Perturbative Accelerating Solutions of Relativistic Hydrodynamics
Abstract
:1. Introduction
2. Perturbative Solutions of Hydrodynamics
3. Perturbations on Top of Hubble-Flow
- The scale variable S fulfills with the original flow field.
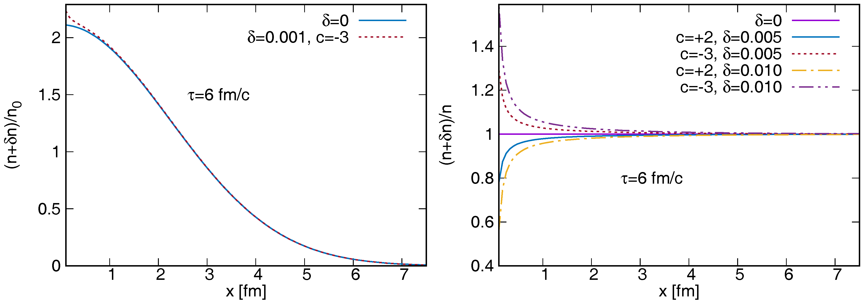
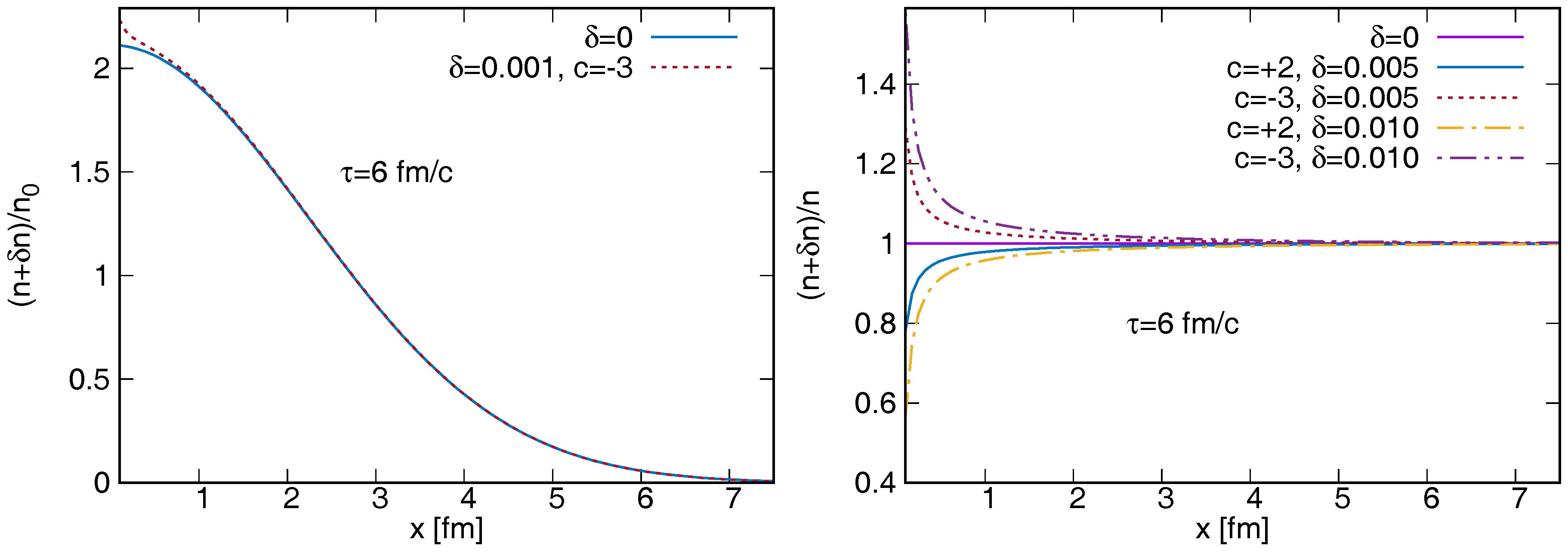
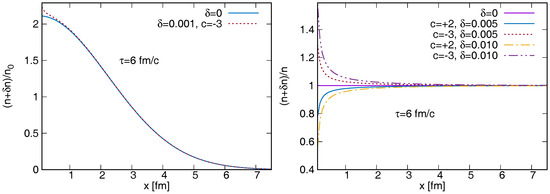
4. A Selected Sub-Class of Perturbative Solutions
5. Conclusions
Acknowledgments
Author Contributions
Conflicts of Interest
References
- Adcox, K.; Adler, S.S.; Afanasiev, S.; Aidala, C.; Ajitanand, N.N.; Akiba, Y.; Al-Jamel, A.; Alexander, J.; Amirikas, R.; Aoki, K.; et al. Formation of dense partonic matter in relativistic nucleus nucleus collisions at RHIC: Experimental evaluation by the PHENIX collaboration. Nucl. Phys. 2005, 757, 184–283. [Google Scholar] [CrossRef]
- Adams, J.; Aggarwal, M.M.; Ahammed, Z.; Amonett, J.; Anderson, B.D.; Arkhipkin, D.; Averichev, G.S.; Badyal, S.K.; Bai, Y.; Balewski, J.; et al. Experimental and theoretical challenges in the search for the quark gluon plasma: The STAR collaboration’s critical assessment of the evidence from RHIC collisions. Nucl. Phys. 2005, 757, 102–183. [Google Scholar] [CrossRef]
- Aamodt, K.; Abrahantes Quintana, A.; Adamová, D.; Adare, A.M.; Aggarwal, M.M.; Aglieri Rinella, G.; Agocs, A.G.; Aguilar Salazar, S.; Ahammed, Z.; Ahmad, N.; et al. Suppression of Charged Particle Production at Large Transverse Momentum in Central Pb–Pb Collisions at = 2.76 TeV. Phys. Lett. 2011, 696, 30–39. [Google Scholar] [CrossRef]
- Aamodt, K.; Abelev, B.; Abrahantes Quintana, A.; Adamová, D.; Adare, A.M.; Aggarwal, M.M.; Aglieri Rinella, G.; Agocs, A.G.; Aguilar Salazar, S.; Ahammed, Z.; et al. Elliptic flow of charged particles in Pb-Pb collisions at 2.76 TeV. Phys. Rev. Lett. 2010, 105, 252302. [Google Scholar] [CrossRef] [PubMed]
- Chatrchyan, S.; Khachatryan, V.; Sirunyan, A.M.; Tumasyan, A.; Adam, W.; Bergauer, T.; Dragicevic, M.; Erö, J.; Fabjan, C.; Friedl, M.; et al. Study of high-pT charged particle suppression in PbPb compared to pp collisions at = 2.76 TeV. Eur. Phys. J. C 2012, 72, 1945. [Google Scholar] [CrossRef]
- Chatrchyan, S.; Khachatryan, V.; Sirunyan, A.M.; Tumasyan, A.; Adam, W.; Bergauer, T.; Dragicevic, M.; Erö, J.; Fabjan, C.; Friedl, M.; et al. Measurement of the elliptic anisotropy of charged particles produced in PbPb collisions at nucleon-nucleon center-of-mass energy = 2.76 TeV. Phys. Rev. 2013, 87, 014902. [Google Scholar]
- Csanád, M.; Nagy, M.; Lökös, S. Exact solutions of relativistic perfect fluid hydrodynamics for a QCD equation of state. Eur. Phys. J. A 2012, 48, 173. [Google Scholar] [CrossRef]
- Landau, L.D. On the multiparticle production in high-energy collisions. Izv. Akad. Nauk SSSR Ser. Fiz. 1953, 17, 51–64. [Google Scholar]
- Khalatnikov, I.M. Some problems of relativistic hydrodynamics. Zh. Eksp. Teor. Fiz. 1954, 27, 529. [Google Scholar]
- Hwa, R.C. Statistical Description of Hadron Constituents as a Basis for the Fluid Model of High-Energy Collisions. Phys. Rev. D 1974, 10, 2260. [Google Scholar] [CrossRef]
- Bjorken, J.D. Highly Relativistic Nucleus-Nucleus Collisions: The Central Rapidity Region. Phys. Rev. D 1983, 27, 140–151. [Google Scholar] [CrossRef]
- Shen, C.; Qiu, Z.; Song, H.; Bernhard, J.; Bass, S.; Heinz, U. The iEBE-VISHNU code package for relativistic heavy-ion collisions. Comput. Phys. Commun. 2016, 199, 61–85. [Google Scholar] [CrossRef]
- Pang, L.G.; Petersen, H.; Wang, Q.; Wang, X.N. Vortical Fluid and Λ Spin Correlations in High-Energy Heavy-Ion Collisions. Phys. Rev. Lett. 2016, 117, 192301. [Google Scholar] [CrossRef] [PubMed]
- Weller, R.D.; Romatschke, P. One fluid to rule them all: Viscous hydrodynamic description of event-by-event central p+p, p+Pb and Pb+Pb collisions at = 5.02 TeV. Phys. Lett. B 2017, 774, 351–356. [Google Scholar] [CrossRef]
- Csörgo, T.; Csernai, L.P.; Hama, Y.; Kodama, T. Simple solutions of relativistic hydrodynamics for systems with ellipsoidal symmetry. Heavy Ion Phys. A 2004, 21, 73–84. [Google Scholar] [CrossRef]
- Csörgo, T.; Nagy, M.I.; Csanád, M. A new family of simple solutions of perfect fluid hydrodynamics. Phys. Lett. B 2008, 663, 306–311. [Google Scholar] [CrossRef]
- Nagy, M.I.; Csörgo, T.; Csanád, M. Detailed description of accelerating, simple solutions of relativistic perfect fluid hydrodynamics. Phys. Rev. C 2008, 77, 024908. [Google Scholar] [CrossRef]
- Borshch, M.S.; Zhdanov, V.I. Exact Solutions of the Equations of Relativistic Hydrodynamics Representing Potential Flows. Symmetry Integrab. Geom. Methods Appl. 2007, 3, 116. [Google Scholar] [CrossRef]
- Pratt, S. A co-moving coordinate system for relativistic hydrodynamics. Phys. Rev. C 2007, 75, 024907. [Google Scholar] [CrossRef]
- Gubser, S.S. Symmetry constraints on generalizations of Bjorken flow. Phys. Rev. D 2010, 82, 085027. [Google Scholar] [CrossRef]
- Csanád, M.; Szabó, A. Multipole solution of hydrodynamics and higher order harmonics. Phys. Rev. C 2014, 90, 054911. [Google Scholar] [CrossRef]
- Csanád, M.; Vargyas, M. Observables from a solution of 1+3 dimensional relativistic hydrodynamics. Eur. Phys. J. A 2010, 44, 473–478. [Google Scholar] [CrossRef]
- Csanád, M.; Májer, I. Equation of state and initial temperature of quark gluon plasma at RHIC. Central Eur. J. Phys. 2012, 10, 850–857. [Google Scholar] [CrossRef]
- Shi, S.; Liao, J.; Zhuang, P. “Ripples” on a relativistically expanding fluid. Phys. Rev. C 2014, 90, 064912. [Google Scholar] [CrossRef]



© 2017 by the authors. Licensee MDPI, Basel, Switzerland. This article is an open access article distributed under the terms and conditions of the Creative Commons Attribution (CC BY) license (http://creativecommons.org/licenses/by/4.0/).
Share and Cite
Kurgyis, B.; Csanád, M. Perturbative Accelerating Solutions of Relativistic Hydrodynamics. Universe 2017, 3, 84. https://doi.org/10.3390/universe3040084
Kurgyis B, Csanád M. Perturbative Accelerating Solutions of Relativistic Hydrodynamics. Universe. 2017; 3(4):84. https://doi.org/10.3390/universe3040084
Chicago/Turabian StyleKurgyis, Bálint, and Máté Csanád. 2017. "Perturbative Accelerating Solutions of Relativistic Hydrodynamics" Universe 3, no. 4: 84. https://doi.org/10.3390/universe3040084
APA StyleKurgyis, B., & Csanád, M. (2017). Perturbative Accelerating Solutions of Relativistic Hydrodynamics. Universe, 3(4), 84. https://doi.org/10.3390/universe3040084

