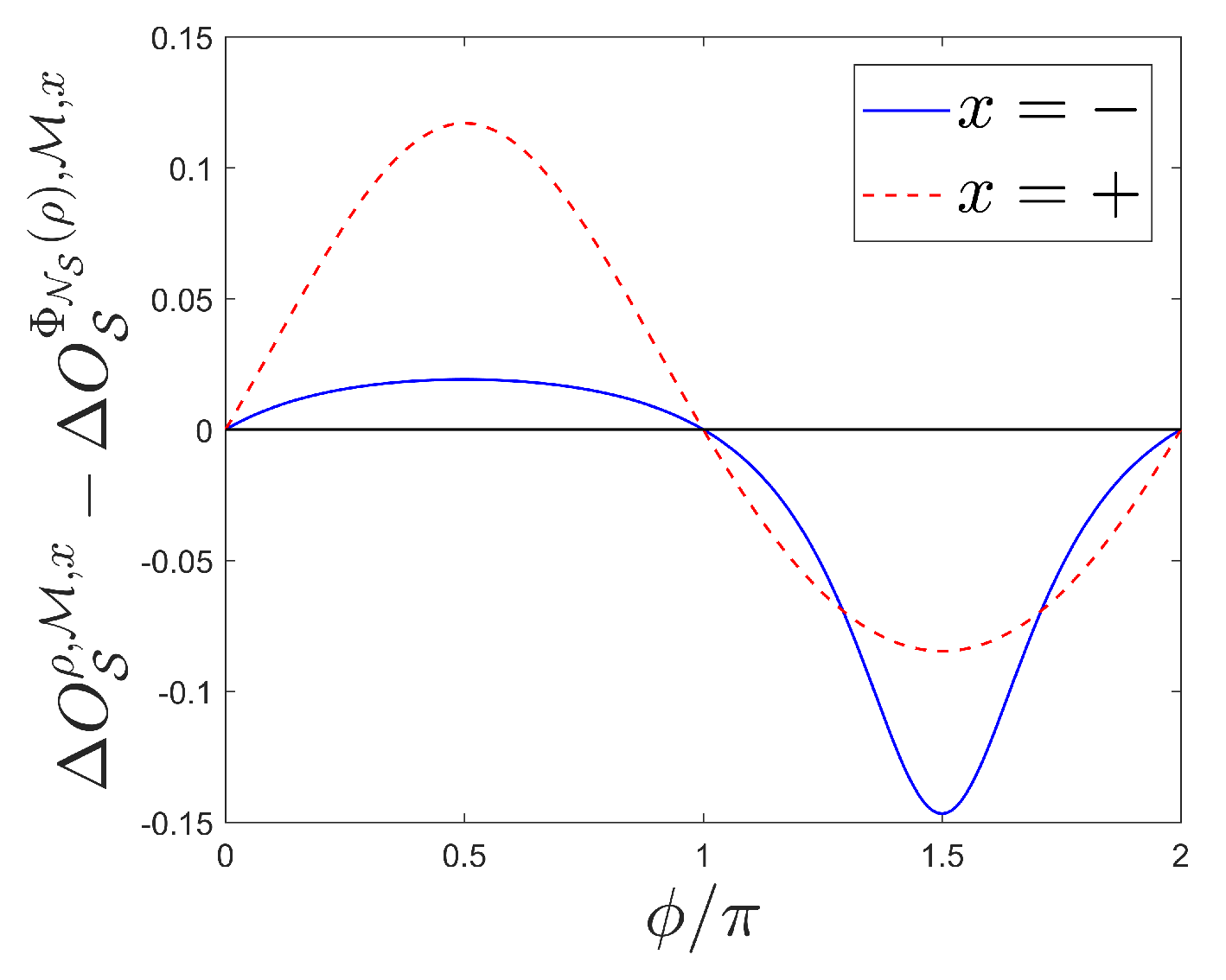
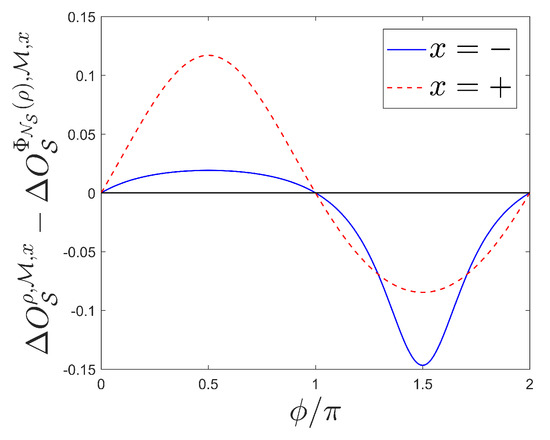
3.2. Qubits Measured by a Jaynes-Cummings Interaction
4. Discussion
5. Conclusions
Author Contributions
Funding
Conflicts of Interest
Abbreviations
| POVM | Positive operator valued measure |
| PVM | Projective valued measure |
| WAY | Wigner-Araki-Yanase |
Appendix A. Proofs of Theorems
References
- Von Neumann, J. Mathematical Foundations of Quantum Mechanics: New Edition; Princeton University Press: Princeton, NJ, USA, 2018. [Google Scholar]
- Kraus, K. States, Effects and Operations: Fundamental Notions of Quantum Theory; Springer: New York, NY, USA, 1983. [Google Scholar]
- Mohammady, M.H.; Romito, A. Conditional work statistics of quantum measurements. arXiv, 2018; arXiv:1809.09010. [Google Scholar]
- Aharonov, Y.; Albert, D.Z.; Vaidman, L. How the result of a measurement of a component of the spin of a spin-1/2 particle can turn out to be 100. Phys. Rev. Lett. 1988, 60, 1351–1354. [Google Scholar] [CrossRef] [PubMed]
- Dressel, J.; Malik, M.; Miatto, F.M.; Jordan, A.N.; Boyd, R.W. Colloquium: Understanding quantum weak values: Basics and applications. Rev. Mod. Phys. 2014, 86, 307–316. [Google Scholar] [CrossRef]
- Steinberg, A.M. How much time does a tunneling particle spend in the barrier region? Phys. Rev. Lett. 1995, 74, 2405–2409. [Google Scholar] [CrossRef] [PubMed]
- Choi, Y.; Jordan, A.N. Operational approach to indirectly measuring the tunneling time. Phys. Rev. A 2013, 88, 1–14. [Google Scholar] [CrossRef]
- Zilberberg, O.; Carmi, A.; Romito, A. Measuring cotunneling in its wake. Phys. Rev. B 2014, 90, 1–15. [Google Scholar] [CrossRef]
- Romito, A.; Gefen, Y. Weak measurement of cotunneling time. Phys. Rev. B 2014, 90, 1–13. [Google Scholar] [CrossRef]
- Lundeen, J.S.; Sutherland, B.; Patel, A.; Stewart, C.; Bamber, C. Direct measurement of the quantum wavefunction. Nature 2011, 474, 188–191. [Google Scholar] [CrossRef] [PubMed]
- Guerlin, C.; Bernu, J.; Deléglise, S.; Sayrin, C.; Gleyzes, S.; Kuhr, S.; Brune, M.; Raimond, J.M.; Haroche, S. Progressive field-state collapse and quantum non-demolition photon counting. Nature 2007, 448, 889–893. [Google Scholar] [CrossRef]
- Sayrin, C.; Dotsenko, I.; Zhou, X.; Peaudecerf, B.; Rybarczyk, T.; Gleyzes, S.; Rouchon, P.; Mirrahimi, M.; Amini, H.; Brune, M.; et al. Real-time quantum feedback prepares and stabilizes photon number states. Nature 2011, 477, 73–77. [Google Scholar] [CrossRef]
- Vijay, R.; MacKlin, C.; Slichter, D.H.; Weber, S.J.; Murch, K.W.; Naik, R.; Korotkov, A.N.; Siddiqi, I. Stabilizing Rabi oscillations in a superconducting qubit using quantum feedback. Nature 2012, 490, 77–80. [Google Scholar] [CrossRef] [PubMed]
- Hatridge, M.; Shankar, S.; Mirrahimi, M.; Schackert, F.; Geerlings, K.; Brecht, T.; Sliwa, K.M.; Abdo, B.; Frunzio, L.; Girvin, S.M.; et al. Quantum back-action of an individual variable-strength measurement. Science 2013, 339, 178–181. [Google Scholar] [CrossRef] [PubMed]
- Murch, K.W.; Weber, S.J.; Macklin, C.; Siddiqi, I. Observing single quantum trajectories of a superconducting quantum bit. Nature 2013, 502, 211–214. [Google Scholar] [CrossRef]
- Blok, M.S.; Bonato, C.; Markham, M.L.; Twitchen, D.J.; Dobrovitski, V.V.; Hanson, R. Manipulating a qubit through the backaction of sequential partial measurements and real-time feedback. Nat. Phys. 2014, 10, 189–193. [Google Scholar] [CrossRef]
- De Lange, G.; Ristè, D.; Tiggelman, M.J.; Eichler, C.; Tornberg, L.; Johansson, G.; Wallraff, A.; Schouten, R.N.; Dicarlo, L. Reversing quantum trajectories with analog feedback. Phys. Rev. Lett. 2014, 112, 1–5. [Google Scholar] [CrossRef]
- Groen, J.P.; Ristè, D.; Tornberg, L.; Cramer, J.; De Groot, P.C.; Picot, T.; Johansson, G.; Dicarlo, L. Partial-measurement backaction and nonclassical weak values in a superconducting circuit. Phys. Rev. Lett. 2013, 111, 1–5. [Google Scholar] [CrossRef] [PubMed]
- Campagne-Ibarcq, P.; Bretheau, L.; Flurin, E.; Auffèves, A.; Mallet, F.; Huard, B. Observing interferences between past and future quantum states in resonance fluorescence. Phys. Rev. Lett. 2014, 112, 1–5. [Google Scholar] [CrossRef]
- Ristè, D.; Dukalski, M.; Watson, C.A.; De Lange, G.; Tiggelman, M.J.; Blanter, Y.M.; Lehnert, K.W.; Schouten, R.N.; Dicarlo, L. Deterministic entanglement of superconducting qubits by parity measurement and feedback. Nature 2013, 502, 350–354. [Google Scholar] [CrossRef]
- Roch, N.; Schwartz, M.E.; Motzoi, F.; Macklin, C.; Vijay, R.; Eddins, A.W.; Korotkov, A.N.; Whaley, K.B.; Sarovar, M.; Siddiqi, I. Observation of measurement-induced entanglement and quantum trajectories of remote superconducting qubits. Phys. Rev. Lett. 2014, 112, 1–5. [Google Scholar] [CrossRef]
- Naghiloo, M.; Alonso, J.J.; Romito, A.; Lutz, E.; Murch, K.W. Information gain and loss for a quantum Maxwell’s demon. arXiv, 2018; arXiv:1802.07205. [Google Scholar] [CrossRef]
- Alonso, J.J.; Lutz, E.; Romito, A. Thermodynamics of Weakly Measured Quantum Systems. Phys. Rev. Lett. 2016, 116, 080403. [Google Scholar] [CrossRef] [PubMed]
- Elouard, C.; Herrera-Martí, D.A.; Clusel, M.; Auffèves, A. The role of quantum measurement in stochastic thermodynamics. NPJ Quantum Inf. 2017, 3, 9. [Google Scholar] [CrossRef]
- Elouard, C.; Mohammady, H. Work, heat and entropy production along quantum trajectories. arXiv, 2018; arXiv:1805.08305. [Google Scholar]
- Romito, A.; Gefen, Y. Weak values under uncertain conditions. Physica E 2010, 42, 343–347. [Google Scholar] [CrossRef]
- Thomas, M.; Romito, A. Decoherence effects on weak value measurements in double quantum dots. Phys. Rev. B 2012, 86. [Google Scholar] [CrossRef]
- Shikano, Y.; Hosoya, A. Weak values with decoherence. J. Phys. A Math. Theor. 2010, 43, 025304. [Google Scholar] [CrossRef]
- Busch, P.; Grabowski, M.; Lahti, P.J. Operational Quantum Physics; Springer: New York, NY, USA, 1995. [Google Scholar]
- Busch, P.; Lahti, P.J.; Mittelstaedt, P. The Quantum Theory of Measurement; Springer: New York, NY, USA, 1996. [Google Scholar]
- Busch, P.; Lahti, P.J.; Pellonp, J.P.P.; Ylinen, K. Quantum Measurement; Springer: New York, NY, USA, 2016. [Google Scholar]
- Mittelstaedt, P. The Interpretation of Quantum Mechanics and the Measurement Process; Cambridge University Press: Cambridge, UK, 2004. [Google Scholar]
- Heinosaari, T.; Ziman, M. The Mathematical Language of Quantum Theory; Cambridge University Press: Cambridge, UK, 2011. [Google Scholar]
- Haapasalo, E.; Lahti, P.; Schultz, J. Weak versus approximate values in quantum state determination. Phys. Rev. A 2011, 84, 052107. [Google Scholar] [CrossRef]
- Vaidman, L.; Ben-Israel, A.; Dziewior, J.; Knips, L.; Weißl, M.; Meinecke, J.; Schwemmer, C.; Ber, R.; Weinfurter, H. Weak value beyond conditional expectation value of the pointer readings. Phys. Rev. A 2017, 96, 032114. [Google Scholar] [CrossRef]
- Aharonov, Y.; Cohen, E.; Landsberger, T. The Two-Time Interpretation and Macroscopic Time-Reversibility. Entropy 2017, 19, 111. [Google Scholar] [CrossRef]
- Wigner, E. Die Messung quantenmechanischer Operatoren. Z. Phys. 1952, 133, 101. [Google Scholar] [CrossRef]
- Araki, H.; Yanase, M.M. Measurement of Quantum Mechanical Operators. Phys. Rev. 1960, 120, 622–626. [Google Scholar] [CrossRef]
- Loveridge, L.; Busch, P. ‘Measurement of quantum mechanical operators’ revisited. Eur. Phys. J. D 2011, 62, 297–307. [Google Scholar] [CrossRef]
- Lostaglio, M.; Jennings, D.; Rudolph, T. Description of quantum coherence in thermodynamic processes requires constraints beyond free energy. Nat. Commun. 2015, 6, 6383. [Google Scholar] [CrossRef] [PubMed]

© 2019 by the authors. Licensee MDPI, Basel, Switzerland. This article is an open access article distributed under the terms and conditions of the Creative Commons Attribution (CC BY) license (http://creativecommons.org/licenses/by/4.0/).
Share and Cite
Mohammady, M.H.; Romito, A. Symmetry Constrained Decoherence of Conditional Expectation Values. Universe 2019, 5, 46. https://doi.org/10.3390/universe5020046
Mohammady MH, Romito A. Symmetry Constrained Decoherence of Conditional Expectation Values. Universe. 2019; 5(2):46. https://doi.org/10.3390/universe5020046
Chicago/Turabian StyleMohammady, M. Hamed, and Alessandro Romito. 2019. "Symmetry Constrained Decoherence of Conditional Expectation Values" Universe 5, no. 2: 46. https://doi.org/10.3390/universe5020046
APA StyleMohammady, M. H., & Romito, A. (2019). Symmetry Constrained Decoherence of Conditional Expectation Values. Universe, 5(2), 46. https://doi.org/10.3390/universe5020046

