Initial Energy Density of √s = 7 and 8 TeV p–p Collisions at the LHC
Abstract
:1. Introduction
2. Rapidity Distributions from Hydrodynamics
3. Energy Density Estimation
- It has to reproduce the EoS-independent Bjorken estimate for .
- It has to reproduce the exact result of Equation (12) for any λ, in the limit.
- It should approximately reproduce the results of numerical hydro calculations; most importantly, the additional correction for should increase the initial energy density.
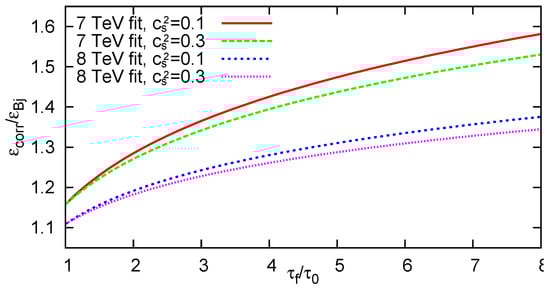
4. Initial Energy Densities in 7 and 8 TeV LHC p–p Collisions
5. Uncertainty of the Estimate
6. Improved Initial Energy Density Using Combined TOTEM+CMS Data
7. Summary
Acknowledgments
Author Contributions
Conflicts of Interest
References
- Adcox, K.; Adler, S.S.; Afanasiev, S.; Aidala, C.; Ajitanand, N.N.; Akiba, Y.; Al-Jamel, A.; Alexander, J.; Amirikas, R.; Aoki, K.; et al. Formation of dense partonic matter in relativistic nucleus nucleus collisions at RHIC: Experimental evaluation by the PHENIX collaboration. Nucl. Phys. A 2005, 757, 184–283. [Google Scholar] [CrossRef]
- Adams, J.; Aggarwal, M.M.; Ahammed, Z.; Amonett, J.; Anderson, B.D.; Arkhipkin, D.; Averichev, G.S.; Badyal, S.K.; Baia, Y.; Balewski, J.; et al. Experimental and theoretical challenges in the search for the quark gluon plasma: The STAR collaboration’s critical assessment of the evidence from RHIC collisions. Nucl. Phys. A 2005, 757, 102–183. [Google Scholar] [CrossRef]
- Back, B.B.; Baker, M.D.; Ballintijn, M.; Barton, D.S.; Becker, B.; Betts, R.R.; Bickley, A.A.; Bindel, R.; Budzanowski, A.; Busza, W.; et al. The PHOBOS perspective on discoveries at RHIC. Nucl. Phys. A 2005, 757, 28–101. [Google Scholar] [CrossRef]
- Arsene, I.; Bearden, I.G.; Beavis, D.; Besliu, C.; Budick, B.; Bøggild, H.; Chasman, C.; Christensen, C.H.; Christiansen, P.; Cibor, J.; et al. Quark gluon plasma and color glass condensate at RHIC? The Perspective from the BRAHMS experiment. Nucl. Phys. A 2005, 757, 1–27. [Google Scholar] [CrossRef]
- Adare, A.; Afanasiev, S.; Aidala, C.; Ajitanand, N.N.; Akiba, Y.; Al-Bataineh, H.; Alexander, J.; Al-Jamel, A.; Aoki, K.; Aphecetche, L.; et al. Energy loss and flow of heavy quarks in Au+Au collisions at s(NN)**(1/2) = 200-GeV. Phys. Rev. Lett. 2007, 98, 172301. [Google Scholar] [CrossRef]
- Adare, A.; Afanasiev, S.; Aidala, C.; Zolin, L. Scaling properties of azimuthal anisotropy in Au+Au and Cu+Cu collisions at s(NN)**(1/2) = 200-GeV. Phys. Rev. Lett. 2007, 98, 162301. [Google Scholar] [CrossRef] [PubMed]
- Adare, A.; Afanasiev, S.; Aidala, C.; Zolin, L. Enhanced production of direct photons in Au+Au collisions at GeV and implications for the initial temperature. Phys. Rev. Lett. 2010, 104, 132301. [Google Scholar] [CrossRef] [PubMed]
- Adare, A.; Afanasiev, S.; Aidala, C.; Ajitanand, N.N.; Akiba, Y.; Al-Bataineh, H.; Alexander, J.; Aoki, K.; Aramaki, Y.; Atomssa, E.T.; et al. Observation of direct-photon collective flow in GeV Au+Au collisions. Phys. Rev. Lett. 2012, 109, 122302. [Google Scholar] [CrossRef] [PubMed]
- Afanasiev, S.; Aidala, C.; Ajitanand, N.N.; Akiba, Y.; Alexander, J.; Al-Jamel, A.; Aoki, K.; Aphecetche, L.; Armendariz, R.; Aronson, S.H.; et al. Enhancement of the dielectron continuum in s(NN)**(1/2) = 200-geV Au+Au collisions. arXiv, 2007; arXiv:0706.3034. [Google Scholar]
- Adare, A.; Afanasiev, S.; Aidala, C.; Ajitanand, N.N.; Akiba, Y.; Al-Bataineh, H.; Alexander, J.; Aoki, K.; Aramaki, Y.; Atomssa, E.T.; et al. Elliptic and hexadecapole flow of charged hadrons in Au+Au collisions at GeV. Phys. Rev. Lett. 2010, 105, 062301. [Google Scholar] [CrossRef] [PubMed]
- Adare, A.; Afanasiev, S.; Aidala, C.; Ajitanand, N.N.; Akiba, Y.; Al-Bataineh, H.; Alexander, J.; Aoki, K.; Aramaki, Y.; Atomssa, E.T.; et al. Measurements of Higher-Order Flow Harmonics in Au+Au Collisions at GeV. Phys. Rev. Lett. 2011, 107, 252301. [Google Scholar] [CrossRef] [PubMed]
- Hagedorn, R. Statistical thermodynamics of strong interactions at high- energies. Nuovo Cim. Suppl. 1965, 3, 147–186. [Google Scholar]
- Aoki, Y.; Fodor, Z.; Katz, S.D.; Szabó, K.K. The QCD transition temperature: Results with physical masses in the continuum limit. Phys. Lett. B 2006, 643, 46–54. [Google Scholar] [CrossRef]
- Borsányi, S.; Endrodi, G.; Fodor, Z.; Jakovac, A.; Katz, S.D.; Krieg, S.; Ratti, C.; Szabo, K.K. The QCD equation of state with dynamical quarks. J. High Energy Phys. 2010, 11, 077. [Google Scholar] [CrossRef]
- Bazavov, A.; Bhattacharya, T.; Cheng, M.; DeTar, C.; Ding, H.-T.; Gottlieb, S.; Gupta, R.; Hegde, P.; Heller, U.M.; Karsch, F.; et al. The chiral and deconfinement aspects of the QCD transition. Phys. Rev. D 2012, 85, 054503. [Google Scholar] [CrossRef]
- Aamodt, K.; Quintana, A.A.; Adamová, D.; Adare, A.M.; Aggarwal, M.M.; Rinella, G.A.; Agocs, A.G.; Salazar, S.A.; Ahammed, Z.; Ahmad, N.; et al. Suppression of Charged Particle Production at Large Transverse Momentum in Central Pb–Pb Collisions at TeV. Phys. Lett. B 2011, 696, 30–39. [Google Scholar] [CrossRef]
- Aamodt, K.; Abelev, B.; Abrahantes Quintana, A.; Adamová, D.; Adare, A.M.; Aggarwal, M.M.; Aglieri Rinella, G.; Agocs, A.G.; Aguilar Salazar, S.; Ahammed, Z.; et al. Elliptic flow of charged particles in Pb-Pb collisions at 2.76 TeV. Phys. Rev. Lett. 2010, 105, 252302. [Google Scholar] [CrossRef] [PubMed]
- Chatrchyan, S.; Khachatryan, V.; Sirunyan, A.M.; Tumasyan, A.; Adam, W.; Bergauer, T.; Dragicevic, M.; Erö, J.; Fabjan, C.; Friedl, M.; et al. Study of high-pT charged particle suppression in PbPb compared to pp collisions at TeV. Eur. Phys. J. C 2012, 72, 1945. [Google Scholar] [CrossRef]
- Chatrchyan, S.; Khachatryan, V.; Sirunyan, A.M.; Tumasyan, A.; Adam, W.; Bergauer, T.; Dragicevic, M.; Erö, J.; Fabjan, C.; Friedl, M.; et al. Measurement of the elliptic anisotropy of charged particles produced in PbPb collisions at nucleon-nucleon center-of-mass energy = 2.76 TeV. Phys. Rev. C 2013, 87, 014902. [Google Scholar] [CrossRef]
- Derradi de Souza, R.; Koide, T.; Kodama, T. Hydrodynamic Approaches in Relativistic Heavy Ion Reactions. Prog. Part. Nucl. Phys. 2016, 86, 35–85. [Google Scholar] [CrossRef]
- Huovinen, P. Hydrodynamics at RHIC and LHC: What have we learned? Int. J. Mod. Phys. E 2013, 22, 1330029. [Google Scholar] [CrossRef]
- Landau, L.D. On the multiparticle production in high-energy collisions. Izv. Akad. Nauk SSSR Ser. Fiz. 1953, 17, 51–64. [Google Scholar]
- Hwa, R.C. Statistical Description of Hadron Constituents as a Basis for the Fluid Model of High-Energy Collisions. Phys. Rev. D 1974, 10, 2260. [Google Scholar] [CrossRef]
- Bjorken, J.D. Highly Relativistic Nucleus-Nucleus Collisions: The Central Rapidity Region. Phys. Rev. D 1983, 27, 140–151. [Google Scholar] [CrossRef]
- Csörgő, T.; Csernai, L.P.; Hama, Y.; Kodama, T. Simple solutions of relativistic hydrodynamics for systems with ellipsoidal symmetry. Acta Phys. Hung. A 2004, 21, 73–84. [Google Scholar] [CrossRef]
- Csörgő, T.; Nagy, M.I.; Csanád, M. A New Family of Simple Solutions of Perfect Fluid Hydrodynamics. Phys. Lett. B 2008, 663, 306–311. [Google Scholar] [CrossRef]
- Csörgő, T.; Nagy, M.; Csanád, M. Accelerating Solutions of Perfect Fluid Hydrodynamics for Initial Energy Density and Life-Time Measurements in Heavy Ion Collisions. Braz. J. Phys. 2007, 37, 723–725. [Google Scholar] [CrossRef]
- Nagy, M.I.; Csörgő, T.; Csanád, M. Detailed description of accelerating, simple solutions of relativistic perfect fluid hydrodynamics. Phys. Rev. C 2008, 77, 024908. [Google Scholar] [CrossRef]
- Csanád, M.; Nagy, M.; Lökös, S. Exact solutions of relativistic perfect fluid hydrodynamics for a QCD equation of state. Eur. Phys. J. A 2012, 48, 173. [Google Scholar] [CrossRef]
- Borshch, M.S.; Zhdanov, V.I. Exact Solutions of the Equations of Relativistic Hydrodynamics Representing Potential Flows. Symmetry Integr. Geom. Methods Appl. 2007, 3, 116. [Google Scholar] [CrossRef]
- Pratt, S. A co-moving coordinate system for relativistic hydrodynamics. Phys. Rev. C 2007, 75, 024907. [Google Scholar] [CrossRef]
- Csanád, M.; Szabó, A. Multipole solution of hydrodynamics and higher order harmonics. Phys. Rev. C 2014, 90, 054911. [Google Scholar] [CrossRef]
- Belenkij, S.Z.; Landau, L.D. Hydrodynamic theory of multiple production of particles. Nuovo Cim. Suppl. 1956, 3S10, 15–31. [Google Scholar] [CrossRef]
- Hama, Y.; Padula, S.S. Bose-Einstein correlation of particles produced by expanding sources. Phys. Rev. D 1988, 37, 3237–3245. [Google Scholar] [CrossRef]
- Alexopoulos, T.; Anderson, E.; Bujak, A.; Carmony, D.; Erwin, A.; Gutay, L.J.; Hirsch, A.S.; Nelson, K.S.; Porile, N.T.; Oh, S.H.; et al. Evidence for hadronic deconfinement in anti-p - p collisions at 1.8-TeV. Phys. Lett. B 2002, 528, 43–48. [Google Scholar] [CrossRef]
- Lévai, P.; Müller, B. Transverse baryon flow as possible evidence for a quark - gluon plasma phase. Phys. Rev. Lett. 1991, 67, 1519–1522. [Google Scholar] [CrossRef] [PubMed]
- Wong, C.Y. Landau Hydrodynamics Revisited. Phys. Rev. C 2008, 78, 054902. [Google Scholar] [CrossRef]
- Shuryak, E.; Zahed, I. High Multiplicity pp and pA Collisions: Hydrodynamics at its Edge and Stringy Black Hole. Phys. Rev. C 2013, 88, 044915. [Google Scholar] [CrossRef]
- Chatrchyan, S.; Khachatryan, V.; Sirunyan, A.M.; Tumasyan, A.; Adam, W.; Bergauer, T.; Dragicevic, M.; Erö, J.; Fabjan, C.; Friedl, M.; et al. Observation of long-range near-side angular correlations in proton-lead collisions at the LHC. Phys. Lett. B 2013, 718, 795–814. [Google Scholar] [CrossRef]
- Padula, S.S. Long-range dihadron correlations in high multiplicity p p and PbPb with CMS. In Proceedings of the 7th Workshop on Particle Correlations and Femtoscopy (WPCF 2011), Tokyo, Japan, 20–24 September 2011.
- Csörgő, T.; Nagy, M.; Csanád, M. New exact solutions of relativistic hydrodynamics. J. Phys. G Nucl. Part. Phys. 2008, 35, 104128. [Google Scholar] [CrossRef]
- Csörgő, T.; Lörstad, B. Bose-Einstein Correlations for Three-Dimensionally Expanding, Cylindrically Symmetric, Finite Systems. Phys. Rev. C 1996, 54, 1390–1403. [Google Scholar] [CrossRef]
- Csanád, M.; Csörgő, T.; Lörstad, B. Buda-Lund hydro model for ellipsoidally symmetric fireballs and the elliptic flow at RHIC. Nucl. Phys. A 2004, 742, 80–94. [Google Scholar] [CrossRef]
- Agababyan, N.M.; Atayan, M.R.; Csörgő, T.; de Wolf, E.A.; Dziunikowska, K.; Endler, A.M.F.; Garutchava, Z.S.; Gulkanyan, H.R.; Hakobyan, R.S.; Karamyan, J.K.; et al. Estimation of hydrodynamical model parameters from the invariant spectrum and the Bose-Einstein correlations of pi- mesons produced in (pi+/K+) p interactions at 250- GeV/c. Phys. Lett. B 1998, 422, 359–368. [Google Scholar] [CrossRef]
- Csörgő, T.; Akkelin, S.V.; Hama, Y.; Lukács, B.; Sinyukov, Y.M. Observables and initial conditions for self-similar ellipsoidal flows. Phys. Rev. C 2003, 67, 034904. [Google Scholar] [CrossRef]
- Csanád, M.; Vargyas, M. Observables from a solution of 1+3 dimensional relativistic hydrodynamics. Eur. Phys. J. A 2010, 44, 473–478. [Google Scholar] [CrossRef]
- Nagy, M. Exact solutions of hydrodynamics and their applications in heavy-ion physics. Ph.D. Thesis (in Hungarian), Wigner Research Centre for Physics, Budapest, Hungary, December 2012. [Google Scholar]
- Bearden, I.G.; Beavis, D.; Besliu, C.; Blyakhman, Y.; Budick, B.; Bøggild, H.; Chasman, C.; Christensen, C.H.; Christiansen, P.; Cibor, J.; et al. Pseudorapidity distributions of charged particles from Au + Au collisions at the maximum RHIC energy. Phys. Rev. Lett. 2002, 88, 202301. [Google Scholar] [CrossRef] [PubMed]
- Csörgő, T.; Grassi, F.; Hama, Y.; Kodama, T. Simple solutions of relativistic hydrodynamics for longitudinally and cylindrically expanding systems. Phys. Lett. B 2003, 565, 107–115. [Google Scholar] [CrossRef]
- Schenke, B.; Jeon, S.; Gale, C. (3+1)D hydrodynamic simulation of relativistic heavy-ion collisions. Phys. Rev. C 2010, 82, 014903. [Google Scholar] [CrossRef]
- Khachatryan, V.; Sirunyan, A.M.; Tumasyan, A.; Adam, W.; Bergauer, T.; Dragicevic, M.; Erö, J.; Fabjan, C.; Friedl, M.; Frühwirth, R.; et al. Transverse-momentum and pseudorapidity distributions of charged hadrons in pp collisions at sqrt(s) = 7 TeV. Phys. Rev. Lett. 2010, 105, 022002. [Google Scholar] [CrossRef] [PubMed]
- Hofstadter, R. Electron scattering and nuclear structure. Rev. Mod. Phys. 1956, 28, 214–254. [Google Scholar] [CrossRef]
- Glauber, R.J.; Matthiae, G. High-energy scattering of protons by nuclei. Nucl. Phys. B 1970, 21, 135–157. [Google Scholar] [CrossRef]
- Block, M.M. Hadronic forward scattering: Predictions for the Large Hadron Collider and cosmic rays. Phys. Rept. 2006, 436, 71–215. [Google Scholar] [CrossRef]
- Antchev, G.; Aspell, P.; Atanassov, I.; Avati, V.; Baechler, J.; Berardi, V.; Berretti, M.; Bozzo, M.; Brücken, E.; Buzzo, A.; et al. Proton-proton elastic scattering at the LHC energy of s** (1/2) = 7-TeV. Europhys. Lett. 2011, 95, 41001. [Google Scholar]
- Antchev, G.; Aspell, P.; Atanassov, I.; Avati, V.; Baechler, J.; Berardi, V.; Berretti, M.; Bozzo, M.; Brücken, E.; Buzzo, A.; et al. Luminosity-independent measurements of total, elastic and inelastic cross-sections at TeV. Europhys. Lett. 2013, 101, 21004. [Google Scholar]
- Aamodt, K.; Quintana, A.A.; Adamová, D.; Adare, A.M.; Aggarwal, M.M.; Rinella, G.A.; Agocs, A.G.; Salazar, S.A.; Ahammed, Z.; Ahmad, N.; et al. Charged-particle multiplicity measurement in proton-proton collisions at sqrt(s) = 7 TeV with ALICE at LHC. Eur. Phys. J. C 2010, 68, 345–354. [Google Scholar] [CrossRef]
- Aamodt, K.; Quintana, A.A.; Adamová, D.; Adare, A.M.; Aggarwal, M.M.; Rinella, G.A.; Agocs, A.G.; Salazar, S.A.; Ahammed, Z.; Ahmad, N.; et al. Femtoscopy of pp collisions at sqrts=0.9 and 7 TeV at the LHC with two-pion Bose-Einstein correlations. Phys. Rev. D 2011, 84, 112004. [Google Scholar] [CrossRef]
- Lacey, R.A.; Ajitanand, N.N.; Alexander, J.M.; Chung, P.; Holzmann, W.G.; Issah, M.; Taranenko, A.; Danielewicz, P.; Stocker, H. Has the QCD critical point been signaled by observations at RHIC? Phys. Rev. Lett. 2007, 98, 092301. [Google Scholar] [CrossRef] [PubMed]
- Csanád, M.; Májer, I. Equation of state and initial temperature of quark gluon plasma at RHIC. Cent. Eur. J. Phys. 2012, 10, 850–857. [Google Scholar] [CrossRef]
- Campanini, R.; Ferri, G.; Ferri, G. Experimental equation of state in proton-proton and proton-antiproton collisions and phase transition to quark gluon plasma. Phys. Lett. B 2011, 703, 237–245. [Google Scholar] [CrossRef]
- Chatrchyan, S.; Khachatryan, V.; Sirunyan, A.M.; Tumasyan, A.; Adam, W.; Bergauer, T.; Dragicevic, M.; Erö, J.; Fabjan, C.; Friedl, M.; et al. Measurement of pseudorapidity distributions of charged particles in proton-proton collisions at TeV by the CMS and TOTEM experiments. Eur. Phys. J. C 2014, 74, 3053. [Google Scholar] [CrossRef]
- Adam, J.; Adamova, D.; Aggarwal, M.M.; Rinella, G.A.; Agnello, M.; Agrawal, N.; Ahammed, Z.; Ahmed, I.; Ahn, S.U.; et al. Charged-particle multiplicities in proton-proton collisions at to 8 TeV. arXiv, 2015; arXiv:1509.07541. [Google Scholar]
- Antchev, G.; Aspell, P.; Atanassov, I.; Avati, V.; Baechler, J.; Berardi, V.; Berretti, M.; Bozzo, M.; Brücken, E.; Buzzo, A.; et al. Luminosity-Independent Measurement of the Proton-Proton Total Cross Section at TeV. Phys. Rev. Lett. 2013, 111, 012001. [Google Scholar] [CrossRef] [PubMed]
- Bialas, A.; Janik, R.A.; Peschanski, R.B. Unified description of Bjorken and Landau 1+1 hydrodynamics. Phys. Rev. C 2007, 76, 054901. [Google Scholar] [CrossRef]
- Antchev, G.; Aspell, P.; Atanassov, I.; Avati, V.; Baechler, J.; Berardi, V.; Berretti, M.; Bozzo, M.; Brücken, E.; Buzzo, A.; et al. Measurement of the forward charged particle pseudorapidity density in pp collisions at TeV with the TOTEM experiment. Europhys. Lett. 2012, 98, 31002. [Google Scholar]
- Antchev, G.; Aspell, P.; Atanassov, I.; Avati, V.; Baechler, J.; Berardi, V.; Berretti, M.; Bozzo, M.; Brücken, E.; Buzzo, A.; et al. Measurement of the forward charged particle pseudorapidity density in pp collisions at TeV using a displaced interaction point. Eur. Phys. J. C 2015, 75, 126. [Google Scholar] [CrossRef]
- Adare, A.; Afanasiev, S.; Aidala, C.; Ajitanand, N.N.; Akiba, Y.; Al-Bataineh, H.; Alexander, J.; Al-Jamel, A.; Aoki, K.; Aphecetche, L.; et al. Identified charged hadron production in p + p collisions at and 62.4 GeV. Phys. Rev. C 2011, 83, 064903. [Google Scholar] [CrossRef]
- Adare, A.; Afanasiev, S.; Aidala, C.; Ajitanand, N.N.; Akiba, Y.; Al-Bataineh, H.; Alexander, J.; Al-Jamel, A.; Aoki, K.; Aphecetche, L.; et al. Transverse energy production and charged-particle multiplicity at midrapidity in various systems from to 200 GeV. Phys. Rev. C 2016, 93, 024901. [Google Scholar] [CrossRef]
- Csörgő, T. Critical Opalescence: An Optical Signature for a QCD Critical Point. In Proceedings of the 5th International Workshop on Critical Point and Onset of Deconfinement (CPOD 2009), Brookhaven, NY, USA, 8–12 June 2009.
- Tannenbaum, M.J.; Weiner, R.M. Comments on ’Observation of Long-Range, Near-Side Angular Correlations in Proton-Proton Collisions at the LHC’ by the CMS collaboration. arXiv, 2010; arXiv:1010.0964. [Google Scholar]




| Parameter | Value | Stat. | Syst. Eff. on ϵ |
|---|---|---|---|
| λ | 1.073 | 0.1% | 0.4% (from data) |
| 0.1 | - | −2% + 0.2% (if ) | |
| 2 | - | −4% + 10% (for in 1.5–4) | |
| (fm) | 1 | - | underestimates ϵ |
| R (fm) | 1.766 | - | 1.3% (from ) |
| (GeV) | 0.562 | 0.5% | 3% |
| 5.895 | 0.2% | 3% (equivalently from ) |
© 2017 by the authors. Licensee MDPI, Basel, Switzerland. This article is an open access article distributed under the terms and conditions of the Creative Commons Attribution (CC BY) license ( http://creativecommons.org/licenses/by/4.0/).
Share and Cite
Csanád, M.; Csörgő, T.; Jiang, Z.-F.; Yang, C.-B. Initial Energy Density of √s = 7 and 8 TeV p–p Collisions at the LHC. Universe 2017, 3, 9. https://doi.org/10.3390/universe3010009
Csanád M, Csörgő T, Jiang Z-F, Yang C-B. Initial Energy Density of √s = 7 and 8 TeV p–p Collisions at the LHC. Universe. 2017; 3(1):9. https://doi.org/10.3390/universe3010009
Chicago/Turabian StyleCsanád, Máté, Tamás Csörgő, Ze-Fang Jiang, and Chun-Bin Yang. 2017. "Initial Energy Density of √s = 7 and 8 TeV p–p Collisions at the LHC" Universe 3, no. 1: 9. https://doi.org/10.3390/universe3010009
APA StyleCsanád, M., Csörgő, T., Jiang, Z.-F., & Yang, C.-B. (2017). Initial Energy Density of √s = 7 and 8 TeV p–p Collisions at the LHC. Universe, 3(1), 9. https://doi.org/10.3390/universe3010009

