Galactic Cosmic Ray Interaction with the Perseus Giant Molecular Cloud Using Geant4 Monte Carlo Simulation
Abstract
1. Introduction
2. Methodology
2.1. Geometry and Composition Modeling
2.2. Particle Spectra and Incidence Direction
2.3. Geant4 Parameterizations
3. Results and Discussions
3.1. Angular Dependence of Cosmic Ray Energy Deposition in the Perseus Molecular Cloud
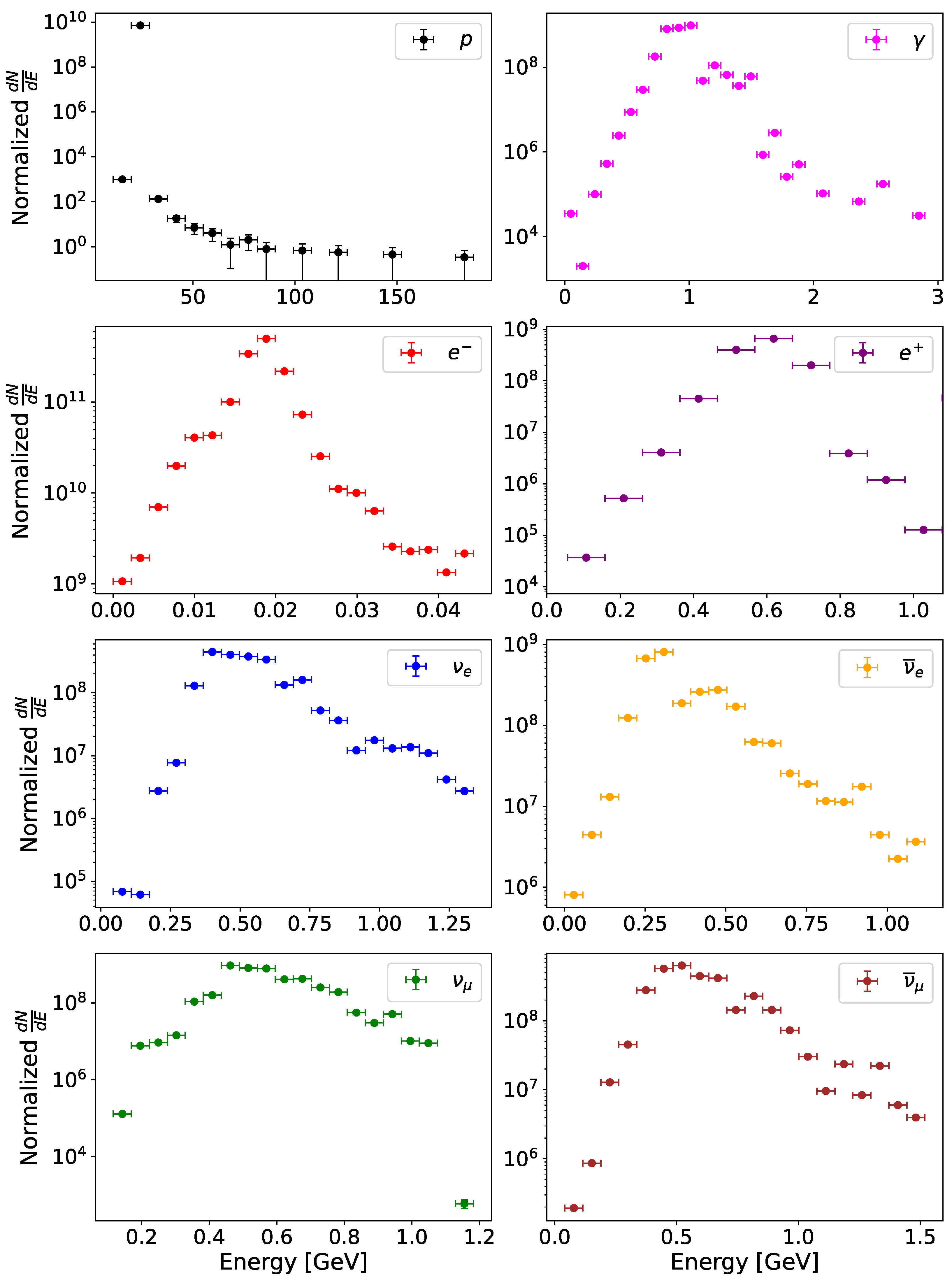
3.2. Emergent Secondary Particles in the Perseus Molecular Cloud
4. Flux-Weighted Composite Spectra of Secondary Particles from Cosmic Ray Interactions
5. Conclusions
Author Contributions
Funding
Data Availability Statement
Conflicts of Interest
Appendix A
| Secondary Particle | Electron Primaries | Proton Primaries | Helium Primaries | Carbon Primaries | Iron Primaries |
|---|---|---|---|---|---|
| 1.048 (2.68 GeV) | 0.0509 (4.57 MeV) | 0.278 (449 keV) | 3.415 (93.3 keV) | 47.576 (32.4 keV) | |
| 0.0210 (123 MeV) | 0.00166 (291 MeV) | 0.00532 (57.5 MeV) | 0.0450 (4.92 MeV) | 0.459 (439 keV) | |
| p | – | 1.002 (4.19 GeV) | 0.0120 (809 MeV) | 0.0307 (324 MeV) | 0.0388 (163 MeV) |
| – | 0.00084 (285 MeV) | 0.00051 (116 MeV) | 0.00152 (51.4 MeV) | 0.00221 (7.65 MeV) | |
| – | 0.00084 (243 MeV) | 0.00049 (144 MeV) | 0.00296 (17.6 MeV) | 0.0161 (1.70 MeV) | |
| – | 0.00101 (141 MeV) | 0.00457 (10.4 MeV) | 0.0111 (4.78 MeV) | 0.0250 (612 keV) | |
| – | 0.00110 (251 MeV) | 0.00071 (405 MeV) | 0.00055 (212 MeV) | 0.00015 (182 MeV) | |
| – | 0.00110 (257 MeV) | 0.00071 (187 MeV) | 0.00055 (192 MeV) | 0.00015 (121 MeV) | |
| deuteron | – | 0.00001 (1.25 MeV) | 0.00148 (2.38 MeV) | 0.00202 (941 MeV) | 0.00148 (710 MeV) |
| – | – | – | 0.0149 (741 MeV) | 0.00098 (979 MeV) | |
| 3He | – | – | 0.00102 (1.45 GeV) | 0.00077 (2.40 GeV) | 0.00019 (2.35 GeV) |
| triton | – | – | 0.00069 (3.06 GeV) | 0.00051 (884 MeV) | 0.00019 (586 MeV) |
| 12C | – | – | – | 0.988 (3.16 GeV) | – |
| 11B | – | – | – | 0.00278 (1.72 GeV) | – |
| 10B | – | – | – | 0.00122 (2.06 GeV) | – |
| 6Li | – | – | – | 0.00102 (962 MeV) | – |
| 7Li | – | – | – | 0.00075 (960 MeV) | – |
| 9Be | – | – | – | 0.00014 (1.70 GeV) | – |
| 10Be | – | – | – | 0.00003 (1.10 GeV) | – |
| 13C | – | – | – | 0.00001 (31.9 MeV) | – |
| 56Fe | – | – | – | – | 0.584 (4.09 GeV) |
| 55Mn | – | – | – | – | 0.00219 (3.41 GeV) |
| 54Fe | – | – | – | – | 0.00117 (3.97 GeV) |
| 53Mn | – | – | – | – | 0.00095 (5.29 GeV) |
| 52Cr | – | – | – | – | 0.00084 (4.99 GeV) |
| 54Cr | – | – | – | – | 0.00065 (5.38 GeV) |
| 51V | – | – | – | – | 0.00061 (6.75 GeV) |
| 49Ti | – | – | – | – | 0.00023 (12.4 GeV) |
| 48Ti | – | – | – | – | 0.00017 (14.4 GeV) |
| 57Fe | – | – | – | – | 0.00014 (245 MeV) |
| 1 | https://ams02.space (accessed on 1 August 2024). |
| 2 | https://calet.phys.lsu.edu (accessed on 1 June 2024). |
| 3 | https://fermi.gsfc.nasa.gov (accessed on 1 August 2024). |
| 4 | https://cosmicray.umd.edu (accessed on 1 August 2024). |
| 5 | https://stratocat.com.ar (accessed on 1 August 2024). |
| 6 | https://dpnc.unige.ch (accessed on 1 August 2024). |
References
- Gaisser, T.K.; Stanev, T.; Tilav, S. Cosmic Ray Energy Spectrum from Measurements of Air Showers. Front. Phys. 2013, 8, 748–758. [Google Scholar] [CrossRef]
- Roy, A.; Joshi, J.C.; Cardillo, M.; Sarkar, R. Interpreting the GeV-TeV gamma-ray spectra of local giant molecular clouds using GEANT4 simulation. JCAP 2023, 08, 047. [Google Scholar] [CrossRef]
- Chernyshov, D.; Caselli, P.; Cheng, K.; Dogiel, V.; Ivlev, A.; Ko, C. Interaction of cosmic rays with molecular clouds. Nucl. Part. Phys. Proc. 2018, 297–299, 80–84. [Google Scholar] [CrossRef]
- Oka, T.; Geballe, T.R.; Goto, M.; Usuda, T.; McCall, B.J. Hot and Diffuse Clouds near the Galactic Center Probed by Metastable H3+. Astrophys. J. 2005, 632, 882. [Google Scholar] [CrossRef]
- Dalgarno, A. Interstellar Chemistry Special Feature: The galactic cosmic ray ionization rate. Proc. Natl. Acad. Sci. USA 2006, 103, 12269–12273. [Google Scholar] [CrossRef]
- Indriolo, N.; McCall, B.J. Investigating the Cosmic-Ray Ionization Rate in the Galactic Diffuse Interstellar Medium through Observations of H+3. Astrophys. J. 2012, 745, 91. [Google Scholar] [CrossRef]
- Dogiel, V.; Chernyshov, D.; Kiselev, A.; Cheng, K.S. On the origin of the 6.4keV line in the Galactic Center region. Astropart. Phys. 2014, 54, 33–39. [Google Scholar] [CrossRef]
- Dogiel, V.A.; Chernyshov, D.O.; Kiselev, A.M.; Nobukawa, M.; Cheng, K.S.; Hui, C.Y.; Ko, C.M.; Nobukawa, K.K.; Tsuru, T.G. Spectrum of Relativistic and Subrelativistic Cosmic Rays in the 100 pc Central Region. Astrophys. J. 2015, 809, 48. [Google Scholar] [CrossRef]
- HESS Collaboration. Acceleration of petaelectronvolt protons in the Galactic Centre. Nature 2016, 531, 476. [Google Scholar] [CrossRef]
- Aharonian, F.; Akhperjanian, A.G.; Bazer-Bachi, A.R.; Beilicke, M.; Benbow, W.; Berge, D.; Bernlöhr, K.; Boisson, C.; Bolz, O.; Borrel, V.; et al. Discovery of very-high-energy gamma-rays from the galactic centre ridge. Nature 2006, 439, 695–698. [Google Scholar] [CrossRef]
- Yang, R.z.; de Oña Wilhelmi, E.; Aharonian, F. Probing cosmic rays in nearby giant molecular clouds with the Fermi Large Area Telescope. Astron. Astrophys. 2014, 566, A142. [Google Scholar] [CrossRef]
- Yang, R.z.; Jones, D.I.; Aharonian, F. Fermi-LAT observations of the Sagittarius B complex. Astron. Astrophys. 2015, 580, A90. [Google Scholar] [CrossRef]
- Tibaldo, L.; Digel, S.W.; Casandjian, J.M.; Franckowiak, A.; Grenier, I.A.; Jóhannesson, G.; Marshall, D.J.; Moskalenko, I.V.; Negro, M.; Orlando, E.; et al. Fermi-LAT Observations of High- and Intermediate-Velocity Clouds: Tracing Cosmic Rays in the Halo of the Milky Way. Astrophys. J. 2015, 807, 161. [Google Scholar] [CrossRef] [PubMed]
- Owen, E.R.; On, A.Y.L.; Lai, S.P.; Wu, K. Observational signatures of cosmic ray interactions in molecular clouds. Astrophys. J. 2021, 913, 52. [Google Scholar] [CrossRef]
- Padovani, M.; Galli, D.; Glassgold, A.E. Cosmic-ray ionization of molecular clouds. Astron. Astrophys. 2009, 501, 619–631. [Google Scholar] [CrossRef]
- Zhang, Z.E.; Yang, Y.L.; Zhang, Y.; Cox, E.G.; Zeng, S.; Murillo, N.M.; Ohashi, S.; Sakai, N. The Perseus ALMA Chemistry Survey (PEACHES). II. Sulfur-bearing Species and Dust Polarization Revealing Shocked Regions in Protostars in the Perseus Molecular Cloud. Astrophys. J. 2023, 946, 113. [Google Scholar] [CrossRef]
- Ge, H.R.; Liu, R.Y. Impact of Proton–Proton Collisions on the Cosmic-Ray Spectrum in Giant Clouds. Universe 2025, 11, 35. [Google Scholar] [CrossRef]
- Helling, C.; Rimmer, P.B.; Rodriguez-Barrera, I.M.; Wood, K.; Robertson, G.B.; Stark, C.R. Ionisation and discharge in cloud-forming atmospheres of brown dwarfs and extrasolar planets. Plasma Phys. Control. Fusion 2016, 58, 074003. [Google Scholar] [CrossRef]
- Padovani, M.; Galli, D. Cosmic-Ray Propagation in Molecular Clouds. In Cosmic Rays in Star-Forming Environments; Torres, D.F., Reimer, O., Eds.; Astrophysics and Space Science Proceedings; Springer: Berlin/Heidelberg, Germany, 2013; Volume 34, p. 61. [Google Scholar] [CrossRef]
- Pazianotto, M.T.; Pilling, S.; Molina, J.M.Q.; Federico, C.A. Energy Deposition by Cosmic Rays in the Molecular Cloud Using GEANT4 Code and Voyager I Data. Astrophys. J. 2021, 911, 129. [Google Scholar] [CrossRef]
- Dartnell, L.R.; Nordheim, T.A.; Patel, M.R.; Mason, J.P.; Coates, A.J.; Jones, G.H. Constraints on a potential aerial biosphere on Venus: I. Cosmic rays. Icarus 2015, 257, 396–405. [Google Scholar] [CrossRef]
- Agostinelli, S.; Allison, J.; Amako, K.; Apostolakis, J.; Araujo, H.; Arce, P.; Asai, M.; Axen, D.; Banerjee, S.; Barrand, G.; et al. GEANT4—A Simulation Toolkit. Nucl. Instrum. Meth. A 2003, 506, 250–303. [Google Scholar] [CrossRef]
- Allison, J.; Amako, K.; Apostolakis, J.; Araujo, H.; Dubois, P.A.; Asai, M. Geant4 developments and applications. IEEE Trans. Nucl. Sci. 2006, 53, 270. [Google Scholar] [CrossRef]
- Toci, C.; Galli, D. Polytropic models of filamentary interstellar clouds – I. Structure and stability. Mon. Not. R. Astron. Soc. 2014, 446, 2110–2117. [Google Scholar] [CrossRef]
- Tahani, M.; Lupypciw, W.; Glover, J.B.; Plume, R.; West, J.L.; Kothes, R.; Inutsuka, S.i.; Lee, M.Y.; Robishaw, T.; Knee, G.; et al. 3D magnetic-field morphology of the Perseus molecular cloud. Astron. Astrophys. 2022, 660, A97. [Google Scholar] [CrossRef]
- Lee, M.Y.; Stanimirović, S.; Douglas, K.A.; Knee, L.B.G.; Di Francesco, J.; Gibson, S.J.; Begum, A.; Grcevich, J.; Heiles, C.; Korpela, E.J.; et al. A High-Resolution Study of the Hi–H2 Transition Across the Perseus Molecular Cloud. Astrophys. J. 2012, 748, 75. [Google Scholar] [CrossRef]
- Lee, M.Y.; Stanimirović, S.; Wolfire, M.G.; Shetty, R.; Glover, S.C.O.; Molina, F.Z.; Klessen, R.S. The CO-to-H2 Conversion Factor Across the Perseus Molecular Cloud. Astrophys. J. 2014, 784, 80. [Google Scholar] [CrossRef]
- Bialy, S.; Sternberg, A.; Lee, M.Y.; Le Petit, F.; Roueff, E. HI-to-H2 Transitions in the Perseus Molecular Cloud. Astrophys. J. 2015, 809, 122. [Google Scholar] [CrossRef]
- Goldsmith, P.F. Molecular Depletion and Thermal Balance in Dark Cloud Cores. Astrophys. J. 2001, 557, 736–746. [Google Scholar] [CrossRef]
- Space Science Data Center (SSDC). Cosmic Ray Database (CRDB); Space Science Data Center (SSDC): Rome, Italy, 2024. [Google Scholar]
- Maurin, D.; Melot, F.; Taillet, R. A database of charged cosmic rays. Astron. Astrophys. 2014, 569, A32. [Google Scholar] [CrossRef]
- Geant4 Collaboration. Geant4 Physics Reference Manual; Geant4 Collaboration: Geneva, Switzerland, 2023; Available online: https://geant4-userdoc.web.cern.ch/UsersGuides/PhysicsReferenceManual/ (accessed on 1 February 2025).
- Padovani, M.; Ivlev, A.V.; Galli, D.; Caselli, P. Cosmic-ray transport in molecular clouds: The role of magnetic mirroring and focusing. Astron. Astrophys. 2018, 614, A111. [Google Scholar] [CrossRef]
- Strong, A.W.; Moskalenko, I.V.; Ptuskin, V.S. Cosmic-ray propagation and interactions in the Galaxy. Ann. Rev. Nucl. Part. Sci. 2007, 57, 285–327. [Google Scholar] [CrossRef]
- Kachelriess, M.; Ostapchenko, S.; Tomas, R. High energy radiation from Centaurus A. New J. Phys. 2009, 11, 065017. [Google Scholar] [CrossRef]
- Ackermann, M.; Ajello, M.; Atwood, W.B.; Baldini, L.; Ballet, J.; Barbiellini, G.; Bastieri, D.; Bechtol, K.; Bellazzini, R.; Berenji, B.; et al. Fermi-lat observations of the diffuse γ-ray emission: Implications for cosmic rays and the interstellar medium. Astrophys. J. 2012, 750, 3. [Google Scholar] [CrossRef]
- Gaisser, T.K. Cosmic Rays and Particle Physics; Cambridge University Press: Cambridge, UK, 1990. [Google Scholar]
- Aharonian, F.A. Very High Energy Cosmic Gamma Radiation: A Crucial Window on the Extreme Universe; World Scientific Publishing: Singapore, 2004. [Google Scholar] [CrossRef]
- Kachelrieß, M.; Neronov, A.; Semikoz, D.V. Signatures of a two-million year old supernova in the spectra of cosmic ray protons, antiprotons, and positrons. Phys. Rev. Lett. 2015, 115, 181103. [Google Scholar] [CrossRef] [PubMed]
- Kelner, S.R.; Aharonian, F.A.; Bugayov, V.V. Energy spectra of gamma rays, electrons, and neutrinos produced at proton-proton interactions in the very high energy regime. Phys. Rev. D 2006, 74, 034018. [Google Scholar] [CrossRef]
- Grenier, I.A.; Black, J.H.; Strong, A.W. The Nine Lives of Cosmic Rays in Galaxies. Annu. Rev. Astron. Astrophys. 2015, 53, 199–246. [Google Scholar] [CrossRef]
- Aharonian, F.A.; Atoyan, A.M. Broad-band diffuse gamma ray emission of the galactic disk. Astron. Astrophys. 2000, 362, 937–952. [Google Scholar] [CrossRef]
- Gabici, S.; Aharonian, F.; Blasi, P. Gamma rays from molecular clouds. Astrophys. Space Sci. 2007, 309, 365–371. [Google Scholar] [CrossRef]
- Dermer, C.D. Secondary production of neutral pi-mesons and the diffuse galactic gamma radiation. Astron. Astrophys. 1986, 157, 223–229. [Google Scholar]
- Ahlers, M.; Halzen, F. Opening a new window onto the universe with IceCube. Prog. Part. Nucl. Phys. 2018, 102, 73–88. [Google Scholar] [CrossRef]
- Gabici, S.; Evoli, C.; Gaggero, D.; Lipari, P.; Morlino, G.; Ullio, P. The origin of galactic cosmic rays: Challenges to the standard paradigm. Int. J. Mod. Phys. D 2019, 28, 1930022. [Google Scholar] [CrossRef]
- Yoon, Y.S.; Ahn, H.S.; Allison, P.S.; Bagliesi, M.G.; Beatty, J.J.; Bigongiari, G.; Boyle, P.J.; Childers, J.T.; Conklin, N.B.; Coutu, S.; et al. Cosmic-ray proton and helium spectra from the first cream flight. Astrophys. J. 2011, 728, 122. [Google Scholar] [CrossRef]
- Maurin, D.; Ahlers, M.; Dembinski, H.; Haungs, A.; Mangeard, P.-S.; Melot, F.; Mertsch, P.; Wochele, D.; Wochele, J. A cosmic-ray database update: CRDB v4.1. Eur. Phys. J. C 2023, 83, 971. [Google Scholar] [CrossRef]
- Aguilar, M.; Cavasonza, L.A.; Alpat, B.; Ambrosi, G.; Arruda, L.; Attig, N.; Azzarello, P.; Bachlechner, A.; Barao, F. Towards Understanding the Origin of Cosmic-Ray Electrons. Phys. Rev. Lett. 2019, 122, 101101. [Google Scholar] [CrossRef] [PubMed]










| Layers | Outer and Inner Radius (pc) | H2 | He | C | Density (g/cm3) | Gas and Dust Temperature (K) |
|---|---|---|---|---|---|---|
| Layer 1 | 153.2–127.7 | 90% | 9% | 1% | 1.65 | 75 & 22.0 |
| Layer 2 | 127.7–102.2 | 90% | 9% | 1% | 2.07 | 72 & 20.8 |
| Layer 3 | 102.2–76.6 | 90% | 9% | 1% | 2.48 | 69 & 19.6 |
| Layer 4 | 76.6–51.1 | 90% | 9% | 1% | 2.89 | 66 & 18.4 |
| Layer 5 | 51.1–25.6 | 90% | 9% | 1% | 3.30 | 63 & 17.2 |
| Layer 6 | 25.6–0.0 | 90% | 9% | 1% | 3.98 | 60 & 16.0 |
Disclaimer/Publisher’s Note: The statements, opinions and data contained in all publications are solely those of the individual author(s) and contributor(s) and not of MDPI and/or the editor(s). MDPI and/or the editor(s) disclaim responsibility for any injury to people or property resulting from any ideas, methods, instructions or products referred to in the content. |
© 2025 by the authors. Licensee MDPI, Basel, Switzerland. This article is an open access article distributed under the terms and conditions of the Creative Commons Attribution (CC BY) license (https://creativecommons.org/licenses/by/4.0/).
Share and Cite
Torres, L.; Stuani Pereira, L.A. Galactic Cosmic Ray Interaction with the Perseus Giant Molecular Cloud Using Geant4 Monte Carlo Simulation. Universe 2025, 11, 218. https://doi.org/10.3390/universe11070218
Torres L, Stuani Pereira LA. Galactic Cosmic Ray Interaction with the Perseus Giant Molecular Cloud Using Geant4 Monte Carlo Simulation. Universe. 2025; 11(7):218. https://doi.org/10.3390/universe11070218
Chicago/Turabian StyleTorres, Luan, and Luiz Augusto Stuani Pereira. 2025. "Galactic Cosmic Ray Interaction with the Perseus Giant Molecular Cloud Using Geant4 Monte Carlo Simulation" Universe 11, no. 7: 218. https://doi.org/10.3390/universe11070218
APA StyleTorres, L., & Stuani Pereira, L. A. (2025). Galactic Cosmic Ray Interaction with the Perseus Giant Molecular Cloud Using Geant4 Monte Carlo Simulation. Universe, 11(7), 218. https://doi.org/10.3390/universe11070218

